Metabolites Facilitating Adaptation of Desert Cyanobacteria to Extremely Arid Environments
Abstract
1. Introduction
2. Cyanobacteria as Pioneers Forming the Core Community
3. Ecological Significance of Soil Consortia Dominated by Cyanobacteria
4. Acclimation Strategies of Cyanobacteria to Survive Extreme Arid Conditions
4.1. Biosynthesis and Role of EPSs
4.2. Compatible Solutes
5. Use of Desert Cyanobacteria for Soil Remediation
5.1. Cultivation of Desert Cyanobacteria in Wastewater
5.2. Desert Cyanobacteria for Soil Restoration
6. Conclusions
Author Contributions
Funding
Institutional Review Board Statement
Informed Consent Statement
Data Availability Statement
Conflicts of Interest
References
- Greenville, A. The Biology of Deserts David Ward, 2nd Edition. Oxford University Press, Oxford, 2016. Xv + 370 Pp. Austral. Ecol. 2018, 43, e20. [Google Scholar] [CrossRef]
- Wang, L.; Kaseke, K.F.; Seely, M.K. Effects of Non-rainfall Water Inputs on Ecosystem Functions. WIREs Water 2017, 4, e1179. [Google Scholar] [CrossRef]
- McHugh, T.A.; Compson, Z.; van Gestel, N.; Hayer, M.; Ballard, L.; Haverty, M.; Hines, J.; Irvine, N.; Krassner, D.; Lyons, T.; et al. Climate Controls Prokaryotic Community Composition in Desert Soils of the Southwestern United States. FEMS Microbiol. Ecol. 2017, 93, fix116. [Google Scholar] [CrossRef] [PubMed]
- Shrivastava, P.; Kumar, R. Soil Salinity: A Serious Environmental Issue and Plant Growth Promoting Bacteria as One of the Tools for Its Alleviation. Saudi J. Biol. Sci. 2015, 22, 123–131. [Google Scholar] [CrossRef] [PubMed]
- Isayenkov, S.V.; Maathuis, F.J.M. Plant Salinity Stress: Many Unanswered Questions Remain. Front. Plant Sci. 2019, 10, 80. [Google Scholar] [CrossRef] [PubMed]
- Kumar, A.; Singh, S.; Gaurav, A.K.; Srivastava, S.; Verma, J.P. Plant Growth-Promoting Bacteria: Biological Tools for the Mitigation of Salinity Stress in Plants. Front. Microbiol. 2020, 11, 1216. [Google Scholar] [CrossRef]
- Faist, A.M.; Herrick, J.E.; Belnap, J.; Van Zee, J.W.; Barger, N.N. Biological Soil Crust and Disturbance Controls on Surface Hydrology in a Semi-Arid Ecosystem. Ecosphere 2017, 8, e01691. [Google Scholar] [CrossRef]
- Weber, B.; Wu, D.; Tamm, A.; Ruckteschler, N.; Rodríguez-Caballero, E.; Steinkamp, J.; Meusel, H.; Elbert, W.; Behrendt, T.; Sörgel, M.; et al. Biological Soil Crusts Accelerate the Nitrogen Cycle through Large NO and HONO Emissions in Drylands. Proc. Natl. Acad. Sci. USA 2015, 112, 15384–15389. [Google Scholar] [CrossRef]
- Wang, J.; Salem, D.R.; Sani, R.K. Extremophilic Exopolysaccharides: A Review and New Perspectives on Engineering Strategies and Applications. Carbohydr. Polym. 2019, 205, 8–26. [Google Scholar] [CrossRef]
