Crosstalk between Selenium and Sulfur Is Associated with Changes in Primary Metabolism in Lettuce Plants Grown under Se and S Enrichment
Abstract
:1. Introduction
2. Results
2.1. Plant Biomass
2.2. Se Accumulation in Lettuce Plants
2.3. Elemental Composition
2.4. Amino Acids Analysis
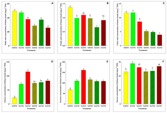
2.5. Determination of Organic Acids, Water-Soluble Sugars, and Inorganic Anions
3. Discussion
4. Materials and Methods
4.1. Plant Material and Treatments
4.2. Amino Acids Analysis
4.3. Determination of Inorganic Anions, Organic Acids, and Water-Soluble Sugars
4.4. Mineral Analyses Using ICP-MS
4.5. Determination of the S and N Concentrations Using an Elemental Analyzer
4.6. Statistical Analysis
5. Conclusions
Author Contributions
Funding
Institutional Review Board Statement
Informed Consent Statement
Data Availability Statement
Acknowledgments
Conflicts of Interest
References
- Schiavon, M.; Lima, L.W.; Jiang, Y.; Hawkesford, M.J. Effects of Selenium on Plant Metabolism and Implications for Crops and consumers. In Selenium in Plants; Pilon-Smits, E., Winkel, L., Lin, Z.Q., Eds.; Plant Ecophysiology; Springer: Cham, Switzerland, 2017; Volume 11. [Google Scholar]
- Dos Santos, M.; da Silva, F.M.; Muccillo-Baisch, A.L. Selenium content of Brazilian foods: A review of the literature values. J. Food Compos. Anal. 2017, 58, 10–15. [Google Scholar] [CrossRef]
- Kuršvietienė, L.; Mongirdienė, A.; Bernatonienė, J.; Šulinskienė, J.; Inga Stanevičienė, I. Selenium anticancer properties and impact on cellular redox status. Antioxidants 2020, 9, 80. [Google Scholar] [CrossRef] [PubMed] [Green Version]
- Chauhan, R.; Awasthi, S.; Srivastava, S.; Dwivedi, S.; Pilon-Smits, E.A.H.; Dhankher, O.P.; Tripathi, R.D. Understanding selenium metabolism in plants and its role as a beneficial element. Crit. Rev. Environ. Sci. Technol. 2019, 49, 1937–1958. [Google Scholar] [CrossRef]
- Shreenath, A.P.; Ameer, M.A.; Dooley, J. Selenium Deficiency. In Treasure Island; StatPearls Publishing: Treasure Island, FL, USA, 2018. [Google Scholar]
- Abdalla, M.A.; Meschede, C.A.C.; Mühling, K.H. Selenium foliar application alters patterns of glucosinolate hydrolysis products of pak choi Brassica rapa L. var. chinensis. Sci. Hortic. 2020, 273, 109614. [Google Scholar] [CrossRef]
- Abdalla, M.A.; Wick, J.E.; Famuyide, I.M.; McGaw, L.J.; Mühling, K.H. Selenium enrichment of green and red lettuce and the induction of radical scavenging potential. Horticulturae 2021, 7, 488. [Google Scholar] [CrossRef]
- Kopriva, S.; Malagoli, M.; Takahashi, H. Sulfur nutrition. Impacts on plant development, metabolism, and stress responses. J. Exp. Bot. 2019, 16, 4069–4073. [Google Scholar] [CrossRef] [PubMed]
