Waterlogging Priming Enhances Hypoxia Stress Tolerance of Wheat Offspring Plants by Regulating Root Phenotypic and Physiological Adaption
Abstract
:1. Introduction
2. Results
2.1. Effect of Waterlogging Primed Seedlings on Plant Biomass in Wheat Offspring Plants under Hypoxia Stress
2.2. Effect of Waterlogging Primed Seedlings on Leaf Photosynthesis and Chlorophyll Fluorescence in Wheat Offspring Plants under Hypoxia Stress
2.3. Effect of Waterlogging Primed Seedlings on ROS Scavenging Capacity in Wheat Offspring Roots under Hypoxia Stress
2.4. Effect of Waterlogging Primed Seedlings on Content of Total Soluble Sugar and Sucrose in Wheat Offspring Plants under Hypoxia Stress
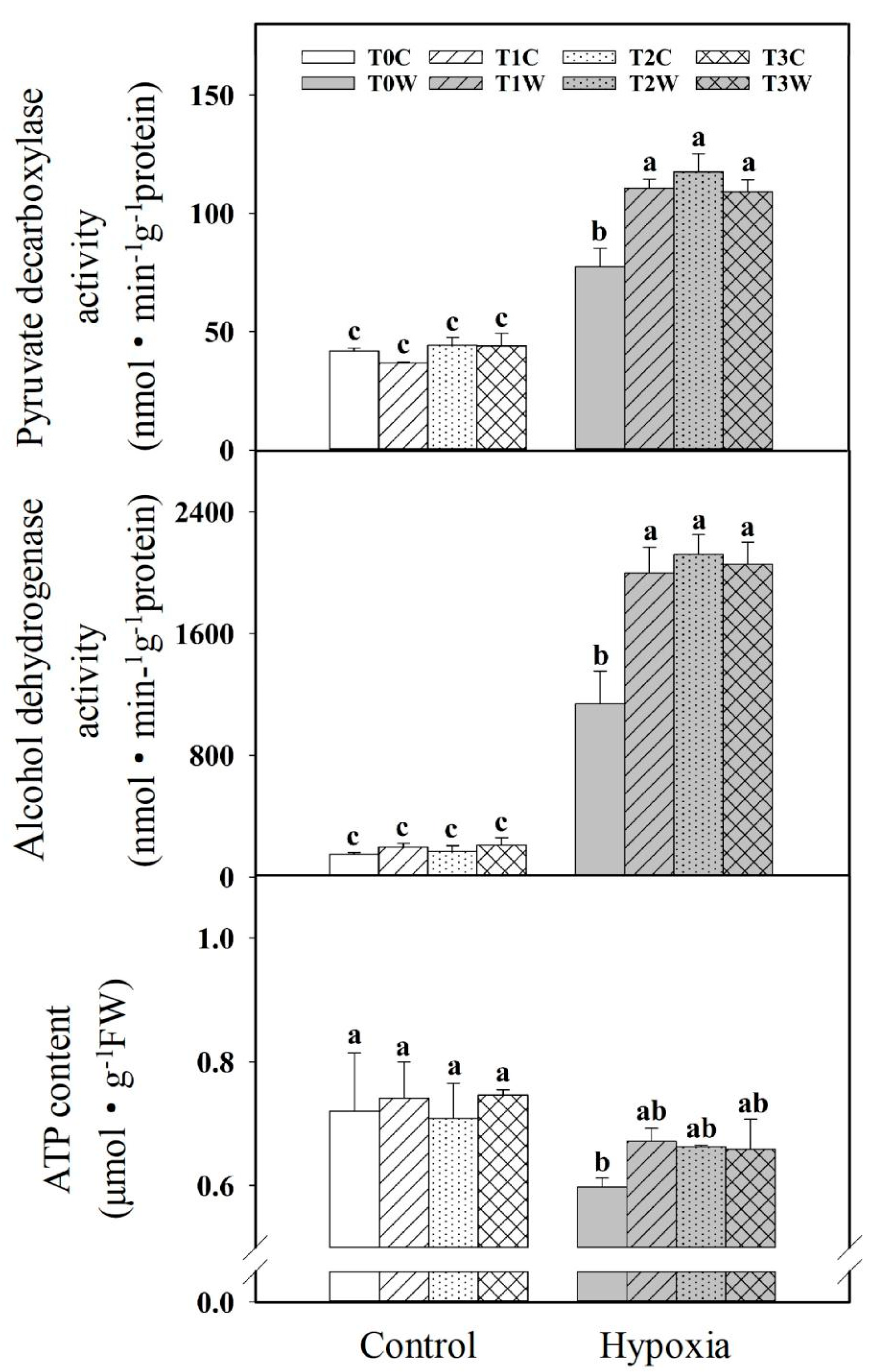
2.5. Effect of Waterlogging Primed Seedlings on Fermentation Metabolism in Wheat Offspring Plants under Hypoxia Stress
2.6. Effect of Waterlogging Primed Seedlings on Aerenchyma Formation in Secondary Root in Wheat Offspring Plants under Hypoxia Stress
2.7. Effect of Waterlogging Primed Seedlings on Ethylene Content in Offspring Roots under Hypoxia Stress
3. Discussion
3.1. Parental Waterlogging Priming Improved the Tolerance to Hypoxia Stress in Wheat Offspring Plants
3.2. Parental Waterlogging Priming Reduce the Oxidative Damage in Wheat Offspring Roots under Hypoxia Stress
3.3. Parental Waterlogging Priming Promoted the Energy Metabolism to Hypoxia Stress in Wheat Roots Offspring Plants
4. Materials and Methods
4.1. Experimental Design
4.2. Photosynthesis and Chlorophyll Fluorescence Parameters
4.3. Contents of Malondialdehyde (MDA) and Hydrogen Peroxide (H2O2), Superoxide Anion (O2−) Release Rate
4.4. Antioxidant Enzyme Activities and Antioxidants Content
4.5. Sugars Content, Sucrose Hydrolase Enzymes Activity
4.6. Activities of Anaerobic Respiration Enzymes, ATP Content
4.7. Root Anatomical Observation
4.8. Ethylene Content
4.9. RNA Extraction and Quantitative Real-Time PCR
4.10. Statistic Analysis
5. Conclusions
Supplementary Materials
Author Contributions
Funding
Data Availability Statement
Conflicts of Interest
References
- Jing, Y.P.; Liu, D.T.; Yu, X.R.; Xiong, F.; Li, D.L.; Zheng, Y.K.; Hao, Y.F.; Gu, Y.J.; Wang, Z. Development of endosperm cells and starch granules in common wheat. Cereal Res. Commun. 2014, 42, 514–524. [Google Scholar] [CrossRef] [Green Version]
- Herzog, M.; Striker, G.G.; Colmer, T.D.; Pedersen, O. Mechanisms of waterlogging tolerance in wheat—A review of root and shoot physiology. Plant Cell Environ. 2016, 39, 1068–1086. [Google Scholar] [CrossRef] [PubMed]
- Elena, L.; Hans, V.V.; Pierdomenico, P. Plant responses to flooding stress. Curr. Opin. Plant Biol. 2016, 33, 64–71. [Google Scholar] [CrossRef] [Green Version]
