Unravelling the Effect of Triacontanol in Combating Drought Stress by Improving Growth, Productivity, and Physiological Performance in Strawberry Plants
Abstract
:1. Introduction
2. Materials and Methods
2.1. Plant Material
2.2. Experimental Design and Treatments
2.3. Plant Growth Parameters
2.4. Gas Exchange Parameters of Strawberry Plants
2.5. Strawberry Fruit Yield and Its Components
2.6. Fruit Quality
2.7. Minerals Content in Strawberry Leaves
2.8. Proline Content and Antioxidant Enzymes of Strawberry Leaves
2.9. Statistical Analysis
3. Results
3.1. Plant Growth Parameteres
3.2. Physiological Traits
3.3. Yield and Its Components
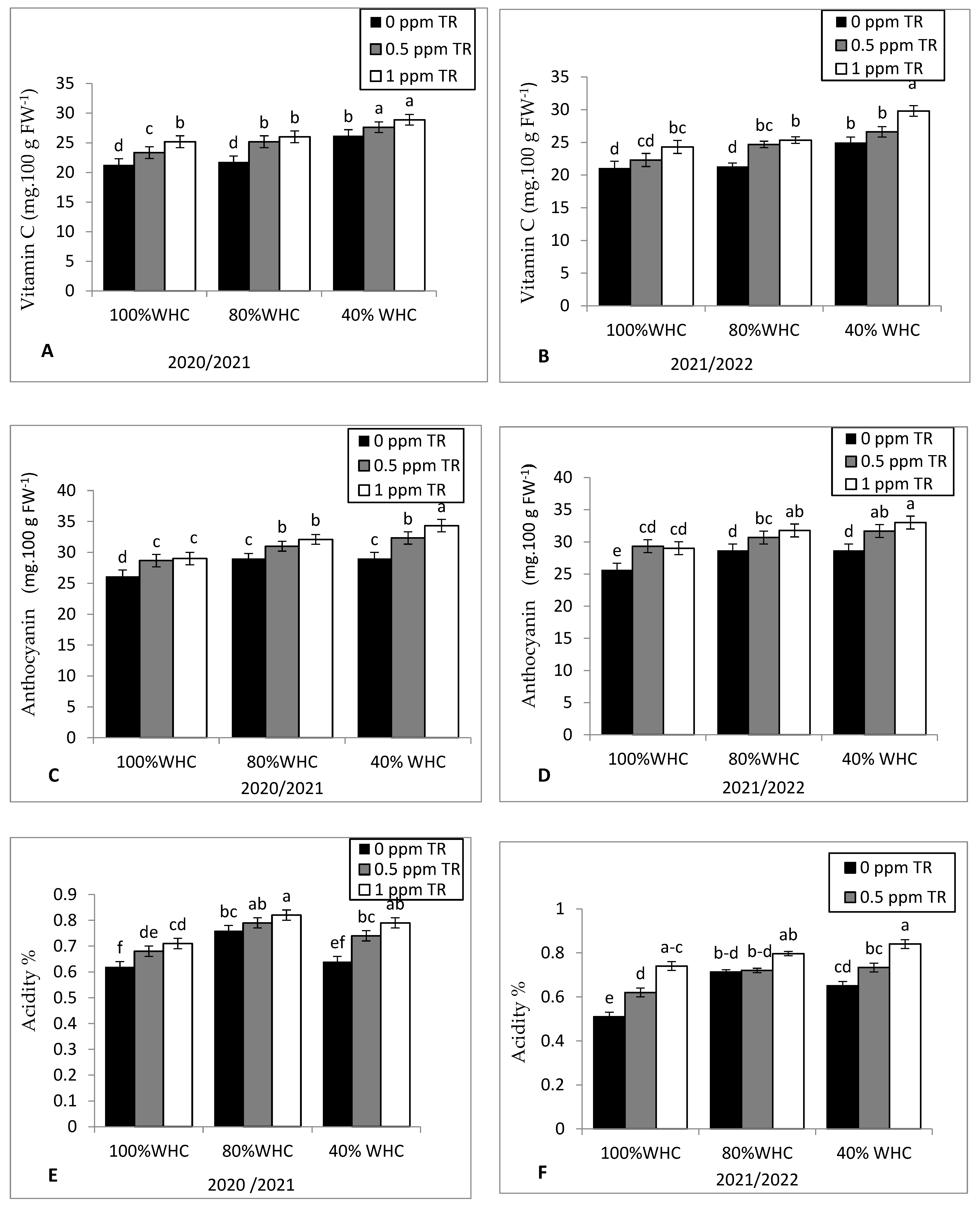
3.4. Fruit Quality Parameters
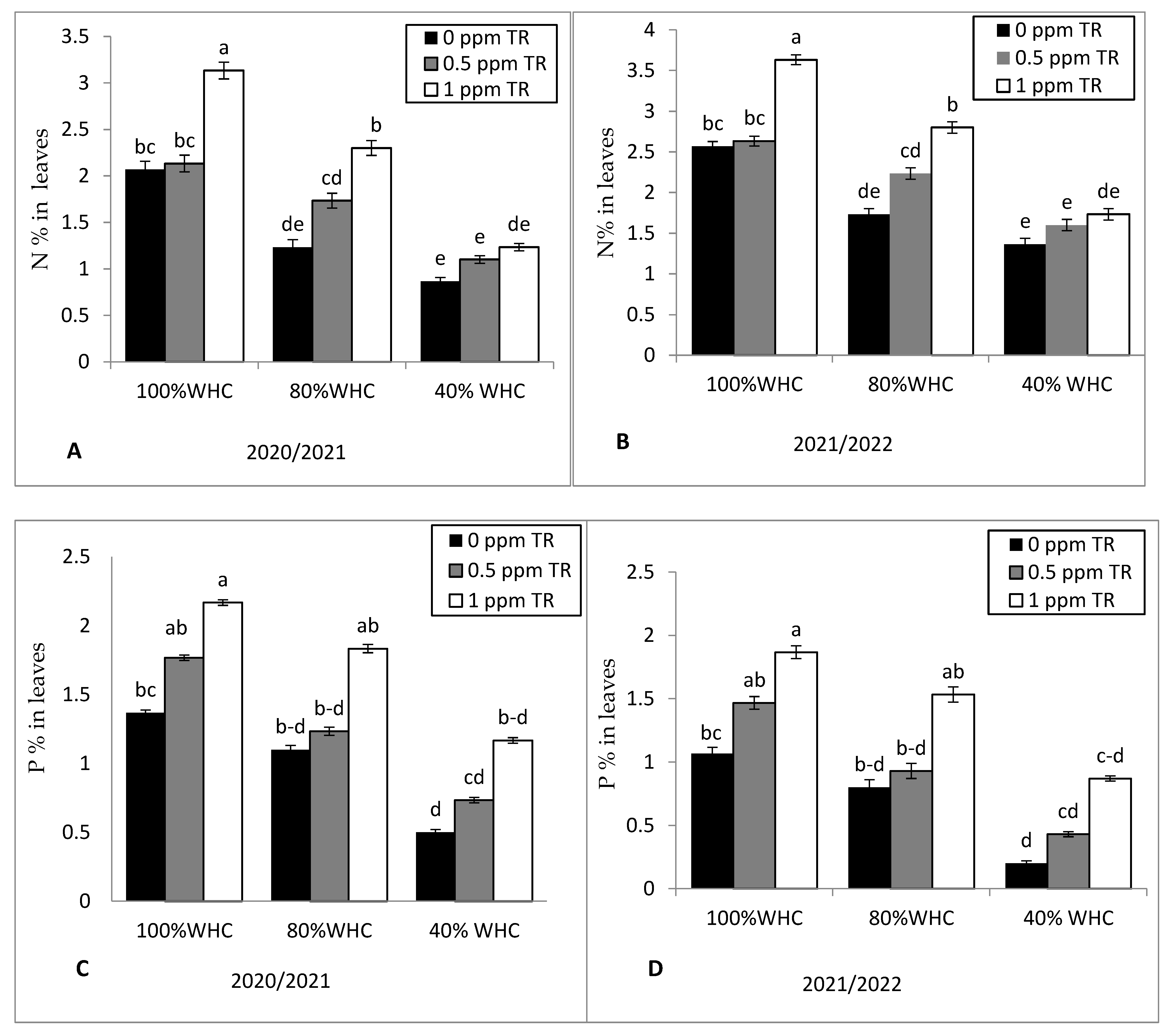
3.5. Macronutrients Content in Shoots
3.6. Antioxidant Enzymes and Hormones
3.7. Traits Interrelationship
4. Discussion
5. Conclusions
Author Contributions
Funding
Institutional Review Board Statement
Informed Consent Statement
Data Availability Statement
Acknowledgments
Conflicts of Interest
References
- Maksimović, J.D.; Poledica, M.; Mutavdžić, D.; Mojović, M.; Radivojević, D.; Milivojević, J. Variation in Nutritional Quality and Chemical Composition of Fresh Strawberry Fruit: Combined Effect of Cultivar and Storage. Plant Foods Hum. Nutr. 2015, 70, 77–84. [Google Scholar] [CrossRef] [PubMed]
- Darwish, O.S.; Ali, M.R.; Khojah, E.; Samra, B.N.; Ramadan, K.M.A.; El-Mogy, M.M. Pre-Harvest Application of Salicylic Acid, Abscisic Acid, and Methyl Jasmonate Conserve Bioactive Compounds of Strawberry Fruits during Refrigerated Storage. Horticulturae 2021, 7, 568. [Google Scholar] [CrossRef]
- Hadi, A.; Askarpour, M.; Miraghajani, M.; Symonds, M.E.; Sheikhi, A.; Ghaedi, E. Effects of strawberry supplementation oncardiovascular risk factors: A comprehensive systematic review and meta-analysis of randomized controlled trials. Food Funct. 2019, 10, 6987–6998. [Google Scholar] [CrossRef] [PubMed]
- El-Mogy, M.M.; Atia, M.A.M.; Dhawi, F.; Fouad, A.S.; Bendary, E.S.A.; Khojah, E.; Samra, B.N.; Abdelgawad, K.F.; Ibrahim, M.F.M.; Abdeldaym, E.A. Towards Better Grafting: SCoT and CDDP Analyses for Prediction of the Tomato Rootstocks Performance under Drought Stress. Agronomy 2022, 12, 153. [Google Scholar] [CrossRef]
- Brodersen, C.R.; Roddy, A.B.; Wason, J.W.; McElrone, A.J. Functional Status of Xylem through Time. Annu. Rev. Plant Biol. 2019, 70, 407–433. [Google Scholar] [CrossRef] [PubMed] [Green Version]
- Flexas, J.; Bota, J.; Escalona, J.M.; Sampol, B.; Medrano, H. Effect of drought on photosynthesis in gapevine under field conditions an evaluation of stomatal and mesophyll limitations. Funct. Plant Biol. 2002, 29, 461–471. [Google Scholar] [CrossRef] [Green Version]
- Sobejano-Paz, V.; Mikkelsen, T.N.; Baum, A.; Mo, X.; Liu, S.; Köppl, C.J.; Johnson, M.S.; Gulyas, L.; García, M. Hyperspectral and Thermal Sensing of Stomatal Conductance, Transpiration, and Photosynthesis for Soybean and Maize under Drought. Remote Sens. 2020, 12, 3182. [Google Scholar] [CrossRef]
