Characterisation and Effects of Different Levels of Water Stress at Different Growth Stages in Malt Barley under Water-Limited Conditions
Abstract
:1. Introduction
2. Results
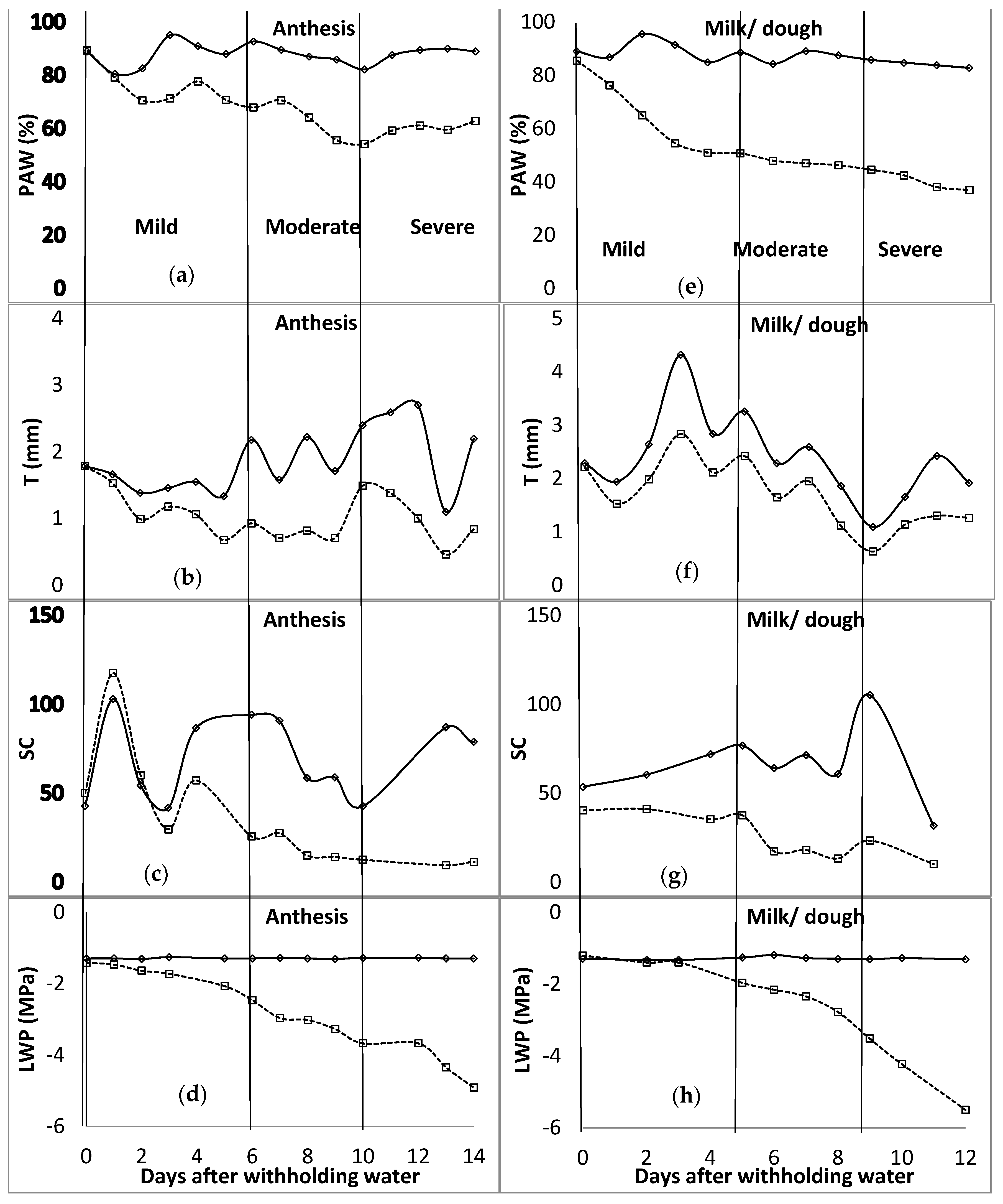
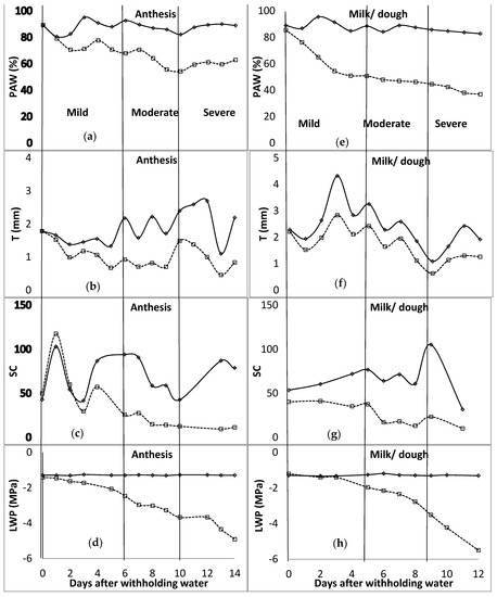
2.1. Characterisation of Water Stress (Season 1: 2011)
2.2. Characterisation of Water Stress (Season 2: 2012)
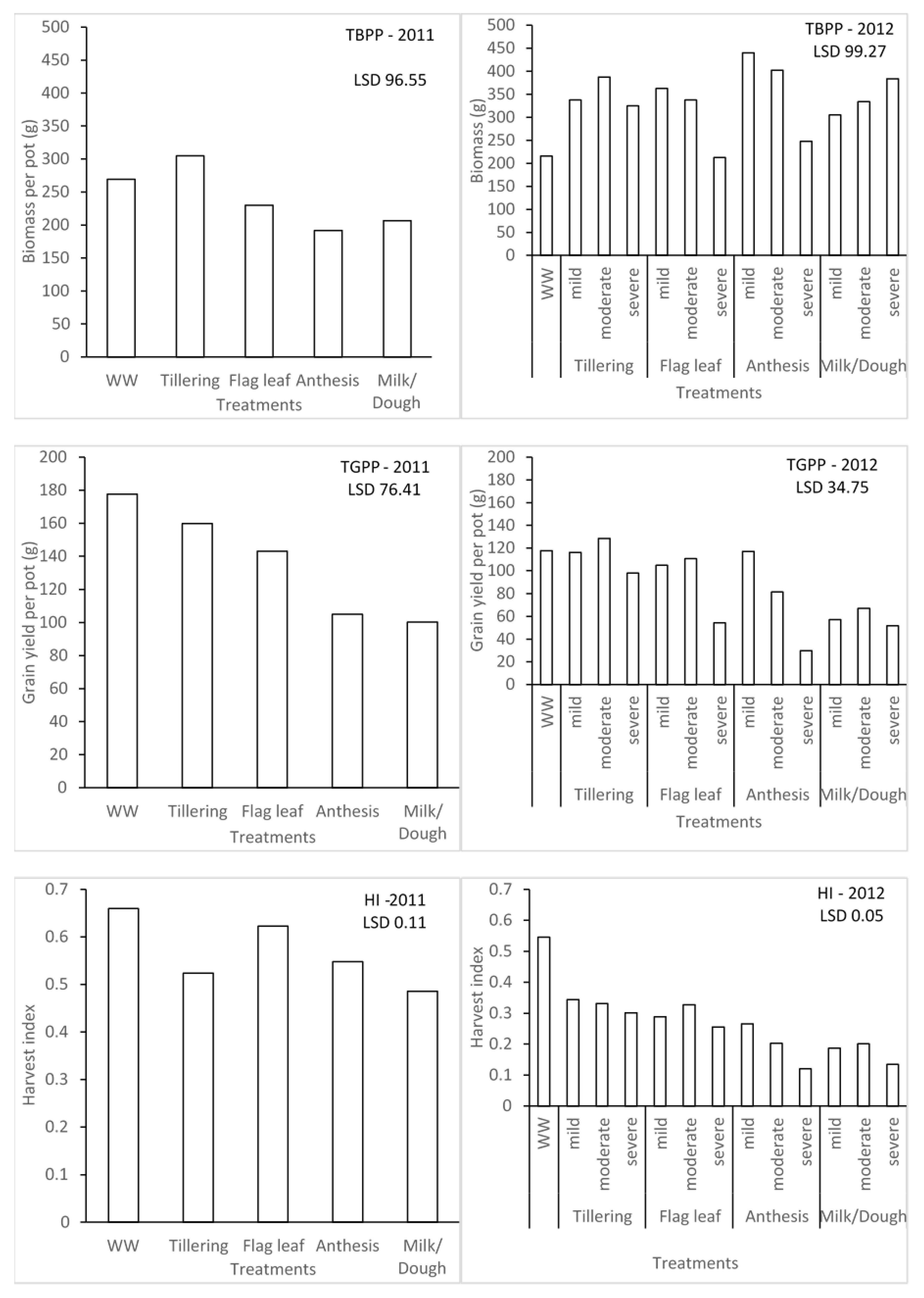
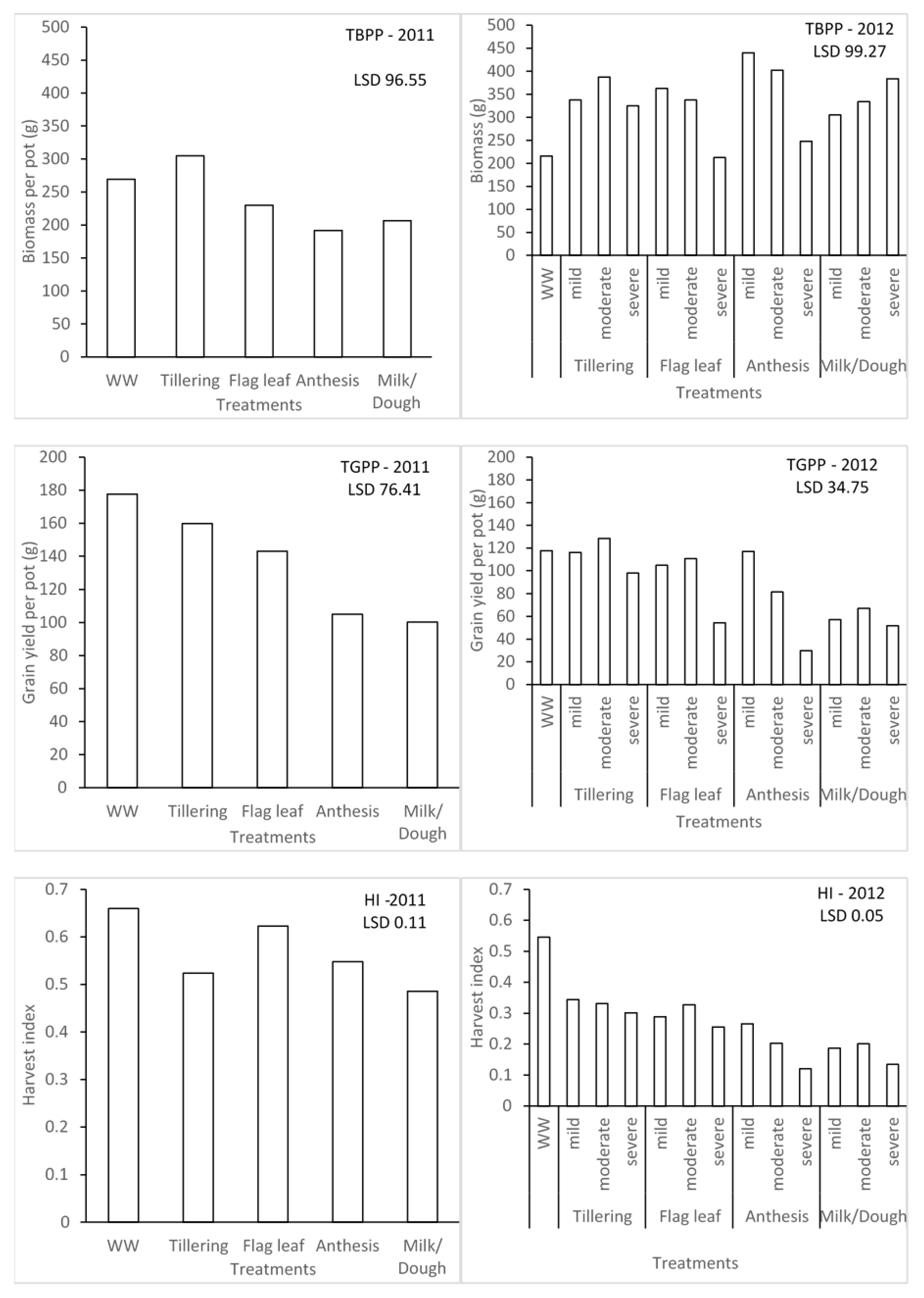
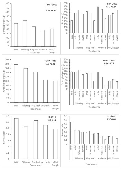
2.3. Effect of Water Stress on Grain Yield and Yield Components
3. Discussion
4. Materials and Methods
4.1. Description of Study Site
4.2. Greenhouse Facility Description
4.3. Experimental Design and Management
4.4. Treatments: Levels of Water Stress Determination
4.5. Plant Water Status Measurements
4.6. Yield and Yield Components
4.7. Statistical Analysis
5. Conclusions
Author Contributions
Funding
Institutional Review Board Statement
Informed Consent Statement
Data Availability Statement
Acknowledgments
Conflicts of Interest
References
- Lauer, J. How do you manage a corn crop after stress? Field Crop. Res. 2007, 28, 28–46. [Google Scholar]
- Mirzaei, A.; Naseri, R.; Soleimani, R. Response of Different Growth Stages of Wheat to Moisture Tension in a Semiarid Land. World Appl. Sci. J. 2011, 12, 83–89. [Google Scholar]
- Zhao, W.; Liu, L.; Shen, Q.; Yang, J.; Han, X.; Tian, F.; Wu, J. Effects of Water Stress on Photosynthesis, Yield, and Water Use Efficiency in Winter Wheat. Water 2020, 12, 2127. [Google Scholar] [CrossRef]
- Fettell, N.; Bowden, P.; McNee, T.; Border, N. Barley growth & development: Profitable, Sustainable Cropping (PROCOP) Series; State of New South Wales through Department of Industry and Investment (Industry & Investment NSW): Parramatta, NSW, Australia, 2010.
- South African Barley Breeding Institute. Guidelines for the Production of Malt Barley under Irrigation. 2009. Available online: http://www.sabbi.org/reports/Guidelines%20for%20the%20Production%20of%20Malt%20Barley%20under%20Irrigation%202009.pdf (accessed on 24 January 2015).