- Chen, Y.; Huang, J.; Song, X.; Gao, P.; Wan, S.; Shi, L.; Wang, X. Spatiotemporal characteristics of winter wheat waterlogging in the middle and lower reaches of the yangtze river, China. Adv. Meteorol. 2018, 2018, 3542103. [Google Scholar] [CrossRef] [Green Version]
- Setter, T.L.; Waters, I. Review of prospects for germplasm improvement for waterlogging tolerance in wheat, barley and oats. Plant Soil 2003, 253, 1–34. [Google Scholar] [CrossRef]
- Feroza, K.C.; Rosa, M.R.; Eduardo, B.; Ron, M. Programmed cell death and aerenchyma formation in roots. Trends Plant Sci. 2000, 5, 123–127. [Google Scholar] [CrossRef]
- Gunawardena, A.H.; Pearce, D.M.; Jackson, M.B.; Hawes, C.R.; Evans, D.E. Characterisation of programmed cell death during aerenchyma formation induced by ethylene or hypoxia in roots of maize (Zea mays L.). Planta 2001, 212, 205–214. [Google Scholar] [CrossRef]
- Yamauchi, T.; Colmer, T.D.; Pedersen, O.; Nakazono, M. Regulation of root traits for internal aeration and tolerance to soil waterlogging-flooding stress. Plant Physiol. 2018, 176, 1118–1130. [Google Scholar] [CrossRef] [Green Version]
- Wany, A.; Kumari, A.; Gupta, K.J. Nitric oxide is essential for the development of aerenchyma in wheat roots under hypoxic stress. Plant Cell Environ. 2017, 40, 3002–3017. [Google Scholar] [CrossRef]
- Ricard, B.; Aschi-Smiti, S.; Gharbi, I.; Brouquisse, R. Cellular and molecular mechanisms of tolerance to waterlogging. Plant Environ. Interact. Third Ed. 2006, 1, 177–208. [Google Scholar] [CrossRef]
- Guo, S.R.; Nada, K.; Katoh, H.; Tachibana, S. Differences between tomato (Lycopersicon esuculentum Mill.) and cucumber (Cucumis sativus L.) in ethanol, lactate and malate metabolisms and cell sap pH of roots under hypoxia. J. Jpn. Soc. Hortic. Sci. 1999, 68, 152–159. [Google Scholar] [CrossRef] [Green Version]
- Bingru, H.; Jerry, W.J. Root respiration and carbohydrate status of two wheat genotypes in response to hypoxia. Ann. Bot. 1995, 75, 427–432. [Google Scholar] [CrossRef]
- Jiang, D.; Fan, X.; Dai, T.; Cao, W. Nitrogen fertiliser rate and post-anthesis waterlogging effects on carbohydrate and nitrogen dynamics in wheat. Plant Soil 2008, 304, 301–314. [Google Scholar] [CrossRef]
- Hossain, A.; Uddin, S.N. Mechanisms of waterlogging tolerance in wheat: Morphological and metabolic adaptations under hypoxia or anoxia. Aust. J. Crop Sci. 2011, 5, 1094–1101. [Google Scholar] [CrossRef]
- Choudhury, F.K.; Rivero, R.M.; Blumwald, E.; Mittler, R. Reactive oxygen species, abiotic stress and stress combination. Plant J. 2017, 90, 856–867. [Google Scholar] [CrossRef]
- Luan, H.; Shen, H.; Pan, Y.; Guo, B.; Lv, C.; Xu, R. Elucidating the hypoxic stress response in barley (Hordeum vulgare L.) during waterlogging: A proteomics approach. Sci. Rep. 2018, 8, 9655–9668. [Google Scholar] [CrossRef]