- Murik, O.; Oren, N.; Shotland, Y.; Raanan, H.; Treves, H.; Kedem, I.; Keren, N.; Hagemann, M.; Pade, N.; Kaplan, A. What Distinguishes Cyanobacteria Able to Revive after Desiccation from Those That Cannot: The Genome Aspect: Desiccation Resistance Genes in Cyanobacteria. Environ. Microbiol. 2017, 19, 535–550. [Google Scholar] [CrossRef]
- Urrejola, C.; Alcorta, J.; Salas, L.; Vásquez, M.; Polz, M.F.; Vicuña, R.; Díez, B. Genomic Features for Desiccation Tolerance and Sugar Biosynthesis in the Extremophile Gloeocapsopsis Sp. UTEX B3054. Front. Microbiol. 2019, 10, 950. [Google Scholar] [CrossRef] [PubMed]
- Chen, M.-Y.; Teng, W.-K.; Zhao, L.; Hu, C.-X.; Zhou, Y.-K.; Han, B.-P.; Song, L.-R.; Shu, W.-S. Comparative Genomics Reveals Insights into Cyanobacterial Evolution and Habitat Adaptation. ISME J. 2021, 15, 211–227. [Google Scholar] [CrossRef] [PubMed]
- Ferrenberg, S.; Tucker, C.L.; Reed, S.C. Biological Soil Crusts: Diminutive Communities of Potential Global Importance. Front. Ecol. Environ. 2017, 15, 160–167. [Google Scholar] [CrossRef]
- Couradeau, E.; Giraldo-Silva, A.; De Martini, F.; Garcia-Pichel, F. Spatial Segregation of the Biological Soil Crust Microbiome around Its Foundational Cyanobacterium, Microcoleus Vaginatus, and the Formation of a Nitrogen-Fixing Cyanosphere. Microbiome 2019, 7, 55. [Google Scholar] [CrossRef] [PubMed]
- Jung, P.; Schermer, M.; Briegel-Williams, L.; Baumann, K.; Leinweber, P.; Karsten, U.; Lehnert, L.; Achilles, S.; Bendix, J.; Büdel, B. Water Availability Shapes Edaphic and Lithic Cyanobacterial Communities in the Atacama Desert. J. Phycol. 2019, 55, 1306–1318. [Google Scholar] [CrossRef]
- Mehda, S.; Muñoz-Martín, M.Á.; Oustani, M.; Hamdi-Aïssa, B.; Perona, E.; Mateo, P. Microenvironmental Conditions Drive the Differential Cyanobacterial Community Composition of Biocrusts from the Sahara Desert. Microorganisms 2021, 9, 487. [Google Scholar] [CrossRef]
- Cano-Díaz, C.; Maestre, F.T.; Wang, J.; Li, J.; Singh, B.K.; Ochoa, V.; Gozalo, B.; Delgado-Baquerizo, M. Effects of Vegetation on Soil Cyanobacterial Communities through Time and Space. New Phytol. 2022, 234, 435–448. [Google Scholar] [CrossRef]
- Fuentes, J.; Garbayo, I.; Cuaresma, M.; Montero, Z.; González-del-Valle, M.; Vílchez, C. Impact of Microalgae-Bacteria Interactions on the Production of Algal Biomass and Associated Compounds. Mar. Drugs 2016, 14, 100. [Google Scholar] [CrossRef]
- Cho, D.-H.; Ramanan, R.; Heo, J.; Lee, J.; Kim, B.-H.; Oh, H.-M.; Kim, H.-S. Enhancing Microalgal Biomass Productivity by Engineering a Microalgal–Bacterial Community. Bioresour. Technol. 2015, 175, 578–585. [Google Scholar] [CrossRef]
