Abstract
Intercropping is a sustainable method for cultivating medicinal herbs since it requires lower dependence on chemical fertilizers than a sole cropping system. In this study, we compared the effects of sole cropping and intercropping on early bolting, yield, and the chemical composition of Angelica sinensis (Oliv.) Diels. Field experiments were conducted, in 2018 and in 2019, using different cropping systems including sole cropping of A. sinensis (AS), sole cropping of Vicia faba (VF), and intercropping (without fertilization) at three ratios: one row of A. sinensis + three rows of V. faba, AS/VF (1:3), two rows of A. sinensis + two rows V. faba, AS/VF (2:2), three rows of A. sinensis + one row V. faba, AS/VF (3:1). The effect of each cropping system was evaluated by measuring the dry biomass of V. faba and the dry biomass, ferulic acid content, and essential oil content and composition of A. sinensis. The early bolting rate of A. sinensis was significantly lower in the intercropping system as compared with that in a sole cropping system. The AS/VF (3:1) intercropping pattern resulted in an optimal yield and the highest ferulic acid content of A. sinensis, highest dry biomass of V. faba, and highest land equivalent ratio (LER). Additionally, the A. sinensis was more aggressive (the aggressivity value of A. sinensis was positive, and its competitive ratio was >1) under AS/VF (3:1) intercropping pattern, and it dominated over V. faba (which had negative aggressivity values and a competitive ratio of <1) under AS/VF (3:1) intercropping pattern. Ligustilide was the most dominant component of the essential oil of A. sinensis, regardless of the cropping system; however, the chemical component of essential oil was not influenced by intercropping patterns. Overall, the AS/VF (3:1) intercropping pattern without fertilization was the most productive, with the highest LER and ferulic acid content. These data indicate that intercropping can serve as an alternative for reducing the use of chemical fertilizers and intercropping also decreases the early bolting rate of A. sinensis, thus, enabling its sustainable production.
1. Introduction
Angelica sinensis (Oliv.) Diels (Apiaceae) is a biennial medicinal herb that grows in shrub meadows, forest margins, hillsides, and river valleys in China [1]. As a famous traditional Chinese medicine, the root of A. sinensis has been used for thousands of years. In the past, A. sinensis has been traditionally prescribed for treating gynecological diseases because of its ability to “replenish and invigorate the blood” [1,2]. In recent years, in-depth research on the chemical constituents and pharmacological action of A. sinensis has prompted its use for managing cancer [3], cardiovascular disease [4], and Alzheimer’s disease [5]. Meanwhile, it has been used as an ingredient in health care products and cosmetics [6]. Therefore, the increase in application range has led to an increased demand for A. sinensis. In past years, exploitation and habitat destruction have seriously threatened the resources of all natural production areas of A. sinensis. Investigations of wild A. sinensis have revealed that the survival of A. sinensis in many areas of China has been endangered because of habit fragmentation and excessive exploitation [7,8]. Large-scale cultivation of A. sinensis would ensure its conservation in natural stands and would also help to meet the ever-increasing market demand for its roots that possess medicinal properties. Recently, significant efforts have been made in the main production areas of A. sinensis to enhance its yield and quality [9,10,11], and these efforts have mainly been focused on different fertilization treatments [9,11,12]. However, excessive use of chemical fertilizers during A. sinensis cultivation often results in contamination of its roots, which generates human health concerns [13]. In addition, early bolting of A. sinensis has become a major bottleneck in agricultural production. A. sinensis generally shows an early bolting rate of 30–50%, but it can increase up to 60–80% under certain conditions or stresses. During early bolting, large quantities of nutrients in the roots of A. sinensis are redirected to the reproductive organs for seed production. This leads to the lignification of roots and loss of their medicinal value, thus, severely restricting the yield and quality of A. sinensis [14]. This challenged us to find a technique that would reduce the amount of fertilizer input and would also reduce the early bolting rate of A. sinensis.
Intercropping is a sustainable farming practice where two or more crops can be grown simultaneously in the same field. As compared with an equivalent area under sole cropping, intercropping can enhance total land productivity because of effective utilization of available environmental resources such as light, nutrients, and water [15], thus, resulting in a higher land equivalent ratio (LER) [16]. Previous studies have shown that legume species play a vital role in an intercropping system, as they supply nitrogen to the companion crops by nitrogen fixation and also promote resource efficiency [17,18,19,20,21,22]. Therefore, legumes can be used as substitutes for chemical fertilizers in intercropping systems for sustainable production [23].
Wild A. sinensis growing in forests and alpine shrubs requires partial shade. Previous studies have shown that shading during the growing season reduces early bolting in A. sinensis, thus, improving its yield and quality [24,25]. V. faba plants are tall and heliophilous, whereas A. sinensis plants are dwarf and sciophilous. In an intercropping system, V. faba can provide shade and consequently simulate the natural growth of A. sinensis. In addition, legume species have been shown to enhance the biomass yield and quality of medicinal plants in intercropping systems [26,27,28,29,30]. Therefore, we speculate that intercropping A. sinensis with V. faba would reduce the amount of fertilizer input and would also reduce the early bolting rate of A. sinensis. However, little is known about the intercropping of A. sinensis with V. faba.
To date, more than 70 compounds have been isolated and identified from A. sinensis [31]. Among these compounds, essential oil and ferulic acid, which determine the pharmacological properties of A. sinensis, are used as markers for the quality assessment of the dried root of A. sinensis (Chinese Pharmacopoeia Commission 2020). A minimum of 0.4% essential oil content and 0.05% ferulic acid content in A. sinensis dried root is required for its use as a medicinal or cosmetic product (Chinese Pharmacopoeia Commission 2020). Phthalides are key active ingredients of A. sinensis essential oil. Different types of phthalides have been isolated from A. sinensis such as ligustilide, butylphthalide, senkyunolide A, senkyunolide H, senkyunolide I, butylidenephthalide, and levistolide A [32].
In intercropping systems, competition among plants plays an important role in affecting plant growth and yield [33]. When intraspecific competition is higher than interspecific competition and also when there are mutualistic relationships among intercropping components, intercropping systems can be advantageous [34,35]. Many indices have been used to evaluate potential advantages of intercropping systems and species interactions, such as land equivalent ratio (LER), relative crowding coefficient (RCC or K), aggressivity (A), and competitive ratio (CR). In different soybean/peppermint intercropping systems the abovementioned indices have been used to depict competition and economic advantage [33,36,37,38].
In this study, we evaluated the effects of intercropping A. sinensis with V. faba on the yield, early bolting rate and essential oil content, and the yield and composition of A. sinensis, and assessed the benefit of intercropping and sole cropping by comparing the LER, RCC, A, and CR values in these cropping systems. We hypothesized that intercropping A. sinensis with V. faba would: (1) provide partial shade to A. sinensis plants, and thus, decreasing the early bolting rate; (2) decrease the yield of A. sinensis because of no fertilizer application, (3) result in higher quality of A. sinensis than sole cropping.
2. Results
2.1. Soil Chemical Properties
2.1.1. Effect of Cropping System on Organic Matter, N, P, and K Contents of the Soil
There was no significant effect of cropping system on organic matter and K contents both in 2018 and in 2019 (Table 1). The available N and available P were influenced by the cropping system in 2018. The available N content in AS/VF (2:2) was significantly higher than sole cropping of A. sinensis, while the available P content in AS/VF (3:1) was significantly higher than sole cropping of A. sinensis (Table 1). However, the cropping system had no significant effect on available N and available P in 2019. Meanwhile, there was no significant difference in soil chemical properties between 2018 and 2019 (Table 1).
Table 1.
Effects of cropping systems on soil characteristics.
2.1.2. Correlations among Soil Nutrients and Plant Growth and Essential Oil Production
The results of Spearman’s correlation coefficient values among soil organic matter, and available N, P, and K and biomass yield, ferulic acid content, essential oil content, and essential oil yield are presented in Figure 1. On the one hand, the results showed that the content of available K was negatively correlated with biomass yield, essential oil content, essential oil yield, and chloroplast content, both in 2018 and in 2019. On the other hand, in 2018, there was a significant negative correlation between biomass yield, essential oil yield, chloroplast content, and available N, while there was a significant positive correlation between available P and available N (Figure 1). These results for 2019 were the same as for 2018, except for the significant positive correlation between soil organic carbon and available N. In addition, biomass yield, essential oil content, essential oil yield, and ferulic acid content of A. sinensis increased with an increase in chlorophyll content, both in 2018 and in 2019.
