Mechanisms of Actions Involved in The Antinociceptive Effect of Estragole and its β-Cyclodextrin Inclusion Complex in Animal Models
Abstract
1. Introduction
2. Results
2.1. Characterization of Inclusion Complexes
Es/β-CD Infrared Spectroscopy Measurement
2.2. Evaluation of Estragole and Es/β-CD on the CNS
2.2.1. Rota-Rod Test
2.2.2. Open Field Test
2.3. Evaluation of Peripheral and Central Antinociceptive Action of Es and Es/β-CD
2.3.1. Abdominal Writhing Induced by 0.6% Acetic Acid
2.3.2. 2.5%. Formalin Test
2.3.3. Hot Plate Test
2.3.4. Tail Flick Test
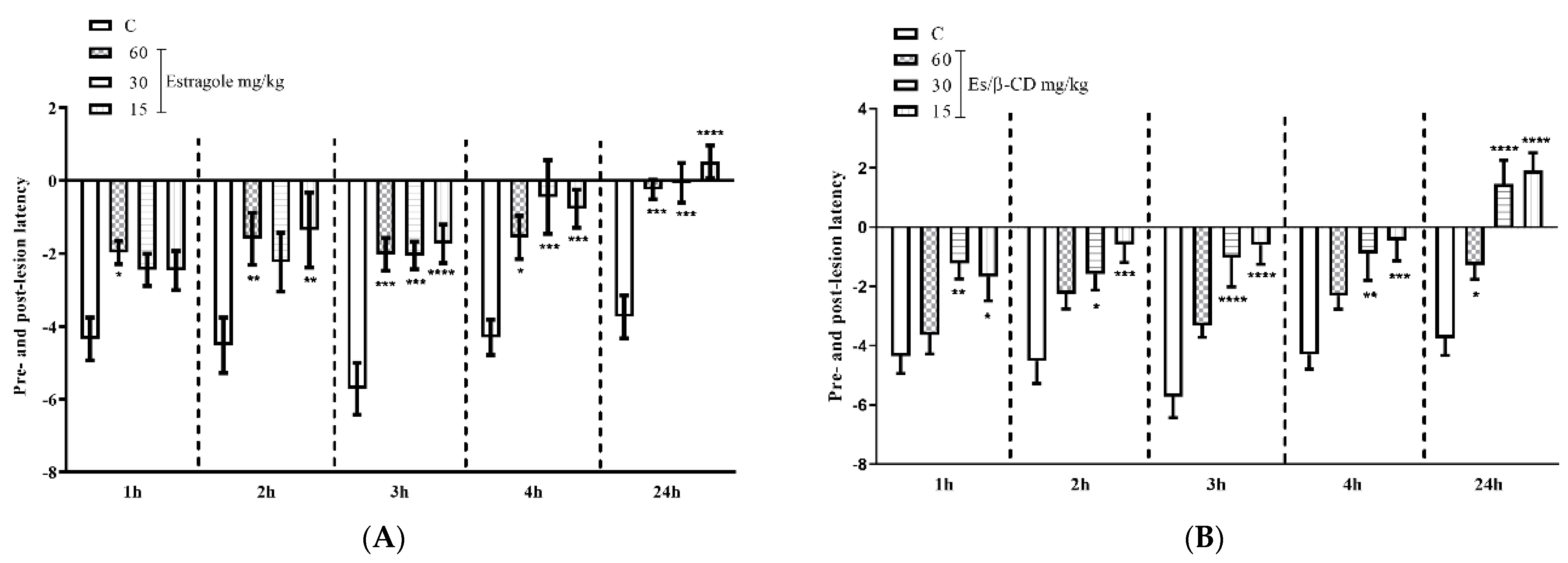
2.3.5. Mechanical Hypernociception Pressure Test—Von Frey
2.4. Evaluation of Pain Signaling Pathways and their Interactions in the Antinociceptive Response of Estragole and Es/β-CD, (Opioid, Cholinergic, Nitric Oxide, A-Adrenergic, Dopaminergic, Adenosinergic, Glutamatergic, Cyclic Guanosine Monophosphate (cGMP), and Vanilloid Pathways)
2.4.1. Action on the Opioid System
2.4.2. Action on the Cholinergic System
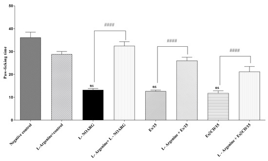
2.4.3. Action on the Nitric Oxide Pathway
2.4.4. α-2 Adrenergic Receptor Activity
2.4.5. Action on the Dopaminergic System
2.4.6. Action on the Adenosinergic System
2.4.7. Action on the Glutamatergic Signaling Pathway
2.4.8. Action in the Cyclic Guanosine Monophosphate (cGMP) Signaling Pathway
2.4.9. Action on the Vanilloid System
3. Discussion
4. Materials and Methods
4.1. Assessed Substances and Drugs
4.2. Preparation of Inclusion Complexes in β-cyclodextrins (β-CD)
4.3. Characterization of the Inclusion Complexes Es/β-CD by Infrared Spectroscopy Measurement
4.4. Animals
4.5. In Vivo Assay
4.6. Assessment of Estragole and Es/β-CD on the CNS
4.6.1. Open Field
4.6.2. Rota-rod
4.7. Evaluation of Peripheral and Central Antinociceptive Action of Es and Es/β-CD
4.7.1. Abdominal Writhing Induced by Acetic Acid (0.6%)
4.7.2. 2.5% Formalin Test
4.7.3. Hot Plate Test
4.7.4. Tail Flick Test
4.7.5. Plantar Mechanical Hyperalgesia Test—Von Frey
4.8. Evaluation of Pain Signaling Pathways and Their Interactions in the Antinociceptive Response of Es and Es/β-CD (Opioid, Cholinergic, Nitric Oxide, A-Adrenergic, Dopaminergic, Adenosynergic, Glutamatergic, Cyclic Guanosine Monophosphate (Cgmp), and Vanilloid Pathways)
4.8.1. Action on the Opioid System
4.8.2. Action on the Cholinergic System
4.8.3. Action on the Nitric Oxide Pathway
4.8.4. α-2. Adrenergic Receptor Activity
4.8.5. Action on the Dopaminergic System
4.8.6. Action on the Adenosinergic System
4.8.7. Action on the Glutamatergic Signaling Pathway