- Gous, P.W.; Gilbert, R.G.; Fox, G.P. Drought-proofing barley (Hordeum vulgare) and its impact on grain quality: A review. J. Ins. Brew. 2015, 121, 19–27. [Google Scholar] [CrossRef] [Green Version]
- Baik, B.K.; Ullrich, S.E. Barley for food: Characteristics, improvement, and renewed interest. J. Cereal Sci. 2008, 48, 233–242. [Google Scholar] [CrossRef]
- Van Rensburg, L.D.; Barnard, J.H.; Bennie, A.T.P.; Sparrow, J.B.; Du Preez, C.C. Managing Salinity Associated with Irrigation at Orange-Riet and Vaalharts Irrigation Schemes; WRC Report No. 1647/1/12; Water Research Commission: Pretoria, South Africa, 2012; p. 179. [Google Scholar]
- Boyer, J.S. Plant productivity and the environment. Science 1982, 218, 413–448. [Google Scholar] [CrossRef]
- Porporato, A.; Laio, F.; Ridolfi, L.; Rodriguez-Iturbe, I. Plants in water-controlled ecosystems: Active role in hydrologic processes and response to water stress—III. Vegetation water stress. Adv. Water Resour. 2001, 24, 725–744. [Google Scholar] [CrossRef]
- Hsiao, T.C. Plant responses to water stress. Ann. Rev. Plant Physio. 1973, 24, 519–570. [Google Scholar] [CrossRef]
- Bradford, K.J.; Hsiao, T.C. Physiological responses to moderate stress. In Physiological Plant Ecology II. Water Relations and Carbon Assimilation; Lange, O.L., Nobel, P.S., Osmond, C.B., Ziegler, H., Eds.; Encyclopedia of Plant Physiology; Springer: Berlin, Germany, 1982; Volume 12B, pp. 264–324. [Google Scholar]
- Kozlowski, T.T.; Pallardy, S.G. Acclimation and adaptive responses of woody plants to environmental stresses. Bot. Rev. 2002, 68, 111–117. [Google Scholar] [CrossRef]
- Lisar, S.Y.S.; Motafakkerazad, R.; Hossain, M.M.; Rahman, I.M. Water Stress in Plants: Causes, Effects and Responses; Rahman, I.M.M., Hasegawa, H., Eds.; Water stress. InTechOpen: Rijeka, Croatia, 2012; pp. 1–14. [Google Scholar]
- Shackel, K. A plant-based approach to deficit irrigation in trees and vines. Hortic. Sci. 2011, 46, 173–177. [Google Scholar] [CrossRef] [Green Version]