- Wang, X.; Huang, M.; Zhou, Q.; Cai, J.; Dai, T.; Cao, W.; Jiang, D. Physiological and proteomic mechanisms of waterlogging priming improves tolerance to waterlogging stress in wheat (Triticum aestivum L.). Environ. Exp. Bot. 2016, 132, 175–182. [Google Scholar] [CrossRef]
- Wang, X.; Vignjevic, M.; Jiang, D.; Jacobsen, S.; Wollenweber, B. Improved tolerance to drought stress after anthesis due to priming before anthesis in wheat (Triticum aestivum L.) var. Vinjett. J. Exp. Bot. 2014, 65, 6441–6456. [Google Scholar] [CrossRef] [Green Version]
- Wang, X.; Liu, F.; Jiang, D. Priming: A promising strategy for crop production in response to future climate. J. Integr. Agr. 2017, 16, 2709–2716. [Google Scholar] [CrossRef]
- Wang, X.; Zhang, X.; Chen, J.; Wang, X.; Cai, J.; Zhou, Q.; Dai, T.; Cao, W.; Jiang, D. Parental drought-priming enhances tolerance to post-anthesis drought in offspring of wheat. Front. Plant Sci. 2018, 9, 261. [Google Scholar] [CrossRef]
- Wang, X.; Xin, C.; Cai, J.; Zhou, Q.; Dai, T.; Cao, W.; Jiang, D. Heat priming induces trans-generational tolerance to high temperature stress in wheat. Front. Plant Sci. 2016, 7, 501. [Google Scholar] [CrossRef] [Green Version]
- Li, Z.; Song, Z.; Yan, Z.; Hao, Q.; Song, A.; Liu, L.; Yang, X.; Xia, S.; Liang, Y. Silicon enhancement of estimated plant biomass carbon accumulation under abiotic and biotic stresses. A meta-analysis. Agron. Sustain. Dev. 2018, 38, 26–45. [Google Scholar] [CrossRef] [Green Version]
- Malik, A.I.; Colmer, T.D.; Lambers, H.; Schortemeyer, M. Changes in physiological and morphological traits of roots and shoots of wheat in response to different depths of waterlogging. Funct. Plant Biol. 2001, 28, 1121–1131. [Google Scholar] [CrossRef]
- Colmer, T.D.; Greenway, H. Ion transport in seminal and adventitious roots of cereals during O2 deficiency. J. Exp. Bot. 2011, 62, 39–57. [Google Scholar] [CrossRef] [Green Version]
- Kato-Noguchi, H. Anoxia tolerance in rice roots acclimated by several different periods of hypoxia. J. Plant Physiol. 2003, 160, 565–568. [Google Scholar] [CrossRef]
- Bramley, H.; Tyerman, S. Root water transport under waterlogged conditions and the roles of aquaporins. In Waterlogging Signalling and Tolerance in Plants; Mancuso, S., Shabala, S., Eds.; Springer: Berlin/Heidelberg, Germany, 2010; pp. 151–180. [Google Scholar]
- Ploschuk, R.A.; Miralles, D.J.; Colmer, T.D.; Ploschuk, E.L.; Striker, G.G. Waterlogging of winter crops at early and late stages: Impacts on leaf physiology, Growth and Yield. Front. Plant Sci. 2018, 9, 1863. [Google Scholar] [CrossRef] [Green Version]
