Characterization and Biological Activity of Fiber-Type Cannabis sativa L. Aerial Parts at Different Growth Stages
Abstract
:1. Introduction
2. Results and Discussion
2.1. Optimization of the UA-SLE Method
2.2. Fingerprinting of a Representative Cannabis sativa Sample and Identification of the Target Compounds
2.3. Analysis and Quantification of the Phenolic Compounds and Cannabinoids in the Samples
2.4. Statistical Analysis and Comparison of the Phytochemical Profile of the Different Cannabis sativa Samples
2.5. Evaluation of the Antioxidant Activity of Cannabis sativa Aerial Parts
2.5.1. In Vitro Antioxidant Assays (Scavenging of DPPH• and ABTS+• Radicals)
2.5.2. Offline Combination of Antioxidant Assays with HPLC-UV Analysis
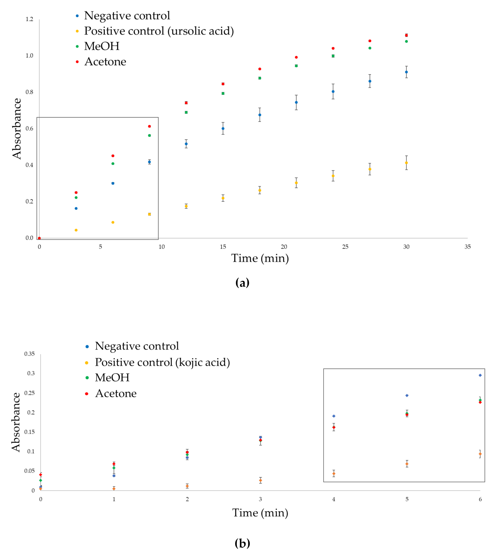
2.6. Evaluation of the Inhibitory Activity of Cannabis sativa Aerial Parts against Tyrosinase and Elastase Enzymes
3. Materials and Methods
3.1. Plant Material
3.2. Chemical and Reagents
3.3. Instrumentation and Equipment
3.4. Ultrasound-Assisted Solid Liquid Extraction Method
3.5. Derivatization for GC-MS Analysis
3.6. Antioxidant Activity
3.6.1. Scavenging Effect on DPPH• Radicals
3.6.2. Scavenging Effect on ABTS+•Radicals
3.7. Offline Combination of Antioxidant Assays and HPLC-PDA Analysis
3.7.1. DPPH Analysis
3.7.2. ABTS Analysis
3.8. Enzimatic Inhibition Assays
3.8.1. Tyrosinase Inhibition
3.8.2. Elastase Inhibition
3.9. Statistical Analysis
4. Conclusions
Supplementary Materials
Author Contributions
Funding
Data Availability Statement
Conflicts of Interest
References
- Chemat, F.; Abert-Vian, M.; Fabiano-Tixier, A.S.; Strube, J.; Uhlenbrock, L.; Gunjevic, V.; Cravotto, G. Green extraction of natural products. Origins, current status, and future challenges. Trends Anal. Chem. 2019, 118, 248–263. [Google Scholar] [CrossRef]
- Li, Y.; Chemat, F. Plant Based “Green Chemistry 2.0”. Moving from Evolutionary to Revolutionary; Springer: Singapore, 2019. [Google Scholar]
- Giupponi, L.; Leoni, V.; Carrer, M.; Ceciliani, G.; Sala, S.; Panseri, S.; Pavlovic, R.; Giorgi, A. Overview on Italian hemp production chain, related productive and commercial activities and legislative framework. Ital. J. Agron. 2020, 15, 194–205. [Google Scholar] [CrossRef]
- Pollastro, F.; Minassi, A.; Fresu, L.G. Cannabis phenolics and their bioactivities. Curr. Med. Chem. 2017, 25, 1160–1185. [Google Scholar] [CrossRef] [PubMed]
- Micalizzi, G.; Vento, F.; Alibrando, F.; Donnarumma, D.; Dugo, P.; Mondello, L. Cannabis Sativa L.: A comprehensive review on the analytical methodologies for cannabinoids and terpenes characterization. J. Chromatogr. A. 2021, 1637, 461864. [Google Scholar] [CrossRef] [PubMed]
- Pellati, F.; Brighenti, V.; Sperlea, J.; Marchetti, L.; Bertelli, D.; Benvenuti, S. New methods for the comprehensive analysis of bioactive compounds in Cannabis sativa L. (hemp). Molecules 2018, 23, 2639. [Google Scholar] [CrossRef] [Green Version]