- Jones, H.G. Monitoring plant and soil water status: Established and novel methods revisited and their relevance to studies of drought tolerance. J. Exp. Bot. 2007, 58, 119–130. [Google Scholar] [CrossRef] [PubMed] [Green Version]
- Meyers, W.S.; Green, G.C. Plant indicators of wheat and soybean crop water stress. Irrig. Sci. 1981, 2, 167–176. [Google Scholar] [CrossRef]
- Peretz, J.; Evans, R.G.; Proebsting, E.L. Leaf water potentials for management of high frequency irrigation on apples. Trans. ASAE 1984, 27, 437–442. [Google Scholar] [CrossRef]
- Bello, Z.A.; Walker, S.; Tesfuhuney, W. Water relations and productivity of two lines of pearl millet grown on lysimeters with two different soil types. Agric. Water Manag. 2019, 221, 528–537. [Google Scholar] [CrossRef]
- Griffiths, H.; Parry, M.A. Plant responses to water stress. Ann. Bot. 2002, 89, 801–802. [Google Scholar] [CrossRef] [Green Version]
- Katerji, N.; Mastrorilli, M.; van Hoornc, J.W.; Lahmer, F.Z.; Hamdy, A.; Oweis, T. Durum wheat and barley productivity in saline–drought environments. Eur. J. Agron. 2009, 31, 1–9. [Google Scholar] [CrossRef]
- Siddique, M.R.B.; Hamid, A.; Islam, M.S. Drought stress effects on water relations of wheat. Bot. Bull. Acad. Sin. 2000, 41, 35–39. [Google Scholar]
- Zhang, B.; Li, F.M.; Huang, G.; Cheng, Z.Y.; Zhang, Y. Yield performance of spring wheat improved by regulated deficit irrigation in an arid area. Agric. Water Manag. 2006, 79, 28–42. [Google Scholar] [CrossRef]
- Chaves, M.M.; Pereira, J.S.; Maroco, J.; Rodrigues, M.L.; Picardo, P.P.; Osório, M.L.; Carvalho, I.; Faria, T.; Pinheiro, C. How plants cope with water stress in the field, photosynthesis and growth. Ann. Bot. 2002, 89, 907–916. [Google Scholar] [CrossRef] [Green Version]
- Kramer, P.J. Drought, stress, and the origin of adaptations. In Adaptations to Adaptations of Plants to Water and High Temperature Stress; Turner, N.C., Kramer, P.J., Eds.; John-Wiley & Sons: New York, NY, USA, 1980; pp. 7–20. [Google Scholar]
