Sign in to use this feature.

Years

Between: -

Subjects

remove_circle_outline
remove_circle_outline
remove_circle_outline
remove_circle_outline
remove_circle_outline
remove_circle_outline
remove_circle_outline
remove_circle_outline
remove_circle_outline

Journals

Article Types

Countries / Regions

remove_circle_outline
remove_circle_outline
remove_circle_outline
remove_circle_outline

Search Results (287)

Search Parameters:
Keywords = floral traits

Order results
Result details
Results per page
Select all
Export citation of selected articles as:
19 pages, 2209 KB  
Article
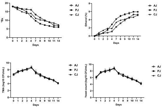
Valorization of Organic Third-Category Fruits Through Vinegar Fermentation: A Laboratory-Scale Evaluation of Apples, Peaches, and Clementines
by Yasmin Muhammed Refaie Muhammed, Ivana Cavoski, Carmen Aurora Apa, Giuseppe Celano, Matteo Spagnuolo, Fabio Minervini and Maria De Angelis
Foods 2026, 15(2), 238; https://doi.org/10.3390/foods15020238 - 9 Jan 2026
Abstract
This study aimed to evaluate the feasibility of producing vinegar from organic third-category apples, peaches, and clementines on a laboratory scale. Two-step fermentation with Saccharomyces cerevisiae and Gluconobacter oxydans was applied, monitoring production of ethanol and acetic acid and microbial dynamics. Fruit vinegars [...] Read more.
This study aimed to evaluate the feasibility of producing vinegar from organic third-category apples, peaches, and clementines on a laboratory scale. Two-step fermentation with Saccharomyces cerevisiae and Gluconobacter oxydans was applied, monitoring production of ethanol and acetic acid and microbial dynamics. Fruit vinegars were subjected to analyses of sensory traits, color, volatile organic compounds (VOCs), and antioxidant activity. Comparable ethanol yields across substrates were obtained, ensuring consistent acetous fermentation and achieving acetic acid concentrations of 5.0–5.6%. Dynamics of yeasts and acetic acid bacteria reflected the production of and subsequent decrease in ethanol. Overall, fermentation proceeded a bit faster in peach juice. Overall, the fruit vinegars, particularly those from peaches and clementines, exhibited darker and more saturated tones. The values of colorimetric indexes fell within the range reported for vinegars. Sensory analysis highlighted large differences among the vinegars. Notwithstanding the highest scores of color, aroma intensity, and floral aroma received by the peach vinegar (PV), it received the lowest acceptability. Clementine vinegar (CV) was especially appreciated. Multivariate analysis based on the VOC profile showed that apple vinegar (AV) was quite similar to the commercial one, whereas PV and CV were well distinguished from it. CV showed the highest antioxidant activity followed by PV. Full article
Show Figures