- Saqib, S.; Zaman, W.; Ullah, F.; Majeed, I.; Ayaz, A.; Munis, M.F.H. Organometallic assembling of chitosan-Iron oxide nanoparticles with their antifungal evaluation against Rhizopus oryzae. Appl. Organomet. Chem. 2019, 33, e5190. [Google Scholar] [CrossRef]
- Modise, D.M.; Wright, C.J.; Atherton, J.G. Changes in strawberry aroma in response to water stress. Botsw. J. Agric. Appl. Sci. 2006, 2, 50–60. [Google Scholar]
- Pang, Q.; Chen, X.; Lv, J.; Li, T.; Fang, J.; Jia, H. Triacontanol Promotes the Fruit Development and Retards Fruit Senescence in Strawberry: A Transcriptome Analysis. Plants 2020, 9, 488. [Google Scholar] [CrossRef] [Green Version]
- Singh, M.; Khan, M.M.A.; Naeem, M.M. Augmentation of nutraceuticals productivity and quality of ginger (Zingiber officinale Rosc.) through triacontanol application. Plant Biosyst. 2011, 146, 106–113. [Google Scholar] [CrossRef]
- Ries, S.K.; Wert, V. Growth responses of rice seedlings to triacontanol in light and dark. Planta 1977, 135, 77–82. [Google Scholar] [CrossRef] [PubMed]
- Sarwar, M.; Anjum, S.; Alam, M.W.; Ali, Q.; Ayyub, C.M.; Haider, M.S.; Ashraf, M.I.; Mahboob, W. Triacontanol regulates morphological traits and enzymatic activities of salinity affected hot pepper plants. Sci. Rep. 2022, 12, 3736. [Google Scholar] [CrossRef] [PubMed]
- Sarwar, M.; Amjad, M.; Anjum, S.; Alam, M.W.; Ahmad, S.; Ayyub, C.M.; Ashraf, A.; Hussain, R.; Mannan, A.; Ali, A. Improving salt stress tolerance in cucumber (Cucumis sativus L.) by using triacontanol. J. Horticul. Sci. Technol. 2019, 2, 20–26. [Google Scholar] [CrossRef]
- Ries, S.K.; Richman, R.L.; Wert, V.P. Growth and yield of crops treated with triacontanol. J. Am. Soc. Hort. Sci. 1978, 103, 361–364. [Google Scholar]
- Hashim, O.; Lundergan, C.A. Effect of triacontanol on yield and fruit composition of spring- harvested ‘Tangi’ and ‘Dover’ strawberries. HortScience 1985, 20, 73–74. [Google Scholar]
- Perveen, S.; Shahbaz, M.; Ashraf, M. Modulation in activities of antioxidant enzymes in salt stressed and non-stressed wheat (Triticum aestivum L.) plants raised from seed treated with triacontanol. Pak. J. Bot. 2011, 43, 2463–2468. [Google Scholar]
- Zulfiqar, S.; Shahbaz, M. Modulation in gas exchange parametersand photosystem-II activity of canola (Brassica napus L.) by foliarapplied triacontanol under salt stress. Agrochimica 2013, 57, 193–200. [Google Scholar]
- Kumaravelu, G.; Livingstone, V.D.; Ramanujam, M.P. Triacontanol-induced changes in the growth, photosynthetic pigments, cell metabolites, flowering and yield of green gram. Biol. Plant. 2000, 43, 287–290. [Google Scholar] [CrossRef]
- Ertani, A.; Schiavon, M.; Muscolo, A.; Nardi, S. Alfalfa plantderived biostimulant stimulate short-term growth of salt stressed Zea mays L. plants. Plant Soil 2012, 364, 145–158. [Google Scholar] [CrossRef]