- Xue, L.; Shang, H.; Ma, P.; Wang, X.; He, X.; Niu, J.; Wu, J. Analysis of Growth and Lipid Production Characteristics of Chlorella vulgaris in Artificially Constructed Consortia with Symbiotic Bacteria. J. Basic Microbiol. 2018, 58, 358–367. [Google Scholar] [CrossRef]
- Van Goethem, M.W.; Makhalanyane, T.P.; Cowan, D.A.; Valverde, A. Cyanobacteria and Alphaproteobacteria May Facilitate Cooperative Interactions in Niche Communities. Front. Microbiol. 2017, 8, 2099. [Google Scholar] [CrossRef] [PubMed]
- Lacap-Bugler, D.C.; Lee, K.K.; Archer, S.; Gillman, L.N.; Lau, M.C.Y.; Leuzinger, S.; Lee, C.K.; Maki, T.; McKay, C.P.; Perrott, J.K.; et al. Global Diversity of Desert Hypolithic Cyanobacteria. Front. Microbiol. 2017, 8, 867. [Google Scholar] [CrossRef] [PubMed]
- Ekwealor, J.T.B.; Fisher, K.M. Life under Quartz: Hypolithic Mosses in the Mojave Desert. PLoS ONE 2020, 15, e0235928. [Google Scholar] [CrossRef] [PubMed]
- Han, P.; Shen, S.; Jia, S.; Wang, H.; Zhong, C.; Tan, Z.; Lv, H. Comparison of Bacterial Community Structures of Terrestrial Cyanobacterium Nostoc flagelliforme in Three Different Regions of China Using PCR-DGGE Analysis. World J. Microbiol. Biotechnol. 2015, 31, 1061–1069. [Google Scholar] [CrossRef]
- Wang, B.; Yang, J.; Xu, C.; Yi, L.; Wan, C. Dynamic Expression of Intra- and Extra-cellular Proteome and the Influence of Epiphytic Bacteria for Nostoc flagelliforme in Response to Rehydration. Environ. Microbiol. 2020, 22, 1251–1264. [Google Scholar] [CrossRef]
- Nelson, C.; Giraldo-Silva, A.; Garcia-Pichel, F. A Symbiotic Nutrient Exchange within the Cyanosphere Microbiome of the Biocrust Cyanobacterium, Microcoleus Vaginatus. ISME J. 2021, 15, 282–292. [Google Scholar] [CrossRef]
- Yadav, R.K.; Tripathi, K.; Varghese, E.; Abraham, G. Physiological and Proteomic Studies of the Cyanobacterium Anabaena Sp. Acclimated to Desiccation Stress. Curr. Microbiol. 2021, 78, 2429–2439. [Google Scholar] [CrossRef]
- Costa, O.Y.A.; Raaijmakers, J.M.; Kuramae, E.E. Microbial Extracellular Polymeric Substances: Ecological Function and Impact on Soil Aggregation. Front. Microbiol. 2018, 9, 1636. [Google Scholar] [CrossRef]
- Di Martino, P. Extracellular Polymeric Substances, a Key Element in Understanding Biofilm Phenotype. AIMS Microbiol. 2018, 4, 274–288. [Google Scholar] [CrossRef] [PubMed]
- Raanan, H.; Felde, V.J.M.N.L.; Peth, S.; Drahorad, S.; Ionescu, D.; Eshkol, G.; Treves, H.; Felix-Henningsen, P.; Berkowicz, S.M.; Keren, N.; et al. Three-Dimensional Structure and Cyanobacterial Activity within a Desert Biological Soil Crust: Biological Soil Crust Structure and Activity. Environ. Microbiol. 2016, 18, 372–383. [Google Scholar] [CrossRef]