Figure 1

28 pages, 6853 KB  
Article
Colors for Resources: Reward-Linked Visual Displays in Orchids
by Gabriel Coimbra, Carlos E. Pereira Nunes, Pedro J. Bergamo, João M. R. B. V. Aguiar and Leandro Freitas
Plants 2026, 15(1), 154; https://doi.org/10.3390/plants15010154 - 4 Jan 2026
Viewed by 155
Abstract
Pollination syndromes reflect the convergence of floral traits among plants sharing the same pollinator guild. However, bee-pollinated orchids exhibit striking variation in color and size. This diversity reflects the multiple reward strategies that evolved within the family, each interacting differently with bee sensory [...] Read more.
Pollination syndromes reflect the convergence of floral traits among plants sharing the same pollinator guild. However, bee-pollinated orchids exhibit striking variation in color and size. This diversity reflects the multiple reward strategies that evolved within the family, each interacting differently with bee sensory biases. Here, we tested whether the complex floral visual displays of orchids differ in signal identity and intensity among reward systems. We also considered intrafloral modularity, measured as the color differentiation among flower parts, and color–size integration. For this, we measured and modeled floral morphometric and reflectance data from sepals, petals, lip tips, and lip bases under bee vision from 95 tropical Epidendroid species to compare chromatic and achromatic contrasts, spectral purity, and mean reflectance across wavebands, plus flower and display size, among reward systems. Reward types included 19 food-deceptive, 8 nectar-offering, 10 oil-offering, 11 fragrance-offering, and 47 orchid species of unknown reward strategy. Principal component analyses on 34 color and 9 size variables summarized major gradients of visual trait variation: first component (19.1%) represented overall green-red reflectance and achromatic contrasts, whereas the second (16.5%) captured chromatic contrast–size covariation. Reward systems differed mostly in signal identity rather than signal intensity. Flower chromatic contrasts presented strong integration with flower size, while achromatic contrasts were negatively associated with display size. While deceptive and nectar-offering orchids tend toward larger solitary flowers with bluer and spectrally purer displays, oil- and fragrance-offering orchids tend toward smaller, brownish, or yellow to green flowers, with larger inflorescences. Rewardless orchids presented more achromatically conspicuous signals than rewarding orchids, but smaller displays. Orchid species clustered by reward both in PCA spaces and in bee hexagon color space. Deceptive orchids were typically associated with UV + White colors, oil orchids with UV + Yellow lip tips, and fragrance orchids with UV-Black lip bases and UV-Green lip tips. Together, these results indicate that orchid reward systems promote qualitative rather than quantitative differentiation in visual signals, integrating display color and size. These long-evolved distinct signals potentially enable foraging bees to discriminate among resource types within the community floral market. Our results demonstrate that color and flower display size are important predictors of reward strategy, likely used by foraging bees for phenotype-reward associations, thus mediating the evolution of floral signals. Full article
(This article belongs to the Special Issue Interaction Between Flowers and Pollinators)
Show Figures

Figure 1

20 pages, 2423 KB  
Article
Phenotypic Diversity and Ornamental Evaluation Between Introduced and Domestically Bred Crabapple Germplasm
by Kun Ning, Bowen Li, Hongming Nie, Shuqi Liao, Xinrui Chen, Xiaoqian Yang, Wangxiang Zhang, Yousry A. El-Kassaby and Ting Zhou
Horticulturae 2025, 11(12), 1527; https://doi.org/10.3390/horticulturae11121527 - 17 Dec 2025
Viewed by 280
Abstract
Crabapples (Malus spp.) are important ornamental trees in northern temperate regions. However, their phenotypic diversity and ornamental values remain poorly characterized, due to a lack of systematic comparison between introduced and domestically bred cultivars/lines. This knowledge gap limits the effective utilization of [...] Read more.
Crabapples (Malus spp.) are important ornamental trees in northern temperate regions. However, their phenotypic diversity and ornamental values remain poorly characterized, due to a lack of systematic comparison between introduced and domestically bred cultivars/lines. This knowledge gap limits the effective utilization of their germplasm. In this study, 111 floral, foliar, fruit, and tree architectural traits were measured across 93 introduced (North American) and 118 domestically bred (Chinese) cultivars/lines. Comparative analyses using Shannon–Wiener (H′) and Pielou’s evenness (J) indices revealed that floral traits exhibited the highest phenotypic diversity, followed by fruits, leaves, and tree architecture. Among these, 51 key traits (e.g., budlet color, leaf area, and fruit shape) showed above-average diversity, while others (e.g., flower type, leaf cracking, and exocarp color) were less uniform, indicating rare phenotypes. Domestically bred cultivars showed significant improvements in flower color and type, mature leaf shape and size, and fruit characteristics, including novel budlet, bud and petal colors, increased stamen numbers, semi-double or double flowers, and diverse fruit colors. A multi-dimensional ornamental evaluation (Analytic Hierarchy Process) identified 26 superior genotypes and several organ-specific selections for flower- (26), fruit- (25), foliage- (21), and tree architecture-viewing (14) purposes. These findings provide a theoretical basis for updating Malus distinctness, uniformity, and stability (DUS) guidelines, targeted breeding, and strategic landscape applications, highlighting the potential of both introduced and domestic germplasm for ornamental improvement. Full article
(This article belongs to the Section Genetics, Genomics, Breeding, and Biotechnology (G2B2))
Show Figures