- Cirrincione, M.; Saladini, B.; Brighenti, V.; Salamone, S.; Mandrioli, R.; Pollastro, F.; Pellati, F.; Protti, M.; Mercolini, L. Discriminating different Cannabis sativa L. chemotypes using attenuated total reflectance-infrared (ATR-FTIR) spectroscopy: A proof of concept. J. Pharm. Biomed. Anal. 2021, 204, 114270. [Google Scholar] [CrossRef] [PubMed]
- Patel, A.D. Cannabinoids in neurologic illnesses. Neurol. Clin. 2021, 39, 231–241. [Google Scholar] [CrossRef] [PubMed]
- Jin, D.; Dai, K.; Xie, Z.; Chen, J. Secondary metabolites profiled in Cannabis inflorescences, leaves, stem barks, and roots for medicinal purposes. Sci. Rep. 2020, 10, 1–14. [Google Scholar] [CrossRef]
- Andre, C.M.; Hausman, J.-F.; Guerriero, G. Cannabis sativa: The plant of the thousand and one molecules. Front. Plant Sci. 2016, 7, 19. [Google Scholar] [CrossRef] [Green Version]
- Brighenti, V.; Protti, M.; Anceschi, L.; Zanardi, C.; Mercolini, L.; Pellati, F. Emerging challenges in the extraction, analysis and bioanalysis of cannabidiol and related compounds. J. Pharm. Biomed. Anal. 2021, 192, 113633. [Google Scholar] [CrossRef]
- Pavlovic, R.; Panseri, S.; Giupponi, L.; Leoni, V.; Citti, C.; Cattaneo, C.; Cavaletto, M.; Giorgi, A. Phytochemical and ecological analysis of two varieties of hemp (Cannabis sativa L.) grown in a mountain environment of Italian Alps. Front. Plant Sci. 2019, 10, 1265. [Google Scholar] [CrossRef] [PubMed]
- Izzo, L.; Castaldo, L.; Narvaez, A.; Graziani, G.; Gaspari, A.; Rodríguez-Carrasco, Y.; Ritieni, A. Analysis of phenolic compounds in commercial Cannabis sativa L. inflorescences using UHPLC-Q-Orbitrap HRMS. Molecules 2020, 25, 631. [Google Scholar] [CrossRef] [PubMed] [Green Version]
- Ferrante, C.; Recinella, L.; Ronci, M.; Menghini, L.; Brunetti, L.; Chiavaroli, A.; Leone, S.; Di Iorio, L.; Carradoni, S.; Tirillini, B.; et al. Multiple pharmacognostic characterization on hemp commercial cultivars: Focus on inflorescence water extract activity. Food Chem. Toxicol. 2019, 125, 452–461. [Google Scholar] [CrossRef] [PubMed]
- Gunjević, V.; Grillo, G.; Carnaroglio, D.; Binello, A.; Barge, A.; Cravotto, G. Selective recovery of terpenes, polyphenols and cannabinoids from Cannabis sativa L. inflorescences under microwaves. Ind. Crops Prod. 2021, 162, 113247. [Google Scholar] [CrossRef]
- Valizadehderakhshan, M.; Shahbazi, A.; Kazem-Rostami, M.; Todd, M.S.; Bhowmik, A.; Wang, L. Extraction of Cannabinoids from Cannabis sativa L. (Hemp)—Review. Agriculture 2021, 11, 384. [Google Scholar] [CrossRef]
- Guo, T.T.; Zhang, J.C.; Zhang, H.; Liu, Q.C.; Zhao, Y.; Hou, Y.F.; Bai, L.; Zhang, L.; Liu, X.Q.; Liu, X.Y.; et al. Bioactive spirans and other constituents from the leaves of Cannabis sativa f. sativa. J. Asian Nat. Prod. Res. 2017, 19, 793–802. [Google Scholar] [CrossRef] [PubMed]