- Capaldi, F.R.; Gratão, P.L.; Reis, A.R.; Lima, L.W.; Azevedo, R.A. Sulfur metabolism and stress defense responses in plants. Trop. Plant Biol. 2015, 8, 60–73. [Google Scholar] [CrossRef] [Green Version]
- Abdalla, M.A.; Mühling, K.H. Plant-derived sulfur containing natural products produced as a response to biotic and abiotic stresses: A review of their structural diversity and medicinal importance. J. Appl. Bot. Food Qual. 2019, 92, 204–215. [Google Scholar]
- Abdalla, M.A.; Sulieman, S.; Mühling, K.H. Regulation of selenium/sulfur interactions to enhance chemopreventive effects: Lessons to learn from Brassicaceae. Molecules 2020, 25, 5846. [Google Scholar] [CrossRef]
- Ellis, D.R.; Salt, D.E. Plants, selenium and human health. Curr. Opin. Plant Biol. 2003, 6, 273–279. [Google Scholar] [CrossRef]
- Khan, M.S.; Hell, R. Applied cell biology of sulphur and selenium in plants. In Applied Plant Cell Biology; Nick, P., Opatrný, Z., Eds.; Springer: Berlin, Germany, 2014; pp. 246–272. [Google Scholar]
- Ramos, S.J.; Rutzke, M.A.; Hayes, R.J.; Faquin, V.; Guilherme, L.R.G.; Li, L. Selenium accumulation in lettuce germplasm. Planta 2011, 233, 649–660. [Google Scholar] [CrossRef]
- Hounsome, N.; Hounsome, B.; Tomos, D.; Edwards-Jones, G. Plant metabolites and nutritional quality of vegetables. J. Food Sci. 2008, 73, R48–R65. [Google Scholar] [CrossRef] [PubMed]
- Stoffaneller, R.; Morse, N.L. A review of dietary selenium intake and selenium status in Europe and the Middle East. Nutrients 2015, 7, 1494–1537. [Google Scholar] [CrossRef] [PubMed]
- Balch, P.A.; Balch, J.F. Prescription for Dietary Wellness: Using Foods to Heal; Avery Publishing Group: New York, NY, USA, 1998. [Google Scholar]
- Kipp, A.P.; Strohm, D.; Brigelius-Flohé, R.; Schomburg, L.; Bechthold, A.; Leschik-Bonnet, E.; Heseker, H. German Nutrition Society (DGE) revised reference values for selenium intake. J. Trace Elem. Med. Biol. 2015, 32, 195–199. [Google Scholar] [CrossRef] [PubMed] [Green Version]
- Hawrylak-Nowak, B. Comparative effects of selenite and selenate on growth and selenium accumulation in lettuce plants under hydroponic conditions. Plant Growth Regul. 2013, 70, 149–157. [Google Scholar] [CrossRef] [Green Version]
- Ram, H.; Rashid, A.; Zhang, W.; Duarte, A.P.; Phattarakul, N.; Simunji, S.; Kalayci, M.; Freitas, R.; Rerkasem, B.; Bal, R.S.; et al. Biofortification of wheat, rice and common bean by applying foliar zinc fertilizer along with pesticides in seven countries. Plant Soil 2016, 403, 389–401. [Google Scholar] [CrossRef]
- Zou, C.; Du, Y.; Rashid, A.; Ram, H.; Savasli, E.; Pieterse, P.J.; Ortiz-Monasterio, I.; Yazici, A.; Kaur, C.; Mahmood, K.; et al. Simultaneous biofortification of wheat with zinc, iodine, selenium, and iron through foliar treatment of a micronutrient cocktailin six countries. J. Agric. Food Chem. 2019, 67, 8096–8106. [Google Scholar] [CrossRef] [Green Version]