- Perveen, S.; Shahbaz, M.; Ashraf, M. Triacontanol-induced changes in growth, yield, leaf water relations, oxidative defense system, minerals, and some key osmoprotectants in wheat (Triticum aestivum L.) under saline conditions. Turk. J. Bot. 2014, 38, 896–913. [Google Scholar] [CrossRef]
- Kiliç, N.K.; Ergin, D.; Dönmez, G. Triacontanol hormone stimulates population, growth and Brilliant Blue R dye removal by common duckweed from culture media. J. Hazard. Mater. 2010, 182, 525–530. [Google Scholar] [CrossRef]
- Muthuchelian, K.; Velayutham, M.; Nedunchezhian, N. Ameliorating effect of triacontanol on acidic mist-treated Erythrina variegata seedlings. Changes in growth and photosynthetic activities. Plant Sci. 2003, 165, 1253–1257. [Google Scholar] [CrossRef]
- Borowski, E.; Blamowski, Z.K. The effect of triacontanol ‘TRIA’ and Asahi-SL on the development and metabolic activity of sweet basil (Ocimum basilicum L.) plants treated with chilling. Folia Hortic. 2009, 21, 39–48. [Google Scholar] [CrossRef] [Green Version]
- Zaid, A.; Mohammad, F.; Fariduddin, Q. Plant growth regulators improve growth, photosynthesis, mineral nutrient and antioxidant system under cadmium stress in menthol mint (Mentha arvensis L.). Physiol. Mol. Biol. Plants 2020, 26, 25–39. [Google Scholar] [CrossRef]
- Alharbi, B.M.; Abdulmajeed, A.M.; Hassan, H. Biochemical and Molecular Effects Induced by Triacontanol in Acquired Tolerance of Rice to Drought Stress. Genes 2021, 12, 1119. [Google Scholar] [CrossRef]
- Mansour, E.; Desoky, E.-S.M.; Ali, M.M.; Abdul-Hamid, M.I.; Ullah, H.; Attia, A.; Datta, A. Identifying drought-tolerant genotypes of faba bean and their agro-physiological responses to different water regimes in an arid Mediterranean environment. Agric. Water Manag. 2021, 247, 106754. [Google Scholar] [CrossRef]
- Merwad, A.-R.M.; Desoky, E.-S.M.; Rady, M.M. Response of water deficit-stressed Vigna unguiculata performances to silicon, proline or methionine foliar application. Sci. Hortic. 2018, 228, 132–144. [Google Scholar] [CrossRef]
- Perveen, S.; Shahbaz, M.; Ashraf, M. Influence of foliar-applied triacontanol on growth, gas exchange characteristics, and chlorophyll fluorescence at different growth stages in wheat under saline conditions. Photosynthetica 2013, 51, 541–551. [Google Scholar] [CrossRef]
- Brischke, C.; Wegener, F.L. Impact of water holding capacity and moisture content of soil substrates on the moisture content of wood in terrestrial microcosms. Forests 2019, 10, 485. [Google Scholar] [CrossRef] [Green Version]
- AOAC (Association of Official Analytical Chemists-International). Official Methods of Analysis, 18th ed.; Hortwitz, W., Latimer, G.W., Eds.; AOAC-Int.: Gaithersburg, MD, USA, 2005. [Google Scholar]
- Doklega, S.M.A.; El-Ezz, S.F.A.; Mostafa, N.A.; Dessoky, E.S.; Abdulmajeed, A.M.; Darwish, D.B.E.; Alzuaibr, F.M.; El-Yazied, A.A.; El-Mogy, M.M.; Mahmoud, S.F.; et al. Effect of Titanium and Vanadium on Antioxidants Content and Productivity of Red Cabbage. Horticulturae 2022, 8, 481. [Google Scholar] [CrossRef]