4.8.8. Action on the Cyclic Guanosine Monophosphate (cGMP) Signaling Pathway
4.8.9. Action on the Vanilloid System
4.9. Statistical Analysis
5. Conclusions
Author Contributions
Funding
Institutional Review Board Statement
Data Availability Statement
Acknowledgments
Conflicts of Interest
References
- Lent, R. One Hundred Billion Neurons: Fundamental Concepts of Neuroscience. São Paulo Atheneu 2001, 651–680. [Google Scholar]
- Pinho-Ribeiro, F.A.; Zarpelon, A.C.; Fattori, V.; Manchope, M.F.; Mizokami, S.S.; Casagrande, R.; Verri, W.A. Naringenin Reduces Inflammatory Pain in Mice. Neuropharmacology 2016, 105, 508–519. [Google Scholar] [CrossRef] [PubMed]
- Patel, N.B. Capítulo 3 Fisiologia Da Dor. Guia Para O Trat. Da Dor Em Contextos De Poucos Recur. 2010, 9. [Google Scholar]
- Alves Neto, O.; Costa CM, D.C.; Siqueira JT, T.D.; Teixeira, M.J. Dor: Princípios e Prática. In Dor: Princípios e Prática; Artmed Editora: Porto Alegre, Brazil, 2009; p. 1438. [Google Scholar]
- Sneddon, L.U. Comparative Physiology of Nociception and Pain. Physiology 2018, 33, 63–73. [Google Scholar] [CrossRef] [PubMed]
- Do Amaral, J.F.; Silva, M.I.G.; Neto, M.R.D.A.; Neto, P.F.T.; Moura, B.A.; De Melo, C.T.V.; De Araújo, F.L.O.; De Sousa, D.P.; De Vasconcelos, P.F.; De Vasconcelos, S.M.M.; et al. Antinociceptive Effect of the Monoterpene R-(+)-Limonene in Mice. Biol. Pharm. Bull. 2007, 30, 1217–1220. [Google Scholar] [CrossRef]
- Li, J.W.-H.; Vederas, J.C. Drug Discovery and Natural Products: End of an Era or an Endless Frontier? Science 2009, 325, 161–165. [Google Scholar] [CrossRef]
- Oz, M.; Lozon, Y.; Sultan, A.; Yang, K.-H.S.; Galadari, S. Effects of Monoterpenes on Ion Channels of Excitable Cells. Pharmacol. Ther. 2015, 152, 83–97. [Google Scholar] [CrossRef]
- Probst, I. Atividade Antibacteriana de Óleos Essenciais e Avaliação de Potencial Sinergético. Unesp 2012, 112. [Google Scholar]
- Perveen, S. Introductory Chapter: Terpenes and Terpenoids; BoD–Books on Demand: Norderstedt, Germany, 2018; pp. 1–12. [Google Scholar]
- Quintans, J.S.S.; Shanmugam, S.; Heimfarth, L.; Araújo, A.A.S.; Almeida, J.R.G.; Picot, L.; Quintans-Júnior, L.J. Monoterpenes Modulating Cytokines—A Review. Food Chem. Toxicol. 2019, 123, 233–257. [Google Scholar] [CrossRef]
- Jakaria, M.; Cho, D.Y.; Haque, M.E.; Karthivashan, G.; Kim, I.S.; Ganesan, P.; Choi, D.K. Neuropharmacological Potential and Delivery Prospects of Thymoquinone for Neurological Disorders. Oxidative Med. Cell. Longev. 2018, 1209801. [Google Scholar] [CrossRef]