- Benard, P.; Zarebanadkouki, M.; Brax, M.; Kaltenbach, R.; Jerjen, I.; Marone, F.; Couradeau, E.; Felde, V.J.M.N.L.; Kaestner, A.; Carminati, A. Microhydrological Niches in Soils: How Mucilage and EPS Alter the Biophysical Properties of the Rhizosphere and Other Biological Hotspots. Vadose Zone J. 2019, 18, 1–10. [Google Scholar] [CrossRef]
- Kedem, I.; Treves, H.; Noble, G.; Hagemann, M.; Murik, O.; Raanan, H.; Oren, N.; Giordano, M.; Kaplan, A. Keep Your Friends Close and Your Competitors Closer: Novel Interspecies Interaction in Desert Biological Sand Crusts. Phycologia 2021, 60, 419–426. [Google Scholar] [CrossRef]
- Miralles, I.; Domingo, F.; Cantón, Y.; Trasar-Cepeda, C.; Leirós, M.C.; Gil-Sotres, F. Hydrolase Enzyme Activities in a Successional Gradient of Biological Soil Crusts in Arid and Semi-Arid Zones. Soil Biol. Biochem. 2012, 53, 124–132. [Google Scholar] [CrossRef]
- Oren, N.; Raanan, H.; Kedem, I.; Turjeman, A.; Bronstein, M.; Kaplan, A.; Murik, O. Desert Cyanobacteria Prepare in Advance for Dehydration and Rewetting: The Role of Light and Temperature Sensing. Mol. Ecol. 2019, 28, 2305–2320. [Google Scholar] [CrossRef] [PubMed]
- Wu, S.; Yu, K.; Li, L.; Wang, L.; Liang, W. Enhancement of Exopolysaccharides Production and Reactive Oxygen Species Level of Nostoc flagelliforme in Response to Dehydration. Environ. Sci. Pollut. Res. 2021, 28, 34300–34308. [Google Scholar] [CrossRef] [PubMed]
- Gao, X. Scytonemin Plays a Potential Role in Stabilizing the Exopolysaccharidic Matrix in Terrestrial Cyanobacteria. Microb. Ecol. 2017, 73, 255–258. [Google Scholar] [CrossRef] [PubMed]
- Orellana, G.; Gómez-Silva, B.; Urrutia, M.; Galetović, A. UV-A Irradiation Increases Scytonemin Biosynthesis in Cyanobacteria Inhabiting Halites at Salar Grande, Atacama Desert. Microorganisms 2020, 8, 1690. [Google Scholar] [CrossRef] [PubMed]
- Wada, N.; Sakamoto, T.; Matsugo, S. Multiple Roles of Photosynthetic and Sunscreen Pigments in Cyanobacteria Focusing on the Oxidative Stress. Metabolites 2013, 3, 463–483. [Google Scholar] [CrossRef]
- Couradeau, E.; Karaoz, U.; Lim, H.C.; Nunes da Rocha, U.; Northen, T.; Brodie, E.; Garcia-Pichel, F. Bacteria Increase Arid-Land Soil Surface Temperature through the Production of Sunscreens. Nat. Commun. 2016, 7, 10373. [Google Scholar] [CrossRef]
- Inoue-Sakamoto, K.; Nazifi, E.; Tsuji, C.; Asano, T.; Nishiuchi, T.; Matsugo, S.; Ishihara, K.; Kanesaki, Y.; Yoshikawa, H.; Sakamoto, T. Characterization of Mycosporine-like Amino Acids in the Cyanobacterium Nostoc verrucosum. J. Gen. Appl. Microbiol. 2018, 64, 203–211. [Google Scholar] [CrossRef]