- Tian, M.; Hui, M.; Thannhauser, T.W.; Pan, S.; Li, L. Selenium-induced toxicity is counteracted by sulfur in broccoli (Brassica oleracea L. var. italica). Front. Plant Sci. 2017, 8, 1425. [Google Scholar] [CrossRef] [Green Version]
- European Food Safety Authority. Scientific Opinion on Dietary Reference Values for selenium. EFSA Panel on Dietetic Products, Nutrition and Allergies (NDA). EFSA J. 2014, 10, 1–67. [Google Scholar]
- Yang, G.; Yin, S.; Zhou, R.; Gu, L.; Yan, B.; Liu, Y. Studies of safe maximal daily dietary Se-intake in a seleniferous area in China. Part II. Relation between Se-intake and the manifestation of clinical signs and certain biochemical alterations in blood and urine. J. Trace Elem. Electrolytes Health Dis. 1989, 3, 123–130. [Google Scholar]
- Coolong, T.W.; Kopsell, D.A.; Kopsell, D.E.; Randle, W.M. Nitrogen and Sulfur influence nutrient usage and accumulation in onion. J. Plant Nutr. 2004, 27, 1667–1686. [Google Scholar] [CrossRef]
- Teranishi, R.; Buttery, R.G.; Shahidi, F. Role of Free Amino Acids and Peptides in Food Taste; ACS Symposium Series; American Chemical Society: Washington, DC, USA, 1989; Flavor Chemistry Chapter 13; pp. 158–174. [Google Scholar]
- Galili, G. The aspartate-family pathway of plants: Linking production of essential amino acids with energy and stress regulation. Plant Signal. Behav. 2011, 6, 192–195. [Google Scholar] [CrossRef] [PubMed] [Green Version]
- Okumoto, S.; Funck, D.; Trovato, M.; Forlani, G. Editorial: Amino acids of the glutamate family: Functions beyond primary metabolism. Front. Plant Sci. 2016, 7, 318. [Google Scholar] [CrossRef] [PubMed] [Green Version]
- Malagoli, M.; Schiavon, M.; dall’Acqua, S.; Pilon-Smits, E.A.H. Effects of selenium biofortification on crop nutritional quality. Front. Plant Sci. 2015, 6, 280. [Google Scholar] [CrossRef] [Green Version]
- Dall’Acqua, S.; Ertani, A.; Pilon-Smits, E.A.H.; Fabrega-Prats, M.; Schiavon, M. Selenium biofortification differentially affects sulfur metabolism and accumulation of phytochemicals in two rocket species (Eruca sativa Mill. and Diplotaxis tenuifolia) grown in hydroponics. Plants 2019, 8, 68. [Google Scholar] [CrossRef] [PubMed] [Green Version]
- Piñero, M.C.; Otálora, G.; Collado-González, J.; López-Marín, J.; del Amor, F.M. Effects of selenium on the chlorophylls, gas exchange, antioxidant activity and amino acid composition of lettuce grown under an aquaponics system. Horticulturae 2022, 8, 30. [Google Scholar] [CrossRef]
- Hu, W.; Su, Y.; Zhou, J.; Zhu, H.; Guo, J.; Huo, H.; Gong, H. Foliar application of silicon and selenium improves the growth, yield and quality characteristics of cucumber in field conditions. Sci. Hortic. 2022, 294, 110776. [Google Scholar] [CrossRef]
