Salt Stress Induced Changes in Photosynthesis and Metabolic Profiles of One Tolerant (‘Bonica’) and One Sensitive (‘Black Beauty’) Eggplant Cultivars (Solanum melongena L.)
Abstract
:1. Introduction
2. Results
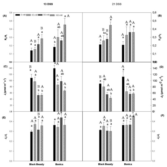
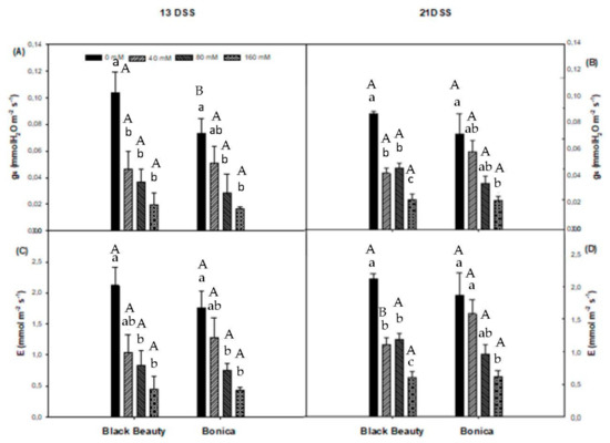
2.1. NaCl Induced Changes in Gas Exchange Parameters
2.2. NaCl Induced Changes in Plant Water Relations
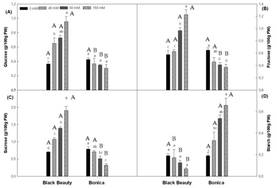
2.3. NaCl Induced Changes in Pigments and Metabolites
2.4. NaCl Induced Changes in Enzyme Activities
2.5. NaCl Induced Changes in Mineral Content
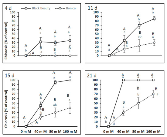
2.6. NaCl Induced Effects on Growth Parameters, Plant Water Status and Development of Leaf Symptoms
2.7. ACC Deaminase Producing Bacteria Assay
2.7.1. Quantitative Estimation of ACC Deaminase Activity
2.7.2. Quantification of Produced Indole Acetic Acid
2.8. Principal Component Analysis of Morphological and Physiological Responses to Salt Stress
3. Discussion
4. Materials and Methods
4.1. Plant Materials and Treatments
4.2. Gas Exchange Measurements
4.3. Plant Growth, Plant Water Status, and Development of Leaf Symptoms
4.4. Metabolites Extraction and Analysis
4.5. Enzymatic Assays
4.6. Mineral Content
4.7. Electrolyte Leakage (EL)
4.8. Total Phenolic Content
4.9. ACC Deaminase Producing Bacteria Assay
4.9.1. Collection of Rhizospheric Soil Sample
4.9.2. Isolation of Bacteria and Qualitative Estimation of ACC Deaminase Activity
4.9.3. Quantification of ACC Deaminase Activity
4.9.4. Indole Acetic Acid Production by Bacterial Isolates
4.10. Statistical Analysis
5. Conclusions
Author Contributions
Funding
Institutional Review Board Statement
Informed Consent Statement
Data Availability Statement
Acknowledgments
Conflicts of Interest
References
- Pitman, M.G.; Läuchli, A. Global Impact of Salinity and Agricultural Ecosystems. In Salinity: Environment—Plants—Molecules; Läuchli, A., Lüttge, U., Eds.; Springer: Dordrecht, The Netherlands, 2002; pp. 3–20. [Google Scholar] [CrossRef]
- Panta, S.; Flowers, T.J.; Lane, P.; Doyle, R.; Haros, G.; Shabala, S. Halophyte agriculture: Success stories. Environ. Exp. Bot. 2014, 107, 71–83. [Google Scholar] [CrossRef]
- Parida, A.K.; Das, A.B. Effects of NaCI stress on nitrogen and phosphorous metabolism in a true mangrove Bruguiera parviflora grown under hydroponic culture. J. Plant Physiol. 2004, 161, 921–928. [Google Scholar] [CrossRef]
- Hanin, M.; Ebel, C.; Ngom, M.; Laplaze, L.; Masmoudi, K. New insights on plant salt tolerance mechanisms and their potential use for breeding. Front. Plant. Sci. 2016, 7, 1787. [Google Scholar] [CrossRef] [PubMed] [Green Version]
- Tuteja, N.; Sarvajeet, S.; Gill, A.; Tiburcio, F.; Tuteja, R. Improving Crop Resistance to Abiotic Stress; Tuteja, N., Sarvajeet, S., Gill, A., Tiburcio, F., Tuteja, R., Eds.; John Wiley & Sons: Hoboken, NJ, USA, 2012. [Google Scholar]
- Munns, R.; James, R.A.; Läuchli, A. Approaches to increasing the salt tolerance of wheat and other cereals. J. Exp. Bot. 2006, 57, 1025–1043. [Google Scholar] [CrossRef] [PubMed] [Green Version]
- Zörb, C.; Geilfus, C.M.; Dietz, K.J. Salinity and crop yield. Plant Biol. 2018, 21, 31–38. [Google Scholar] [CrossRef] [PubMed]
- De Pascale, S.; Barbieri, G. Effects of soil salinity from long-term irrigation with saline-sodic water on yield and quality of winter vegetable crops. Sci. Hortic. 1995, 64, 145–157. [Google Scholar] [CrossRef]
- Goldstein, G.; Drake, D.R.; Alpha, C.; Melcher, P.; Heraux, J.; Azocar, A. Growth and photosynthetic responses of Scaevola sericea, a Hawaiian coastal shrub, to substrate salinity and salt spray. Int. J. Plant Sci. 1996, 157, 171–179. [Google Scholar] [CrossRef]
- Hsiao, T.C.; Xu, L.K. Sensitivity of growth of roots versus leaves to water stress: Biophysical analysis and relation to water transport. J. Exp. Bot. 2000, 51, 1595–1616. [Google Scholar] [CrossRef]
- Yeo, A.R.; Flowers, T.J. The absence of and effect of the Na/Ca ratio on sodium chloride uptake by rice (Oryza sativa). New Phytol. 1985, 99, 81–90. [Google Scholar] [CrossRef]
- Drew, M.C.; Hold, P.S.; Picchioni, G.A. Inhibition by NaCl of net CO2 fixation and yield of cucumber. J. Amer. Soc. Hort. Sci. 1990, 115, 472–477. [Google Scholar] [CrossRef] [Green Version]
- Downton, W.J.S.; Loveys, B.R.; Grant, W.J.R. Salinity effects on stomatal behavior of grapevine. New Phytol. 1990, 116, 499–503. [Google Scholar] [CrossRef] [PubMed]
- Yeo, A.R.; Lee, K.S.; Izard, P.; Boursier, P.J.; Flowers, T.J. Short- and long-term effects of salinity on leaf growth in rice (Oryza sativa L.). J. Exp. Bot. 1990, 42, 881–889. [Google Scholar] [CrossRef]
- dos Reis, S.P.; Lima, A.M.; de Souza, C.R.B. Recent molecular advances on downstream plant responses to abiotic stress. Int. J. Mol. Sci. 2012, 13, 8628–8647. [Google Scholar] [CrossRef]
- Apel, K.; Hirt, H. Reactive oxygen species: Metabolism oxidative stress and signal transduction. Annu. Rev. Plant Biol. 2004, 55, 373–399. [Google Scholar] [CrossRef] [PubMed] [Green Version]
- Foyer, C.H.; Noctor, G. Redox homeostasis and antioxidant signaling: A metabolic interface between stress perception and physiological responses. Plant. Cell. 2005, 17, 1866–1875. [Google Scholar] [CrossRef] [PubMed] [Green Version]