- Nadeem, I.; Khan, A.U.; Asghar, M.N.; Ashfaq, M.; Ahmed, D. In vitro total antioxidant and radical scavenging activities of organic extracts from leaves, stem and inflorescence of Cannabis sativa L. Asian J. Chem. 2012, 24, 5067–5072. [Google Scholar]
- Berman, P.; Futoran, K.; Lewitus, G.M.; Mukha, D.; Benami, M.; Shlomi, T.; Meiri, D. A new ESI-LC/MS approach for comprehensive metabolic profiling of phytocannabinoids in Cannabis. Sci. Rep. 2018, 8, 14280. [Google Scholar] [CrossRef] [PubMed] [Green Version]
- Tremlová, B.; Mikulášková, H.K.; Hajduchová, K.; Jancikova, S.; Kaczorová, D.; Zeljković, S.Ć.; Dordevic, D. Influence of technological maturity on the secondary metabolites of hemp concentrate (Cannabis sativa L.). Foods 2021, 10, 1418. [Google Scholar] [CrossRef] [PubMed]
- Westerhuis, W.; van Delden, S.H.; van Dam, J.E.G.; Pereira Marinho, J.P.; Struik, P.C.; Stomph, T.J. Plant weight determines secondary fibre development in fibre hemp (Cannabis sativa L.). Ind. Crops Prod. 2019, 139, 111493. [Google Scholar] [CrossRef]
- Chiocchio, I.; Mandrone, M.; Sanna, C.; Maxia, A.; Tacchini, M.; Poli, F. Screening of a hundred plant extracts as tyrosinase and elastase inhibitors, two enzymatic targets of cosmetic interest. Ind. Crops Prod. 2018, 122, 498–505. [Google Scholar] [CrossRef]
- Acquadro, S.; Appleton, S.; Marengo, A.; Bicchi, C.; Sgorbini, B.; Mandrone, M.; Gai, F.; Peiretti, P.G.; Cagliero, C.; Rubiolo, P. Grapevine green pruning residues as a promising and sustainable source of bioactive phenolic compounds. Molecules 2020, 25, 464. [Google Scholar] [CrossRef] [PubMed] [Green Version]
- Giacometti, J.; Žauhar, G.; Žuvić, M. Optimization of ultrasonic-assisted extraction of major phenolic compounds from olive leaves (Olea europaea L.) using response surface methodology. Foods 2018, 7, 149. [Google Scholar] [CrossRef] [Green Version]
- Chemat, F.; Rombaut, N.; Sicaire, A.G.; Meullemiestre, A.; Fabiano-Tixier, A.S.; Abert-Vian, M. Ultrasound assisted extraction of food and natural products. Mechanisms, techniques, combinations, protocols and applications. A review. Ultrason. Sonochem. 2017, 34, 540–560. [Google Scholar] [CrossRef] [PubMed]
- Tzimas, P.S.; Petrakis, E.A.; Halabalaki, M.; Skaltsounis, L.A. Effective determination of the principal non-psychoactive cannabinoids in fiber-type Cannabis sativa L. by UPLC-PDA following a comprehensive design and optimization of extraction methodology. Anal. Chim. Acta. 2021, 1150, 338200. [Google Scholar] [CrossRef] [PubMed]
- Qamar, S.; Torres, Y.J.M.; Parekh, H.S.; Falconer, J.R. Extraction of medicinal cannabinoids through supercritical carbon dioxide technologies: A review. J. Chromatogr. B 2021, 1167, 122581. [Google Scholar] [CrossRef] [PubMed]
- Richins, R.D.; Rodriguez-Uribe, L.; Lowe, K.; Ferral, R.; O’Connell, M.A. Accumulation of bioactive metabolites in cultivated medical Cannabis. PLoS ONE 2018, 13, e0201119. [Google Scholar] [CrossRef] [PubMed] [Green Version]