- Tezara, W.; Mitchell, V.J.; Driscoll, S.P.; Lawlor, D.W. Water stress inhibits plant photosynthesis by decreasing coupling factor and ATP. Nature 1999, 401, 914–917. [Google Scholar] [CrossRef]
- Oosterhuis, D.M.; Walker, S. Stomatal resistance measurement as an indicator of water deficit stress in wheat and soybeans. S. Afr. J. Plant Soil 1987, 4, 113–120. [Google Scholar] [CrossRef]
- Hale, M.G.; Orchutt, D.M. The Physiology of Plants to Stress; John Wiley: New York, NY, USA, 1987. [Google Scholar]
- Cornic, G. Drought stress and high light effects on leaf photosynthesis. In Photoinhibition of Photosynthesis: From Molecular Mechanisms to the Field; Baker, N.B., Bowyer, J.R., Eds.; Bios Scientific: Oxford, UK, 1994; pp. 297–313. [Google Scholar]
- Cornic, G.; Massacci, A. Leaf photosynthesis under drought stress. In Photosynthesis and the Environment; Baker, N.R., Ed.; Springer: Berlin/Heidelberg, Germany; Kluwer: Alfen am Rhein, The Netherlands, 1996; pp. 347–366. [Google Scholar]
- Lawlor, D.W.; Uprety, D.C. Effects of water stress on photosynthesis of crops and the biochemical mechanism. In Photosynthesis, Photoreactions to Plant Productivity; Abrol, Y.P., Mohanty, P., Govindjee, Eds.; Oxford and IBH Publishing Co.: New Delhi, India, 1991; pp. 421–445. [Google Scholar]
- Lawlor, D.W. The effect of water deficit on photosynthesis. In Environment and Plant Metabolism: Flexibility and Acclimation; Smirnoff, N., Ed.; Bios. Scientific: Oxford, UK, 1995; pp. 129–160. [Google Scholar]
- McCutchan, H.; Shackel, K.A. Stem-water potential as a sensitive indicator of water stress in prune trees (Prunus domestica L. cv. French). J. Am. Soc. Hort. Sci. 1992, 117, 607–611. [Google Scholar] [CrossRef] [Green Version]
- Blum, A. Plant Breeding for Water-Limited Environments, 1st ed.; Springer: New York, NY, USA, 2011. [Google Scholar]