- Morais, S.M.; de Catunda Júnior, F.E.A.; da Silva, A.R.A.; Martins Neto, J.S.; Rondina, D.; Cardoso, J.H.L. Atividade Antioxidante de Óleos Essenciais de Espécies de Croton Do Nordeste Do Brasil. Química Nova 2006, 29, 907–910. [Google Scholar] [CrossRef]
- Ponte, E.L.; Sousa, P.L.; Rocha, M.V.A.P.; Soares, P.M.G.; Coelho-de-Souza, A.N.; Leal-Cardoso, J.H.; Assreuy, A.M.S. Comparative Study of the Anti-Edematogenic Effects of Anethole and Estragole. Pharmacol. Rep. 2012, 64, 984–990. [Google Scholar] [CrossRef]
- Alves Júnior, E.B.; de Oliveira Formiga, R.; de Lima Serafim, C.A.; Cristina Araruna, M.E.; de Souza Pessoa, M.L.; Vasconcelos, R.C.; de Carvalho, T.G.; de Jesus, T.G.; Araújo, A.A.; de Araujo Junior, R.F.; et al. Estragole prevents gastric ulcers via cytoprotective, antioxidant and immunoregulatory mechanisms in animal models. In Biomedicine & Pharmacotherapy; Elsevier BV: Amsterdam, The Netherlands, 2020; Volume 130, p. 110578. [Google Scholar] [CrossRef]
- Chen, Y.; Quan, P.; Liu, X.; Guo, W.; Song, W.; Cun, D.; Wang, Z.; Fang, L. Enhancement of Skin Permeation of Flurbiprofen via Its Transdermal Patches Using Isopulegol Decanoate (ISO-C10) as an Absorption Enhancer: Pharmacokinetic and Pharmacodynamic Evaluation. J. Pharm. Pharmacol. 2015, 67, 1232–1239. [Google Scholar] [CrossRef]
- Kurkov, S.V.; Loftsson, T. Cyclodextrins. Int. J. Pharm. 2013, 453, 167–180. [Google Scholar] [CrossRef]
- Santos, P.L.; Brito, R.G.; Quintans, J.S.S.; Araujo, A.A.S.; Menezes, I.R.A.; Brogden, N.K.; Quintans-Junior, L.J. Cyclodextrins as Complexation Agents to Improve the Anti-Inflammatory Drugs Profile: A Systematic Review and Meta-Analysis. Curr. Pharm. Des. 2017, 23, 2096–2107. [Google Scholar] [CrossRef] [PubMed]
- Sithole, M.N.; Choonara, Y.E.; du Toit, L.C.; Kumar, P.; Marimuthu, T.; Kondiah, P.P.D.; Pillay, V. Development of a Novel Polymeric Nanocomposite Complex for Drugs with Low Bioavailability. AAPS PharmSciTech 2018, 19, 303–314. [Google Scholar] [CrossRef]
- Fonseca, L.; Rocha, M.; Brito, L.; Sousa, E.; Reinaldo, F.; Pereira, F.; Eroni, P.S.F.; de Lima, S. Characterization of Inclusion Complex of Croton Zehntneri Essential Oil and β-Cyclodextrin Prepared by Spray Drying and Freeze Drying. Rev. Virtual De Química 2019, 11, 529–542. [Google Scholar] [CrossRef]
- Roy, A.; Park, H.; Jung, H.; Choi, , J.S. Estragole exhibits anti-inflammatory activity with the regulation of NF-κB and Nrf-2 signaling pathways in LPS-induced RAW 264.7 cells. Nat. Prod. Sci. 2018, 24, 13–20. [Google Scholar] [CrossRef]