Figure 1.
Correlations among soil organic matter, available N, P, and K, and biomass yield, ferulic acid content, essential oil content, essential oil yield: (A) in 2018; (B) in 2019 (Note: The criterion for statistical significance was set at p < 0.05; spaces indicate no correlation or insignificant correlation; AK represents available K; AN represents available K; AP represents available K; SOC represents soil organic carbon; BY represents biomass yield of A. sinensis; EOC represents essential oil content of A. sinensis; EOY represents essential oil yield of A. sinensis; FC represents ferulic acid content of A. sinensis; CT represents chloroplast content of A. sinensis.).
2.2. Early Bolting Rate of A. sinensis
Intercropping significantly decreased the early bolting rate of A. sinensis as compared with the sole cropping system in 2018 and in 2019 (p < 0.05) (Table 2). In 2018, the early bolting rate of A. sinensis in the AS/VF (3:1), AS/VF (2:2), and AS/VF (1:3) intercropping patterns were 17.37%, 22.58%, and 26.30%, respectively, which were lower than that of the sole cropping system (36.78%) by 52.77%, 38.60%, and 29.22%, respectively. In 2019, the early bolting followed a similar pattern as in 2018. However, the early bolting rate of A. sinensis in 2018 was slightly higher than that in 2019.
Table 2.
Early bolting rate of A. sinensis under different cropping systems in 2018 and in 2019 1.
2.3. Chlorophyll Content
The chlorophyll content of V. faba was significantly affected by the intercropping pattern in both years (Table 3). As compared with V. faba monoculture, the AS/VF (3:1) and AS/VF (2:2) intercropping patterns significantly increased the chlorophyll content in the leaves of V. faba in both years. In A. sinensis, although the chlorophyll content was decreased by intercropping, the magnitude of reduction was not significant in both years (p > 0.05) (Table 3). In addition, there was no significant difference of the chlorophyll contents in leaves of V. faba and A. sinensis between 2018 and 2019.
Table 3.
Chlorophyll contents and biomass yields of A. sinensis and V. faba under different cropping systems in 2018 and in 2019 1.
2.4. A. sinensis Root Biomass and V. faba Biomass Yield
The results demonstrated that there was a significant difference in A. sinensis root biomass and V. faba biomass yield under different cropping systems (Table 3). In 2018 and in 2019, the highest biomass yields (5042.8 kg/hm2 and 5116.5 kg/hm2) of A. sinensis were obtained under sole cropping system. As the number of planting rows of A. sinensis decreased, the biomass yield of A. sinensis also decreased. The lowest biomass yields (525.00 kg/hm2 and 638.5 kg/hm2) were acquired in the AS/VF (1:3) intercropping pattern in 2018 and in 2019, respectively (Table 3). Intercropping significantly enhanced the V. faba biomass yield. In 2018 and in 2019, the highest (10763.5 kg/hm2 and 11110.8 kg/hm2) and lowest (4319.6 kg/hm2 and 4433.3 kg/hm2) V. faba biomass yield were obtained under the AS/VF (3:1) intercropping system and the sole cropping system, respectively (Table 3). The results also indicated that there was no significant difference in the biomass yield of A. sinensis and V. faba biomass yield between 2018 and 2019.
2.5. Ferulic Acid Content
The ferulic acid content of A. sinensis roots was analyzed using HPLC (Figure S1). The results in relation to the ferulic acid content demonstrated significant differences among cropping systems in both years. On the one hand, the highest ferulic acid contents (0.16% and 0.14%) were recorded under the AS/VF (3:1) intercropping system which demonstrated about 13.22% and 8.07% increase over the sole cropping of A. sinensis in 2018 and in 2019, respectively (Table 4). On the other hand, the lowest ferulic acid contents (0.10% and 0.096%) were found in samples under the AS/VF (1:3) intercropping system in 2018 and in 2019, respectively. Overall, the ferulic acid content had no significant difference in both years.
Table 4.
Ferulic acid content, essential oil content, and yield of A. sinensis under different cropping systems in 2018 and in 2019 1.
2.6. Essential Oil Content, Yield, and Composition
As compared with the sole cropping system, the essential oil content of A. sinensis was higher in the AS/VF (2:2) intercropping pattern and lower in the AS/VF (3:1) and AS/VF (1:3) patterns, however, the difference in the essential oil content between sole cropping and intercropping systems was not significant (p > 0.05) (Table 4). Similar results were obtained in both years. These data suggest that intercropping has no significant impact on the essential oil content of A. sinensis.
The essential oil yield of A. sinensis was significantly higher in the sole cropping system than in the intercropping system both in 2018 and in 2019 (Table 4), that is, intercropping reduced the essential oil yield of A. sinensis. Meanwhile, there was no significant difference in essential oil and essential oil yield of A. sinensis between 2018 and 2019.
Analysis of the composition of A. sinensis essential oil revealed that ligustilide was the most abundant ingredient, and the content of ligustilide was not affected by intercropping (p > 0.05) in 2018 and 2019 (Table 5). The amount of senkyunolide A and butylphthalide was lower in the intercropping systems than in the sole cropping system, but the difference was not significant (Table 5). Similar results were obtained in both 2018 and 2019. Meanwhile, as for as senkyunolide H, senkyunolide I, levistolide A and butylidenephthalide, cropping system has no significant influence on them both in 2018 and in 2019 (Table 5). In addition, there was no significant difference in the chemical composition of essential oil between 2018 and 2019.
Table 5.
Essential oil compositions of A. sinensis under different cropping systems in 2018 and in 2019 1.
2.7. Competition Indices under Different Intercropping Patterns
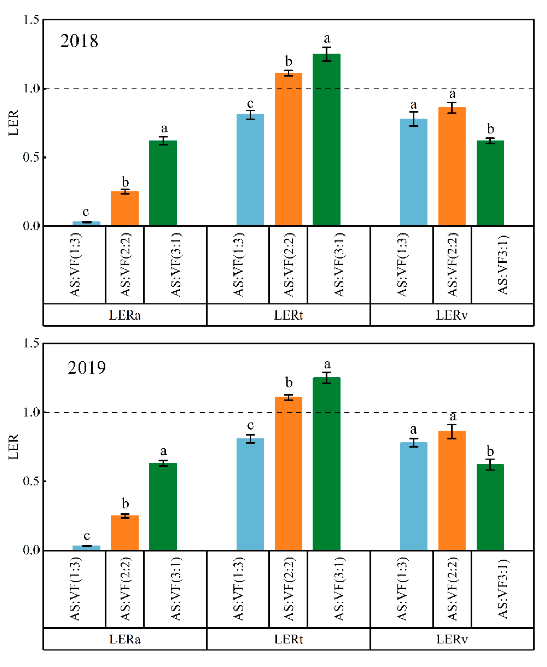
The value of LER was greater than one in the AS/VF (3:1) and AS/VF (2:2) intercropping patterns (Figure 2) both in 2018 and in 2019. The highest LER values (1.24 and 1.25) were obtained in the AS/VF (3:1) intercropping pattern in 2018 and in 2019. The partial LER of A. sinensis decreased as the proportion of A. sinensis decreased in the intercropping patterns, while the partial LER of V. faba increased first and then decreased as the proportion of A. sinensis increased in the intercropping patterns.
Figure 2.
Land equivalent ratios (LERs) of the A. sinensis/V. faba intercropping patterns in 2018 and in 2019. Bars bearing different letters within the same LER indicate significance at p < 0.05. Error bars epitomize the standard deviation of the means. The dashed lines denote an LER equal to 1. AS/VF (3:1), three rows of A. sinensis + one row V. faba; AS/VF (2:2), two rows of A. sinensis + two rows V. faba; AS/VF (1:3), one row of A. sinensis + three rows of V. faba.