- Sánchez-Díaz, M.; García, J.L.; Antolín, M.C.; Araus, J.L. Effects of soil drought and atmospheric humidity on yield, gas exchange, and stable carbon isotope composition of barley. Photosynthetica 2002, 40, 415–421. [Google Scholar] [CrossRef]
- Samarah, N.H. Effects of drought stress on growth and yield of barley. Agron. Sustain. Dev. 2005, 25, 145–149. [Google Scholar] [CrossRef] [Green Version]
- Blum, A. Sorghum physiology. In Physiology and Biotechnology Integration for Plant Breeding; Nguyen, H.T., Blum, A., Eds.; Marcel Dekker: New York, NY, USA, 2004; pp. 141–223. [Google Scholar]
- Clarke, J.M.; Townley, T.F.; Smith, T.N.; Caig, M.C.; Green, G. Growth analysis of spring wheat cultivars of varying drought resistance. Crop Sci. 1984, 24, 537–541. [Google Scholar] [CrossRef]
- Thornthwaite, C.W. An approach toward rational classification of climate. Geogr. Rev. 1948, 38, 55–94. [Google Scholar] [CrossRef]
- UNESCO. Map of the World Distribution of Arid Regions; Explanatory Notes; MAB Technical Note No. 7; UNESCO: Paris, France, 1979. [Google Scholar]
- SAWS (South African Weather Service). Climate of South Africa; Climate Statistics to 1990; SAWS: Pretoria, South Africa, 2002. [Google Scholar]
- FAO. World Reference Base for Soil Resources 2014; FAO: Rome, Italy, 2015. [Google Scholar]
- Soil Classification Working Group. Soil Classification: A Taxonomic System for South Africa; Memoirs on the Agricultural Natural Resources of South Africa No 15; Department of Agricultural Development: Pretoria, South Africa, 1991.
- Day, P.R. Particle fractionation and particle-size analysis. In Methods of Soil Analysis, Part I. Physical and Mineralogical Properties, Including Statistics of Measurement and Sampling, Agronomy Monograph 9.1, 1965; Black, C.A., Ed.; American Society of Agronomy, Soil Science Society of America: Madison, WI, USA, 1965; pp. 431–545. [Google Scholar]
- Tesfuhuney, W.; van Rensburg, L.D.; Walker, S.; Allemann, J. Quantifying and predicting soil water evaporation as influenced by runoff strip lengths and mulch cover. Agric. Water Manag. 2015, 152, 7–16. [Google Scholar] [CrossRef]