- Abdalla, M.A.; Li, F.; Wenzel-Storjohann, A.; Sulieman, S.; Tasdemir, D.; Mühling, K.H. Comparative metabolite profile, biological activity and overall quality of three lettuce (Lactuca sativa L., Asteraceae) cultivars in response to sulfur nutrition. Pharmaceutics 2021, 13, 713. [Google Scholar] [CrossRef]
- Chadwick, M.; Gawthrop, F.; Michelmore, R.W.; Wagstaff, C.; Methven, L.L. Perception of bitterness, sweetness and liking of different genotypes of lettuce. Food Chem. 2016, 197, 66–74. [Google Scholar] [CrossRef]
- Turck, D.; Castenmiller, J.; de Henauw, S.; Hirsch-Ernst, K.-I.; Kearney, J.; Knutsen, H.K.; Maciuk, A.; Mangelsdorf, I.; McArdle, H.J.; Pelaez, C.; et al. Dietary reference values for chloride. EFSA J. 2019, 17, 5779. [Google Scholar]
- Golubkina, N.; Moldovan, A.; Fedotov, M.; Kekina, H.; Kharchenko, V.; Folmanis, G.; Alpatov, A.; Caruso, G. Iodine, and selenium biofortification of chervil plants treated with silicon nanoparticles. Plants 2021, 10, 2528. [Google Scholar] [CrossRef] [PubMed]
- Karwowska, M.; Kononiuk, A. Nitrates/Nitrites in food—risk for nitrosative stress and benefits. Antioxidants 2020, 9, 241. [Google Scholar] [CrossRef] [PubMed] [Green Version]
- Hord, N.G.; Tang, Y.P.; Bryan, N.S. Food sources of nitrates and nitrites: The physiologic context for potential health benefits. Am. J. Clin. Nutr. 2009, 90, 1–10. [Google Scholar] [CrossRef] [PubMed]
- Zhou, C.; Shi, Z.; Ouyang, N.; Ruan, X. Hyperphosphatemia and cardiovascular disease. Front. Cell Dev. Biol. 2021, 9, 644363. [Google Scholar] [CrossRef] [PubMed]




| Treatments | ||||||
|---|---|---|---|---|---|---|
| Se0/S1 | Se1/S1 | Se2/S1 | Se0/S2 | Se1/S2 | Se2/S2 | |
| Macronutrients | ||||||
| P | 3.81 ± 0.03 c | 4.10 ± 0.08 ab | 4.22 ± 0.1 a | 3.81 ± 0.04 c | 4.06 ± 0.1 b | 4.21 ± 0.1 ab |
| Mg | 1.28 ± 0.1 b | 1.32 ± 0.1 b | 1.27 ± 0.02 b | 1.50 ± 0.1 a | 1.52 ± 0.03 a | 1.60 ± 0.04 a |
| K | 49.9 ± 0.7 a | 50.3 ± 0.2 a | 46.1 ± 0.8 b | 43.2 ± 0.7 c | 43.6 ± 0.4 c | 44.1 ± 0.9 c |
| Ca | 2.4 ± 0.1 b | 2.62 ± 0.1 a | 2.21 ± 0.1 c | 2.00 ± 0.1 d | 2.00 ± 0.03 d | 2.1 ± 0.1 d |
| N | 37.7 ± 0.87 a | 36.6 ± 0.6 ab | 36.7 ± 0.9 ab | 36.01 ± 0.5 bc | 34.9 ± 0.6 c | 34.7 ± 0.9 c |
| S | 2.97 ± 0.04 bc | 3.09 ± 0.1 ab | 2.85 ± 0.1 c | 2.91 ± 0.1 c | 3.09 ± 0.1 ab | 3.13 ± 0.1 a |
| Micronutrients | ||||||
| Mn | 24.00 ± 0.9 c | 29.2 ± 0.7 b | 31.3 ± 1.6 a | 13.9 ± 0.3 d | 13.4 ± 0.4 d | 13.9 ± 0.23 d |
| Fe | 37.3 ± 0.8 d | 37.6 ± 1.2 d | 38.7 ± 1.0 d | 41.1 ± 0.8 c | 46.6 ± 0.5 a | 43.3 ± 0.6 b |
| Cu | 5.57 ± 0.1 b | 6.07 ± 0.03 a | 4.94 ± 0.12 c | 4.83 ± 0,22 c | 5.02 ± 0.06 c | 2.94 ± 0.03 d |
| Zn | 91.4 ± 0.5 b | 98.00 ± 1.8 a | 53.00 ± 1.3 d | 97.2 ± 0.2 a | 90.3 ± 0.6 b | 59.2 ± 1.00 c |
| Treatments | ||||||
|---|---|---|---|---|---|---|
| Amino Acids | Se0/S1 | Se1/S1 | Se2/S1 | Se0/S2 | Se1/S2 | Se2/S2 |