Among the three intercropping patterns, the aggressivity value for A. sinensis (Aa) under the AS/VF (3:1) intercropping pattern was positive (2.319), while it was negative under the AS/VF (2:2) (−0.6298) and AS/VF (1:3) (−0.9178) intercropping patterns (Figure 3). The aggressivity value for V. faba (Av) was negative under the AS/VF (3:1) intercropping pattern, while it was positive under the AS/VF (2:2) and AS/VF (1:3) intercropping patterns. Over the two years, consistent observations were made. Among all the intercropping patterns, the competitive ability of V. faba was significantly improved, as indicated by greater values of RCCv as compared with the corresponding values of RCCa. In addition, the highest and lowest RCC values in 2018 were achieved in the intercropping patterns of AS/VF (3:1) and AS/VF (1:3), with RCC values of 21.18 and 1.31, respectively (Figure 4). The same was true for the RCC values in 2019. Among all the intercropping patterns, the partial CR of A. sinensis (CRa) was higher than one and higher than that of V. faba (CRv) (Figure 5) under the AS/VF (3:1) intercropping pattern. Furthermore, both in 2018 and in 2019, the highest and lowest CR values in A. sinensis were recorded under the AS/VF (3:1) and AS/VF (1:3) intercropping patterns, respectively.
Figure 3.
Aggressivity between A. sinensis and V. faba over 2018 and 2019 under the intercropping systems. Within a year, per companion crop, bars bearing the different letter are significantly diferent at p < 0.05. Error bars represent the standard deviation of the means. AS/VF (3:1), three rows of A. sinensis + one row V. faba; AS/VF (2:2), two rows of A. sinensis + two rows V. faba; AS/VF (1:3), one row of A. sinensis + three rows of V. faba.
Figure 4.
Crowding coefficient (RCC) values in different intercropping patterns in 2018 and in 2019. Within a year, per companion crop, bars bearing the same letter are significantly different at p < 0.05. Error bars represent the standard deviation of the means. AS/VF (3:1), three rows of A. sinensis + one row V. faba; AS/VF (2:2), two rows of A. sinensis + two rows V. faba; AS/VF (1:3), one row of A. sinensis + three rows of V. faba.
Figure 5.
Competitive ratio (CR) values in different intercropping patterns in 2018 and in 2019. Within a year, per companion crop, bars bearing the same letter are significantly different at p < 0.05. Error bars represent the standard deviation of the means. AS/VF (3:1), three rows of A. sinensis + one row V. faba; AS/VF (2:2), two rows of A. sinensis + two rows V. faba; AS/VF (1:3), one row of A. sinensis + three rows of V. faba.
3. Discussion
3.1. Early Bolting Rate of A. sinensis
In this study, intercropping significantly decreased the early bolting rate of A. sinensis, as expected. Previous studies have shown that early bolting in A. sinensis was affected by many factors, such as genetics, ecological conditions (light, climate, soil, and water), nutrients (organic acid, free amino acids, and soluble sugars), and cultivation practices (sowing date, harvest date, type and method of fertilization, and plant density). Lin (2010) [39] found that early bolting rate decreased by 5% and 5.5% when covered with 75% and 50% sun shade net, respectively. Han (2018) [9] showed that the ratio of organic fertilizer and chemical fertilizer applied to A. sinensis had a significant influence on early bolting; increasing the amount of organic fertilizer and decreasing the amount of chemical fertilizer significantly reduced early bolting. Liu (2003) [24] reported that photoperiod was potentially one of the main reasons affecting early bolting in A. sinensis. Intercropping of V. faba with A. sinensis reduced the natural light intensity through shading (sole crop of A. sinensis, 59.55 klx light intensity, AS/VF (3:1), 42.12 klx; AS/VF (2:2), 44.35 klx; AS/VF (1:3), 47.53 klx), which affected the photoperiod and consequently the early bolting rate of A. sinensis. Therefore, the low early bolting rate of A. sinensis in intercropping patterns observed in this study could be attributed to no fertilization and low light intensity due to shading by V. faba plants.
3.2. Dry Root Biomass of A. sinensis
In 2018 and in 2019, the highest dry root yields of A. sinensis were observed in the sole cropping system (5042.8 kg/hm2 and 5116.5 kg/hm2, respectively), followed by the AS/VF (3:1) intercropping pattern (4196.5 kg/hm2 and 4284.00 kg/hm2, respectively). Han (2018) [9] showed that the dry root yield of A. sinensis grown in the Gansu Province ranged from 2608.30 kg/hm2 (no fertilization) to 6250.00 kg/hm2 (A2B1C0: organic fertilizer, 36 kg; diammonium phosphate: 1.8 kg; and microbial fertilizer: 0 kg) under different fertilization treatments. Another study showed that the highest dry root yield of A. sinensis (3200 kg/hm2) was obtained in the pure organic fertilizer treatment in Gansu Province [11]. An experiment carried out at the same experimental facility in Qinghai Province showed that the dry root yield of A. sinensis ranged from 5749 to 7287.5 kg/hm2 under different fertilization treatments (Supplementary Figure S2). In this study, the dry root yield of A. sinensis in the sole cropping system differed from that in the AS/VF (1:3) and AS/VF (2:2) intercropping patterns, and the dry root yield was not affected in the AS/VF (3:1) pattern, as the value was within the range reported previously. Additionally, previous studies have shown that an increase in the leaf chlorophyll content led to an increase in the photosynthetic activity and biomass of medicinal plants [40,41,42]. In this study, although the chlorophyll content of A. sinensis was not affected by the intercropping pattern, the increased trend of biomass was consistent with the increased trend of chlorophyll content, indicating that chlorophyll content was one of the factors affecting the biomass yield of A. sinensis. Therefore, higher A. sinensis biomass yield in the AS/VF (3:1) intercropping pattern may be due to the following reasons: (1) higher chlorophyll content of A. sinensis, leading to higher photosynthetic activity; (2) low early bolting rate; (3) efficient use of resources [43], due to the effect of V. faba on N availability for A. sinensis, or facilitative interaction between V. faba and A. sinensis plants in the intercropping system [44,45]. Moreover, water, radiation, nutrients, and other resources were probably more efficiently used because of differences in the morphological features and growth environments of intercropped plants [46,47]. Furthermore, intra- and interspecific competition was less in the AS/VF (3:1) intercropping pattern than in the sole cropping systems of A. sinensis and V. faba.
As compared with A. sinensis monoculture, the yield of A. sinensis per unit area in intercropping system decreased with a reduction in the proportion of A. sinensis plants. The results of this study are consistent with those of previous studies on the intercropping of dill/common bean [26], Moldavian/faba bean [27], black cumin/faba bean [28], and faba bean/peppermint [30].
3.3. Ferulic Acid Content
According to previous reports, the content of ferulic acid in A. sinensis ranges from 0.0211 to 0.143%, depending on the method of extraction [48,49,50,51,52,53,54]. In this study, the ferulic acid content of A. sinensis varied from 0.095 to 0.160%. In 2018 and in 2019, the highest ferulic acid contents (0.160% and 0.144%) were observed in the AS/VF (3:1) intercropping pattern, which were significantly higher than that obtained in the other two intercropping patterns. Additionally, the ferulic acid content obtained in the AS/VF (3:1) intercropping pattern was greater than the maximum values obtained in previous studies. Thus, the quality of A. sinensis was affected by the intercropping pattern, as the amount of ferulic acid in the AS/VF (3:1) intercropping pattern was higher than that reported previously. Several factors affect the biosynthesis of plant secondary metabolites, such as light, drought, mineral nutrients, and high salinity [55]. In previous studies, the contents of organic carbon (C), total N, total K, available K, calcium (Ca), copper (Cu), zinc (Zn), nickel (Ni), and manganese (Mn) in the soil were positively correlated with the ferulic acid content of A. sinensis [2]. The results in this study were inconsistent with those of previous studies, which showed that the ferulic acid content of A. sinensis was negatively correlated with the available K in the soil (Figure 1). Therefore, the reasons for the high ferulic acid in the AS/VF (3:1) intercropping pattern need further study.