- Oliveira, C.B.S.; Meurer, Y.S.R.; Medeiros, T.L.; Pohlit, A.M.; Silva, M.V.; Mineo, T.W.P.; Andrade-Neto, V.F. Anti-ToxoplasmaActivity of Estragole and Thymol in Murine Models of Congenital and Noncongenital Toxoplasmosis. J. Parasitol. 2016, 102, 369–376. [Google Scholar] [CrossRef]
- da Costa, R.H.S.R.H.S.; Rocha, J.E.J.E.; de Freitas, T.S.T.S.; Pereira, R.L.S.R.L.S.; Junior, F.N.P.F.N.P.; de Oliveira, M.R.C.M.R.C.; Batista, F.L.A.F.L.A.; Coutinho, H.D.M.H.D.M.; de Menezes, I.R.A.I.R.A. Evaluation of Antibacterial Activity and Reversal of the NorA and MepA Efflux Pump of Estragole against Staphylococcus Aureus Bacteria. Arch. Microbiol. 2021, 203, 3551–3555. [Google Scholar] [CrossRef]
- Rodrigues, L.B.L.B.; Oliveira Brito Pereira Bezerra Martins, A.; Cesário, F.R.A.S.F.R.A.S.; Ferreira e Castro, F.; de Albuquerque, T.R.T.R.; Martins Fernandes, M.N.M.N.; Fernandes da Silva, B.A.B.A.; Quintans Júnior, L.J.L.J.; da Costa, J.G.M.J.G.M.; Melo Coutinho, H.D.H.D.; et al. Anti-Inflammatory and Antiedematogenic Activity of the Ocimum Basilicum Essential Oil and Its Main Compound Estragole: In Vivo Mouse Models. Chem. Biol. Int. 2016, 257, 14–25. [Google Scholar] [CrossRef] [PubMed]
- Costa, M.D.S.; Rocha, J.E.; Campina, F.F.; Silva, A.R.P.; Da Cruz, R.P.; Pereira, R.L.S.; Quintans-Júnior, L.J.; De Menezes, I.R.A.; Adriano, A.D.S.; De Freitas, T.S. Comparative Analysis of the Antibacterial and Drug-Modulatory Effect of d-Limonene Alone and Complexed with β-Cyclodextrin. Eur. J. Pharm. Sci. 2019, 128, 158–161. [Google Scholar] [CrossRef] [PubMed]
- Hunskaar, S.; Hole, K. The Formalin Test in Mice: Dissociation between Inflammatory and Non-Inflammatory Pain. Pain 1987, 30, 103–114. [Google Scholar] [CrossRef]
- Le Bars, D.; Gozariu, M.; Cadden, S.W. Animal Models of Nociception. Pharmacol. Rev. 2001, 53, 597–652. [Google Scholar] [PubMed]
- Oliveira Brito Pereira Bezerra Martins, A.; Correia de Oliveira, M.R.; Alcântara, I.S.; Rodrigues, L.B.; Cesário, F.R.A.S.; da Silva, M.S.A.; Castro, F.F.; do Nascimento, E.P.; de Albuquerque, T.R.; Quintans Júnior, L.J. Effect of the Croton Rhamnifolioides Essential Oil and the Inclusion Complex (OEFC/β-CD) in Antinociceptive Animal Models. Macromol 2021, 1, 94–111. [Google Scholar] [CrossRef]
- Costa, T.K.V.L.; da Barros, M.S.; Braga, R.M.; de Oliveira Viana, J.; de Sousa, F.B.; Scotti, L.; Scotti, M.T.; Batista, A.U.D.; de Almeida, R.N.; de Castro, R.D. Orofacial Antinociceptive Activity and Anchorage Molecular Mechanism in Silico of Geraniol. Braz. Oral Res. 2020, 34. [Google Scholar] [CrossRef]
- Spiller, F.; Formiga, R.O.; da Silva Coimbra, J.F.; Alves-Filho, J.C.; Cunha, T.M.; Cunha, F.Q. Targeting Nitric Oxide as a Key Modulator of Sepsis, Arthritis and Pain. Nitric Oxide 2019, 89, 32–40. [Google Scholar] [CrossRef]