- Awad, A.H.R.; Parmar, A.; Ali, M.R.; El-Mogy, M.M.; Abdelgawad, K.F. Extending the Shelf-Life of Fresh-Cut Green Bean Pods by Ethanol, Ascorbic Acid, and Essential Oils. Foods 2021, 10, 1103. [Google Scholar] [CrossRef] [PubMed]
- Sunera; Amna; Saqib, S.; Uddin, S.; Zaman, W.; Ullah, F.; Ayaz, A.; Asghar, M.; Rehman, S.U.; Munis, M.F.H.; et al. Characterization and phytostimulatory activity of bacteria isolated from tomato (Lycopersicon esculentum Mill.) rhizosphere. Microb. Pathog. 2020, 140, 103966. [Google Scholar] [CrossRef]
- Piper, C.S. Soil and Plant Analysis, 1st ed.; Interscience Publishers Inc.: New York, NY, USA, 1950; pp. 30–59. [Google Scholar]
- Page, A.L.; Miller, R.H.; Keeney, D.R. Methods of Soil Analysis. Part 2. Chemical and Microbiological Properties. In Soil Science Society of America; American Society of Agronomy: Madison, WI, USA, 1982; Volume 1159. [Google Scholar]
- Bates, L.S.; Waldren, R.P.; Teare, I.D. Rapid determination of free proline for water-stress studies. Plant Soil 1973, 39, 205–207. [Google Scholar] [CrossRef]
- Nakano, Y.; Asada, K. Hydrogen peroxide is scavenged by ascorbate specific peroxidase in spinach chloroplasts. Plant Cell Physiol. 1981, 22, 867–880. [Google Scholar]
- Giannopolitis, C.N.; Ries, S.K. Superoxide dismutases occurrence in higher plants. Plant Physiol. 1977, 59, 309–314. [Google Scholar] [CrossRef]
- Scebba, F.; Sebastiani, L.; Vitagliano, C. Activities of antioxidant enzymes during senescence of (Prunus armeniaca) leaves. Biol. Plant. 2001, 44, 41–46. [Google Scholar] [CrossRef]
- Kato, M.; Shimizu, S. Chlorophyll metabolism in higher plants VII. Chlorophyll degradation in senescing tobacco leaves: Phenolic-dependent peroxidative degradation. Can. J. Bot. 1987, 65, 729–735. [Google Scholar] [CrossRef]
- Bradford, M.M. A rapid and sensitive method for the quantitation of microgram quantities of protein utilizing the principle of protein-dye binding. Anal. Biochem. 1976, 72, 248–254. [Google Scholar] [CrossRef]
- Qiu, D.; Lin, P.; Guo, S. Effects of salinity on leaf characteristics and CO2/H2O exchange of Kandelia candel (L.) Druce seedlings. J. For. Res. 2007, 53, 13–19. [Google Scholar] [CrossRef] [Green Version]
- Shao, H.B.; Chu, L.Y.; Jaleel, C.A.; Zhao, C.X. Water-deficit stress-induced anatomical changes in higher plants. Comptes Rendus Biol. 2008, 331, 215–225. [Google Scholar] [CrossRef] [PubMed]
- Jaleel, C.A.; Manivannan, P.; Wahid, A.; Farooq, M.; Aljuburi, H.J.; Somasundaram, R. Drought stress in plants: A review on morphological characteristics and pigments composition. Int. J. Agric. Biol. 2009, 11, 100–105. [Google Scholar]
- Hancock, J.F. Strawberries; CABI Pub: Oxon, UK, 1999. [Google Scholar]