- Koca, H.; Bor, M.; Özdemircor, F.; Türkan, T. The effect of salt stress on lipid peroxidation, antioxidative enzymes and proline content of sesame cultivars. Environ. Exper. Bot. 2007, 60, 344–351. [Google Scholar] [CrossRef]
- Demetriou, G.; Neonaki, C.; Navakoudis, E.; Kotzabasis, K. Salt stress impact on the molecular structure and function of the photosynthetic apparatus—The protective role of polyamines. Biochim. Biophys. Acta 2007, 1767, 272–280. [Google Scholar] [CrossRef] [Green Version]
- Sahin, U.; Ekinci, M.; Ors, S.; Turan, M.; Yildiz, S.; Yildirim, E. Effects of individual and combined effects of salinity and drought on physiological, nutritional and biochemical properties of cabbage (Brassica oleracea var. capitata). Scientia Hort. 2018, 240, 196–204. [Google Scholar] [CrossRef]
- Harris, B.N.; Sadras, V.O.; Tester, M. A water-centred framework to assess the effects of salinity on the growth and yield of wheat and barley. Plant Soil 2010, 336, 377–389. [Google Scholar] [CrossRef]
- Lakshmi, A.; Ramanjulu, S.; Veeranjaneyulu, K.; Sudhakar, C. Effect of NaCl on photosynthesis parameters in two cultivars of mulberry. Photosynthetica 1996, 32, 285–289. [Google Scholar]
- Debez, A.; Koyro, H.W.; Grignon, C.; Abdelly, C.; Huchzermeyer, B. Relationship between the photosynthetic activity and the performance of Cakile maritima after long-term salt treatment. Physiol. Plant. 2008, 133, 373–385. [Google Scholar] [CrossRef] [PubMed]
- Salama, S.; Trivedi, S.; Busheva, M.; Arafa, A.A.; Garab, G.; Erdei, L. Effects of NaCl salinity on growth, cation accumulation, chloroplast structure and function in wheat cultivars differing in salt tolerance. J. Plant Physiol. 1994, 144, 241–247. [Google Scholar] [CrossRef]
- Benzarti, M.; Ben Rejeb, K.; Debez, A.; Messedi, D.; Abdelly, C. Photosynthetic activity and leaf antioxidative responses of Atriplex portulacoides subjected to extreme salinity. Acta Physiol. Plant. 2012, 34, 1679–1688. [Google Scholar] [CrossRef]
- Ashraf, M. Some important physiological selection criteria for salt tolerance in plants. FLORA 2004, 199, 361–376. [Google Scholar] [CrossRef]
- Abdelkader, A.F.; Aronsson, H.; Sundquist, C. High salt stress in wheat leaves causes retardation of chlorophyll accumulation due to a limited rate of protochlorophyllide formation. Physiol. Plant. 2007, 130, 157–166. [Google Scholar] [CrossRef]
- Chaves, M.M.; Flexas, J.; Pinheiro, C. Photosynthesis under drought and salt stress: Regulation mechanisms from whole plant to cell. Ann. Bot. 2009, 103, 551–560. [Google Scholar] [CrossRef] [Green Version]
- Lima, A.L.S.; Damatta, F.M.; Pinheiro, H.A.; Totola, M.R.; Loureiro, M.E. Photochemical responses and oxidative stress in two clones of Coffea canephora under water deficit conditions. Environ. Exp. Bot. 2002, 47, 239–247. [Google Scholar] [CrossRef]
- DaMatta, F.M.; Loos, R.A.; Silva, E.A.; Loureiro, M.E. Limitations to photosynthesis in Coffea canephora as a result of nitrogen and water availability. J. Plant Physiol. 2002, 159, 975–981. [Google Scholar] [CrossRef]
- Krause, G.H.; Cornic, G. CO2 and O2 interactions in photoinhibition. In Photoinhibition; Kyle, D.J., Osmond, C.B., Arntzen, C.J., Eds.; Elsevier Science: Amsterdam, The Netherlands, 1987; pp. 169–196. [Google Scholar]
- Stuhlfauth, T.R.; Scheuermann, R.; Fock, H.P. Light energy dissipation under water stress conditions Contribution of reassimilation and evidence for additional processes. Plant Physiol. 1990, 92, 1053–1061. [Google Scholar] [CrossRef] [Green Version]
- Valentini, R.; Epron, D.; Angelis, P.D.; Matteucci, G.; Dreyer, E. In situ estimation of net CO2 assimilation, photosynthetic electron flow and photorespiration in Turkey oak (Q cerris L) leaves: Diurnal cycles under different levels of water supply. Plant Cell Environ. 1995, 18, 631–640. [Google Scholar] [CrossRef]
- Turkan, I.; Demiral, T. Recent developments in understanding salinity tolerance. Environ. Exp. Bot. 2009, 67, 2–9. [Google Scholar] [CrossRef]
- Zhu, J.K. Salt and drought stress signal transduction in plants. Plant. Biol. 2002, 53, 247–273. [Google Scholar] [CrossRef] [PubMed] [Green Version]
- Hossain, Z.; Mandal, A.K.A.; Datta, S.K.; Biswas, A.K. Development of NaCl tolerant line in Chrysanthemum morifolium Ramat. through shoot organogenesis of selected callus line. J. Biotechnol. 2007, 129, 658–667. [Google Scholar] [CrossRef] [PubMed]
- Sofo, A.; Manfreda, S.; Dichio, B.; Florentino, M.; Xiloyannis, C. The olive tree: A paradigm for drought tolerance in Mediterranean climates. Hydrol. Earth. Syst. Sci. Discuss. 2007, 4, 2811–2835. [Google Scholar] [CrossRef] [Green Version]
- Parida, A.K.; Das, A.B. Salt tolerance and salinity effects on plants: A review. Ecotoxicol. Environ. Saf. 2005, 60, 324–349. [Google Scholar] [CrossRef]
- Noctor, G.; Foyer, C.H. Ascorbate and glutathione: Keeping active oxygen under control. Annu. Rev. Plant Physiol. Plant Mol. Biol. 1998, 49, 249–279. [Google Scholar] [CrossRef]
- Orozco-Mosqueda, M.D.C.; Rocha-Granados, M.D.C.; Glick, B.R.; Santoyo, G. Microbiome engineering to improve biocontrol and plant growth-promoting mechanisms. Microbiol. Res. 2018, 208, 25–31. [Google Scholar] [CrossRef]