3.4. Essential Oil Content, Yield, and Composition
The essential oil contents of A. sinensis roots ranged from 0.45 to 0.96% in this study, which was higher than 0.4% stipulated in the Chinese Pharmacopoeia Commission (2020). Rong et al. (2011) [56] showed that the essential oil content varied from 0.2152 to 1.6231% in different areas. Therefore, the essential oil contents of A. sinensis in different cropping systems in this study were within the range reported previously. The essential oil content of A. sinensis was not influenced by the intercropping pattern, which was supported by the results of Vafadar-Yengeje et al. (2019) [57], who reported no significant difference in the essential oil content of Moldavian balm between its monoculture and Moldavian balm/V. faba intercropping. It must be noted that N plays a vital role in determining the photosynthetic rate and the development and differentiation of essential oil-related cells [58,59]. Therefore, the reason why no difference was observed in the essential oil content of A. sinensis between intercropping and sole cropping systems was probably the absence of exogenous N supply [41].
Our finding that intercropping decreases the essential oil yield of A. sinensis was inconsistent with the results of Machiani et al. (2018) [30], Maffei and Mucciarelli (2003) [60], and Weisani et al. (2015) [26]; all three studies investigated legume/medicinal plant intercropping systems, which enhanced the essential oil yield of the medicinal plant as compared with its sole cropping system. Previous studies have shown that essential oil yield was influenced by crop biomass, biosynthesis rate, oil storage glands, and glandular trichome number and size [40]. In this study, the essential oil content of A. sinensis was not affected by intercropping, suggesting that the essential oil yield depends on the biomass yield of A. sinensis. This result was supported by a correlation analysis; the Spearman’s correlation coefficients of essential oil yield and biomass yield were significantly high (Figure 1), which demonstrated that any factor that enhanced the biomass yield could increase the essential oil yield [40]. Higher biomass yield is associated with higher levels of photosynthesis. Therefore, higher chlorophyll content of A. sinensis in the sole cropping system increased its level of photosynthesis, leading to higher essential oil yield [61].
In this study, ligustilide was identified as the principal component of the essential oil of A. sinensis, which was in agreement with previous reports [62,63,64,65]. Additionally, the content of ligustilide was not affected by intercropping (p > 0.05). However, the content of ligustilide in different cropping systems was higher than that in samples reported from previous studies [66,67], but comparable with a recent study using the same method as this study, reported by Gui and Zheng (2018) [65]. Although the contents of senkyunolide H and butylidenephthalide decreased in the intercropping system, their levels were within the range reported previously [65]. Hence, the chemical composition of A. sinensis essential oil was not influenced by the intercropping pattern. This further implied that the essential oil composition of A. sinensis obtained in the intercropping system without fertilization was comparable to that obtained in different fertilization treatments [55,63,65]. Some studies have shown that intercropping legumes with medicinal plants decreased the content of the main essential oil components and increased that of minor essential oil components [26,27], while other studies have indicated that intercropped plants contained a significantly higher content of most of the major essential oil components [28]. In addition, Maffei and Mucciarelli (2003) [60] reported that intercropping systems did not have a significant influence on the chemical profile of the essential oil, consistent with the current study.
3.5. Competition Indices
Values of the LER in the AS/VF (3:1) intercropping pattern in 2018 and in 2019 were 1.24 and 1.25, which implied that 24% and 25% more land area would be needed in the sole cropping system to reach the same yield as that obtained in the intercropping system, respectively [36]. These results suggest that intercropping offers a yield advantage over monoculture because of the efficient use of land and other environmental resources (solar radiation, nutrients, and water) for plant growth [15]. Our results were in agreement with the findings of Rostaei et al. (2018) [28], Fallah et al. (2018) [27], and Amani et al. (2018a) [29], who studied dill- faba bean, dragonhead/faba bean, and peppermint/faba bean intercropping, respectively.
Aggressivity was used to express how much higher the increase in A. sinensis production was as compared with V. faba in the intercropping system [33]. Considering all planting patterns, A. sinensis was the dominant species in the AS/VF (3:1) intercropping pattern. CR gives a better evaluation of the competitive ability among intercropping components and is more advantageous with respect to the aggressivity and RCC indices [33]. Generally, the CR index indicates the ratio of partial LER of two plants and takes into consideration the proportion of the plants with which they are initially sown [37]. The CR values of A. sinensis were less than one and higher than that of V. faba in the AS/VF (3:1) intercropping pattern, indicating an absolute yield advantage of A. sinensis over V. faba in intercropping patterns. This was due to the higher aggressivity of A. sinensis and its capability in optimizing the use of available resources as compared with V. faba, leading to a dominant position. Similar results were reported by Yilmaz et al. (2014) [36] in barley and vetch intercropping and by Lithourgidis et al. (2011) [33] in pea/cereal intercropping.
4. Materials and Methods
4.1. Plant Material
The A. sinensis seeds were obtained from the seed base of the Group for Medicinal Plant Resources and Vegetation Restoration of Tibetan Plateau of Northwest Institute of Plateau Biology, Chinese Academy of Sciences. A specimen with the voucher number Zhou2017115, identified by Professor Guoying Zhou, was collected from the seed base at the flowering stage. Seeds were sown in 2017 and in 2018, according to the standardized technical specifications for A. sinensis. Seedlings were extracted from the soil at 16 weeks after sowing, and then preserved.
4.2. Field Trial
The life cycle of A. sinensis is generally completed within 3 years (first year, seedling stage; second year, pharmaceutical period; and third year, bolting period). This study mainly focused on the pharmaceutical period. Field trials were conducted in the De Xing village, Beishan Township, Minghe County (102°47.70′E, 36°24.183′N, altitude of 2581 m above sea level), in 2018 and in 2019. The average monthly precipitation during both experimental seasons is illustrated in Figure 6. The weather data presented in Figure 6 revealed some heterogeneity in the average monthly precipitation between the two growing seasons. In 2018, precipitation was lower in April, May, and June than that in 2019, while precipitation was higher in July, August, September, and October than that in 2019. Soil characteristics, measured prior to the experiment using normal agrochemical procedures, were as follows: ripe soil type, yellow loam; pH = 7.5; organic matter = 12.73 g/kg; total nitrogen (N) = 1.49 g/kg; total phosphorus (P) = 0.83 g/kg; total potassium (K) = 19.27 g/kg; available N = 96.78 mg/kg; available P = 25.59 mg/kg; available K = 160 mg/kg. Prior to the experiment, potato (Solanum tuberosum L.) was grown on the test field.
Figure 6.
Average monthly precipitation (mm) of the experimental site during the summer in 2018 and in 2019.
The field experiment was carried out in a randomized block design, with one factor (cropping system) and three replications. Five treatments were performed in this experiment: sole cropping of V. faba (VF), sole cropping of A. sinensis (AS), and three intercropping ratios of A. sinensis/V. faba, i.e., one row of A. sinensis + three rows of V. faba, AS/VF (1:3); two rows of A. sinensis + two rows of V. faba, AS/VF (2:2); and three rows of A. sinensis + one row of V. faba, AS/VF (3:1). The soil was plowed to a depth of 30 cm, and the field was divided into blocks and plots (2.6 m × 5 m). The soil was covered with a black plastic sheet (1.2 m) before transplanting A. sinensis and V. faba seedlings. Each plot contained two columns and eight rows per column. A. sinensis seedlings of uniform size were transplanted into the experimental plots on 8 April 2018 and 12 April 2019. In both the sole cropping and intercropping plots, seedlings of A. sinensis were transplanted at 25 cm row-to-row spacing and 20 cm plant-to-plant spacing, whereas V. faba seeds were planted at 25 cm row-to-row spacing and 25 cm plant-to-plant spacing. No chemical fertilizers or pesticides were used during the experiment, and weeds were controlled manually. The experiment was carried out under natural conditions without additional irrigation.