- Ghaderi, N.; Siosemardeh, A. Response to drought stress of two strawberry cultivars (cv. Kurdistan and Selva). Hortic. Environ. Biotechnol. 2011, 52, 6–12. [Google Scholar] [CrossRef]
- Chartzoulakis, K.; Noitsakis, B.; Therios, I. Photosynthesis, plant growth and dry matter distribution in kiwifruit as influenced by water deficits. Irrig. Sci. 1993, 14, 1–5. [Google Scholar] [CrossRef]
- Borowski, E.; Blamowski, Z.K.; Michałek, W. Effects of Tomatex/Triacontanol/on chlorophyll fluorescence and tomato (Lycopersicon esculentum Mill.) yields. Acta Physiol. Plant 2000, 22, 271–274. [Google Scholar] [CrossRef]
- Rady, M.M.; Belal, H.E.E.; Gadallah, F.M.; Semida, W.M. Selenium application in two methods promotes drought tolerance in Solanum lycopersicum plant by inducing the antioxidant defense system. Sci. Hortic. 2020, 266, 109290. [Google Scholar] [CrossRef]
- Aziz, R.; Shahbaz, M.; Ashraf, M. Influence of foliar application of triacontanol on growth attributes, gas exchange and chlorophyll fluorescence in sunflower (Helianthus annuus L.) under saline stress. Pak. J. Bot. 2013, 45, 1913–1918. [Google Scholar]
- Dhall, R.K.; Sanjeev, A.; Ahuja, S. Effect of triacontanol (vipul) on yield and yield attributing characters of tomato (Lycopersicon esculentum Mill.). Environ. Ecol. 2004, 22, 64–66. [Google Scholar]
- Khan, M.M.A.; Bhardwaj, G.; Naeem, M.; Mohammad, F.; Singh, M.; Nasir, S.; Idrees, M. Response of tomato (Solanum lycopersicum L.) to application of potassium and triacontanol. Acta Hortic. 2009, 823, 199–208. [Google Scholar] [CrossRef]
- Badawy, M.A.; Abdel-Wahab, A.A.; Sayed, E.G. Increasing tomato (Solanum lycopersicum L.) tolerance of water stress conditions by using some agricultural practices. Plant Arch. 2020, 20, 2655–2676. [Google Scholar]
- Perveen, S.; Shahbaz, M.; Ashraf, M. Changes in mineral composition, uptake and use efficiency of salt stressed wheat (Triticum aestivum L.) plants raised from seed treated with triacontanol. Pak. J. Bot. 2012, 44, 27–35. [Google Scholar]
- Hangarter, R.; Ries, S.K.; Carlson, P. Effect of triacontanol on plant cell cultures in vitro. Plant Physiol. 1978, 61, 855–857. [Google Scholar] [CrossRef] [PubMed] [Green Version]
- Ries, S.; Savithiry, S.; Wert, V.; Widders, I. Rapid induction of ion pulses in tomato, cucumber, and maize plants following a foliar application of L (+)-adenosine. Plant Physiol. 1993, 101, 49–55. [Google Scholar] [CrossRef] [PubMed] [Green Version]
- Krishnan, R.R.; Kumari, B.D.R. Effect of n-triacontanol on thegrowth of salt stressed soyabean plants. J. Biosci. 2008, 19, 53–56. [Google Scholar]
- Naeem, M.; Khan, M.M.A.; Moinuddin; Siddiqui, M.H. Triacontanol stimulates nitrogen-fixation, enzyme activities, photosynthesis, crop productivity and quality of hyacinth bean (Lablab purpureus L.). Sci. Hortic. 2009, 121, 389–396. [Google Scholar] [CrossRef]
- Srivastava, N.K.; Sharma, S. Effect of triacontanol on photosynthesis, alkaloid content and growth in opium poppy (Papaver somniferum L.). Plant Growth Regul. 1990, 9, 65–71. [Google Scholar] [CrossRef]