- Bharti, N.; Barnawal, D. Amelioration of salinity stress by PGPR. In PGPR Amelioration in Sustainable Agriculture; Singh, A.K., Kumar, A., Singh, P.K., Eds.; Elsevier: Amsterdam, The Netherlands, 2019; pp. 85–106. [Google Scholar]
- Raghuwanshi, R.; Prasad, J.K. Perspectives of rhizobacteria with ACC deaminase activity in plant growth under abiotic stress. In Soil Biology; Hatfield, J.L., Ed.; Springer: Singapore, 2018; pp. 303–321. [Google Scholar]
- Hanachi, S.; Van Labeke, M.C.; Mehouachi, T. Application of chlorophyll fluorescence to screen eggplant (Solanum melongena L) cultivars for salt tolerance. Photosynthetica 2014, 52, 57–62. [Google Scholar] [CrossRef]
- Munns, R.; Tester, M. Mechanisms of salinity tolerance. Plant Biol. 2008, 59, 651–681. [Google Scholar] [CrossRef] [Green Version]
- Mattews, M.A.; Boyer, J.S. Acclimation of photosynthesis to low leaf water potentials. Plant Physiol. 1984, 74, 161–166. [Google Scholar] [CrossRef] [Green Version]
- Kaiser, W.M. Effects of water deficit on photosynthetic capacity. Physiol. Plant. 1987, 71, 142–149. [Google Scholar] [CrossRef]
- Zarin, T.; Challabathula, D. Protection of photosynthesis by halotolerant Staphylococcus sciuri ET101 in tomato (Lycopersicon esculentum) and rice (Oryza sativa) plants during salinity stress: Possible interplay between carboxylation and oxygenation in stress mitigation. Front. Microbiol. 2021, 11, 3232. [Google Scholar]
- Ziotti, A.B.; Silva, B.P.; Neto, M.C.L. Photorespiration is crucial for salinity acclimation in castor bean. Environ. Exp. Bot. 2019, 167, 103845. [Google Scholar] [CrossRef]
- Ogren, W.L. Photorespiration: Pathways, regulation and modification. Annu. Rev. Plant Physiol. 1984, 35, 415–442. [Google Scholar] [CrossRef]
- Zelitch, I. Control of plant productivity by regulation of photorespiration. Bioscience 1992, 42, 510–516. [Google Scholar] [CrossRef]
- Jacob, J.; Lawlor, D.W. Extreme phosphate deficiency decreases the in vivo CO2/O2 specificity factor of ribulose 1,5-Biphosphate Carboxylase-Oxygenase in intact leaves of sunflower. J. Exp. Bot. 1993, 44, 1635–1941. [Google Scholar] [CrossRef]
- Gerbaud, A.; Andre, M. An evaluation of the recycling in measurements of photorespiration. Plant Physiol. 1987, 83, 933–937. [Google Scholar] [CrossRef] [Green Version]
- Heuer, B.; Feigin, A. Interactive effects of chloride and nitrate on photosynthesis and related growth parameters in tomatoes. Photosynthetica 1993, 28, 549–554. [Google Scholar]
- Bethke, P.C.; Drew, M.C. Stomatal and nonstomatal components to inhibition of photosynthesis in leaves of Capsicum annuum during progressive exposure to NaCl salinity. Plant Physiol. 1992, 99, 219–226. [Google Scholar] [CrossRef]
- Fedina, I.S.; Tsonev, T.D.; Guleva, E.I. ABA as a modulator of the response of Pisum sativum to salt stress. J. Plant Physiol. 1994, 143, 245–249. [Google Scholar] [CrossRef]
- Tränkner, M.; Ershad, T.; Bálint, J. Functioning of potassium and magnesium in photosynthesis, photosynthate translocation and photoprotection. Physiol. Plant. 2018, 163, 414–431. [Google Scholar] [CrossRef] [PubMed] [Green Version]
- Seemann, J.R.; Critchley, C. Effects of salt stress on the growth, ion content, stomatal behavior and photosynthetic capacity of a salt-sensitive species, Phaseolus vulgaris L. Planta 1985, 164, 151–162. [Google Scholar] [CrossRef]
- Abdullah, Z.; Ahmad, R. Effect of pre- and post-kinetin treatments on salt tolerance of different potato cultivars growing on saline soils. J. Agron. Crop. Sci. 1990, 165, 94–102. [Google Scholar] [CrossRef]
- Hamada, A.M.; El-Enany, A.E. Effect of NaCl salinity on growth, pigment and mineral element contents, and gas exchange of broad bean and pea plants. Biol. Plant. 1994, 36, 75–81. [Google Scholar] [CrossRef]
- Glagoleva, T.A.; Chulanovskaya, M.V.; Pakhomova, M.V.; Vozesenskaya, E.V.; Gamaley, Y.V. Effects of salinity on the structure of assimilating organs and 14C labelling patterns in C3 and C4plants of Ararat plain. Photosynthetica 1992, 26, 363–369. [Google Scholar]
- Brugnoli, E.; Bjorkman, O. Growth of cotton under continuous salinity stress: Influence on allocation pattern, stomatal and non-stomatal components and dissipation of excess light energy. Planta 1992, 187, 335–347. [Google Scholar] [CrossRef] [PubMed]
- Mitsuya, S.; Takeoka, Y.; Miyake, H. Effects of sodium chloride on foliar ultrastructure of sweet potato (Ipomoea batatas Lam) plantlets grown under light and dark conditions in vitro. J. Plant Physiol. 2000, 157, 661–667. [Google Scholar] [CrossRef]
- Jacoby, R.P.; Taylor, N.L.; Millar, A.H. The role of mitochondrial respiration in salinity tolerance. Trends Plant Sci. 2011, 16, 614–623. [Google Scholar] [CrossRef]
- Wang, L.; Liu, X.; Liang, M.; Tan, F.; Liang, W.; Chen, Y.; Chen, W. Proteomic analysis of salt-responsive proteins n the leaves of mangrove Kandelia candel during short-term stress. PLoS ONE 2014, 9, e83141. [Google Scholar] [CrossRef]
- Tran, D.Q.; Konishi, A.; Cushman, J.C.; Morokuma, M.; Toyota, M.; Agarie, S. Ion accumulation and expression of ion homeostasis-related genes associated with halophilism, NaCl-promoted growth in a halophyte Mesembryanthemum crystallinum L. Plant Prod. Sci. 2020, 23, 91–102. [Google Scholar] [CrossRef] [Green Version]