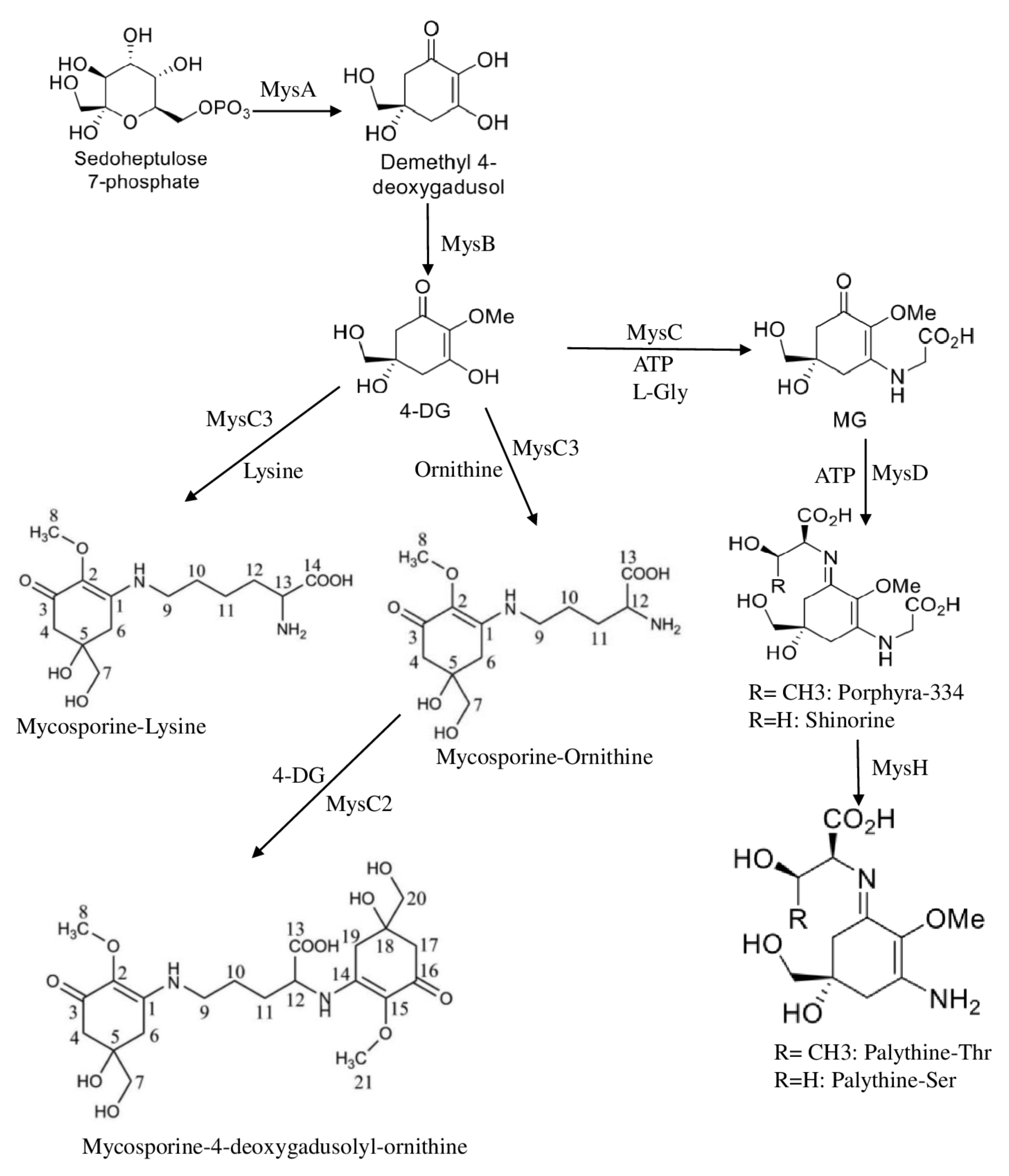
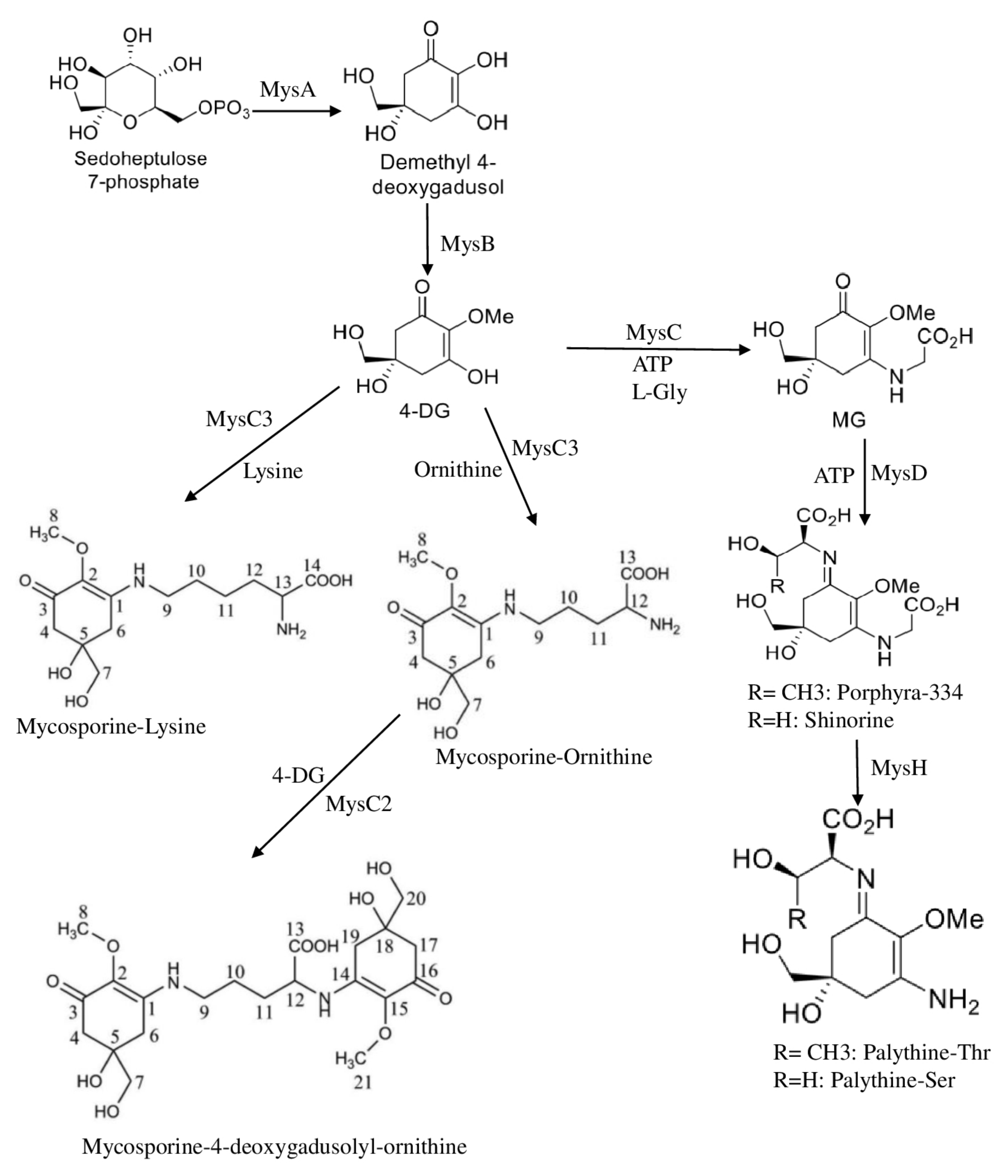
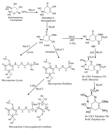
- Zhang, Z.; Wang, K.; Hao, F.; Shang, J.; Tang, H.; Qiu, B. New Types of ATP-grasp Ligase Are Associated with the Novel Pathway for Complicated Mycosporine-like Amino Acid Production in Desiccation-tolerant Cyanobacteria. Environ. Microbiol. 2021, 23, 6420–6432. [Google Scholar] [CrossRef] [PubMed]
- Chen, M.; Rubin, G.M.; Jiang, G.; Raad, Z.; Ding, Y. Biosynthesis and Heterologous Production of Mycosporine-Like Amino Acid Palythines. J. Org. Chem. 2021, 86, 11160–11168. [Google Scholar] [CrossRef] [PubMed]
- Liu, W.; Cui, L.; Xu, H.; Zhu, Z.; Gao, X. Flexibility-Rigidity Coordination of the Dense Exopolysaccharide Matrix in Terrestrial Cyanobacteria Acclimated to Periodic Desiccation. Appl. Environ. Microbiol. 2017, 83, e01619-17. [Google Scholar] [CrossRef]
- Gao, X.; Liu, L.-T.; Liu, B. Dryland Cyanobacterial Exopolysaccharides Show Protection against Acid Deposition Damage. Environ. Sci. Pollut. Res. 2019, 26, 24300–24304. [Google Scholar] [CrossRef]
- Inoue-Sakamoto, K.; Tanji, Y.; Yamaba, M.; Natsume, T.; Masaura, T.; Asano, T.; Nishiuchi, T.; Sakamoto, T. Characterization of Extracellular Matrix Components from the Desiccation-Tolerant Cyanobacterium Nostoc commune. J. Gen. Appl. Microbiol. 2018, 64, 15–25. [Google Scholar] [CrossRef]
- Gao, X.; Xu, H.; Yuan, X. The Overlooked Genetic Diversity in the Dryland Soil Surface-Dwelling Cyanobacterium Nostoc flagelliforme as Revealed by the Marker Gene WspA. Microb. Ecol. 2021, 81, 828–831. [Google Scholar] [CrossRef]
- Potts, M. Mechanisms of Desiccation Tolerance in Cyanobacteria. Eur. J. Phycol. 1999, 34, 319–328. [Google Scholar] [CrossRef]
- Klähn, S.; Steglich, C.; Hess, W.R.; Hagemann, M. Glucosylglycerate: A Secondary Compatible Solute Common to Marine Cyanobacteria from Nitrogen-Poor Environments. Environ. Microbiol. 2010, 12, 83–94. [Google Scholar] [CrossRef]
- Koch, M.; Berendzen, K.W.; Forchhammer, K. On the Role and Production of Polyhydroxybutyrate (PHB) in the Cyanobacterium Synechocystis sp. PCC 6803. Life 2020, 10, 47. [Google Scholar] [CrossRef] [PubMed]
- Azua-Bustos, A.; Zúñiga, J.; Arenas-Fajardo, C.; Orellana, M.; Salas, L.; Rafael, V. Gloeocapsopsis AAB1, an Extremely Desiccation-Tolerant Cyanobacterium Isolated from the Atacama Desert. Extremophiles 2014, 18, 61–74. [Google Scholar] [CrossRef]
- Alvarenga, L.V.; Lucius, S.; Vaz, M.G.M.V.; Araújo, W.L.; Hagemann, M. The Novel Strain Desmonostoc salinum CCM-UFV 059 Shows Higher Salt and Desiccation Resistance Compared to the Model Strain Nostoc sp. PCC 7120. J. Phycol. 2020, 56, 496–506. [Google Scholar] [CrossRef]