- Rosa, K.A.; Gadotti, V.M.; Rosa, A.O.; Rodrigues, A.L.S.; Calixto, J.B.; Santos, A.R.S. Evidence for the Involvement of Glutamatergic System in the Antinociceptive Effect of Ascorbic Acid. Neurosci. Lett. 2005, 381, 185–188. [Google Scholar] [CrossRef]
- Domith, I.; Socodato, R.; Portugal, C.C.; Munis, A.F.; Duarte-Silva, A.T.; Paes-de-Carvalho, R. Vitamin C Modulates Glutamate Transport and NMDA Receptor Function in the Retina. J. Neurochem. 2018, 144, 408–420. [Google Scholar] [CrossRef]
- Aroke, E.N.; Powell-Roach, K.L.; Jaime-Lara, R.B.; Tesfaye, M.; Roy, A.; Jackson, P.; Joseph, P. V Taste the Pain: The Role of TRP Channels in Pain and Taste Perception. Int. J. Mol. Sci. 2020, 21, 5929. [Google Scholar] [CrossRef]
- Reyes-García, J.; Carbajal-García, A.; Montaño, L.M. Transient Receptor Potential Cation Channel Subfamily V (TRPV) and Its Importance in Asthma. Eur. J. Pharmacol. 2022, 915, 174692. [Google Scholar] [CrossRef] [PubMed]
- Sakurada, T.; Matsumura, T.; Moriyama, T.; Sakurada, C.; Ueno, S.; Sakurada, S. Differential Effects of Intraplantar Capsazepine and Ruthenium Red on Capsaicin-Induced Desensitization in Mice. Pharmacol. Biochem. Behav. 2003, 75, 115–121. [Google Scholar] [CrossRef]
- Rachmawati, H.; Edityaningrum, C.A.; Mauludin, R. Molecular Inclusion Complex of Curcumin–β-Cyclodextrin Nanoparticle to Enhance Curcumin Skin Permeability from Hydrophilic Matrix Gel. Aaps Pharmscitech 2013, 14, 1303–1312. [Google Scholar] [CrossRef] [PubMed]
- Archer, J. Tests for Emotionality in Rats and Mice: A Review. Anim. Behav. 1973, 21, 205–235. [Google Scholar] [CrossRef]
- DUNHAM, N.W.; MIYA, T.S. A Note on a Simple Apparatus for Detecting Neurological Deficit in Rats and Mice. J. Am. Pharm. Association. Am. Pharm. Assoc. 1957, 46, 208–209. [Google Scholar] [CrossRef]
- Stevenson, G.W.; Bilsky, E.J.; Negus, S.S. Targeting Pain-Suppressed Behaviors in Preclinical Assays of Pain and Analgesia: Effects of Morphine on Acetic Acid-Suppressed Feeding in C57BL/6J Mice. J. Pain 2006, 7, 408–416. [Google Scholar] [CrossRef]
- Tjølsen, A.; Berge, O.G.; Hunskaar, S.; Rosland, J.H.; Hole, K. The Formalin Test: An Evaluation of the Method. Pain 1992, 51, 5–17. [Google Scholar] [CrossRef]
- Jacob, J.J.; Ramabadran, K. Enhancement of a Nociceptive Reaction by Opioid Antagonists in Mice. Br. J. Pharmacol. 1978, 64, 91. [Google Scholar] [CrossRef]
- D’amour, F.E.; Smith, D.L. A method for determining loss of pain sensation. J. Pharmacol. Exp. Ther. 1941, 72, 74–79. [Google Scholar]