Figure 1

34 pages, 1898 KB  
Article
New Reports of Orchidaceae Family in Southern Calabria (Italy): Distribution and Conservation
by Valentina Lucia Astrid Laface and Luigi Torino
Conservation 2025, 5(4), 85; https://doi.org/10.3390/conservation5040085 - 16 Dec 2025
Viewed by 641
Abstract
The Orchidaceae family in Calabria has been scarcely investigated during the 21st century, and available knowledge remains fragmentary, particularly for the rarer taxa. The last comprehensive study dates back to 2002, whereas subsequent checklists, limited to restricted areas of the region, provide incomplete [...] Read more.
The Orchidaceae family in Calabria has been scarcely investigated during the 21st century, and available knowledge remains fragmentary, particularly for the rarer taxa. The last comprehensive study dates back to 2002, whereas subsequent checklists, limited to restricted areas of the region, provide incomplete or taxonomically uncertain data. Considering that the family is protected at global (CITES, Bern Convention, IUCN) and national (Italian Red List) levels, broader and more systematic attention is required. In this work, focused on the southern sector of the Metropolitan City of Reggio Calabria, with special reference to the mountain and foothill areas of the Aspromonte massif and in the adjacent districts, we describe four new hybrids for science, each assessed as Critically Endangered (CR), and report four previously unrecorded taxa for the region, evaluated as VU/CR. In addition, two hybrids, newly recorded for the Calabrian flora, were likewise assigned a CR conservation status. The study also provides confirmation of historical records of Ophrys speculum and identifies the southernmost stations in continental Italy for both O. speculum and Orchis branciforti Standardized floral and labellar morphometric traits were measured on representative individuals from each population, including the parental species in the case of hybrids. Conservation status was evaluated following IUCN criteria and GeoCAT-derived AOO values, complemented by field observations on population size, habitat conditions, and site-specific threats. Hybrid names comply with ICN provisions. These findings enhance understanding of orchid biodiversity in Southern Italy and provide new insights for regional conservation efforts. Full article
(This article belongs to the Special Issue Plant Species Diversity and Conservation)
Show Figures

Figure 1

13 pages, 4209 KB  
Article
BrMAF5 and Its Antisense lncRNA BrMAF5L Regulate Vernalization-Induced Bolting and Flowering in Chinese Cabbage
by Xiangqianchen Li, Xinyu Gao, Shaoxing Wang, Shifan Zhang, Fei Li, Guoliang Li, Rifei Sun, Shujiang Zhang, Hui Zhang and Yun Dai
Horticulturae 2025, 11(12), 1519; https://doi.org/10.3390/horticulturae11121519 - 15 Dec 2025
Viewed by 239
Abstract
Bolting and flowering time are critical agronomic traits affecting the commercial value and breeding efficiency of Chinese cabbage (Brassica rapa L. ssp. pekinensis). Although vernalization is a key environmental signal promoting flowering, its regulatory mechanisms remain poorly understood in this crop. [...] Read more.
Bolting and flowering time are critical agronomic traits affecting the commercial value and breeding efficiency of Chinese cabbage (Brassica rapa L. ssp. pekinensis). Although vernalization is a key environmental signal promoting flowering, its regulatory mechanisms remain poorly understood in this crop. Here, we identify the flowering repressor gene BrMAF5 and its antisense long non-coding RNA BrMAF5L as negative regulators of vernalization-induced flowering. During vernalization, transcript levels of both genes showed a decreasing trend as the vernalization period extended. Functional assays in Arabidopsis thaliana demonstrated that ectopic expression of BrMAF5 or BrMAF5L significantly delayed flowering, accompanied by increased expression of floral repressors (AtFLC, AtTEM1) and reduced expression of floral activators (AtFT, AtSOC1). Moreover, protein interaction analysis revealed that BrMAF5 associates with BrACP4 and BrRAB1A, linking it to fatty acid metabolism and membrane trafficking pathways. Collectively, our results reveal a novel regulatory module in vernalization-mediated flowering. These findings pave the way for developing bolting-resistant Brassicaceae crops by identifying promising molecular targets. Full article
Show Figures