- Hagemann, M.; Pade, N. Heterosides—Compatible Solutes Occurring in Prokaryotic and Eukaryotic Phototrophs. Plant Biol. J. 2015, 17, 927–934. [Google Scholar] [CrossRef]
- Sarkar, A.K.; Sadhukhan, S. Imperative Role of Trehalose Metabolism and Trehalose-6-phosphate Signaling on Salt Stress Responses in Plants. Physiol. Plant. 2022, 174, e13647. [Google Scholar] [CrossRef]
- Babazadeh, R.; Lahtvee, P.-J.; Adiels, C.B.; Goksör, M.; Nielsen, J.B.; Hohmann, S. The Yeast Osmostress Response Is Carbon Source Dependent. Sci. Rep. 2017, 7, 990. [Google Scholar] [CrossRef] [PubMed]
- Jiménez-Gómez, I.; Valdés-Muñoz, G.; Moreno-Perlin, T.; Mouriño-Pérez, R.R.; Sánchez-Carbente, M.d.R.; Folch-Mallol, J.L.; Pérez-Llano, Y.; Gunde-Cimerman, N.; Sánchez, N.d.C.; Batista-García, R.A. Haloadaptative Responses of Aspergillus Sydowii to Extreme Water Deprivation: Morphology, Compatible Solutes, and Oxidative Stress at NaCl Saturation. JoF 2020, 6, 316. [Google Scholar] [CrossRef]
- Ding, R.; Yang, N.; Liu, J. The Osmoprotectant Switch of Potassium to Compatible Solutes in an Extremely Halophilic Archaea Halorubrum Kocurii 2020YC7. Genes 2022, 13, 939. [Google Scholar] [CrossRef]
- Cao, Y.; Ashline, D.J.; Ficko-Blean, E.; Klein, A.S. Trehalose and (Iso)Floridoside Production under Desiccation Stress in Red Alga Porphyra umbilicalis and the Genes Involved in Their Synthesis. J. Phycol. 2020, 56, 1468–1480. [Google Scholar] [CrossRef]
- Sharma, M.P.; Grover, M.; Chourasiya, D.; Bharti, A.; Agnihotri, R.; Maheshwari, H.S.; Pareek, A.; Buyer, J.S.; Sharma, S.K.; Schütz, L.; et al. Deciphering the Role of Trehalose in Tripartite Symbiosis Among Rhizobia, Arbuscular Mycorrhizal Fungi, and Legumes for Enhancing Abiotic Stress Tolerance in Crop Plants. Front. Microbiol. 2020, 11, 509919. [Google Scholar] [CrossRef] [PubMed]
- Selão, T.T. Exploring Cyanobacterial Diversity for Sustainable Biotechnology. J. Exp. Bot. 2022, 73, 3057–3071. [Google Scholar] [CrossRef] [PubMed]
- Chittora, D.; Meena, M.; Barupal, T.; Swapnil, P.; Sharma, K. Cyanobacteria as a Source of Biofertilizers for Sustainable Agriculture. Biochem. Biophys. Rep. 2020, 22, 100737. [Google Scholar] [CrossRef] [PubMed]
- Garlapati, D.; Chandrasekaran, M.; Devanesan, A.; Mathimani, T.; Pugazhendhi, A. Role of Cyanobacteria in Agricultural and Industrial Sectors: An Outlook on Economically Important Byproducts. Appl. Microbiol. Biotechnol. 2019, 103, 4709–4721. [Google Scholar] [CrossRef] [PubMed]