- Bello, Z.A.; Van Rensburg, L.D. Development, calibration and testing of a low-cost small lysimeter for monitoring evaporation and transpiration. Irrig. Drain. 2017, 66, 263–272. [Google Scholar] [CrossRef]
- Starr, J.L.; Paltineanu, I.C. Real time soil water dynamics over large areas using multisensor capacitance probes and monitoring system. Soil Tillage Res. 1998, 47, 43–49. [Google Scholar] [CrossRef]
- Thompson, R.B.; Gallardo, M.; Valdez, L.C.; Fernandez, M.D. Determination of lower limits for irrigation management using in situ assessments of apparent crop water uptake made with volumetric soil water content sensors. Agric. Water Manag. 2007, 92, 13–28. [Google Scholar] [CrossRef]
- Van der Westhuizen, R.J. Irrigation Scheduling of Tomatoes (Lycopersicon esculentum Mill.) and Cucumbers (Cucumis sativus L.) Grown Hydroponically in Coir. Ph.D. Thesis, Stellenbosch University, Stellenbosch, South Africa, 2009. [Google Scholar]




| Water Stress Indicator | Water Stress Level | Tillering | Flag Leaf | Anthesis | Milk/Dough |
|---|---|---|---|---|---|
| PAW (%) | Mild | 80.12 | 70.63 | 72.86 | 75.44 |
| Moderate | 43.83 | 57.51 | 70.9 | 53.28 | |
| Severe | 27.53 | 46.75 | 64.32 | 49.55 | |
| T (mm) | Mild | 1.26 | 1.59 | 1.64 | 2.42 |
| Moderate | 1.15 | 1.45 | 1.53 | 1.76 | |
| Severe | 1.05 | 0.87 | 0.51 | 0.55 | |
| SC (mmol m−2 s−1) | Mild | 88.08 | 60.75 | 50.98 | 34.58 |
| Moderate | 83.45 | 45.21 | 31.15 | 24.53 | |
| Severe | 37.15 | 22.18 | 9.23 | 17.57 | |
| LWP (MPa) | Mild | −1.14 | −1.03 | −1.99 | −2.77 |
| Moderate | −1.23 | −1.26 | −2.5 | −2.93 | |
| Severe | −1.33 | −2.19 | −3.62 | −3.27 |
| Soil Depth (mm) | Textural Class | Total Sand | Clay | Silt | Bulk Density | Porosity |
|---|---|---|---|---|---|---|
| (%) | (%) | (%) | (g cm−3) | (%) | ||
| 0–300 | Sand | 90 | 8 | 2 | 1.64 | 32 |
| 300–600 | Sandy loam | 82 | 14 | 4 | 1.52 | 46 |
| 600–900 | Sandy loam | 82 | 14 | 4 | 1.52 | 46 |
| 900–1200 | Sandy loam | 82 | 14 | 4 | 1.52 | 46 |