4.3. Evaluation of the Early Bolting Rate of A. sinensis
A. sinensis plants showing 30 cm of the top of the extended tuft on the main stem were considered as early bolting plants. The number of early bolting plants was counted in each plot on 8 August 2018 and 15 August 2019. The early bolting rate (%) was calculated according to the following equation:
Early bolting rate (%) = (number of early bolting of A. sinensis plants in a plot)/
(total number of A. sinensis plants in the plot) × 100%
(total number of A. sinensis plants in the plot) × 100%
4.4. Determination of V. faba Biomass Yield and A. sinensis Biomass Yield
The A. sinensis and V. faba plants were harvested from a 1 m2 area in each plot (with 100% planting density) at maturity (185 and 154 days after transplanting, respectively) in 2018 and in 2019. The root samples were meticulously washed with tap water, and then dried in the shade at room temperature for a month. The dried root samples of A. sinensis were weighed, and biomass yield (kg/hm2) was calculated. V. faba seeds were threshed and dried at 45 ℃ for 48 h, and V. faba dry biomass yield was calculated per unit area.
4.5. Chlorophyll Content Analysis
The chlorophyll contents of the A. sinensis and V. faba plants were evaluated using the SPAD meter (SPAD 502, Minolta Ltd., Osaka, Japan). Ten leaves were randomly selected per plot, and the middle section of the leaf blade was used for chlorophyll content measurements; the measurements were carried out at the same time (rapid growing stage) in 2018 and in 2019.
4.6. Soil Sampling and Analysis
After harvesting the A. sinensis plants, soil samples (0–30 cm depth) were collected and homogenized from each plot in 2018 and in 2019. Soil samples were sieved through a 2 mm mesh to remove any stones and roots, and then dried at room temperature. The air-dried soil samples were used for analysis to evaluate the chemical properties. The available N, available P, and available K contents were measured using the Kjeldahl method [68], Mo-VF colorimetric method [69], and ammonium acetate flame photometer method [69], respectively. The potassium dichromate oxidation spectrophotometric method was used to measure soil organic carbon [68].
4.7. Essential Oil Extraction
The dried roots of the A. sinensis plants were crushed and passed through a 60 mesh sieve. The ground root tissue (50 g) was added to a 1 L round-bottom flask containing 500 mL of distilled water. Then, the flask was connected to a Clevenger-type apparatus, as described by the Chinese Pharmacopoeia Commission (2020). Hydrodistillation was carried out for 5 h in nine replicates (n = 9), and the essential oil content (% (v/w)) and yield (gm−2) were calculated using the following equations:
Essential oil(%) = Amount of essential oil extracted Amount of ground dried root × 100%
Essential oil yield = A. sinensis biomass yield × Percent essential oil content
4.8. Essential Oil Composition Analysis
4.8.1. Sample Preparation
Fresh root samples of A. sinensis (1 g) were ground in liquid nitrogen. Then, for each sample, 1 mL of 70% methanol was added to the ground sample and vortexed for 3 min. The sample was shaken every six times at 30 min intervals and stored at 4 °C overnight. After overnight incubation, the sample was centrifuged at 12,000 rpm for 15 min, and 300 μL of the supernatant was filtered through a 0.2 μm filter and evaporated to dryness. The lyophilized samples were redissolved in 1 mL of water/methanol (1:1 [v/v]) solution, and centrifuged. The supernatant was collected and analyzed by liquid chromatography-tandem mass spectrometry (LS-MS/MS).
4.8.2. LC-MS/MS Analysis
To perform the LC-MS/MS analysis, reference standards including levistolide A (CAS NO: 551-08-6), ligustilide (CAS NO: 4431-01-0), butylidenephthalide (CAS NO: 551-08-6), butylphthalide (CAS NO: 6066-49-5), senkyunolide I (CAS NO: 94596-28-8), senkyunolide H (CAS NO: 94596-27-7), and senkyunolide A (CAS NO: 63038-10-8) were purchased from Chengdu Balens Biotechnology Co. Ltd. (Sichuan, China) and stored in the dark at −20 °C. Acetonitrile and methanol (HPLC grade) were purchased from Tian in Fuyu Fine Chemical Co, Ltd. (Tianjing, China). All other reagents and chemicals (analytical grade) were purchased from Shandong Yu Wang He Tianxia New Material Co. Ltd. (Shandong, China).
The supernatant was separated using an analytical column (Waters ACQUITY UPLC HSS T3, USA), with a particle size of 1.8 μm and column size of 3.0 mm × 100 mm. The column temperate was maintained at 40 °C during separation. Solvent A (0.1% formic acid in water) and solvent B (0.1% formic acid in acetonitrile) were used as the mobile phases. A 3 μL injection volume was used, and the flow rate was maintained at 0.5 mL/min. Sample separation was carried out using the following gradient conditions: 0.5 min, 10% B; 5 min, 90% B; 5.1 min, 10% B; 7 min stop.
The mass spectra were acquired using the QTRAP4500 system with a Duo Spray source in positive and negative ESI modes using the following parameters: ion spray voltage, −4500 V (negative ion mode) and 5500 V (positive ion mode); collision gas, medium; Turbo V spray temperature, 600 °C; heater gas (Gas 2), 60 psi; nebulizer gas (Gas 1), 50 psi; curtain gas, 20 psi. Data was acquired using the multiple reaction monitoring (MRM) mode, and the retention time corresponding to each MRM transition was automatically set using the MassLynx software. The Peak View Software 2.2 (SCIEX, Foster City, CA, USA) was used for data analysis.
4.9. Ferulic Acid Analysis
4.9.1. Sample Preparation
Ground A. sinensis roots (200 mg) were dissolved in 20 mL of 70% methanol, and the samples were weighed. The conical flasks were heated to reflux at 80 °C for 3 min. Then, the samples were cooled and weighed again, and 70% methanol was added to the flasks to compensate for the lost weight. After shaking the samples and allowing them to stand still, the supernatant was collected and filtered. The filtrate (10 mL) was passed through a 0.45 μm organic membrane. Ferulic acid in each sample was analyzed by high performance liquid chromatography (HPLC).
4.9.2. HPLC Analysis
To conduct the HPLC analysis, standard ferulic acid (Batch number 17092501) was purchased from Chengdu Pufeide Biotechnology Co. Ltd., which was diluted to a concentration of 0.012 mg/mL using methanol. Quantitative and qualitative analyses of ferulic acid were performed using the Agilent 1260 (Agilent USA) Infinity II Quaternary Pump (G7111A). Data acquisition was performed using the Agilent HPLC software. Ferulic acid was separated on a unitary C18 chromatographic column (4.6 mm × 250 mm, 5 µm). Octadecyl silane bonded silica gel was used as a filler. The HPLC analysis was conducted using acetonitrile: 0.085%/phosphoric acid (20:80) solution as the mobile phase, with the following parameters: detection wavelength = 316 nm, column temperature = 35 °C, flow rate = 1 mL/min, injection volume = 10 μL. The calibration curve was constructed using serial dilutions of ferulic acid standard in methanol, with concentration ranging from 0.00324 to 0.054 mg/mL.
4.10. Competition Indices
4.10.1. Land Equivalent Ratio (LER)
The LER index was adopted to compare the A. sinensis/V. faba intercropping system with the sole cropping system of each crop. The value of LER was calculated according to the following equation:
where Yvm and Yam represent the yield of V. faba and A. sinensis, respectively, in the sole cropping system, and Yvi and Yai represent the yield of V. faba and A. sinensis, respectively, in the intercropping system.
LER > 1.0 indicates a yield advantage of intercropping over monoculture, whereas LER < 1.0 indicates no yield advantage of intercropping over monoculture [70,71].
4.10.2. Aggressivity (A)
The competitive relationship between two crops was evaluated by the aggressivity (A) as proposed by Willey (1979) [72] using the following formula:
where Zai is the sown proportion of A. sinensis in intercropping with V. faba; and Zvi is the sown proportion of V. faba in intercropping with A. sinensis.
4.10.3. Crowding Coefficient (RCC)
In the intercropping system, the relative dominance of one crop over the other was calculated with the crowding coefficient based on the following equation:
When the values of the two coefficients (RCCv and RCCa) are >1, there is a yield advantage in intercropping as compared with monoculture; when they are equal to 1, there is no yield advantage, and when they are <1, there is a disadvantage in yield.