- Moreno-Sanz, G.; Ferreiro Vera, C.; Sánchez-Carnerero, C.; Nadal Roura, X.; Sánchez de Medina Baena, V. Biological activity of Cannabis sativa L. extracts critically depends on solvent polarity and decarboxylation. Separations 2020, 7, 56. [Google Scholar] [CrossRef]
- Wang, M.; Wang, Y.H.; Avula, B.; Radwan, M.M.; Wanas, A.S.; Van Antwerp, J.; Parcher, J.F.; Elsohly, M.A.; Khan, I.A. Decarboxylation study of acidic cannabinoids: A novel approach using ultra-high-performance supercritical fluid chromatography/photodiode array-mass spectrometry. Cannabis Cannabinoid Res. 2016, 1, 262–271. [Google Scholar] [CrossRef] [Green Version]
- Ingallina, C.; Sobolev, A.P.; Circi, S.; Spano, M.; Fraschetti, C.; Filippi, A.; Di Sotto, A.; Di Giacomo, S.; Mazzoccanti, G.; Gasparrini, F.; et al. Cannabis sativa L. inflorescences from monoecious cultivars grown in central Italy: An untargeted chemical characterization from early flowering to ripening. Molecules 2020, 25, 1908. [Google Scholar] [CrossRef] [PubMed]
- Giupponi, L.; Leoni, V.; Pavlovic, R.; Giorgi, A. Influence of altitude on phytochemical composition of hemp inflorescence: A metabolomic approach. Molecules 2020, 25, 1381. [Google Scholar] [CrossRef] [Green Version]
- Ferrer, I. Analyses of cannabinoids in hemp oils by LC/Q-TOF-MS. In Comprehensive Analytical Chemistry; Elsevier: Amsterdam, The Netherlands, 2020; Volume 90, pp. 415–452. [Google Scholar] [CrossRef]
- Sumner, L.W.; Amberg, A.; Barrett, D.; Beale, M.H.; Beger, R.; Daykin, C.A.; Fan, T.W.M.; Fiehn, O.; Goodacre, R.; Griffin, J.L.; et al. Proposed minimum reporting standards for chemical analysis Chemical Analysis Working Group (CAWG) Metabolomics Standards Initiative (MSI). Metabolomics 2007, 3, 211–221. [Google Scholar] [CrossRef] [PubMed] [Green Version]
- Flores-Sanchez, I.J.; Verpoorte, R. Secondary metabolism in cannabis. Phytochem. Rev. 2008, 7, 615–639. [Google Scholar] [CrossRef]
- Clausen, P.A.; Liu, Z.; Kofoed-Sørensen, V.; Little, J. Wolkoff, P. Influence of temperature on the emission of di-(2-ethylhexyl) phthalate (DEHP) from PVC flooring in the emission cell FLEC. Environ. Sci. Technol. 2012, 46, 909–915. [Google Scholar] [CrossRef] [PubMed]
- Jimenez-Garcia, S.N.; Vazquez-Cruz, M.A.; Ramirez-Gomez, X.S.; Beltran-Campos, V.; Contreras-Medina, L.M.; Garcia-Trejo, J.F.; Feregrino-Pérez, A.A. Changes in the content of phenolic compounds and biological activity in traditional Mexican herbal infusions with different drying methods. Molecules 2020, 25, 1601. [Google Scholar] [CrossRef] [Green Version]
- Pietta, P.G. Flavonoids as antioxidants. J. Nat. Prod. 2000, 63, 1035–1042. [Google Scholar] [CrossRef] [PubMed]
- Tóth, K.F.; Ádám, D.; Bíró, T.; Oláh, A. Cannabinoid signaling in the skin: Therapeutic potential of the “c(ut)annabinoid” system. Molecules 2019, 24, 918. [Google Scholar] [CrossRef] [PubMed] [Green Version]