| 1200–1500 | Sandy clay loam | 76 | 20 | 4 | 1.57 | 48 |
| 1500–1800 | Sandy clay loam | 76 | 20 | 4 | 1.57 | 48 |
| Season | N | P | K | C | Ca | Mg | Na | Zn | pH (H2O) |
|---|---|---|---|---|---|---|---|---|---|
| ----------------------------------mg kg–1----------------------------------- | |||||||||
| Season 1 | 396.38 | 26.264 | 184.8 | 1328 | 827.6 | 230.8 | 34 | 5.36 | 7.48 |
| Season 2 | 332.3 | 26.39 | 154 | 1070 | 604 | 158 | 22 | 4.7 | 7 |
Publisher’s Note: MDPI stays neutral with regard to jurisdictional claims in published maps and institutional affiliations. |
© 2022 by the authors. Licensee MDPI, Basel, Switzerland. This article is an open access article distributed under the terms and conditions of the Creative Commons Attribution (CC BY) license (https://creativecommons.org/licenses/by/4.0/).
Share and Cite
Bello, Z.A.; van Rensburg, L.D.; Dlamini, P.; Tfwala, C.M.; Tesfuhuney, W. Characterisation and Effects of Different Levels of Water Stress at Different Growth Stages in Malt Barley under Water-Limited Conditions. Plants 2022, 11, 578. https://doi.org/10.3390/plants11050578
Bello ZA, van Rensburg LD, Dlamini P, Tfwala CM, Tesfuhuney W. Characterisation and Effects of Different Levels of Water Stress at Different Growth Stages in Malt Barley under Water-Limited Conditions. Plants. 2022; 11(5):578. https://doi.org/10.3390/plants11050578
Chicago/Turabian StyleBello, Zaid Adekunle, Leon D. van Rensburg, Phesheya Dlamini, Cinisani M. Tfwala, and Weldemichael Tesfuhuney. 2022. "Characterisation and Effects of Different Levels of Water Stress at Different Growth Stages in Malt Barley under Water-Limited Conditions" Plants 11, no. 5: 578. https://doi.org/10.3390/plants11050578
APA StyleBello, Z. A., van Rensburg, L. D., Dlamini, P., Tfwala, C. M., & Tesfuhuney, W. (2022). Characterisation and Effects of Different Levels of Water Stress at Different Growth Stages in Malt Barley under Water-Limited Conditions. Plants, 11(5), 578. https://doi.org/10.3390/plants11050578