Figure 1

17 pages, 2445 KB  
Article
In Situ Diversity of Native Cherimoya in Southern Ecuador: Phenotypic and Ecological Insights
by Santiago C. Vásquez, Santiago Erazo-Hurtado, Mirian Capa-Morocho, Fernando Granja, Marlene Molina-Müller, Luis O. Viteri, Melissa A. Romero and Diego Chamba-Zaragocin
Horticulturae 2025, 11(12), 1505; https://doi.org/10.3390/horticulturae11121505 - 12 Dec 2025
Viewed by 722
Abstract
Cherimoya is a fruit tree native to the Andean regions of South America, also in Central America, prized for its flavor, nutritional properties, and medicinal potential. Despite its economic relevance, in situ assessments of phenotypic diversity are limited, particularly in southern Ecuador, a [...] Read more.
Cherimoya is a fruit tree native to the Andean regions of South America, also in Central America, prized for its flavor, nutritional properties, and medicinal potential. Despite its economic relevance, in situ assessments of phenotypic diversity are limited, particularly in southern Ecuador, a key center of domestication. This study evaluated the morphological and ecogeographic diversity of 270 native trees across eight cantons in Loja province, Ecuador, using 34 qualitative and quantitative descriptors of leaves, flowers, fruits, and seeds. High phenotypic variability was observed, with coefficients of variation exceeding 40% for key traits, including mature fruit weight (48.15%), pulp weight (55.33%) and pulp-to-seed ratio (64.23%). Principal component analysis revealed three major axes of variation associated with productivity, floral morphology, and organoleptic quality. Cluster analysis identified four groups, with one distinguished by a favorable pulp-to-seed ratio and sugar–acid content. Species distribution modeling, which included bioclimatic and soil variables, showed that Gonzanamá, Quilanga and Espíndola possess the highest ecological suitability for cherimoya. These findings highlight priority areas for in situ conservation and phenotype selection, providing a foundation for sustainable use, genetic improvement, and the preservation of locally adapted germplasm to support climate-resilient agricultural systems. Full article
Show Figures

Figure 1

22 pages, 15086 KB  
Article
Morphological Characteristics of Floral Organs and Their Taxonomic Significance in 23 Species of Bamboo from Southwest China
by Xingyu Wang, Jiaxin Liu, Chongsheng Zhao and Shuguang Wang
Plants 2025, 14(24), 3751; https://doi.org/10.3390/plants14243751 - 9 Dec 2025
Viewed by 442
Abstract
This study conducted a systematic morphological comparative analysis of reproductive organ structures in 23 bamboo species from Southwest China, focusing on key morphological characteristics including spikelets, florets, lemma, palea, lodicules, pistils, and stamens. Principal component analysis (PCA) and linear discriminant analysis (LDA) were [...] Read more.
This study conducted a systematic morphological comparative analysis of reproductive organ structures in 23 bamboo species from Southwest China, focusing on key morphological characteristics including spikelets, florets, lemma, palea, lodicules, pistils, and stamens. Principal component analysis (PCA) and linear discriminant analysis (LDA) were employed for multidimensional variable interpretation. The experimental results demonstrated significant interspecific differences in floral organ morphology among bamboo species; these differences not only aided in species identification but also provided morphological support for clarifying the ambiguous taxonomic boundaries within the Bambusa–Dendrocalamus–Gigantochloa (BDG) complex. Spikelet morphology, palea length, and stamen number were identified as core diagnostic indicators for the classification among different bamboo genera. The 11 core traits identified by PCA collectively explained 84.6% of the variation. The LDA further validated the taxonomic reliability of these traits, achieving an overall genus-level classification accuracy of 95.7%. Through quantitative analysis, this research confirmed the critical role of floral morphological characteristics in bamboo classification systems, offering novel morphometric evidence to enhance traditional taxonomic criteria. Full article
(This article belongs to the Section Plant Systematics, Taxonomy, Nomenclature and Classification)
Show Figures