- Zamberletti, E.; Rubino, T.; Parolaro, D. Therapeutic potential of cannabidivarin for epilepsy and autism spectrum disorder. Pharmacol. Ther. 2021, 226, 107878. [Google Scholar] [CrossRef] [PubMed]
- Baswan, S.M.; Klosner, A.E.; Glynn, K.; Rajgopal, A.; Malik, K.; Yim, S.; Stern, N. Therapeutic potential of cannabidiol (CBD) for skin health and disorders. Clin. Cosmet. Investig. Dermatol. 2020, 13, 927–942. [Google Scholar] [CrossRef] [PubMed]
- Manosroi, A.; Chankhampan, C.; Kietthanakorn, B.O.; Ruksiriwanich, W.; Chaikul, P.; Boonpisuttinant, K.; Sainakham, M.; Manosroi, W.; Tangjai, T.; Manosroi, J. Pharmaceutical and cosmeceutical biological activities of hemp (Cannabis sativa L var. sativa) leaf and seed extracts. Chiang Mai J. Sci. 2019, 46, 180–195. [Google Scholar]
- Dawidowicz, A.L.; Olszowy-Tomczyk, M.; Typek, R. CBG, CBD, Δ9-THC, CBN, CBGA, CBDA and Δ9-THCA as antioxidant agents and their intervention abilities in antioxidant action. Fitoterapia 2021, 152, 104915. [Google Scholar] [CrossRef]
- Al-Mamary, M.A.; Moussa, Z. Antioxidant activity: The presence and impact of hydroxyl groups in small molecules of natural and synthetic origin. In Antioxidants—Benefits, Sources, Mechanisms of Action; Waisundara, V., Ed.; Intechopen: London, UK, 2021. [Google Scholar] [CrossRef]
- Capetti, F.; Tacchini, M.; Marengo, A.; Cagliero, C.; Bicchi, C.; Rubiolo, P.; Sgorbini, B. Citral-containing essential oils as potential tyrosinase inhibitors: A bio-guided fractionation approach. Plants 2021, 10, 969. [Google Scholar] [CrossRef] [PubMed]
- Sadeghi-Kaji, S.; Shareghi, B.; Saboury, A.A.; Farhadian, S. Spermine as a porcine pancreatic elastase activator: Spectroscopic and molecular simulation studies. J. Biomol. Struct. Dyn. 2020, 38, 78–88. [Google Scholar] [CrossRef] [PubMed]
- Corni, G.; Brighenti, V.; Pellati, F.; Morlock, G.E. Effect-directed analysis of bioactive compounds in Cannabis sativa L. by high-performance thin-layer chromatography. J. Chromatogr. A. 2020, 1629, 461511. [Google Scholar] [CrossRef] [PubMed]
- Brooks, H.B.; Geeganage, S.; Kahl, S.D.; Montrose, C.; Sittampalam, S.; Smith, M.C.; Weidner, J.R. Basics of Enzymatic Assays for HTS. In Assay Guidance Manual; Markossian, S., Grossman, A., Brimacombe, K., Arkin, M., Auld, D., Austin, C.P., Baell, J., Chung, T.D.Y., Coussens, N.P., Dahlin, J.L., et al., Eds.; Eli Lilly & Company and the National Center for Advancing Translational Sciences: San Antonio, TX, USA, 2012. [Google Scholar]
- Acquadro, S.; Civra, A.; Cagliero, C.; Marengo, A.; Rittà, M.; Francese, R.; Sanna, C.; Bertea, C.; Sgorbini, B.; Lembo, D.; et al. Punica granatum leaf ethanolic extract and ellagic acid as inhibitors of Zika virus infection. Planta Med. 2020, 86, 1363–1374. [Google Scholar] [CrossRef]