- Vrinten, D.H.; Hamers, F.F.T. ‘CatWalk’Automated Quantitative Gait Analysis as a Novel Method to Assess Mechanical Allodynia in the Rat; a Comparison with von Frey Testing. Pain 2003, 102, 203–209. [Google Scholar] [CrossRef]
- Martinov, T.; Mack, M.; Sykes, A.; Chatterjea, D. Measuring Changes in Tactile Sensitivity in the Hind Paw of Mice Using an Electronic von Frey Apparatus. JoVE 2013, 82, e51212. [Google Scholar] [CrossRef] [PubMed]
- De Oliveira, M.G.; Guimarães, A.G.; Araújo, A.A.; Quintans, J.S.; Santos, M.R.; Quintans-Júnior, L.J. Cyclodextrins: Improving the Therapeutic Response of Analgesic Drugs: A Patent Review. Expert Opin. Ther. Pat. 2015, 25, 897–907. [Google Scholar] [CrossRef] [PubMed]
- Yowtak, J.; Lee, K.Y.; Kim, H.Y.; Wang, J.; Kim, H.K.; Chung, K.; Chung, J.M. Reactive Oxygen Species Contribute to Neuropathic Pain by Reducing Spinal GABA Release. Pain 2011, 152, 844–852. [Google Scholar] [CrossRef] [PubMed]
- Schechtmann, G.; Song, Z.; Ultenius, C.; Meyerson, B.A.; Linderoth, B. Cholinergic Mechanisms Involved in the Pain Relieving Effect of Spinal Cord Stimulation in a Model of Neuropathy. Pain 2008, 139, 136–145. [Google Scholar] [CrossRef]
- Schmidtko, A.; Tegeder, I.; Geisslinger, G. No NO, No Pain? The Role of Nitric Oxide and CGMP in Spinal Pain Processing. Trends Neurosci. 2009, 32, 339–346. [Google Scholar] [CrossRef]
- Santos, A.R.S.; Gadotti, V.M.; Oliveira, G.L.; Tibola, D.; Paszcuk, A.F.; Neto, A.; Spindola, H.M.; Souza, M.M.; Rodrigues, A.L.S.; Calixto, J.B. Mechanisms Involved in the Antinociception Caused by Agmatine in Mice. Neuropharmacology 2005, 48, 1021–1034. [Google Scholar] [CrossRef]
- Finan, P.H.; Smith, M.T. The Comorbidity of Insomnia, Chronic Pain, and Depression: Dopamine as a Putative Mechanism. Sleep Med. Rev. 2013, 17, 173–183. [Google Scholar] [CrossRef]
- Ferré, S.; Diamond, I.; Goldberg, S.R.; Yao, L.; Hourani, S.M.O.; Huang, Z.L.; Urade, Y.; Kitchen, I. Adenosine A2A Receptors in Ventral Striatum, Hypothalamus and Nociceptive Circuitry. Implications for Drug Addiction, Sleep and Pain. Prog. Neurobiol. 2007, 83, 332–347. [Google Scholar] [CrossRef]
- Zeraati, F.; Araghchian, M.; Farjoo, M.H. Ascorbic Acid Interaction with Analgesic Effect of Morphine and Tramadol in Mice. Anesthesiol. Pain Med. 2014, 4, e19529. [Google Scholar] [CrossRef]
- Beirith, A.; Santos, A.R.S.; Calixto, J.B. Mechanisms Underlying the Nociception and Paw Oedema Caused by Injection of Glutamate into the Mouse Paw. Brain Res. 2002, 924, 219–228. [Google Scholar] [CrossRef]