- Schertl, P.; Braun, H.P. Respiratory electron transfer pathways in plant mitochondria. Front. Plant Sci. 2014, 5, 163. [Google Scholar] [CrossRef] [Green Version]
- Sairam, R.K.; Srivastava, G.C. Changes in antioxidant activity in sub-cellular fractions of tolerant and susceptible wheat genotypes in response to long term salt stress. Plant Sci. 2002, 162, 897–904. [Google Scholar] [CrossRef]
- Xu, H.; Zhai, J.; Liu, Y.; Cheng, X.; Xia, Z.; Chen, F.; Cui, D.; Jiang, X. The response of Mo-hydroxylases and abscisic acid to salinity in wheat genotypes with differing salt tolerances. Acta Physiol. Plant. 2012, 34, 1767–1778. [Google Scholar] [CrossRef]
- Yasar, F.; Ellialtioglu, S.; Yildiz, K. Effect of salt stress on antioxidant defence systems, lipid peroxidation, and chlorophyll content in green bean. Russ. J. Plant Physol. 2008, 55, 782–786. [Google Scholar] [CrossRef]
- Zhao, Y.; Aspinall, D.; Paleg, L.G. Protection of membrane integrity in Medicago sativa (L.) by glycine betaine against the effects of freezing. J. Plant Physiol. 1992, 140, 541–543. [Google Scholar] [CrossRef]
- Gadallah, M.A.A. Effects of proline and glycine betaine on Vicia faba responses to salt stress. Biol. Plant. 1999, 42, 249–257. [Google Scholar] [CrossRef]
- Jain, M.; Mathur, G.; Sarin, N.B. Ameliorative effects of proline on salt stressed-induced lipid peroxidation in cell lines of groundnut (Arachis hypogaea L.). Plant Cell Rep. 2001, 20, 463–468. [Google Scholar] [CrossRef]
- Yildiztugay, E.; Sekman, A.H.; Turkan, I.; Kucukoduk, M. Elucidation of physiological and biochemical mechanisms of an endemic halophyte Centaurea tuzgoluensis under salt stress. Plant Physiol. Biochem. 2011, 49, 816–824. [Google Scholar] [CrossRef]
- Abbas, S.R.; Ahmad, S.D.; Sabir, S.M.; Shah, A.H. Detection of drought tolerant sugar cane genotypes (Saccharum) using lipid peroxidation, antioxidant activity, glycine-betaine and proline contents. J. Soil Sci. Plant Nutr. 2014, 14, 233–243. [Google Scholar]
- Hannachi, S.; Van Labeke, M.C. Salt stress affects germination, seedling growth and physiological responses differentially in eggplant cultivars (Solanum melongena L.). Sci. Hort. 2018, 228, 56–65. [Google Scholar] [CrossRef]
- Hniličková, H.; Hnilička, F.; Orsák, M.; Hejnák, V. Effect of salt stress on growth, electrolyte leakage, Na+ and K+ content in selected plant species. Plant Soil Environ. 2019, 65, 90–96. [Google Scholar] [CrossRef] [Green Version]
- Cheng, Y.-W.; Kong, X.-W.; Wang, N.; Wang, T.-T.; Chen, J.; Shi, Z.Q. Thymol confers tolerance to salt stress by activating anti-oxidative defense and modulating Na+ homeostasis in rice root. Ecotoxicol. Environ. Saf. 2020, 188, 109894. [Google Scholar] [CrossRef] [PubMed]
- Ahanger, M.A.; Mir, R.A.; Alyemeni, M.N.; Ahmad, P. Combined effects of brassinosteroid and kinetin mitigates salinity stress in tomato through the modulation of antioxidant and osmolyte metabolism. Plant Physiol. Biochem. 2020, 147, 31–42. [Google Scholar] [CrossRef] [PubMed]
- Shalata, A.; Mittova, V.; Volokita, M.; Guy, M.; Tal, M. Response of the cultivated tomato and its wild salt-tolerant relative Lycopersicon pennellii to salt-dependent oxidative stress: The root antioxidative system. Physiol. Plant. 2001, 112, 487–494. [Google Scholar] [CrossRef] [PubMed]
- Bor, M.; Ozdemir, F.; Turkan, I. The effect of salt stress on lipid peroxidation and antioxidants in leaves of sugar beet Beta vulgaris L. and wild beet Beta maritima L. Plant Sci. 2003, 164, 77–84. [Google Scholar] [CrossRef]
- Neelam, S. Enhancement of Catalase Activity under Salt Stress in Germinating Seeds of Vigna radiate. Asian J. Biom. Pharma Sci. 2013, 3, 6–8. [Google Scholar]
- Willekens, H.; Inzé, D.; van Montagu, M.; Van Camp, W. Catalase in plants. Mol. Breed. 1995, 1, 207–228. [Google Scholar] [CrossRef]
- Willekens, H.; Chamnongpol, S.; Davey, M.; Schraudner, M.; Langebartels, C.; Van Montagu, M.; Inzé, D.; Van Camp, W. Catalase is a sink for H2O2 and is indispensable for stress defence in C3 plants. EMBO J. 1997, 16, 4806–4816. [Google Scholar] [CrossRef] [Green Version]
- de Azevedo Neto, A.D.; Prisco, J.T.; Enéas-Filho, J.; de Abreu, C.E.B.; Gomes-Filho, E. Effect of salt stress on antioxidative enzymes and lipid peroxidation in leaves and roots of salt-tolerant and salt-sensitive maize genotypes. Environ. Exp. Bot. 2006, 56, 235–241. [Google Scholar] [CrossRef]
- Aghaei, K.; Komatsu, K. Potato Responds to Salt Stress by Increased Activity of Antioxidant Enzymes. J. Int. Plant Biol. 2009, 15, 1095–1103. [Google Scholar] [CrossRef]
- Kusvuran, S. Effects of drought and salt stresses on growth, stomatal conductance, leaf water and osmotic potentials of melon genotypes (Cucumis melo L.). Afr. J. Agr. Res. 2012, 7, 775–781. [Google Scholar] [CrossRef]
- Feki, K.; Tounsi, S.; Brini, F. Comparison of an antioxidant system in tolerant and susceptible wheat seedlings in response to salt stress. Span. J. Agric. Res. 2017, 15, e0805. [Google Scholar] [CrossRef] [Green Version]
- Hernández, J.A.; Ferrer, M.A.; Jiménez, A.; Barcelo, A.R.; Sevilla, F. Antioxidant systems and O2–/H2O2 production in the apoplast of pea leaves: Its relation with salt-induced necrotic lesions in minor veins. Plant Physiol. 2001, 127, 817–831. [Google Scholar] [CrossRef]