Figure 1

21 pages, 7212 KB  
Article
Adaptive Strategies Mediating the Diversification of Alpine Plants: The Case of the Himalayan Blue Poppy (Meconopsis, Papaveraceae)
by Na He, Zhimin Li, Yazhou Zhang and Wenguang Sun
Plants 2025, 14(24), 3741; https://doi.org/10.3390/plants14243741 - 8 Dec 2025
Viewed by 390
Abstract
Alpine habitats, characterized by their high degree of environmental heterogeneity and harsh climatic conditions, support a diverse array of plants with unique adaptive strategies. However, the mechanisms underlying the formation of these adaptive strategies, as well as their intrinsic links to species diversification, [...] Read more.
Alpine habitats, characterized by their high degree of environmental heterogeneity and harsh climatic conditions, support a diverse array of plants with unique adaptive strategies. However, the mechanisms underlying the formation of these adaptive strategies, as well as their intrinsic links to species diversification, remain unclear. In this study, we investigated the evolution of life history traits, fruit characteristics, and variation in the karyotype of alpine species, and their roles in shaping their adaptability to high-altitude environments. We performed a comprehensive analysis of trait diversification, adaptive trait evolution, and their associations with environmental factors in the genus Meconopsis on the Qinghai-Xizang Plateau. Our results revealed that ancestral floral traits were characterized by solitary inflorescences and blue-purple pigmentation, features that have re-evolved at multiple points throughout the evolutionary history of the genus. We found that increased ploidy levels promoted perennial growth and semelparity (single-time fruiting), suggesting that life history strategies and fruiting frequency are strongly coupled. Furthermore, karyotypic variation and abiotic factors such as altitude, soil pH, and climate were found to accelerate the evolution of a perennial fruiting reproductive strategy. Our findings provide new insights into the evolution of adaptive traits in alpine plants and reveal how these species adjust their life history strategies in response to environmental pressures. Our findings enhance our understanding of resource allocation trade-offs in plants in extreme environments and shed light on the relationship between species diversification and adaptive evolution in alpine ecosystems. Full article
Show Figures

Figure 1

16 pages, 4992 KB  
Article
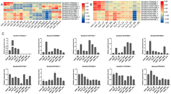
Comparative Transcriptomics Analysis Reveals Genes Associated with a Dehiscent-Corolla Mutant in Sesame (Sesamum indicum L.)
by Xiaoxu Feng, Weifei Yang, Hengchun Cao, Qin Ma, Ming Ju, Weixiu Hou, Cong Mu, Pengjie Chang, Yinghui Duan, Zhanyou Zhang, Guiting Li, Qiuzhen Tian, Haiyang Zhang and Hongmei Miao
Int. J. Mol. Sci. 2025, 26(24), 11841; https://doi.org/10.3390/ijms262411841 - 8 Dec 2025
Viewed by 344
Abstract
Floral organ development plays a critical role in determining crop yield and quality, yet the molecular mechanisms underlying this process in sesame remain poorly understood. In this study, comparative transcriptomic analyses were conducted between the wild-type Yuzhi11 and a dehiscent-corolla mutant, css1, to [...] Read more.
Floral organ development plays a critical role in determining crop yield and quality, yet the molecular mechanisms underlying this process in sesame remain poorly understood. In this study, comparative transcriptomic analyses were conducted between the wild-type Yuzhi11 and a dehiscent-corolla mutant, css1, to investigate the genetic basis of floral organ variation. A total of 114 differentially expressed genes (DEGs) were identified between the two genotypes in both the main and lateral flowers, among which 47 candidate genes were implicated in main/lateral floral organ development. A weighted gene co-expression network analysis (WGCNA) revealed two gene modules significantly associated with the mutant’s main and lateral flowers, respectively. Five hub genes were identified within each module, and their potential regulatory networks and protein–protein interactions networks were characterized. These findings provide new insights into the genetic regulation of flower and fruit development in sesame, and may inform future breeding strategies to optimize floral and yield related traits. Full article
(This article belongs to the Section Molecular Plant Sciences)
Show Figures