4.10.4. Competitive Ratio (CR)
Another index, the competitive ratio (CR), was used to evaluate competitive ability among intercropping components. This index was more advantageous than other indices due to the fact that the CR gives stronger competitive ability to the species. The CR implies the ratio of the individual LER of the intercrop component in which they were initially sown proportionally. We used the following equation suggested by Dhima (2007) [37] to calculate the CR index:
where CRv is the crowding ratio of V. faba and CRa is the crowding ratio of A. sinensis.
4.11. Statistical Analysis
All statistical analyses were performed using SPSS 21.0 (SPSS inc., Chicago, IL, USA). Prior to all statistical analyses, we tested the heterogeneity of variances using Levene’s test, and the original data were normalized using log transformation or standardization prior to statistical analysis when necessary. A two-AVOVA with post hoc tests was used to determine the effect of treatment, year, and treatment × year, on all variables, including soil properties (organic matter, available nitrogen, available phosphorus, and available potassium), early bolting rate, chlorophyll content, biomass, ferulic acid content, essential oil content, essential oil yield, and essential oil composition. Then, the R software (version 4.1.0) was used for the data analysis and production of figures. We used the packages “corrplot” and “psych” in the R software to calculate correlation coefficient and p-value of significance test.
5. Conclusions
Based on the outcomes of the field cultivation of A. sinensis using an intercropping system without fertilization, we reached the following conclusions as described below:
- (1)
- Intercropping significantly reduces the early bolting rate of A. sinensis.
- (2)
- The AS/VF (3:1) intercropping pattern results in an optimal yield and the highest ferulic acid content of A. sinensis, highest biomass yield of V. faba, and highest land equivalent ratio (LER), thus, the AS/VF (3:1) intercropping pattern without fertilization is the most productive with high quality. These data indicate that intercropping can serve as an alternative for reducing the use of chemical fertilizers and can also decrease the early bolting rate of A. sinensis, thus, enabling its sustainable production.
Supplementary Materials
The following supporting information can be downloaded at https://www.mdpi.com/article/10.3390/plants11212950/s1, Figure S1: HPLC chromatogram of Angelica sinensis (Note: A, reference substance and B, sample), Figure S2: Yield of Angelica sinensis under different fertilizers. Control, without fertilizer; pig manure 13.5 t ha−1; sheep manure 9.8 t ha−1; chemical fertilizers, 60–45–30 kg ha−1 N, P, and K, respectively; organic fertilizer 600 kg ha−1; sheep manure + chemical fertilizers 4.9 t ha−1 + 30–27.5–15 kg ha−1 N, P, and K, respectively; pig manure + chemical fertilizers, 6.75 t ha−1 + 30–27.5–15 kg ha−1 N, P, and K, respectively. CO-(NH2)2 (urea), (Ca(H2PO4)2) H2O (triple superphosphate), and K2SO4 (potassium sulphate) were used as N, P and K, respectively).
Author Contributions
L.Y., data curation and writing—original draft preparation; J.L., investigation and methodology; Y.X., conceptualization, methodology, and software; G.Z., writing—reviewing and editing. All authors have read and agreed to the published version of the manuscript.
Funding
This research was funded by the Second Tibetan Plateau Scientific Expedition and Research Program (no. 2019QZKK1003) and the Key Deployment Project of Chinese Academy of Sciences (no. ZDRW-ZS-2020).
Data Availability Statement
Not applicable.
Acknowledgments
We thank Shoulan Bao for collecting the plant material. We also thank Zhili Liu and Yumei Zhang for providing assistance with sample preparation.
Conflicts of Interest
The authors declare no conflict of interest.
References
- Sarke, S.D.; Nahar, L. Natural medicine: The genus Angelica. Curr. Med. Chem. 2004, 11, 1479–1500. [Google Scholar] [CrossRef] [PubMed]
- Tang, F.Y.; Guo, Y.H.; Ma, Y.L.; Wang, Y.L.; Liang, Y.Z.; Chen, B.M.; Shao, S.J.; Wang, X.M.; Jin, H.; Lian, R.L.; et al. Angelica Sinensis; Chinese Medicine Press: Beijing, China, 2001. [Google Scholar]
- Su, Z.Y.; Khor, T.O.; Shu, L.M.; Lee, J.H.; Saw, C.L.L.; Wu, T.Y.; Huang, Y.; Suh, N.; Yang, C.S.; Conney, A.H.; et al. Epigenetic reactivation of Nrf2 in murine prostate cancer TRAMP C1 cells by natural phytochemicals Z-ligustilide and radix Angelica sinensis via promoter CpG demethylation. Chem. Res. Toxicol. 2013, 26, 477–485. [Google Scholar] [CrossRef] [PubMed]
- Tsai, N.M.; Chen, Y.L.; Lee, C.C.; Lin, P.C.; Cheng, Y.L.; Chang, W.L.; Lin, S.Z.; Harn, H.J. The natural compound n-butylidenephthalide derived from Angelica sinensis inhibits malignant brain tumor growth in vitro and in vivo. J. Neurochem. 2006, 99, 1251–1262. [Google Scholar] [CrossRef]
- Ho, C.C.; Kumaran, A.; Hwang, L.S. Bio-assay guided isolation and identification of anti-Alzheimer active compounds from the root of Angelica sinensis. Food Chem. 2009, 114, 246–252. [Google Scholar] [CrossRef]
- Yang, X.B.; Zhao, Y.; Lv, Y. In vivo macrophage activation and physicochemical property of the different polysaccharide fractions purified from Angelica sinensis (Oliv.) Diels. Carbohydr. Polym. 2008, 71, 372–379. [Google Scholar] [CrossRef]
- Wang, Z.X.; Xiao, Y.Y.; Ou, L.J. Research Progress of Angelica. J. Med. Pharm. Chin. Minor. 2013, 9, 64–66. [Google Scholar]
- Ma, R.G.; Wang, Q.; Chen, X.L.; Sun, K.; Zhang, L.L. Advance in research of Angelica sinensis. Chin. Trad. Herb. Drugs 2002, 33, 280–282. [Google Scholar]
- Han, J. Study on Key Techniques of Standardized Cultivation of Angelica sinensis. Master’s Thesis, College of Agriculture, Gansu Agricultural University, Lanzhou, China, 2018. [Google Scholar]
- Jin, Y.; Jin, L.; Zheng, A.H.; Li, O.; Fan, J.; Li, S.J.; Zhang, Y.; Ma, J.K. Effects of different cultivation mode on yield and ferulic acid content in Angelica sinensis. J. Tradit. Chin. Vet. Med. 2019, 38, 59–60. [Google Scholar]
- Xiao, W.J. Study of Influence Mechanism of Organic Fertilizer and Reduced Chemical Fertilizer on Angelica sinensis Medicinal Formation Cultivation. Master’s Thesis, College of Life Science and Technology, Gansu Agricultural University, Lanzhou, China, 2020. [Google Scholar]
- Zhao, Y. Effects of Fertilization on Production and Quality of Angelica sinensis. Master’s Thesis, College of Agriculture Gansu Agricultural University, Lanzhou, China, 2010. [Google Scholar]
- Afshar, R.K.; Jovini, M.A.; Chaichi, M.R.; Hashemi, M. Grain sorghum response to arbuscular mycorrhiza and phosphorus fertilizer under deficit irrigation. Agron. J. 2014, 106, 1212–1218. [Google Scholar] [CrossRef]