- Shahbaz, M.; Noreen, N.; Perveen, S. Triacontanol modulates photosynthesis and osmoprotectants in canola (Brassica napus L.) under saline stress. J. Plant Interact. 2013, 8, 250–259. [Google Scholar] [CrossRef] [Green Version]
- Thakur, A.; Thakur, P.S.; Singh, R.P. Influence of paclobutrazol and triacontanol on growth and water relations in olive varieties under water stress. Indian J. Plant. Physiol. 1998, 3, 116–120. [Google Scholar]
- Demiral, T.; Türkan, I. Does exogenous glycinebetaine affect antioxidative system of rice seedlings under NaCl treatment? Plant Physiol. 2004, 161, 1089–1100. [Google Scholar] [CrossRef]
- Tripathi, B.N.; Gaur, J.P. Relationship between copper-and zinc-induced oxidative stress and proline accumulation in Scenedesmus sp. Planta 2004, 219, 397–404. [Google Scholar] [CrossRef]
- Suman, K.; Kondamudi, R.; Rao, Y.V.; Kiran, T.V.; Swamy, K.N.; Rao, P.R.; Subramanyam, D.; Voleti, S.R. Effect of triacontanol on seed germination, seedling growth and antioxidant enzyme in rice under poly ethylene glycol induced drought stress. Andhra Agric. J. 2013, 60, 132–137. [Google Scholar]
- Khan, M.M.A.; Bhardwaj, G.; Naeem, M.; Moinuddin; Mohammad, F.; Singh, M.; Nasir, S.; Idrees, M. Response of tomato (Lycopersicon esculentum Mill.) to application of potassium and triacontanol. Acta Hortic. 2009, 823, 199207. [Google Scholar]
- Ramanarayan, K.; Bhut, A.; Shripathi, V.; Swamy, G.S.; Rao, K.S. Triacontanol inhibits both enzymatic and nonenzymatic lipid peroxidation. Phytochemistry 2000, 55, 59–66. [Google Scholar] [CrossRef]
- Ries, S.K. Triacontanol and its second messenger 9-β-L(+)-adenosine as plant growth substances. Plant Physiol. 1991, 95, 986–989. [Google Scholar] [CrossRef] [PubMed] [Green Version]















| Irrigation (IR) | 100% WHC | 80% WHC | 40% WHC | Mean | 100% WHC | 80% WHC | 40% WHC | Mean |
|---|---|---|---|---|---|---|---|---|
| Treatments | Plant Height (cm) | Number of Leaves | ||||||
| 0 ppm TR | 12.43 e | 19.67 b | 9.0 g | 13.70 c | 9.667 de | 15.33 b | 6.67 f | 10.56 c |
| 0.5 ppm TR | 17.67 c | 11.00 f | 15.53 d | 14.73 b | 16.33 b | 8.0 ef | 11.0 cd | 11.78 b |
| 1 ppm TR | 28.00 a | 17.60 c | 18.33 c | 21.31 a | 18.33 a | 12.67 c | 12.67 c | 14.56 a |
| Mean | 19.37 a | 16.09 b | 14.29 c | 14.78 a | 12.00 b | 10.11 c | ||
| LSD 0.05 | ||||||||
| IR | 0.7 | 1.0 | ||||||
| TR | 0.73 | 1.1 | ||||||
| IR XTR | 1.3 | 1. 9 | ||||||
| Treatments | Leaf Area (cm2) | Chlorophyll (SPAD) Reading | ||||||
| 0 ppm TR | 44.00 d | 56.33 b | 31.67 f | 44.00 c | 30.33 b | 29.67 bc | 27.3 d | 29.11 b |
| 0.5 ppm TR | 58.00 b | 40.67 e | 44.33 d | 47.67 b | 31.33 b | 30.67 b | 28.0 cd | 30.00 b |
| 1 ppm TR | 62.00 a | 50.67 c | 50.33 c | 54.33 a | 36 a | 30.67 b | 29.33 bcd | 31.89 a |
| Mean | 54.67 a | 49.22 b | 42.11 c | 32.44 a | 30.33 b | 28.22 c | ||
| LSD 0.05 | ||||||||
| IR | 1.0 | 1.16 | ||||||