- Sairam, R.K.; Srivastava, G.C.; Agarwal, S.; Meena, R.C. Differences in antioxidant activity in response to salinity stress in tolerant and susceptible wheat genotypes. Biol. Plant. 2005, 49, 85–91. [Google Scholar] [CrossRef]
- Van Breusegem, F.; Vranova, E.; Dat, J.F.; Inzé, D. The role of active oxygen species in plant signal transduction. Plant Sci. 2001, 161, 405–414. [Google Scholar] [CrossRef]
- Shigeoka, S.; Ishikawa, T.; Tamoi, M.; Miyagawa, Y.; Takeda, T.; Yabuta, Y.; Yoshimura, K. Regulation and function of ascorbate peroxidase isoenzymes. J. Exp. Bot. 2002, 53, 1305–1319. [Google Scholar] [CrossRef]
- Kusvuran, S.; Ellialtioglu, S.; Yasar, F.; Abak, K. Effects of salt stress on ıon accumulations and some of the antioxidant enzymes activities in melon (Cucumis melo L.). Inter. J. Food Agric. Environ. 2007, 2, 351–354. [Google Scholar]
- Amirjani, M.R. Effects of salinity stress on growth, mineral composition, proline content, antioxidant enzymes of soybean. Am. J. Physiol. 2010, 5, 350–360. [Google Scholar] [CrossRef] [Green Version]
- Das, K.; Roychoudhury, A. Reactive oxygen species (ROS) and response of antioxidants as ROS-scavengers during environmental stress in plants. Front. Environ. Sci. 2014, 2, 53. [Google Scholar] [CrossRef] [Green Version]
- Muthukumarasamy, M.; Dutta Gupta, S.; Panneerselvam, R. Enhancement of peroxidase, polyphenol oxidase and superoxide dismutase activities by triadimefon in NaCl stressed Raphanus sativus L. Biol. Plant. 2000, 43, 317–320. [Google Scholar] [CrossRef]
- Valifard, M.; Mohsenzadeh, S.; Kholdebarin, B.; Rowshan, V. Effects of salt stress on volatile compounds, total phenolic content and antioxidant activities of Salvia mirzayanii. S. Afr. J. Bot. 2014, 93, 92–97. [Google Scholar] [CrossRef] [Green Version]
- Navarro, J.M.; Flores, P.; Garrido, C.; Martinez, V. Changes in the Contents of Antioxidant. compounds in pepper fruits at different ripening stages, as affected by salinity. Food Chem. 2006, 96, 66–73. [Google Scholar] [CrossRef]
- Keunen, E.L.S.; Peshev, D.; Vangronsveld, J.; van den Ende, W.I.M.; Cuypers, A.N.N. Plant sugars are crucial players in the oxidative challenge during abiotic stress: Extending the traditional concept. Plant Cell Environ. 2013, 36, 1242–1255. [Google Scholar] [CrossRef] [PubMed]
- Zhifang, G.; Loescher, W.H. Expression of a celery mannose 6- phosphate reductase in Arabidopsis thaliana enhances salt tolerance and induces biosynthesis of both mannitol and a glucosyl-mannitol dimmer. Plant Cell Environ. 2003, 26, 275–283. [Google Scholar] [CrossRef]
- Hu, Y.; Schmidhalter, U. Spatial distributions of inorganic ions and sugars contributing to osmotic adjustment in the elongating wheat leaf under saline soil conditions. Aust. J. Plant Physiol. 1998, 25, 591–597. [Google Scholar] [CrossRef]
- Murakeozy, E.P.; Nagy, Z.; Duhaze, C.; Bouchereau, A.; Tuba, Z. Seasonal changes in the levels of compatible osmolytes in three halophytic species of inland saline vegetation in Hungary. J. Plant Physiol. 2003, 160, 395–401. [Google Scholar] [CrossRef] [PubMed]
- Da Silva Lobato, A.K.; de Oliveira Neto, C.F.; dos Santos Filho, B.G.; da Costa, R.C.L.; Flávio Cruz, F.G.R.; Neves, H.K.B.; dos Santos Lopes, M.J. Physiological and biochemical behavior in soybean (Glycine max cv Sambaiba) plants under water deficit. Aust. J. Crop. Sci. 2008, 2, 25–32. [Google Scholar]
- Dubey, R.S.; Singh, A.K. Salinity induces accumulation of soluble sugars and alters the activity of sugar metabolising enzymes in rice plants. Biol. Plant. 1999, 42, 233–239. [Google Scholar] [CrossRef]
- Pattanagul, W.; Thitisaksakul, M. Effect of salinity stress on growth and carbohydrate metabolism in three rice (Orysa sativa L.) cultivars differing in salinity tolerance. Indian J. Exp. Biol. 2008, 46, 736–742. [Google Scholar]
- Balibera, M.E.; Dell’Amico, J.D.; Bolarin, M.C.; Pérez-Alfocea, F. Carbon portioning and sucrose metabolism in tomato plants growing under salinity. Physiol. Plant. 2000, 110, 503–511. [Google Scholar] [CrossRef]
- Hare, P.D.; Cress, W.A.; Van Staden, J. Dissecting the roles of osmolyte accumulation during stress. Plant Cell Environ. 1998, 21, 535–555. [Google Scholar] [CrossRef]
- Serraj, R.; Sinclair, T. Osmolyte accumulation: Can it really help increase crop yield under drought conditions? Plant Cell Environ. 2002, 25, 333–341. [Google Scholar] [CrossRef] [PubMed]
- Krapp, A.; Stitt, M. An evaluation of direct and indirect mechanisms for the sink-regulation of photosynthesis in spinach: Changes in gas exchange, carbohydrates, metabolites, enzymes activities and steady-state transcript level after cold-girdling source leaves. Planta 1995, 195, 313. [Google Scholar] [CrossRef]
- Krapp, A.; Quick, W.P.; Stitt, M. Ribulose-1,5-bisphosphate carboxylase- oxygenase, other Calvin-cycle enzymes, and chlorophyll decrease when glucose is supplied to mature spinach leaves via the transpiration stream. Planta 1991, 186, 58–69. [Google Scholar] [CrossRef] [PubMed]
- Koch, K.E. Carbohydrate-modulated gene expression in plants. Annu. Rev. Plant Physiol. Plant Mol. Biol. 1976, 47, 509. [Google Scholar] [CrossRef] [Green Version]
- Sawada, S.H.; Usuda, H.; Tsukui, T. Participation of inorganic orthophosphate in regulation of theribulose-1,5-biphosphate carboxylase activity in response to changes in the photosynthetic source-sink balance. Plant Cell Physiol. 1992, 33, 943–949. [Google Scholar] [CrossRef]