- Yordanova, R.Y.; Popova, L.P. Flooding-induced changes in photosynthesis and oxidative status in maize plants. Acta Physiol. Plant 2007, 29, 535–541. [Google Scholar] [CrossRef]
- Fariduddin, Q.; Yusuf, M.; Chalkoo, S.; Hayat, S.; Ahmad, A. 28-homobrassinolide improves growth and photosynthesis in Cucumis sativus L. through an enhanced antioxidant system in the presence of chilling stress. Photosynthetica 2011, 49, 55–64. [Google Scholar] [CrossRef]
- Striker, G.G. Flooding Stress on Plants: Anatomical, Morphological and Physiological Responses. Botany 2012, 16, 3–28. [Google Scholar]
- Kaushik, D.; Aryadeep, R. Reactive oxygen species (ROS) and response of antioxidants as ROS-scavengers during environmental stress in plants. Front. Environ. Sci. 2014, 2, 1–13. [Google Scholar] [CrossRef] [Green Version]
- Hasanuzzaman, M.; Bhuyan, M.; Zulfiqar, F.; Raza, A.; Mohsin, S.M.; Mahmud, J.A.; Fujita, M.; Fotopoulos, V. Reactive oxygen species and antioxidant defense in plants under abiotic stress: Revisiting the crucial role of a universal defense regulator. Antioxidants 2020, 9, 681. [Google Scholar] [CrossRef] [PubMed]
- Fan, H.F.; Du, C.X.; Ding, L.; Xu, Y.L. Exogenous nitric oxide promotes waterlogging tolerance as related to the activities of antioxidant enzymes in cucumber seedlings. Russ. J. Plant Physiol. 2014, 61, 366–373. [Google Scholar] [CrossRef]
- Li, W.; Mo, W.; Ashraf, U.; Li, G.; Wen, T.; Abrar, M.; Gao, L.; Liu, J.; Hu, J. Evaluation of physiological indices of waterlogging tolerance of different maize varieties in south china. Appl. Ecol. Environ. Res. 2018, 16, 2059–2072. [Google Scholar] [CrossRef]
- Hasanuzzaman, M.; Bhuyan, M.; Anee, T.I.; Parvin, K.; Nahar, K.; Mahmud, J.A.; Fujita, M. Regulation of Ascorbate-Glutathione pathway in mitigating oxidative damage in plants under abiotic stress. Antioxidants 2019, 8, 384. [Google Scholar] [CrossRef] [Green Version]
- Nahar, K.; Hasanuzzaman, M.; Suzuki, T.; Fujita, M. Polyamines-induced aluminum tolerance in mung bean: A study on antioxidant defense and methylglyoxal detoxification systems. Ecotoxicology 2017, 26, 58–73. [Google Scholar] [CrossRef]
- Voesenek, L.A.C.J.; Bailey-Serres, J. Flood adaptive traits and processes: An overview. New Phytol. 2015, 206, 57–73. [Google Scholar] [CrossRef]
- Takaki, Y.; Satoshi, S.; Mikio, N.; Toshihiro, M. Aerenchyma formation in crop species: A review. Field Crops Res. 2013, 152, 8–16. [Google Scholar] [CrossRef]
- Yamauchi, T.; Watanabe, K.; Fukazawa, A.; Mori, H.; Abe, F.; Kawaguchi, K.; Oyanagi, A.; Nakazono, M. Ethylene and reactive oxygen species are involved in root aerenchyma formation and adaptation of wheat seedlings to oxygen-deficient conditions. J. Exp. Bot. 2014, 65, 261–273. [Google Scholar] [CrossRef] [Green Version]