Figure 1

19 pages, 3201 KB  
Article
Synergistic Strategy Against the Effects of Climate Change Using Non-Positioned Vegetation Training Systems and the Application of Kaolin in a Vineyard in a Semi-Arid Climate: Agronomic and Oenological Effects
by Fernando Sánchez-Suárez, Rafael Martínez-García, Nieves López de Lerma and Rafael A. Peinado
Agronomy 2025, 15(12), 2730; https://doi.org/10.3390/agronomy15122730 - 27 Nov 2025
Viewed by 350
Abstract
Climate change poses a major challenge for Mediterranean viticulture by accelerating ripening and reducing grape yield and quality. This study evaluated the synergistic effect of two adaptation strategies—non-positioned vegetation training (Sprawl) and foliar kaolin application—on the agronomic and oenological performance of Syrah cv. [...] Read more.
Climate change poses a major challenge for Mediterranean viticulture by accelerating ripening and reducing grape yield and quality. This study evaluated the synergistic effect of two adaptation strategies—non-positioned vegetation training (Sprawl) and foliar kaolin application—on the agronomic and oenological performance of Syrah cv. under semi-arid conditions over two consecutive seasons. Agronomic traits, bunch microclimate, and volatile composition of wines were determined. The combination of Sprawl and kaolin reduced bunch temperature by up to 2 °C, improved vine balance, and maintained optimal acidity and colour intensity. Wines from this treatment exhibited higher concentrations of esters and terpenes, generating more pronounced fruity, floral, and citrus aromas. Multivariate analysis of aroma series revealed clear differences between treatments and vintages, with 2025 showing stronger aromatic distinctions. Heatmap clustering confirmed that vintage was the main differentiating factor, followed by training system. These findings highlight the potential of integrating simple canopy management with reflective particle films to improve grape and wine quality under future Mediterranean conditions. Full article
(This article belongs to the Section Horticultural and Floricultural Crops)
Show Figures

Figure 1

12 pages, 7374 KB  
Article
Evaluation of Pollination Potential in ‘Jinfeng’ Kiwifruit Seedling Male Plants Based on Floral Traits and Pollen Viability
by Yanyan Chen, Shilong Qian, Jiliang Dai, Jikang Shi, Hui Tu, Chenxi Le, Junjie Tao and Chunhui Huang
Horticulturae 2025, 11(12), 1432; https://doi.org/10.3390/horticulturae11121432 - 26 Nov 2025
Viewed by 513
Abstract
This study systematically assessed floral phenotypic traits, pollen viability, and ultrastructure in 120 male progeny of Actinidia chinensis ‘Jinfeng’. We documented floral features, measured pollen viability using Alexander staining and germination tests, and analyzed pollen morphology through scanning electron microscopy. Correlation analyses examined [...] Read more.
This study systematically assessed floral phenotypic traits, pollen viability, and ultrastructure in 120 male progeny of Actinidia chinensis ‘Jinfeng’. We documented floral features, measured pollen viability using Alexander staining and germination tests, and analyzed pollen morphology through scanning electron microscopy. Correlation analyses examined relationships between pollen viability and floral or pollen morphological traits. Results showed uniform qualitative floral traits but significant variation in quantitative traits. Pollen viability ranged widely (0.3–100%, CV = 43.60%) with consistent outcomes across assessment methods. Pollen grains were mainly prolate to perprolate with three germination furrows, polar axis length (P) ranged from 25.34 to 34.62 μm, equatorial axis length (E) ranged from 11.72 to 16.17 μm, and colpus length ranged from 20.6 to 30.58 μm. Viability was not correlated with quantitative floral traits or anther color but was significantly positively correlated with the polar/equatorial diameter ratio (P/E ratio, r = 0.622), indicating higher viability in perprolate pollen (P/E > 2.0). This study highlights significant genetic diversity in ‘Jinfeng’ male progeny and establishes a relationship between pollen morphology and viability in kiwifruit, providing a theoretical and practical basis for male selection and a foundation for pollen morphology research. Full article
(This article belongs to the Special Issue Advances in Cultivation and Breeding of Kiwifruit)
Show Figures