- Cave, G.; Tolley, L.C.; Strain, B.R. Effect of carbon dioxide enrichment on chlorophyll content, starch content and starch grain structure in Trifoliumsubterraneum leaves. Physiol. Plant 1981, 51, 171–174. [Google Scholar] [CrossRef]
- Ball, M.C.; Farquhar, G.D. Photosynthetic and stomatal responses of two mangrove species, Aegicerascorniculatum and Avicennia marina, to long term salinity and humidity conditions. Plant Physiol. 1984, 74, 1–6. [Google Scholar] [CrossRef] [Green Version]
- Perez-Alfocea, F.; Balibrea, M.E.; Santa-Cruz, A.; Estan, M.T. Agronomical and physiological characterization of salinity tolerance in a commercial tomato hybrid. Plant Soil 1996, 180, 251–257. [Google Scholar] [CrossRef]
- Yasar, F.; Kusvuran, S.; Ellialtioglu, S. Determination of antioxidant activities in some melon (Cucumis melo L)varieties and cultivars under salt stress. J. Hortic. Sci. Biotechnol. 2006, 81, 627–630. [Google Scholar] [CrossRef]
- Zhu, J.K. Regulation of ion homeostasis under salt stress. Curr. Opin. Plant Biol. 2003, 6, 441–445. [Google Scholar] [CrossRef]
- Munns, R.; Guo, J.; Passioura, J.B.; Cramer, G.R. Leaf water status controls day-time but not daily rates of leaf expansion in salt-treated barley. Aust. J. Plant Physiol. 2000, 27, 949–957. [Google Scholar] [CrossRef]
- Munns, R. Genes and salt tolerance: Bringing them together. New Phytol. 2005, 167, 645–663. [Google Scholar] [CrossRef] [PubMed]
- Martinez-Rodriguez, M.M.; Estan, M.T.; Moyano, E.; Garcia-Abdellan, J.O.; Flores, F.B.; Campos, J.F.; Al-Azzawi, M.J.; Flowers, T.J.; Bolarin, M.C. The effectiveness of grafting to improve salt tolerance in tomato when an ‘excluder’ genotype is used as scion. Environ. Exp. Bot. 2008, 63, 392–401. [Google Scholar] [CrossRef]
- Paranychianakis, N.V.; Angelakis, A.N. The effect of water stress and rootstock on the development of leaf injuries in grapevines irrigated with saline effluent. Agric. Water Manag. 2008, 95, 375–382. [Google Scholar] [CrossRef]
- Silveira, J.A.G.; Junior, J.M.; Silva, E.N.; Ferreira-Silva, S.L.; Aragao, R.M.; Viegas, R.A. Salt resistance in two cashew species in associated with accumulation of organic and inorganic solutes. Acta Physiol. Plant. 2012, 34, 1629–1637. [Google Scholar] [CrossRef]
- Eraslan, F.; Günes, A.; Inal, A.; Cicek, N.; Alpaslan, M. Comparative physiological and growth responses of tomato and pepper plants to fertilizer induced salinity and salt stress under greenhouse conditions. In Proceedings of the International Meeting on Soil Fertility Land Management and Agroclimatology, Turkey, Ankara, 29–31 October 2008; pp. 687–696. [Google Scholar]
- Li, Y. Physiological responses of tomato seedlings (Lycopersicon esculentum) to salt stress. Mod. Appl. Sci. 2009, 3, 171–176. [Google Scholar] [CrossRef] [Green Version]
- Tantawy, A.S.; Abdel-Mawgoud, A.M.R.; El-Nemr, M.A.; Chamoun, Y.G. Alleviation of salinity effects on tomato plants by application of amino acids and growth regulators. Eur. J. Sci. Res. 2009, 30, 484–494. [Google Scholar]
- Yadav, S.; Irfan, M.; Ahmad, A.; Hayat, S. Causes of salinity and plant manifestations to salt stress: A review. J. Environ. Biol. 2011, 32, 667–685. [Google Scholar]
- Chaudhuri, K.; Choudhuri, M.A. Effect of short-term NaCl stress on water relations and gas exchange of two jute species. Biol. Plant. 1997, 40, 373–380. [Google Scholar] [CrossRef]
- Khan, M.A.; Uungar, I.A.; Showalter, A.M. Effects of salinity on growth, water relations and ion accumulation of the subtropical perennial halophyte, Atriplexgriffithii var stocksii. Ann. Bot. 2000, 85, 225–232. [Google Scholar] [CrossRef] [Green Version]
- Ben Dkhill, B.; Denden, M. Salt stress induced changes in germination, sugars, starch and enzyme of carbohydrate metabolism in Abelmoschus esculentus L. (Moench.) seeds. Afr. J. Agric. Res. 2010, 5, 1412–1418. [Google Scholar]
- Gupta, S.; Pandey, S. ACC Deaminase Producing Bacteria with Multifarious Plant Growth Promoting Traits Alleviates Salinity Stress in French Bean (Phaseolus vulgaris) Plants. Front. Microbiol. 2019, 10, 1506. [Google Scholar] [CrossRef] [PubMed]
- Chandra, D.; Srivastava, R.; Glick, B.R.; Sharma, A.K. Drought-Tolerant Pseudomonas spp. Improve the Growth Performance of Finger Millet (Eleusine coracana (L.) Gaertn.) Under Non-Stressed and Drought-Stressed Conditions. Pedosphere 2018, 28, 227–240. [Google Scholar] [CrossRef]
- Zhang, G.; Sun, Y.; Sheng, H.; Li, H.; Liu, X. Effects of the inoculations using bacteria producing ACC deaminase on ethylene metabolism and growth of wheat grown under different soil water contents. Plant Physiol. Biochem. 2018, 125, 178–184. [Google Scholar] [CrossRef]
- Mayak, S.; Tirosh, T.; Glick, B.R. Plant growth-promoting bacteria confer resistance in tomato plants to salt stress. Plant Physiol. Biochem. 2004, 42, 565–572. [Google Scholar] [CrossRef]
- Cheng, Z.; Park, E.; Glick, B.R. 1-Aminocyclopropane-1-carboxylate deaminase from Pseudomonas putida UW4 facilitates the growth of canola in the presence of salt. Can. J. Microbiol. 2007, 53, 912–918. [Google Scholar] [CrossRef]