- Zhang, X.; Shabala, S.; Koutoulis, A.; Shabala, L.; Johnson, P.; Hayes, D.; Nichols, D.S.; Zhou, M. Waterlogging tolerance in barley is associated with faster aerenchyma formation in adventitious roots. Plant Soil 2015, 394, 355–372. [Google Scholar] [CrossRef]
- Wang, H.; Chen, Y.; Hu, W.; Wang, S.; Snider, J.L.; Zhou, Z. Carbohydrate metabolism in the subtending leaf cross-acclimates to waterlogging and elevated temperature stress and influences boll biomass in cotton (Gossypium hirsutum). Physiol. Plant 2017, 161, 339–354. [Google Scholar] [CrossRef]
- Mustroph, A.; Albrecht, G. Fermentation metabolism in roots of wheat seedlings after hypoxic pre-treatment in different anoxic incubation systems. J. Plant Physiol. 2007, 164, 394–407. [Google Scholar] [CrossRef]
- Schluter, U.; Crawford, R.M. Long-term anoxia tolerance in leaves of Acorus calamus L. and Iris pseudacorus L. J. Exp. Bot. 2001, 52, 2213–2225. [Google Scholar] [CrossRef]
- Zeng, Y.; Wu, Y.; Avigne, W.T.; Koch, K.E. Rapid repression of maize invertases by low oxygen. Invertase/sucrose synthase balance, sugar signaling potential, and seedling survival. Plant Physiol. 1999, 121, 599–608. [Google Scholar] [CrossRef] [Green Version]
- Ricard, B.; Toai, T.V.; Chourey, P.; Saglio, P. Evidence for the critical role of sucrose synthase for anoxic tolerance of maize roots using a double mutant. Plant Physiol. 1998, 116, 1323–1331. [Google Scholar] [CrossRef] [Green Version]
- Ismond, K.P.; Dolferus, R.; Pauw, M.D.; Good, D.A.G. Enhanced low oxygen survival in Arabidopsis through increased metabolic flux in the fermentative pathway. Plant Physiol. 2003, 132, 1292–1302. [Google Scholar] [CrossRef] [Green Version]
- Jacobs, M.; Dolferus, R.; Van den Bossche, D. Isolation and biochemical analysis of ethyl methanesulfonate-induced alcohol dehydrogenase null mutants of Arabidopsis thaliana (L.) Heynh. Biochem. Genet. 1988, 26, 105–122. [Google Scholar] [CrossRef]
- Ellis, M.H.; Dennis, E.S.; Peacock, W.J. Arabidopsis roots and shoots have different mechanisms for hypoxic stress tolerance. Plant Physiol. 1999, 119, 57–64. [Google Scholar] [CrossRef] [Green Version]
- Tan, W.; Liu, J.; Dai, T.; Jing, Q.; Cao, W.; Jiang, D. Alterations in photosynthesis and antioxidant enzyme activity in winter wheat subjected to post-anthesis water-logging. Photosynthetica 2008, 46, 21–27. [Google Scholar] [CrossRef]
- Miyake, C.; Asada, K. Thylakoid-Bound Ascorbate Peroxidase in Spinach Chloroplasts and Photoreduction of Its Primary Oxidation Product Monodehydroascorbate Radicals in Thylakoids. Plant Cell Physiol. 1992, 33, 541–553. [Google Scholar] [CrossRef]