| TR | 1.2 | 1.2 | ||||||
| IR XTR | 2.2 | 2.02 | ||||||
| Irrigation (IR) | 100% WHC | 80% WHC | 40% WHC | Mean | 100% WHC | 80% WHC | 40% WHC | Mean |
|---|---|---|---|---|---|---|---|---|
| Treatments | Plant Height (cm) | Number of Leaves | ||||||
| 0 ppm TR | 11.77 d | 10.3 d | 8.3 e | 10.14 c | 9.333 d | 7.333 e | 6.333 e | 7.667 c |
| 0.5 ppm TR | 17.33 b | 14.20 c | 11.1 d | 14.0 b | 14.67 b | 11.67 c | 10.33 d | 12.22 b |
| 1 ppm TR | 20.33 a | 17.30 b | 15.20 c | 17.61 a | 17.33 a | 13.67 b | 12.00 c | 14.33 a |
| Mean | 16.48 a | 13.94 b | 11.57 c | 13.78 a | 10.89 b | 9.556 c | ||
| LSD.005 | ||||||||
| IR | 1.0 | 0.73 | ||||||
| TR | 1.02 | 1.0 | ||||||
| IR XTR | 1.7 | 1.2 | ||||||
| Treatments | Leaf Area (cm2) | Chlorophyll (SPAD) Reading | ||||||
| 0 ppm TR | 42.0 d | 36.0 ef | 32.67 f | 36.89 c | 31.33 b–d | 29.67 d | 27.0 e | 29.33 b |
| 0.5 ppm TR | 51.3 b | 41.0 d | 37.0 e | 43.11 b | 32.67 b | 31. 7 b–d | 26.67 e | 30.33 b |
| 1 ppm TR | 60.0 a | 53.0 b | 46.0 c | 53.00 a | 35.67 a | 32.0 bc | 30.0 cd | 32.56 a |
| Mean | 51.11 a | 43.3 b | 38.56 c | 33.22 a | 31.11 b | 27.89 c | ||
| LSD.005 | ||||||||
| IR | 1.942 | 1.239 | ||||||
| TR | 2.0 | 1.239 | ||||||
| IR XTR | 3.363 | 2.146 | ||||||
| Irrigation (IR) | 100% WHC | 80% WHC | 40% WHC | Mean | 100% WHC | 80% WHC | 40% WHC | Mean |
|---|---|---|---|---|---|---|---|---|
| Treatments | Shoot Fresh Weight (g) | Shoot Dry Weight (g) | ||||||
| 0 ppm TR | 35.0 e | 27.0 f | 22.33 f | 28.11 c | 9.0 cd | 8.0 de | 6.667 e | 7.889 b |
| 0.5 ppm TR | 48.0 bc | 42.3 d | 33.67 e | 41.33 b | 13.07 a | 11.1 b | 10.67 bc | 11.61 a |
| 1 ppm TR | 51.3 ab | 53.3 a | 45.33 cd | 50.00 a | 13.07 a | 11.67 ab | 11.13 b | 11.96 a |
| Mean | 44.8 a | 40.89 b | 33.78 c | 11.71 a | 10.26 b | 9.489 b | ||
| LSD.005 | ||||||||
| IR | 0.64 | 1.0 | ||||||
| TR | 2.792 | 1.1 | ||||||
| IR XTR | 4.836 | 1.94 | ||||||
| Treatments | Root Fresh Weight (g) | Root Dry Weight (g) | ||||||
| 0 ppm TR | 7.00 de | 6.0 e | 5.33 e | 6.11 c | 1.90 d | 1.033 e | 0.96 f | 1.30 c |
| 0.5 ppm TR | 10.67 b | 9.0 bc | 8.33 cd | 9.33 b | 3.00 b | 2.533 c | 2.23 cd | 2.589 b |
| 1 ppm TR | 13.00 a | 10.47 b | 10.10 b | 11.19 a | 3.900 a | 3.167 b | 3.133 b | 3.40 a |
| Mean | 10.22 a | 8.489 b | 7.92 b | 2.933 a | 2.244 b | 2.111 b | ||
| LSD.005 | ||||||||
| IR | 1.001 | 0.20 | ||||||
| TR | 1.0 | 0.20 | ||||||
| IR XTR | 1.73 | 0.36 | ||||||
| Irrigation (IR) | 100% WHC | 80% WHC | 40% WHC | Mean | 100% WHC | 80% WHC | 40% WHC | Mean |
|---|---|---|---|---|---|---|---|---|
| Treatments | Shoot Fresh Weight (g) | Shoot Dry Weight (g) | ||||||
| 0 ppm TR | 36.67 c | 53.33 a | 23.33 e | 37.78 b | 9.333 d | 12.33 abc | 7.00 e | 9.556 c |
| 0.5 ppm TR | 47.00 b | 29.00 d | 34.67 c | 36.89 b | 12.73 ab | 8.333 de | 11.10 c | 10.72 b |
| 1 ppm TR | 55.00 a | 44.67 b | 46.67 b | 48.78 a | 13.57 a | 11.77 bc | 11.47 bc | 12.27 a |