- Bilger, W. Role of the xanthophyll cycle in photoprotection elucidated by measurements of light-induced absorbance changes, fluorescence and photosynthesis in leaves of Hedera canariensis. Photosynth. Res. 1990, 25, 173–185. [Google Scholar] [CrossRef]
- Ali, S.; Charles, T.; Glick, B.R. Amelioration of high salinity stress damage by plant growth-promoting bacterial endophytes that contain ACC deaminase. Plant Physiol. Biochem. 2014, 80, 160–167. [Google Scholar] [CrossRef]
- Duca, D.R.; Rose, D.R.; Glick, B.R. Indole acetic acid overproduction transformants of the rhizobacterium Pseudomonas sp. UW4. Antonie Van Leeuwenhoek 2018, 111, 1645–1660. [Google Scholar] [CrossRef]
- Hoagland, D.R.; Arnon, D.I. The water-culture method for growing for plants without soil. Circ. Calif. Agric. Exp. Stn. 1950, 347, 1–32. [Google Scholar]
- Larcher, W. Physiological Plant Ecology; Springer: Berlin, Germany, 1983. [Google Scholar]
- Krall, J.P.; Edwards, G.E. Relationship between photosystem II activity and CO2 fixation in leaves. Physiol. Plant. 1992, 86, 180–187. [Google Scholar] [CrossRef]
- Schreiber, U.; Gademann, R.; Ralph, P.J.; Larkum, A.W.D. Assessment of photosynthetic performance of prochloron in Lissoclinum patella in hospite by chlorophyll fluorescence measurements. Plant Cell Physiol. 1997, 38, 945–951. [Google Scholar] [CrossRef] [Green Version]
- Eperon, D.; Godard, D.; Cornic, G.; Genty, B. Limitation of net CO2 assimilation rate by internal resistance to CO2 transfer in leaves of two tree species (Fagus sylvatica L and Castanea sativa Mill). Plant Cell Environ. 1995, 18, 43–51. [Google Scholar] [CrossRef]
- Callister, A.N.; Arndt, S.K.; Adam, M.A. Comparison of four methods for measuring osmotic potential of tree leaves. Physiol. Plant. 2006, 127, 383–392. [Google Scholar] [CrossRef]
- Arnon, D.I. Copper enzymes in isolated chloroplasts. Polyphenoloxidase in Beta vulgaris. Plant Physiol. 1949, 24, 1–15. [Google Scholar] [CrossRef] [Green Version]
- Lichtenthaler, H.K.; Wellburn, A.R. Determinations of total carotenoids and chlorophylls a and b of leaf extracts in different solvents. Biochem. Soc. Trans. 1983, 603, 591–592. [Google Scholar] [CrossRef] [Green Version]
- Bradford, M.M. A rapid and sensitive method for the quantitation of microgram quantities of protein utilizing the principle of protein-dye binding. Anal. Biochem. 1976, 72, 248–254. [Google Scholar] [CrossRef]
- Aebi, H. Catalase in vitro. Method Enzymol. 1984, 105, 121–126. [Google Scholar] [CrossRef]
- Nakano, Y.; Asada, K. Hydrogen peroxide is scavenged by ascorbate-specific peroxidase in spinach chloroplasts. Plant Cell Physiol. 1981, 22, 867–880. [Google Scholar]
- Chance, B.; Maehly, A.C. Assay of catalases and peroxidases. Methods Enzymol. 1955, 2, 764–775. [Google Scholar]
- Lutts, S.; Kinet, J.M.; Bouharmont, J. NaCl-induced senescence in leaves of rice (Oryza sativa L.) cultivars differing in salinity resistance. Ann. Bot. 1996, 78, 389–398. [Google Scholar] [CrossRef]
- Bistgani, Z.E.; Hashemi, M.; DaCosta, M.; Craker, L.; Maggi, F.; Morshedloo, M.R. Effect of salinity stress on the physiological characteristics, phenolic compounds and antioxidant activity of Thymus vulgaris L. and Thymus daenensis Celak. Ind. Crops Prod. 2019, 135, 311–320. [Google Scholar] [CrossRef]
- Heydarian, Z.; Yu, M.; Gruber, M.; Glick, B.R.; Zhou, R.; Hegedus, D.D. Inoculation of Soil with Plant Growth Promoting Bacteria Producing 1-Aminocyclopropane-1-Carboxylate Deaminase or Expression of the Corresponding acdS Gene in Transgenic Plants Increases Salinity Tolerance in Camelina sativa. Front. Microbiol. 2016, 7, 1966. [Google Scholar] [CrossRef] [PubMed]
- Penrose, D.M.; Glick, B.R. Methods for isolating and characterizing ACC deaminase-containing plant growth-promoting rhizobacteria. Physiol. Plant. 2003, 118, 10–15. [Google Scholar] [CrossRef] [PubMed] [Green Version]
- Gordon, S.A.; Weber, R.P. Colorimetric estimation of indoleacetic acid. Plant Physiol. 1951, 26, 192–195. [Google Scholar] [CrossRef] [PubMed] [Green Version]
- Manly, B.F.G. Multivariate Statistical Methods: A Primer; Chapman and Hall: London, UK, 1994; p. 215. [Google Scholar]















| cv | NaCl (mM) | Chla (µg g−1 FW) | Chlb (µg g−1 FW) | Chla/b | Chla + b (µg g−1 FW) | Carotenoids (µg g−1 FW) |
|---|---|---|---|---|---|---|
| ‘Black Beauty’ | 0 | 689.9 ± 1.7 aA | 340.6 ± 5.7 aA | 2.02 ±5.6 aA | 1030.5 ± 3.4 aA | 240.9 ± 2.5 aA |
| 40 | 758.9 ± 1.5 aA | 345.4 ±5.4 aA | 2.2 ±4.6 aA | 1104.3 ± 4.1 aA | 273.6 ± 5.9 aA | |
| 80 | 326.8 ± 1.4 bB | 250.3 ± 5.7 bA | 1.3 ±6.9 bB | 577.1 ± 2.5 bB | 154.9 ± 3.7 bA | |
| 160 | 153.8 ± 35.2 cB | 154.4 ± 4..2 cB | 0.9 ± 4.3 cB | 308.2 ± 4.6 cB | 117.1 ± 2.3 cA | |
| ‘Bonica’ | 0 | 585.3 ± 2.8 aA | 288.4 ± 6.3 aA | 2.02 ±8.6 aA | 873.7 ± 3.2 aA | 147.6 ± 2.8 aB |
| 40 | 611.5 ± 5.7aA | 298.0 ± 5.4 aA | 2.05 ± 6.9 aA | 909.5 ± 2.3 aA | 140.8 ± 1.9 aB | |
| 80 | 485.2 ± 6.3aA | 239.3 ± 2.6 aA | 2.02 ±7.5 aA | 724.6 ± 5.2 aA | 124.8 ± 1.7 aA | |
| 160 | 454.5 ± 5.4 aA | 248.3 ± 4.8 aA | 1.85 ±10.9 aA | 702.8 ± 3.6 aA | 105.7 ± 1.6 aA |
| Cultivar | Tissue | NaCl (mM) | K (g/100 g) | Ca (g/100 g) | Mg (g/100 g) | Na (g/100 g) | P (g/100 g) | S (g/100 g) | Cl (g/100 g) | Na/K | Na/Ca |
|---|---|---|---|---|---|---|---|---|---|---|---|