- Gossett, D.R.; Millhollon, E.P.; Lucas, M.C. Antioxidant response to NaCl stress in salt-tolerant and salt-sensitive cultivars of cotton. Crop Sci. 1994, 34, 1057–1075. [Google Scholar] [CrossRef]
- Moya, J.L.; Ros, R.; Picazo, I. Influence of cadmium and nickel on growth, net photosynthesis and carbohydrate distribution in rice plants. Photosynth. Res. 1993, 36, 75–80. [Google Scholar] [CrossRef] [PubMed]
- Zrenner, R.; Salanoubat, M.; Willmitzer, L.; Sonnewald, U. Evidence of the crucial role of sucrose synthase for sink strength using transgenic potato plants (Solanum tuberosum L.). Plant J. 1995, 7, 97–107. [Google Scholar] [CrossRef] [PubMed]
- Waters, I.; Morrell, S.; Greenway, H.; Colmer, T.D. Effects of anoxia on wheat seedlings: II. Influence of O2 supply prior to anoxia on tolerance to anoxia, alcoholic fermentation, and sugar levels. J. Exp. Bot. 1991, 42, 1437–1447. [Google Scholar] [CrossRef]
- Liu, J.; Yu, B.; Mao, X.; He, J.; Yu, J.; Zheng, P.; Huang, Z.; Chen, D. Effects of intrauterine growth retardation and maternal folic acid supplementation on hepatic mitochondrial function and gene expression in piglets. Arch. Anim. Nutr. 2012, 66, 357–371. [Google Scholar] [CrossRef]
- Chen, D.; Liao, Y.; Xu, Q.; Li, Y.; Wu, W.; Wu, J.; Liao, W.; Xu, D.; Liu, Y.; Wu, P. Persistence of systolic and diastolic regional dysfunction after brief episodes of myocardial ischemia evaluated with velocity vector imaging. Int. J. Cardiol. 2013, 167, 987–994. [Google Scholar] [CrossRef]
- Hattori, Y.; Nagai, K.; Furukawa, S.; Song, X.J.; Kawano, R.; Sakakibara, H.; Wu, J.; Matsumoto, T.; Yoshimura, A.; Kitano, H.; et al. The ethylene response factors SNORKEL1 and SNORKEL2 allow rice to adapt to deep water. Nature 2009, 460, 1026–1030. [Google Scholar] [CrossRef]
- Liu, L.; Cang, J.; Yu, J.; Wang, X.; Huang, R.; Wang, J.; Lu, B. Effects of exogenous abscisic acid on carbohydrate metabolism and the expression levels of correlative key enzymes in winter wheat under low temperature. Biosci. Biotechnol. Biochem. 2013, 77, 516–525. [Google Scholar] [CrossRef]









| Treatment | T0C | T1C | T2C | T3C | T0W | T1W | T2W | T3W |
|---|---|---|---|---|---|---|---|---|
| ROS | ||||||||
| O2− (µmol g−1Fw min−1) | 14.10 c | 14.34 c | 14.52 c | 14.20 c | 16.64 a | 15.33 b | 15.13 b | 15.52 b |
| H2O2 (mmol g−1Fw) | 16.66 c | 16.87 c | 17.29 c | 17.25 c | 28.94 a | 24.39 b | 23.38 b | 23.80 b |
| MDA (mmol g−1Fw) | 1.60 c | 1.45 c | 1.49 c | 1.66 c | 2.85 a | 2.50 ab | 2.42 ab | 2.24 ab |
| Antioxidant enzymes activities | ||||||||
| SOD (U g−1protein) | 0.235 a | 0.228 a | 0.222 a | 0.232 a | 0.170 c | 0.187 b | 0.198 b | 0.192 b |
| CAT (U g−1protein) | 6.10 a | 6.18 a | 6.17 a | 6.16 a | 5.02 c | 5.40 bc | 5.56 b | 5.53 bc |