- Król, A.; Amarowicz, R.; Weidner, S. Changes in the composition of phenolic compounds and antioxidant properties of grapevine roots and leaves (Vitis vinifera L.) under continuous of long-term drought stress. Acta Physiol. Plant. 2014, 36, 1491–1499. [Google Scholar] [CrossRef] [Green Version]
- Zheng, Z.P.; Tan, H.Y.; Chen, J.; Wang, M. Characterization of tyrosinase inhibitors in the twigs of Cudrania tricuspidata and their structure–activity relationship study. Fitoterapia 2013, 84, 242–247. [Google Scholar] [CrossRef] [PubMed]
- Bieth, J.; Spiess, B.; Wermuth, C.G. The synthesis and analytical use of a highly sensitive and convenient substrate of elastase. Biochem. Med. 1974, 11, 350–357. [Google Scholar] [CrossRef]





| N° | tr (min) | λ max (nm) | [M + H]+ m/z | [M − H]− m/z | Mol. Weight (g/mol) | M2+ m/z | M2− m/z | Aglycon (g/mol) | Compound Name | Identification Levels § | Ref. |
|---|---|---|---|---|---|---|---|---|---|---|---|
| 1 | 5.0 | 346/252 | 463 | 461 | 462 | 287 | 285 | 286 | Luteolin-7-O-glucuronide | 1 | [4,9,13] |
| 2 | 7.2 | 336/266 | 447 | 445 | 446 | 271 | 269 | 270 | Apigenin-7-O-glucuronide | 1 | [4,9,13] |
| 3 | 7.5 | 345/250 | 477 | 475 | 476 | 301 | 299 | 300 | Diosmetin glucuronide derivative A | 2 | [4,9,13] |
| 4 | 8.1 | 345/250 | 477 | 475 | 476 | 301 | 299 | 300 | Diosmetin glucuronide derivative B | 2 | [4,9,13] |
| 5 | 9.4 | 335/267 | 623 | 621 | 622 | 285 | 283 | 284 | Acacetin glycoside A | 2 | [4,9,13] |
| 6 | 10.8 | 332/267 | 593 | 591 | 592 | 285 | 283 | 284 | Acacetin glycoside B | 2 | [4,9,13] |
| 7 | 11.0 | 328/267 | 607 | 605 | 606 | 285 | 283 | 284 | Acacetin glycoside C | 2 | [4,9,13] |
| 8 | 12.1 | 334/267 | 461 | 459 | 460 | 285 | 283 | 284 | Acacetin glucuronide derivative | 2 | [4,9,13] |
| 9 | 13.2 | 336/266 | 271 | 269 | 270 | / | / | / | Apigenin | 1 | [4,9,13] |
| 10 | 14.3 | 343/252 | 301 | 299 | 300 | / | / | / | Diosmetin | 1 | [4,9,13] |
| 11 | 17.7 | 268/279 | / | / | / | / | / | / | Not identified | / | / |
| 12 | 18.2 | 268/279 | / | / | / | / | / | / | Not identified | / | / |
| 13 | 18.4 | 268/279 | / | / | / | / | / | / | Not identified | / | / |
| 14 | 20.1 | 267/334 | 285 | 283 | 284 | / | / | / | Acacetin | 1 | [4,9,13] |
| 15 | 23.9 | 310 | / | 667 | / | / | 163 | / | Coumaric acid derivative | 2 | [4] |
| 16 | 36.4 | 341/274 | 437 | 435 | 436 | 313 | / | / | Cannflavin A | 1 | [12,13,33] |
| 17 | 36.6 | 220/269/306 | 359 | 357 | 358 | / | / | / | Cannabidiolic acid (CBDA) | 1 | [12,33] |
| 18 | 37.9 | 220/268/305 | 361 | 359 | 360 | 219 | / | / | Cannabigerolic acid (CBGA) | 2 | [12,33] |
| 19 | 38.1 | 263/328 | 327 | 325 | 326 | 191 | / | / | Cannabinoid | 3 | [12,33] |
| 20 | 40.2 | 220/271/305 | 331 | 329 | 330 | 191, 313, 257, 233 | / | / | Varinic derivative A | 2 | [12,33] |
| 21 | 41.8 | 220/272/304 | 331 | 329 | 330 | 191, 257, 233 | / | / | Varinic derivative B | 2 | [12,33] |