- Wang, Y.C.; Li, G.Y.; Pan, S.Z. Research Progress of Early Bolting of Angelica sinensis. Mod. Agric. Sci. Technol. 2016, 20, 52–53. [Google Scholar]
- Banik, P.; Sasmal, T.; Ghosal, P.K.; Bagchi, D.K. Evaluation of mustard (Brassic compestris var. toria) and legume intercropping under 1:1 and 2:1 row-replacement series systems. J. Agron. Crop Sci. 2000, 185, 9–14. [Google Scholar] [CrossRef]
- Songa, J.M.; Jiang, N.; Schulthess, F.; Omwega, C. The role of intercropping different cereal species in controlling lepidopteran stemborers on maize in Kenya. J. Appl. Entomol. 2007, 131, 40–49. [Google Scholar] [CrossRef]
- Hauggaard-Nielsen, H.; Gooding, M.; Ambus, P.; Corre-Hellou, G.; Crozat, Y.; Dahlmann, C.; Dibet, A.; Von Fragstein, P.; Pristeri, A.; Monti, M.; et al. Pea-barley intercropping for efficient symbiotic N2-fixation, soil N acquisition and use of other nutrients in European organic cropping systems. Field Crops Res. 2009, 113, 64–71. [Google Scholar] [CrossRef]
- Rusinamhodzi, L.; Marc, C.; Justice, N.; Ken, E.G. Maize-grain legume intercropping is an attractive option for ecological intensification that reduces climatic risk for small holder farmers in central Mozambique. Field Crops Res. 2012, 136, 12–22. [Google Scholar] [CrossRef]
- Chapagain, T.; Riseman, A. Barley-pea intercropping Effects on land productivity, carbon and nitrogen transformations. Field Crops Res. 2014, 166, 18–25. [Google Scholar] [CrossRef]
- Stoltz, E.; Nadeau, E. Effects of intercropping on yield weed incidence, forage quality and soil residual N in organically grown forage maize (Zea mays L.) and V. faba (Vicia faba L.). Field Crops Res. 2014, 169, 21–29. [Google Scholar] [CrossRef]
- Monti, M.; Pellicanò, A.; Santonoceto, C.; Preiti, G.; Pristeri, A. Yield components and nitrogen use in cereal-pea intercrops in Mediterranean environment. Field Crops Res. 2016, 196, 379–388. [Google Scholar] [CrossRef]
- Duchene, O.; Vian, J.F.; Celette, F. Intercropping with legume for agroecological cropping systems: Complementarity and facilitation processes and the importance of soil microorganisms. A review. Agric. Ecosyst. Environ. 2017, 240, 148–161. [Google Scholar] [CrossRef]
- Brooker, R.W.; Bennett, A.E.; Cong, W.F.; Daniell, T.J.; George, T.S.; Hallett, P.D.; Hawes, C.; Iannetta, P.P.; Jones, H.G.; Karley, A.J.; et al. Improving intercropping: A synthesis of research in agronomy, plant physiology and ecology. New Phytol. 2015, 206, 107–117. [Google Scholar] [CrossRef]
- Liu, X.R.; Jin, Y.M.; Liu, R.Q.; Han, J.R.; Pu, Y.L.; Li, P.C.; Zhao, R.; He, Y.B. The influence of shading on the early bolting of Angelica sinensis. Chin. J. Chin. Med. Mater. 2003, 26, 854–855. [Google Scholar]
- Xu, J.Z.; Liu, X.R.; Jin, Y.M.; Wang, M.; Zhao, L. Study on the prevention and treatment of early bolting of Angelica sinensis in Gansu province. Chin. J. Chin. Med. Mater. 1999, 24, 660–662. [Google Scholar]
- Weisany, W.; Raei, Y.; Pertot, I. Changes in the essential oil yield and composition of dill (Anethum graveolens L.) as response to arbuscular mycorrhiza colonization and cropping system. Ind. Crops Prod. 2015, 77, 295–306. [Google Scholar] [CrossRef]
- Fallah, S.; Rostaei, M.; Lorigooini, Z.; Surki, A.A. Chemical compositions of essential oil and antioxidant activity of dragonhead (Dracocephalum moldavica) in sole crop and dragonhead V. faba (Glycine max) intercropping system under organic manure and chemical fertilizers. Ind. Crops Prod. 2018, 115, 158–165. [Google Scholar] [CrossRef]
- Rostaei, M.; Fallah, S.; Lorigooini, Z.; Surki, A.A. The effect of organic manure and chemical fertilizer on essential oil, chemical compositions and antioxidant activity of dill (Anethum graveolens) in sole and intercropped with V. faba (Glycine max). Ind. Crops Prod. 2018, 119, 18–26. [Google Scholar] [CrossRef]
- Amani, M.M.; Javanmard, A.; Morshedloo, M.R.; Maggi, F. Evaluation of competition, essential oil quality and quantity of peppermint intercropped with V. faba. Ind. Crops Prod. 2018, 111, 743–754. [Google Scholar] [CrossRef]
- Machiani, M.A.; Javanmard, A.; Morshedloo, M.R.; Maggi, F. Evaluation of yield, essential oil content and compositions of peppermint (Mentha piperita L.) intercropped with V. faba (Vicia faba L.). J. Clean. Prod. 2018, 171, 529–537. [Google Scholar] [CrossRef]
- Huang, W.H.; Song, C.Q. Chemical and pharmacological study headway of Danggui. Chin. J. Chin. Med. Mater. 2001, 26, 147–155. [Google Scholar]
- Wang, H.Y.; Chen, S.X.; Xu, H.Z. Study on chemical composition of Angelica sinensis. Chin. J. Chin. Med. Mater. 1998, 23, 167–168. [Google Scholar]
- Lithourgidis, A.S.; Vlachostergios, D.N.; Dordas, C.; Damalas, C. Dry matter yield, nitrogen content, and competition in pea-cereal intercropping systems. Eur. J. Agron. 2011, 34, 287–294. [Google Scholar] [CrossRef]
- Carrubba, A.; Torre, R.; Saiano, F.; Aiello, P. Sustainable production of fennel and dill by intercropping. Agron. Sustain. Dev. 2008, 28, 247–256. [Google Scholar] [CrossRef]
- Banik, P.; Midya, A.; Sarkar, B.K.; Ghose, S.S. Wheat and chickpea intercropping systems in an additive series experiment: Advantages and weed smothering. Eur. J. Agron. 2006, 24, 325–332. [Google Scholar] [CrossRef]
- Yilmaz, S.; Özel, A.; Atak, M.; Erayman, M. Effects of seeding rates on competition indices of barley and vetch intercropping systems in the eastern Mediterranean. Turk. J. Agric. For. 2014, 39, 135–143. [Google Scholar] [CrossRef]
- Dhima, K.V.; Lithourgidis, A.S.; Vasilakoglou, I.B.; Dordas, C.A. Competition indices of common vetch and cereal intercrops in two seeding ratio. Field Crops Res. 2007, 100, 249–256. [Google Scholar] [CrossRef]
- Ghosh, P.K. Growth yield, competition and economics of groundnut/cereal fodder intercropping systems in the semi-arid tropics of India. Field Crops Res. 2004, 88, 227–237. [Google Scholar] [CrossRef]
- Lin, H.M.; Wu, Y.A.; Cao, Z.F.; Lv, S.L.; Mao, X.J. Influence of sun shade cultivation on premature bolting in Angelica sinensis and growth environment factors. Chin. J. Exp. Tradit. Med. Formulae 2010, 16, 79–83. [Google Scholar]
- Bistgani, Z.E.; Siadat, S.A.; Bakhshandeh, A.; Pirbalouti, A.G.; Hashemi, M.; Maggi, F.; Morshedloo, M.R. Application of combined fertilizers improves biomass, essential oil yield, aroma profile, and antioxidant properties of Thymus daenensis Celak. Ind. Crops Prod. 2018, 121, 434–440. [Google Scholar] [CrossRef]
- Pandey, V.; Patel, A.; Patra, D.D. Integrated nutrient regimes ameliorate crop productivity, nutritive value, antioxidant activity and volatiles in basil (Ocimum basilicum L.). Ind. Crops Prod. 2016, 87, 124–131. [Google Scholar] [CrossRef]
- Pandey, V.; Patra, D.D. Crop productivity, aroma profile and antioxidant activity in Pelargonium graveolens under integrated supply of various organic and chemical fertilizers. Ind. Crops Prod. 2015, 67, 257–263. [Google Scholar] [CrossRef]