| APX (U g−1protein) | 34.39 a | 34.09 a | 34.37 a | 33.85 ab | 30.33 b | 30.68 ab | 33.66 ab | 33.17 ab |
| GR (U g−1protein) | 3.15 c | 3.32 c | 3.48 c | 3.34 c | 4.19 b | 5.53 a | 5.84 a | 5.35 a |
| MDHAR (U g−1protein) | 2.92 c | 2.87 c | 3.14 c | 3.01 c | 3.50 b | 3.81 ab | 3.75 ab | 3.98 a |
| DHAR (U g−1protein) | 3.99 c | 4.11 c | 3.92 c | 4.23 c | 5.00 b | 5.58 a | 5.71 a | 5.65 a |
| Non-enzymatic antioxidants | ||||||||
| AsA (mg g−1Fw) | 0.13 c | 0.14 c | 0.13 c | 0.11 c | 0.27 b | 0.41 a | 0.41 a | 0.40 a |
| DHA (mg g−1Fw) | 0.33 d | 0.34 d | 0.34 d | 0.34 d | 0.56 c | 0.67 b | 0.69 b | 0.73 a |
| AsA + DHA | 0.46 c | 0.48 c | 0.47 c | 0.45 c | 0.83 b | 1.08 a | 1.10 a | 1.13 a |
| AsA/DHA | 0.41 cd | 0.42 cd | 0.38 d | 0.33 d | 0.49 bc | 0.62 a | 0.59 a | 0.54 ab |
| GSH (mg g−1Fw) | 11.06 c | 11.45 c | 11.32 c | 11.43 c | 12.41 b | 14.84 a | 14.93 a | 15.10 a |
| GSSG (mg g−1Fw) | 2.72 a | 2.60 a | 2.66 a | 2.70 a | 2.10 b | 1.77 b | 1.81 b | 1.87 b |
| GSH + GSSG | 13.78 b | 14.05 b | 13.98 b | 14.13 b | 14.51 b | 16.61 a | 16.74 a | 16.97 a |
| GSH/GSSG | 4.14 c | 4.49 c | 4.38 c | 4.24 c | 5.92 b | 8.39 a | 8.26 a | 8.13 a |
Publisher’s Note: MDPI stays neutral with regard to jurisdictional claims in published maps and institutional affiliations. |
© 2022 by the authors. Licensee MDPI, Basel, Switzerland. This article is an open access article distributed under the terms and conditions of the Creative Commons Attribution (CC BY) license (https://creativecommons.org/licenses/by/4.0/).
Share and Cite
Feng, K.; Wang, X.; Zhou, Q.; Dai, T.; Cao, W.; Jiang, D.; Cai, J. Waterlogging Priming Enhances Hypoxia Stress Tolerance of Wheat Offspring Plants by Regulating Root Phenotypic and Physiological Adaption. Plants 2022, 11, 1969. https://doi.org/10.3390/plants11151969
Feng K, Wang X, Zhou Q, Dai T, Cao W, Jiang D, Cai J. Waterlogging Priming Enhances Hypoxia Stress Tolerance of Wheat Offspring Plants by Regulating Root Phenotypic and Physiological Adaption. Plants. 2022; 11(15):1969. https://doi.org/10.3390/plants11151969
Chicago/Turabian StyleFeng, Kai, Xiao Wang, Qin Zhou, Tingbo Dai, Weixing Cao, Dong Jiang, and Jian Cai. 2022. "Waterlogging Priming Enhances Hypoxia Stress Tolerance of Wheat Offspring Plants by Regulating Root Phenotypic and Physiological Adaption" Plants 11, no. 15: 1969. https://doi.org/10.3390/plants11151969
APA StyleFeng, K., Wang, X., Zhou, Q., Dai, T., Cao, W., Jiang, D., & Cai, J. (2022). Waterlogging Priming Enhances Hypoxia Stress Tolerance of Wheat Offspring Plants by Regulating Root Phenotypic and Physiological Adaption. Plants, 11(15), 1969. https://doi.org/10.3390/plants11151969