| Asp | 3.86 ± 0.1 c | 4.69 ± 0.2 a | 4.59 ± 0.2 a | 3.71 ± 0.2 c | 4.22 ± 0.3 b | 4.67 ± 0.02 a |
| Thr | 9.41 ± 0.1 a | 9.28 ± 0.3 a | 7.68 ± 0.2 c | 7.02 ± 0.3 d | 8.36 ± 0.4 b | 8.87 ± 0.04 ab |
| Ser | 16.60 ± 0.7 a | 16.98 ± 0.7 a | 14.46 ± 0.4 b | 13.6 ± 0.6 b | 16.5 ± 0.9 a | 17.1 ± 0.1 a |
| Asn, Glu, Gln | 41.00 ± 2.4 bc | 45.4 ± 1.9 ab | 39.00 ± 2.2 cd | 35.5 ± 1.9 d | 43.9 ± 2.7 b | 48.7 ± 0.3 a |
| Gly | 1.21 ± 0.1 ab | 1.12 ± 0.1 bc | 1.47 ± 0.2 a | 0.86 ± 0.1 c | 1.16 ± 0.1 b | 1.04 ± 0.1 bc |
| Ala | 17.2 ± 0.3 a | 15.4 ± 0.8 b | 15.3 ± 1.2 b | 11.3 ± 0.8 d | 13.6 ± 0.7 c | 14.00 ± 0.9 bc |
| Val | 12.2 ± 0.25 a | 11.9 ± 1.00 a | 10.5 ± 1.1 b | 9.9 ± 0.5 b | 11.9 ± 0.3 a | 12.6 ± 0.3 a |
| Ile | 4.17 ± 0.1 a | 4.07 ± 0.2 a | 3.74 ± 0.1 b | 3.06 ± 0.2 c | 4.10 ± 0.1 a | 4.08 ± 0.03 a |
| Leu | 2.57 ± 0.3 a | 2.22 ± 0.2 a | 2.41 ± 0.1 a | 1.46 ± 0.1 b | 2.49 ± 0.1 a | 2.11 ± 0.1 a |
| Treatments | ||||||
|---|---|---|---|---|---|---|
| Se0/S1 | Se1/S1 | Se2/S1 | Se0/S2 | Se1/S2 | Se2/S2 | |
| Cl− | 22.8 ± 1.9 a | 18.7 ± 0.6 a | 15.7 ± 0.8 b | 11.5 ± 1.1 c | 8.95 ± 0.6 d | 9.16 ± 0.86 cd |
| SO42− | 1.50 ± 0.2 a | 1.09 ± 0.04 b | 0.69 ± 0.1 c | 0.96 ± 0.11 bc | 0.81 ± 0.04 cd | 0.80 ± 0.1 cd |
| NO3− | 14.9 ± 0.6 a | 11.3 ± 0.4 b | 8.94 ± 0.6 c | 9.04 ± 0.58 c | 6.72 ± 0.51 d | 6.85 ± 0.83 d |
| PO43− | 5.68 ± 0.9 a | 4.68 ± 0.7 ab | 4.34 ± 1.01 bc | 3.26 ± 0.14 c | 3.37 ± 0.38 c | 3.20 ± 0.45 c |
Publisher’s Note: MDPI stays neutral with regard to jurisdictional claims in published maps and institutional affiliations. |
© 2022 by the authors. Licensee MDPI, Basel, Switzerland. This article is an open access article distributed under the terms and conditions of the Creative Commons Attribution (CC BY) license (https://creativecommons.org/licenses/by/4.0/).
Share and Cite
Abdalla, M.A.; Lentz, C.; Mühling, K.H. Crosstalk between Selenium and Sulfur Is Associated with Changes in Primary Metabolism in Lettuce Plants Grown under Se and S Enrichment. Plants 2022, 11, 927. https://doi.org/10.3390/plants11070927
Abdalla MA, Lentz C, Mühling KH. Crosstalk between Selenium and Sulfur Is Associated with Changes in Primary Metabolism in Lettuce Plants Grown under Se and S Enrichment. Plants. 2022; 11(7):927. https://doi.org/10.3390/plants11070927
Chicago/Turabian StyleAbdalla, Muna Ali, Christine Lentz, and Karl H. Mühling. 2022. "Crosstalk between Selenium and Sulfur Is Associated with Changes in Primary Metabolism in Lettuce Plants Grown under Se and S Enrichment" Plants 11, no. 7: 927. https://doi.org/10.3390/plants11070927
APA StyleAbdalla, M. A., Lentz, C., & Mühling, K. H. (2022). Crosstalk between Selenium and Sulfur Is Associated with Changes in Primary Metabolism in Lettuce Plants Grown under Se and S Enrichment. Plants, 11(7), 927. https://doi.org/10.3390/plants11070927