- Midya, A.; Bhattascharjee, K.; Ghose, S.S.; Banik, P. Deferred seeding of black gram (Phaseolus mungo L.) in rice (Oryza sativa L.) field on yield advantages and smothering of weeds. J. Agron. Crop Sci. 2005, 191, 195–201. [Google Scholar] [CrossRef]
- Li, L.; Tang, C.; Rengel, Z.; Zhang, F.S. Calcium: Magnesium and microelement uptake as affected by phosphorus sources and interspecific root interaction between wheat and chickpea. Plant Soil. 2004, 261, 29–37. [Google Scholar] [CrossRef]
- Zhang, F.S.; Li, L. Using competitive and facilitative interactions in intercropping systems enhances crop productivity and nutrient-use efficiency. Plant Soil 2003, 248, 305–312. [Google Scholar] [CrossRef]
- Fukai, S.; Trenbath, B.R. Processes determining intercrop productivity and yields of component crops. Field Crops Res. 1993, 34, 247–271. [Google Scholar] [CrossRef]
- Weisany, W.; Raei, Y.; Ghassemi-Golezani, K. Funneliformis mosseae alters seed essential oil content and composition of dill in intercropping with common bean. Ind. Crops Prod. 2016, 79, 29–38. [Google Scholar] [CrossRef]
- Li, Y.; Xu, L.Z.; Lin, J.; Zhang, L.; Yang, S.L. Comparison of the contents of ferulic acid in Angelica sinensis Oliv. from different regions. Chin. Pharm. J. 2003, 38, 838. [Google Scholar]
- Lu, G.H.; Chan, K.; Leung, K.; Chan, C.L.; Zhao, Z.Z.; Jiang, Z.H. Assay of free ferulic acid and total ferulic acid for quality assessment of Angelica sinensis. J. Chromatogr. A. 2005, 1068, 209–219. [Google Scholar] [CrossRef] [PubMed]
- Yi, L.; Liang, Y.; Wu, H.; Yuan, D.L. The analysis of Radix Angelicae Sinensis (Danggui). J. Chromatogr. A. 2009, 1216, 1991–2001. [Google Scholar] [CrossRef] [PubMed]
- Li, W.X.; Wang, H.; Tang, Y.P.; Guo, J.M.; Qian, D.W.; Ding, A.W.; Duan, J.A. The quantitative comparative ananlysis for main bio-active components in Angelicae sinensis, Ligusticum chuanxiong, and the herb pair Gui-Xiong. J. Liq. Chromatogr. Relat. Technol. 2012, 35, 2439–2453. [Google Scholar] [CrossRef]
- Fan, Q.; Xia, P.F.; Liu, X.; Gu, J.H.; Wu, X.Y.; Zhao, L. Simultaneous quantification of two major active components in Radix Angelicae sinensis by high-performance liquid chromatography with an internal standard correction method. Instrum. Sci. Technol. 2012, 40, 416–428. [Google Scholar] [CrossRef]
- Giacomelli, N.; Yang, Y.P.; Huber, F.K.; Ankli, A.; Weckerle, C.S. Angelica sinensis (Oliv.) Diels: Influence of value chain on quality criteria and marker compounds ferulic acid and Z-Ligustilide. Medicines 2017, 4, 14. [Google Scholar] [CrossRef]
- Wu, H.W.; Huang, Q.Q.; Chao, S.J.; Yu, J.; Xu, S.R.; Wang, F.; Shang, X.F.; Zhu, Y. Determination of ferulic acid in Angelica sinensis by temperature-controlled hydrophobic ionic liquids-based ultrasound/heating-assisted extraction coupled with high performance liquid chromatography. Molecules 2020, 25, 3356. [Google Scholar] [CrossRef]
- Wang, Q.G.; Qiao, C.Y.; Gu, H.M. Factors influencing the formation of plant secondary metabolites. J. Anhui Agric. Sci. 2007, 35, 11376–11377. [Google Scholar]
- Rong, S.H.; Lin, H.; Gao, N. Determination of main active components in Angelica sinensis from different habitats. Contemp. Med. 2011, 17, 140–141. [Google Scholar] [CrossRef]
- Vafadar-Yengeje, L.; Amini, R.; Nasab, A.D.M. Chemical compositions and yield of essential oil of Moldavian balm (Dracocephalum moldavica L.) in intercropping with V. faba (Vicia faba L.) under different fertilizers application. J. Clean. Prod. 2019, 239, 118033. [Google Scholar] [CrossRef]
- Agena, E.A. Effect of Some Environmental and Soil Factors on Growth and Oil Production of Chamomile (Matricaria chamomilla L.). Ph.D. Thesis, Faculty of Agriculture, Ain Shams University, Cairo, Egypt, 1994. [Google Scholar]
- Sangwan, N.S.; Farooqi, A.H.A.; Shabih, F.; Sangwan, R.S. Regulation of essential oil production in plants. Plant Growth Regul. 2001, 34, 3–21. [Google Scholar] [CrossRef]
- Maffei, M.; Mucciarelli, M. Essential oil yield in peppermint/V. faba strip intercropping. Field Crops Res. 2003, 84, 229–240. [Google Scholar] [CrossRef]
- Croteau, R.; Burbott, A.J.; Loomis, W.D. Biosynthesis of mono and sesquiterpenes in peppermint from glucose-14C and 14CO2. Phytochemistry 1972, 11, 2459–2467. [Google Scholar] [CrossRef]
- Wu, M.J.; Sun, X.J.; Dai, Y.H.; Guo, F.Q.; Huang, L.F.; Liang, Y.Z. Determination of constitutes of essential oil from Angelica sinensis by gas-chromatography-mass spectrometry. J. Cent. South. Univ. Technol. 2005, 12, 430–436. [Google Scholar] [CrossRef]
- Tabanca, N.; Wedge, D.E.; Wang, X.N.; Demirci, B.; Baser, K.H.C.; Zhou, L.G.; Cutler, S.J. Chemical composition and antifungal activity of Angelica sinensis essential oil against three Colletotrichum species. Nat. Prod. Commun. 2008, 3, 1073–1078. [Google Scholar] [CrossRef]
- Zhang, J.; Liu, X.Y.; Jiang, R.; Luo, J.; Wang, Q.W. Determination of ligustilide in essential oil of Angelica sinensis (Oliv.) Diels by RP-HPLC. Mil. Med. Univ. 2009, 3, 853–855. [Google Scholar]
- Gui, Q.D.; Zheng, J. Simultaneous determination of eight components in Angelica sinensis based on UHPLC-ESI-MS/MS method for quality evaluation. Biomed. Chromatogr. 2018, 33, e4326. [Google Scholar] [CrossRef]
- Zhou, C.X.; Zou, J.K.; Chen, Y.Z.; Zhao, Y. Determination of Ligustilide in Angelica sinensis essential oil by GC-MS. J. Pharm. Sci. 2002, 22, 290–292. [Google Scholar]
- Chen, X.P.; Li, W.; Xiao, X.F.; Zhang, L.L.; Liu, C.X. Phytochemical and pharmacological studies on Radix Angelica sinensis. Chin. J. Nat. Med. 2013, 11, 577–587. [Google Scholar] [CrossRef] [PubMed]
- Bao, S.D. Soil Agrochemical Analysis; China Agricultural Press: Beijing, China, 2000. [Google Scholar]
- Lu, R.K. The Analytical Methods for Soil and Agricultural Chemistry; Agricultural Technology Publication of China: Beijing, China, 2000; pp. 146–195. [Google Scholar]
- Fetene, M. Intra-and inter-specific competition between seedlings of Acacia etbaica and a perennial grass (Hyparrhenia hirta). J. Arid. Environ. 2003, 55, 441–451. [Google Scholar] [CrossRef]
- Wahla, I.H.; Ahmad, R.; Ehsanullah Ahmad, A.; Jabbar, A. Competitive functions of components crops in some barley based intercropping systems. Int. J. Agric. Biol. 2009, 11, 69–71. [Google Scholar] [CrossRef]
- Willey, R.W. Intercropping–its importance and research needs: Part 1. Competition and yield advantages. Field Crops Abstr. 1979, 32, 1–13. [Google Scholar]
Publisher’s Note: MDPI stays neutral with regard to jurisdictional claims in published maps and institutional affiliations. |
© 2022 by the authors. Licensee MDPI, Basel, Switzerland. This article is an open access article distributed under the terms and conditions of the Creative Commons Attribution (CC BY) license (https://creativecommons.org/licenses/by/4.0/).