| ‘Black | Leaves | 0 | 6.4 ± 0.4 aA | 3.1 ± 0.4 aA | 0.5 ± 0.01 aA | 0.4 ± 0.05 cA | 0.7 ± 0.02 aA | 0.2 ± 0.06 aA | 2.8 ± 0.16 aA | 0.1 ± 0.0 bA | 0.1 ± 0.03 aA |
| ‘Beauty’ | 40 | 6.7 ± 0.4 aA | 3.2 ± 0.3 aA | 0.6 ± 0.05 aA | 0.9 ± 0.08 cA | 0.7 ± 0.06 aA | 0.2 ± 0.06 aA | 2.8 ± 0.16 aA | 0.1 ± 0.02 bA | 0.2 ± 0.05 aA | |
| 80 | 5.3 ± 0.4 abA | 3.1 ± 0.2 aA | 0.5 ± 0.01 aA | 1.8 ± 0.11 bA | 0.6 ± 0.05 abA | 0.2 ± 0.06 aA | 4.5 ± 0.69 aA | 0.3 ± 0.08 abA | 0.7 ± 0.12 aA | ||
| 160 | 3.7 ± 0.3 bB | 2.8 ± 0. 2 aA | 0.5 ± 0.01 aA | 3.8 ± 0.14 aA | 0.5 ± 0.05 bA | 0.2 ± 0.04 aA | 6.9 ± 0.92 aA | 1.2 ± 0.12 aA | 1.5 ± 0.15 aA | ||
| Roots | 0 | 1.8 ± 0.28 aA | 1.3 ± 0.29 aA | 0.2 ± 0.04 aA | 1.1 ± 0.10 bA | 0.5 ± 0.10 aA | 0.3 ± 0.03 aA | * | 0.4 ± 0.03 bB | 0.9 ± 0.03 aA | |
| 40 | 1.6 ± 0.55 aA | 1.2 ± 0.35 aA | 0.2 ± 0.07 aA | 1.2 ± 0.08 bB | 0.4 ± 0.07 aA | 0.2 ± 0.04 aA | * | 0.8 ± 0.51 abB | 0.9 ± 0.48 aA | ||
| 80 | 1.1 ± 0.11 aA | 1.3 ± 0.16 aA | 0.2 ± 0.03 aA | 1.2 ± 0.10 bB | 0.4 ± 0.08 aA | 0.2 ± 0.05 aA | * | 0.9 ± 0.37 abB | 0.8 ± 0.30 aB | ||
| 160 | 1.3 ± 0.21 aA | 1.1 ± 0.13 aA | 0.2 ± 0.01 aA | 2.4 ± 0.19 aA | 0.4 ± 0.07 aA | 0.3 ± 0.03 aA | * | 1.7 ± 0.50 aB | 2.2 ± 0.39 aA | ||
| ‘Bonica’ | Leaves | 0 | 4.8 ± 0.61 aB | 2.8 ± 0.22 aA | 0.6 ± 0.06 aA | 0.1 ± 0.010 cA | 0.7 ± 0.07 aA | 0.2 ± 0.08 aA | 1.2 ± 0.35 cB | 0.1 ± 0.0 aA | 0.04 ± 0.0 aB |
| 40 | 5.0 ± 0.68 aB | 3.3 ± 0.12 aA | 0.6 ± 0.05 aA | 0.5 ± 0.07 bB | 0.6 ± 0.07 abA | 0.2± 0.04 aA | 3.3 ± 0.31 bcA | 0.1 ± 0.02 aA | 0.2 ± 0.01 aA | ||
| 80 | 4.6 ± 0.45 aA | 3.5 ± 0.35 aA | 0.6 ± 0.04 aA | 1.3 ± 0.08 aB | 0.6 ± 0.04 abA | 0.2 ± 0.03 aA | 4.7 ± 0.59 abA | 0.3 ± 0.11 aA | 0.4 ± 0.07 aA | ||
| 160 | 4.9 ± 0.43 aA | 3.5 ± 0.35 aA | 0.7 ± 0.05 aA | 1.4 ± 0.08 aB | 0.5 ± 0.08 bA | 0.2 ± 0.03 aA | 6.1 ± 0.95 aA | 0.3 ± 0.05 aB | 0.4 ± 0.09 aB | ||
| Roots | 0 | 1.2 ± 0.14 aA | 1.4 ± 0.14 aA | 0.3 ± 0.06 aA | 1.5 ± 0.13 bA | 0.7 ± 0.04 aA | 0.3 ± 0.07 aA | 2.6 ± 0.31 a | 1.3 ± 0.03 aA | 1.3 ± 0.01 aA | |
| 40 | 0.8 ± 0.09 aB | 1.6 ± 0.12 aA | 0.2 ± 0.03 aA | 1.8 ± 0.11 bA | 0.7 ± 0.02 aA | 0.3 ± 0.04 aA | 2.8 ± 0.16 a | 2.4 ± 0.07 aA | 1.3 ± 0.03 aA | ||
| 80 | 1.0 ± 0.25 aA | 1.2 ± 0.24 aA | 0.3 ± 0.04 aA | 1.9 ± 0.13 bA | 0.5 ± 0.02 aA | 0.2 ± 0.03 aA | 2.2 ± 0.29 a | 1.7 ± 0.42 aA | 1.4 ± 0.20 aA | ||
| 160 | 1.2 ± 0.33 aA | 1.3 ± 0.32 aA | 0.2 ± 0.03 aA | 2.5 ± 0.09 aA | 0.7 ± 0.13 aA | 0.3 ± 0. 00 aA | 6.4 ± 0.78 a | 2.2 ± 0.24 aA | 2.4 ± 0.24 aA |
| Cv | NaCl (mM) | Number of leaves | Plant Height (cm) | FW (g) | DW (g) | TWC (g/g) | ψH2O (MPa) | ψπ (MPa) |
|---|---|---|---|---|---|---|---|---|
| ‘Black Beauty’ | 0 | 7.5 ± 0.6 abA | 31.4 ± 0.3 bA | 74.7 ± 0.3 aB | 16.1 ± 0.33 aB | 0.78 ± 0.0 aA | −0.5 ± 0.03 aA | −0.6 ± 0.04 aA |
| 40 | 8.5 ± 0.9 aB | 37.0 ± 0.5 aA | 27.9 ± 0.2 bB | 7.1 ± 0.05 bB | 0.74 ± 0.0 aA | −0.9 ± 0.10 abB | −1.2 ± 0.15 abB | |
| 80 | 6.5 ± 0.8 bB | 22.9 ± 0.6 cB | 14.5 ± 0.4 cB | 5.4 ± 0.12 cB | 0.62 ± 0.01 bB | −1.4 ± 0.09 bB | −1.5 ± 0.04 bB | |
| 160 | 5.4 ± 0.6 cB | 18.4 ± 0.6 dB | 9.1b ± 0.3 dB | 4.4 ± 0.06 dB | 0.50 ± 0.02 cB | −1.9 ± 0.19 cB | −2.5 ± 0.46 cB | |
| ‘Bonica’ | 0 | 9.9 ± 0.8 abA | 34.7 ± 0.8 bA | 149.8 ± 0.4 aA | 25.9 ± 0.34 aA | 0.82 ± 0.0 aA | −0.5 ± 0.03 aA | −0.6 ± 0.04 aA |
| 40 | 10.7 ± 0.7 aA | 38.0 ± 0.9 aA | 113.1 ± 0.9 bA | 19.6 ± 0.24 bA | 0.82 ± 0.0 aA | −0.6 ± 0.04 aA | −0.6 ± 0.08 aA | |
| 80 | 9.0 ± 1.2 bA | 29.5 ± 0.8 cA | 103.7 ± 0.7 cA | 18.0 ± 0.04 cA | 0.82 ± 0.0 aA | −0.6 ± 0. 02 aA | −0.6 ± 0.04 aA | |
| 160 | 8.2 ± 1.1 cA | 22.7 ± 0.7 dA | 94.4 ± 0.3 dA | 16.6 ± 0.21 cA | 0.82 ± 0.0 aA | −0.5 ± 0.02 aA | −0.7 ± 0.05 aA |
Publisher’s Note: MDPI stays neutral with regard to jurisdictional claims in published maps and institutional affiliations. |
© 2022 by the authors. Licensee MDPI, Basel, Switzerland. This article is an open access article distributed under the terms and conditions of the Creative Commons Attribution (CC BY) license (https://creativecommons.org/licenses/by/4.0/).
Share and Cite
Hannachi, S.; Steppe, K.; Eloudi, M.; Mechi, L.; Bahrini, I.; Van Labeke, M.-C. Salt Stress Induced Changes in Photosynthesis and Metabolic Profiles of One Tolerant (‘Bonica’) and One Sensitive (‘Black Beauty’) Eggplant Cultivars (Solanum melongena L.). Plants 2022, 11, 590. https://doi.org/10.3390/plants11050590
Hannachi S, Steppe K, Eloudi M, Mechi L, Bahrini I, Van Labeke M-C. Salt Stress Induced Changes in Photosynthesis and Metabolic Profiles of One Tolerant (‘Bonica’) and One Sensitive (‘Black Beauty’) Eggplant Cultivars (Solanum melongena L.). Plants. 2022; 11(5):590. https://doi.org/10.3390/plants11050590
Chicago/Turabian StyleHannachi, Sami, Kathy Steppe, Mabrouka Eloudi, Lassaad Mechi, Insaf Bahrini, and Marie-Christine Van Labeke. 2022. "Salt Stress Induced Changes in Photosynthesis and Metabolic Profiles of One Tolerant (‘Bonica’) and One Sensitive (‘Black Beauty’) Eggplant Cultivars (Solanum melongena L.)" Plants 11, no. 5: 590. https://doi.org/10.3390/plants11050590
APA StyleHannachi, S., Steppe, K., Eloudi, M., Mechi, L., Bahrini, I., & Van Labeke, M.-C. (2022). Salt Stress Induced Changes in Photosynthesis and Metabolic Profiles of One Tolerant (‘Bonica’) and One Sensitive (‘Black Beauty’) Eggplant Cultivars (Solanum melongena L.). Plants, 11(5), 590. https://doi.org/10.3390/plants11050590