- Tominaga, M.; Caterina, M.J.; Malmberg, A.B.; Rosen, T.A.; Gilbert, H.; Skinner, K.; Raumann, B.E.; Basbaum, A.I.; Julius, D. The Cloned Capsaicin Receptor Integrates Multiple Pain-Producing Stimuli. Neuron 1998, 21, 531–543. [Google Scholar] [CrossRef]
- Mantovani, M.; Kaster, M.P.; Pertile, R.; Calixto, J.B.; Rodrigues, A.L.S.; Santos, A.R.S. Mechanisms Involved in the Antinociception Caused by Melatonin in Mice. J. Pineal Res. 2006, 41, 382–389. [Google Scholar] [CrossRef] [PubMed]















Publisher’s Note: MDPI stays neutral with regard to jurisdictional claims in published maps and institutional affiliations. |
© 2022 by the authors. Licensee MDPI, Basel, Switzerland. This article is an open access article distributed under the terms and conditions of the Creative Commons Attribution (CC BY) license (https://creativecommons.org/licenses/by/4.0/).
Share and Cite
da Costa, R.H.S.; Martins, A.O.B.P.B.; Pessoa, R.T.; Alshehri, S.A.; Wahab, S.; Ahmad, M.F.; Suliman, M.; da Silva, L.Y.S.; Alcântara, I.S.; Ramos, A.G.B.; et al. Mechanisms of Actions Involved in The Antinociceptive Effect of Estragole and its β-Cyclodextrin Inclusion Complex in Animal Models. Plants 2022, 11, 2854. https://doi.org/10.3390/plants11212854
da Costa RHS, Martins AOBPB, Pessoa RT, Alshehri SA, Wahab S, Ahmad MF, Suliman M, da Silva LYS, Alcântara IS, Ramos AGB, et al. Mechanisms of Actions Involved in The Antinociceptive Effect of Estragole and its β-Cyclodextrin Inclusion Complex in Animal Models. Plants. 2022; 11(21):2854. https://doi.org/10.3390/plants11212854
Chicago/Turabian Styleda Costa, Roger Henrique Sousa, Anita Oliveira Brito Pereira Bezerra Martins, Renata Torres Pessoa, Saad Ali Alshehri, Shadma Wahab, Md Faruque Ahmad, Muath Suliman, Lucas Yure Santos da Silva, Isabel Sousa Alcântara, Andreza Guedes Barbosa Ramos, and et al. 2022. "Mechanisms of Actions Involved in The Antinociceptive Effect of Estragole and its β-Cyclodextrin Inclusion Complex in Animal Models" Plants 11, no. 21: 2854. https://doi.org/10.3390/plants11212854
APA Styleda Costa, R. H. S., Martins, A. O. B. P. B., Pessoa, R. T., Alshehri, S. A., Wahab, S., Ahmad, M. F., Suliman, M., da Silva, L. Y. S., Alcântara, I. S., Ramos, A. G. B., Oliveira, M. R. C. d., Batista, F. L. A., Delmondes, G. d. A., de Farias, P. A. M., Rocha, J. E., Coutinho, H. D. M., Raposo, A., Carrascosa, C., Jaber, J. R., & de Menezes, I. R. A. (2022). Mechanisms of Actions Involved in The Antinociceptive Effect of Estragole and its β-Cyclodextrin Inclusion Complex in Animal Models. Plants, 11(21), 2854. https://doi.org/10.3390/plants11212854