Figure 1

25 pages, 8524 KB  
Article
Genome-Wide Analysis of the LEA Gene Family in Pineapple (Ananas comosus L.) Reveals Its Potential Roles in Cold Stress Response and Reproductive Development
by Zhimin Hou, Xinkai Cai, Denghang Wu, Haichao Gong, Jing Wang, Yinan Zhang, Qinglong Yao, Lulu Wang, Yuqin Liang, Yangmei Zhang, Yuan Qin, Xiaomei Wang and Ping Zheng
Biology 2025, 14(12), 1655; https://doi.org/10.3390/biology14121655 - 24 Nov 2025
Viewed by 549
Abstract
Late Embryogenesis Abundant (LEA) proteins play vital roles in plant responses to abiotic stress and developmental regulation. Pineapple (Ananas comosus L.) is a major tropical fruit crop with high economic value, but its production is often threatened by cold stress, particularly in [...] Read more.
Late Embryogenesis Abundant (LEA) proteins play vital roles in plant responses to abiotic stress and developmental regulation. Pineapple (Ananas comosus L.) is a major tropical fruit crop with high economic value, but its production is often threatened by cold stress, particularly in regions at the northern margin of its cultivation. Despite the recognized importance of LEA proteins in stress adaptation, their genomic landscape and functional characteristics in pineapple remain largely unexplored. In this study, 37 AcLEA genes were identified in the pineapple (Ananas comosus L.) genome and classified into six subfamilies, with LEA_2 being the largest. Most AcLEA proteins were predicted to be hydrophilic, thermally stable, and intrinsically disordered, consistent with typical LEA protein characteristics. Phylogenetic and collinearity analyses revealed species-specific expansion patterns, primarily driven by segmental duplication events. Most duplicated gene pairs shared similar exon–intron structures, motif compositions, and expression profiles, although several displayed signs of functional divergence based on distinct expression patterns, Ka/Ks ratios > 1, and motif differences. Promoter cis-element, transcription factor, and miRNA network predictions indicated that AcLEA genes are widely involved in stress responses as well as growth and development. Expression profiling showed that many AcLEA genes including AcLEA32, AcLEA7, AcLEA9, AcLEA30, AcLEA29, AcLEA33, and AcLEA18 were significantly upregulated under cold stress and declined upon stress removal, indicating a potential role in cold tolerance. Some AcLEA genes, such as AcLEA32 and AcLEA33, showed faster and stronger induction under cold stress in the cold-tolerant cultivar “Comte de Paris” (BL) compared to the sensitive cultivar “Tainong No. 20” (NN), suggesting that differential gene responsiveness may contribute to cultivar-specific cold tolerance. Additionally, most AcLEA genes exhibited distinct spatiotemporal expression patterns across floral organs and fruit at various developmental stages, suggesting their involvement in reproductive development. These findings provide a foundation for future functional studies and highlight candidate genes for improving cold resilience and developmental traits in pineapple through molecular breeding. Full article
Show Figures

Figure 1

19 pages, 762 KB  
Review
Research Progress on Molecular Breeding and Application of Clematis Plants
by Jiehui He, Lin Lin, Yizeng Chen, Xule Zhang, Yaping Hu, Lei Feng, Xiaohua Ma, Jiayi Lin, Qingdi Hu and Jian Zheng
Plants 2025, 14(23), 3575; https://doi.org/10.3390/plants14233575 - 22 Nov 2025
Viewed by 687
Abstract
Clematis L., a significant genus of climbing plants within the Ranunculaceae family, boasts widespread germplasm resources distributed across temperate to tropical regions globally, with Asia preserving particularly abundant native populations. This review systematically summarizes recent advances in Clematis research: in terms of physiological [...] Read more.
Clematis L., a significant genus of climbing plants within the Ranunculaceae family, boasts widespread germplasm resources distributed across temperate to tropical regions globally, with Asia preserving particularly abundant native populations. This review systematically summarizes recent advances in Clematis research: in terms of physiological characteristics, the research focuses on the evolution of plant classification, chromosomal evolutionary features revealed by karyotype analysis, and studies on genetic diversity and phylogenetic relationships based on molecular markers; in breeding methods, it summarizes the two major technical systems of sexual and asexual reproduction; regarding ornamental traits, it emphasizes the molecular mechanisms of flower color and form development, and synthesizes breakthroughs in techniques for flowering period regulation and research on the biosynthesis pathways of floral scent metabolites; in the field of stress resistance mechanisms, it thoroughly examines physiological responses and molecular adaptation mechanisms under abiotic stresses such as UV radiation, drought, high temperature, and intense light, and outlines research progress on pathogen types of major diseases; in studies of medicinal value, it highlights the material basis and mechanisms of pharmacological activities including anti-inflammatory, analgesic, and antitumor effects. Through multidimensional comprehensive analysis, this review aims to elucidate the comprehensive development potential of Clematis, providing theoretical foundations and practical guidance for germplasm resource innovation, breeding of high-ornamental-value cultivars, and stress resistance applications. Full article
(This article belongs to the Section Plant Molecular Biology)
Show Figures