| 22 | 42.1 | 220/271/305 | 331 | 329 | 330 | 191, 257, 233 | / | / | Varinic derivative C | 2 | [12,33] |
| 23 | 43.8 | 268/306 | 347 | 345 | 346 | 205, 175 | / | Cannabinoid | 3 | [12,33] | |
| 24 | 44.0 | / | 355 | 353 | 354 | 337, 281 | / | / | Cannabinolic acid (CBNA) | 2 | [12,33] |
| 25 | 46.1 | 220/271/304 | 359 | 357 | 358 | 219, 243 | / | / | Δ9-Tetrahydrocannabinolic acid (Δ9-THCA) | 2 | [12,33] |
| 26 | 47.9 | / | 359 | 357 | 358 | 219, 341, 261 | / | / | Cannabichromenic acid (CBCA) | 1 | [12,33] |
| 27 | 48.5 | 266/305 | 375 | 373 | 374 | 233 | / | / | Cannabinoid | 3 | [12,33] |
| Compounds | % Peak Reduction | |||
|---|---|---|---|---|
| DPPH | ABTS | |||
| MeOH | Acetone | MeOH | Acetone | |
| Luteolin-7-O-glucuronide | >95(±0.09) | / | >95(±0.05) | / |
| Apigenin-7-O-glucuronide | 19.6(±2.73) | / | 18.3(±1.13) | / |
| Diosmetin glycoside A | 24.7(±2.31) | / | 37.4(±2.24) | / |
| Diosmetin glycoside B | 22.3(±0.15) | / | / | / |
| Acacetin glycoside A | 25.7(±0.54) | / | 89.2(±3.04) | / |
| Varinic derivative A | 27.9(±1.44) | 40(±5.65) | / | 76.5(±5.89) |
| Varinic derivative C | 19.2(±1.38) | 31(±2.28) | / | 36(±4.94) |
| THCA | 22.5(±3.77) | 42.4(±1.11) | / | 72.7(±5.73) |
| CBCA | 42.1(±0.09) | 52.1(±0.21) | / | 35.3(±6.11) |
Publisher’s Note: MDPI stays neutral with regard to jurisdictional claims in published maps and institutional affiliations. |
© 2022 by the authors. Licensee MDPI, Basel, Switzerland. This article is an open access article distributed under the terms and conditions of the Creative Commons Attribution (CC BY) license (https://creativecommons.org/licenses/by/4.0/).
Share and Cite
Mastellone, G.; Marengo, A.; Sgorbini, B.; Scaglia, F.; Capetti, F.; Gai, F.; Peiretti, P.G.; Rubiolo, P.; Cagliero, C. Characterization and Biological Activity of Fiber-Type Cannabis sativa L. Aerial Parts at Different Growth Stages. Plants 2022, 11, 419. https://doi.org/10.3390/plants11030419
Mastellone G, Marengo A, Sgorbini B, Scaglia F, Capetti F, Gai F, Peiretti PG, Rubiolo P, Cagliero C. Characterization and Biological Activity of Fiber-Type Cannabis sativa L. Aerial Parts at Different Growth Stages. Plants. 2022; 11(3):419. https://doi.org/10.3390/plants11030419
Chicago/Turabian StyleMastellone, Giulia, Arianna Marengo, Barbara Sgorbini, Federica Scaglia, Francesca Capetti, Francesco Gai, Pier Giorgio Peiretti, Patrizia Rubiolo, and Cecilia Cagliero. 2022. "Characterization and Biological Activity of Fiber-Type Cannabis sativa L. Aerial Parts at Different Growth Stages" Plants 11, no. 3: 419. https://doi.org/10.3390/plants11030419
APA StyleMastellone, G., Marengo, A., Sgorbini, B., Scaglia, F., Capetti, F., Gai, F., Peiretti, P. G., Rubiolo, P., & Cagliero, C. (2022). Characterization and Biological Activity of Fiber-Type Cannabis sativa L. Aerial Parts at Different Growth Stages. Plants, 11(3), 419. https://doi.org/10.3390/plants11030419