- Wu, L.; Qian, L.; Deng, Z.; Zhou, X.; Li, B.; Lan, S.; Yang, L.; Zhang, Z. Temperature Modulating Sand-Consolidating Cyanobacterial Biomass, Nutrients Removal and Bacterial Community Dynamics in Municipal Wastewater. Bioresour. Technol. 2020, 301, 122758. [Google Scholar] [CrossRef] [PubMed]
- Wu, L.; Zhu, Q.; Yang, L.; Li, B.; Hu, C.; Lan, S. Nutrient Transferring from Wastewater to Desert through Artificial Cultivation of Desert Cyanobacteria. Bioresour. Technol. 2018, 247, 947–953. [Google Scholar] [CrossRef]
- Zhu, Q.; Wu, L.; Li, G.; Li, X.; Zhao, C.; Du, C.; Wang, F.; Li, W.; Zhang, L. A Novel of Transforming Wastewater Pollution into Resources for Desertification Control by Sand-Consolidating Cyanobacteria, Scytonema Javanicum. Environ. Sci. Pollut. Res. 2021, 28, 13861–13872. [Google Scholar] [CrossRef]
- Zhu, Q.; Wu, L.; Li, X.; Li, G.; Li, J.; Li, C.; Zhao, C.; Wang, F.; Du, C.; Deng, C.; et al. Effects of Ambient Temperature on the Redistribution Efficiency of Nutrients by Desert Cyanobacteria- Scytonema Javanicum. Sci. Total Environ. 2020, 737, 139733. [Google Scholar] [CrossRef] [PubMed]
- Guerra, C.A.; Heintz-Buschart, A.; Sikorski, J.; Chatzinotas, A.; Guerrero-Ramírez, N.; Cesarz, S.; Beaumelle, L.; Rillig, M.C.; Maestre, F.T.; Delgado-Baquerizo, M.; et al. Blind Spots in Global Soil Biodiversity and Ecosystem Function Research. Nat. Commun. 2020, 11, 3870. [Google Scholar] [CrossRef]
- Lan, S.; Wu, L.; Yang, H.; Zhang, D.; Hu, C. A New Biofilm Based Microalgal Cultivation Approach on Shifting Sand Surface for Desert Cyanobacterium Microcoleus Vaginatus. Bioresour. Technol. 2017, 238, 602–608. [Google Scholar] [CrossRef]
- Kvíderová, J.; Kumar, D.; Lukavský, J.; Kaštánek, P.; Adhikary, S.P. Estimation of Growth and Exopolysaccharide Production by Two Soil Cyanobacteria, Scytonema tolypothrichoides and Tolypothrix bouteillei as Determined by Cultivation in Irradiance and Temperature Crossed Gradients. Eng. Life Sci. 2019, 19, 184–195. [Google Scholar] [CrossRef] [PubMed]
- Chamizo, S.; Adessi, A.; Torzillo, G.; De Philippis, R. Exopolysaccharide Features Influence Growth Success in Biocrust-Forming Cyanobacteria, Moving from Liquid Culture to Sand Microcosms. Front. Microbiol. 2020, 11, 568224. [Google Scholar] [CrossRef]
- Román, J.R.; Chilton, A.M.; Cantón, Y.; Muñoz-Rojas, M. Assessing the Viability of Cyanobacteria Pellets for Application in Arid Land Restoration. J. Environ. Manag. 2020, 270, 110795. [Google Scholar] [CrossRef]
- Li, Z.; Xiao, J.; Chen, C.; Zhao, L.; Wu, Z.; Liu, L.; Cai, D. Promoting Desert Biocrust Formation Using Aquatic Cyanobacteria with the Aid of MOF-Based Nanocomposite. Sci. Total Environ. 2020, 708, 134824. [Google Scholar] [CrossRef] [PubMed]