Figure 1

18 pages, 5797 KB  
Article
Integrated Transcriptomic and Developmental Analyses Provide Insights into the Intrafloral Stamen Differentiation in Cassia fistula L.
by Zhonglai Luo, Tingting Duan, Xiaoyuan Li, Jianxuan Zhou, Qiankun Liu and Libo Jiang
Plants 2025, 14(22), 3490; https://doi.org/10.3390/plants14223490 - 15 Nov 2025
Viewed by 403
Abstract
Selective pressure targeting male functions plays a crucial role in the evolution of floral morphological traits. In some angiosperm groups, flowers contain two or more sets of stamens that vary in size, color, and morphology, a phenomenon known as heteranthery. This reflects an [...] Read more.
Selective pressure targeting male functions plays a crucial role in the evolution of floral morphological traits. In some angiosperm groups, flowers contain two or more sets of stamens that vary in size, color, and morphology, a phenomenon known as heteranthery. This reflects an evolutionary adaptation of stamens. However, the developmental basis and molecular mechanisms remain poorly understood. This study integrates transcriptomic and developmental approaches to elucidate the molecular and morphological mechanisms underlying intra-floral stamen differentiation in Cassia fistula L., an economic leguminous tree exhibiting heteranthery with three distinct stamen types: long stamens (LS), short stamens (SS), and degenerated stamens (St). We documented asynchronous stamen primordia initiation and development trajectories across stamen types. Transcriptomic profiling and protein–protein interaction analysis identified differentially expressed genes (DEGs) between filaments of the three stamen sets, with significant enrichment in brassinosteroid (BR) related pathways. CYP90D1 (Cf_f49903) and CYP90C1 (Cf_f56973) emerged as candidate genes related to stamen length differentiation in C. fistula. This study not only helped elucidate the developmental and genetic framework of heteranthery in C. fistula but also provided new insights for exploring floral organ evolution in leguminous plants. Full article
(This article belongs to the Special Issue Recent Advances in Horticultural Plant Genomics)
Show Figures

Figure 1

18 pages, 1815 KB  
Article
Reproductive Ecology of Loeselia mexicana (Polemoniaceae): Protandry, Self-Incompatibility and a Generalized Pollination System Challenge Traditional Ornithophilous Assumptions
by Liliana Mora-Hernández, Carlos Lara, Mariana Cuautle, Ubaldo Márquez-Luna and Karla López-Vázquez
Ecologies 2025, 6(4), 78; https://doi.org/10.3390/ecologies6040078 - 14 Nov 2025
Viewed by 518
Abstract
Loeselia mexicana (Polemoniaceae) is a Mexican shrub with significant medicinal value since pre-Hispanic times. Despite its ethnobotanical importance and apparent role in supporting pollinator communities, detailed information about its reproductive biology remains limited, hindering conservation efforts for this increasingly harvested species. We investigated [...] Read more.
Loeselia mexicana (Polemoniaceae) is a Mexican shrub with significant medicinal value since pre-Hispanic times. Despite its ethnobotanical importance and apparent role in supporting pollinator communities, detailed information about its reproductive biology remains limited, hindering conservation efforts for this increasingly harvested species. We investigated the reproductive ecology of L. mexicana across two flowering seasons (2023–2024 and 2024–2025) in central Mexico through an integrated approach examining flowering phenology, floral morphology, sexual maturation sequence, nectar characteristics, floral visitors, and breeding system experiments. Flowering occurs from September to March, peaking in October. Flowers exhibit protandry, with anther dehiscence on days 1–2 and stigma receptivity from day 2 onward (flower lifespan: 2.85 ± 0.11 days). Maximum nectar production (1.46 ± 0.05 µL per flower; 193.13 ± 8.8 mg/mL) coincided with peak visitor activity. Despite possessing classic ornithophilous traits, we recorded 21 floral visitor species (5 hummingbirds, 3 hymenopterans, 13 butterflies) with similar visitation patterns, challenging previous assumptions about pollination specialization. Controlled pollination experiments confirmed self-incompatibility, with cross-pollination producing significantly more seeds than autonomous selfing. Our findings reveal that L. mexicana maintains a generalized pollination system, while protandry and self-incompatibility enforce outcrossing, providing critical baseline information for conservation strategies. Full article
Show Figures

Graphical abstract

Back to TopTop