- Navarro-González, R.; Rainey, F.A.; Molina, P.; Bagaley, D.R.; Hollen, B.J.; de la Rosa, J.; Small, A.M.; Quinn, R.C.; Grunthaner, F.J.; Cáceres, L.; et al. Mars-Like Soils in the Atacama Desert, Chile, and the Dry Limit of Microbial Life. Science 2003, 302, 1018–1021. [Google Scholar] [CrossRef] [PubMed]
- Liu, Y.; Cockell, C.S.; Wang, G.; Hu, C.; Chen, L.; De Philippis, R. Control of Lunar and Martian Dust—Experimental Insights from Artificial and Natural Cyanobacterial and Algal Crusts in the Desert of Inner Mongolia, China. Astrobiology 2008, 8, 75–86. [Google Scholar] [CrossRef] [PubMed]
- Billi, D.; Verseux, C.; Fagliarone, C.; Napoli, A.; Baqué, M.; de Vera, J.-P. A Desert Cyanobacterium under Simulated Mars-like Conditions in Low Earth Orbit: Implications for the Habitability of Mars. Astrobiology 2019, 19, 158–169. [Google Scholar] [CrossRef]
- Billi, D.; Staibano, C.; Verseux, C.; Fagliarone, C.; Mosca, C.; Baqué, M.; Rabbow, E.; Rettberg, P. Dried Biofilms of Desert Strains of Chroococcidiopsis Survived Prolonged Exposure to Space and Mars-like Conditions in Low Earth Orbit. Astrobiology 2019, 19, 1008–1017. [Google Scholar] [CrossRef] [PubMed]
- Napoli, A.; Micheletti, D.; Pindo, M.; Larger, S.; Cestaro, A.; de Vera, J.-P.; Billi, D. Absence of Increased Genomic Variants in the Cyanobacterium Chroococcidiopsis Exposed to Mars-like Conditions Outside the Space Station. Sci. Rep. 2022, 12, 8437. [Google Scholar] [CrossRef] [PubMed]




Publisher’s Note: MDPI stays neutral with regard to jurisdictional claims in published maps and institutional affiliations. |
© 2022 by the authors. Licensee MDPI, Basel, Switzerland. This article is an open access article distributed under the terms and conditions of the Creative Commons Attribution (CC BY) license (https://creativecommons.org/licenses/by/4.0/).
Share and Cite
Dabravolski, S.A.; Isayenkov, S.V. Metabolites Facilitating Adaptation of Desert Cyanobacteria to Extremely Arid Environments. Plants 2022, 11, 3225. https://doi.org/10.3390/plants11233225
Dabravolski SA, Isayenkov SV. Metabolites Facilitating Adaptation of Desert Cyanobacteria to Extremely Arid Environments. Plants. 2022; 11(23):3225. https://doi.org/10.3390/plants11233225
Chicago/Turabian StyleDabravolski, Siarhei A., and Stanislav V. Isayenkov. 2022. "Metabolites Facilitating Adaptation of Desert Cyanobacteria to Extremely Arid Environments" Plants 11, no. 23: 3225. https://doi.org/10.3390/plants11233225
APA StyleDabravolski, S. A., & Isayenkov, S. V. (2022). Metabolites Facilitating Adaptation of Desert Cyanobacteria to Extremely Arid Environments. Plants, 11(23), 3225. https://doi.org/10.3390/plants11233225