| Mean | 46.22 a | 42.33 b | 34.89 c | 11.88 a | 10.81 b | 9.856 c | ||
| LSD.005 | ||||||||
| IR | 1.8 | 0.8 | ||||||
| TR | 2.0 | 1.0 | ||||||
| IR XTR | 3.2 | 1.5 | ||||||
| Treatments | Root Fresh Weight (g) | Root Dry Weight (g) | ||||||
| 0 ppm TR | 7.667 de | 11.47 a | 5.667 f | 8.267 b | 1.713 e | 3.167 b | 0.92 f | 1.934 c |
| 0.5 ppm TR | 10.00 bc | 6.667 ef | 9.0 cd | 8.556 b | 3.067 b | 1.043 f | 2.057 d | 2.056 b |
| 1 ppm TR | 12.13 a | 9.467 bc | 10.80 ab | 10.80 a | 3.767 a | 2.567 c | 3.017 b | 3.117 a |
| Mean | 9.933 a | 9.200 ab | 8.489 b | 2.849 a | 2.259 b | 1.999 c | ||
| LSD.005 | ||||||||
| IR | 0.83 | 0.1 | ||||||
| TR | 1.0 | 0.1 | ||||||
| IR XTR | 1.4 | 0.2 | ||||||
| Irrigation (IR) | 100% WHC | 80% WHC | 40% WHC | Mean | 100% WHC | 80% WHC | 40% WHC | Mean |
|---|---|---|---|---|---|---|---|---|
| Treatments | Total Soluble Acids % | Fruit Diameter (cm) | ||||||
| 0 ppm TR | 4.4 d | 5.6 bc | 6.0 bc | 5.4 b | 2.4 c–e | 2.07 de | 1.5 e | 1.97 b |
| 0.5 ppm TR | 5.0 cd | 5.8 bc | 6.43 b | 5.7 b | 3.3 bc | 2.7 cd | 1.6 e | 2.5 b |
| 1 ppm TR | 5.67 bc | 6.80 b | 8.03 a | 6.8 a | 4.4 a | 3.9 ab | 3.1 bc | 3.8 a |
| Mean | 5.033 c | 6.17 b | 6.82 a | 3.4 a | 2.8 a | 2.06 b | ||
| LSD.005 | ||||||||
| IR | 0.7 | 0.5 | ||||||
| TR | 0.7 | 0.6 | ||||||
| IR XTR | 1.2 | 0.9 | ||||||
| Treatments | Firmness (kg·m−2) | Fruit Length (cm) | ||||||
| 0 ppm TR | 0.09 e | 0.25 bc | 0.22 b–d | 0.19 b | 3.5 d–f | 3.3 ef | 2.7 f | 3.2 c |
| 0.5 ppm TR | 0.15 de | 0.19 b–d | 0.29 ab | 0.21 ab | 4.6 bc | 3.9 c–e | 2.9 f | 3.8 b |
| 1 ppm TR | 0.19 c–e | 0.22 b–d | 0.38 a | 0.26 a | 5.8 a | 5.2 ab | 4.4 b–d | 5.2 a |
| Mean | 0.146 c | 0.22 b | 0.29 a | 4.6 a | 4.2 a | 3.4 b | ||
| LSD.005 | ||||||||
| IR | 0.05 | 0.58 | ||||||
| TR | 0.06 | 0.6 | ||||||
| IR XTR | 0.09 | 1.1 | ||||||
| Irrigation (IR) | 100% WHC | 80% WHC | 40% WH | Mean | 100% WHC | 80% WHC | 40% WHC | Mean |
|---|---|---|---|---|---|---|---|---|
| Treatments | Total Soluble Acids % | Fruit Diameter (cm) | ||||||
| 0 ppm TR | 4.6 d | 5.3 cd | 5.3 cd | 5.04 c | 3.2 c–e | 3.0 de | 2.4 e | 2.8 c |
| 0.5 ppm TR | 5.03 d | 5.9 bc | 6.6 ab | 5.9 b | 4.3 ab | 4.0 b–d | 2.6 e | 3.5 b |
| 1 ppm TR | 5.3 d | 6.6 ab | 7.3 | 6.4 a | 4.9 a | 5.0 a | 4.1 a–c | 4.6 a |
| Mean | 4.9 c | 5.9 b | 6.4 a | 4.1 a | 3.8 a | 3.1 b | ||
| LSD.005 | ||||||||
| IR | 0.4 | 0.5 | ||||||
| TR | 0.43 | 0.6 | ||||||
| IR XTR | 0.74 | 1.0 | ||||||
| Treatments | Firmness (kg·m−2) | Fruit Length (cm) | ||||||
| 0 ppm TR | 0.13 e | 0.2 cd | 0.23 a–d | 0.1878 b | 3.3 c–e | 2.9 de | 2.4 e | 3.0 b |
| 0.5 ppm TR | 0.18 de | 0.22 b–d | 0.24 a–c | 0.21 b | 4.2 bc | 3.6 cd | 2.50 e | 3.4 b |
| 1 ppm TR | 0.19 cd | 0.270 ab | 0.29 a | 0.25 a | 5.34 a | 4.8 ab | 4.0 bc | 4.7 a |
| Mean | 0.17 b | 0.23 a | 0.25 a | 4.28 a | 3.8 a | 2.9 b | ||
| LSD.005 | ||||||||
| IR | 0.03 | 0.55 | ||||||
| TR | 0.03 | 0.6 | ||||||
| IR XTR | 0.06 | 0.9 | ||||||
Publisher’s Note: MDPI stays neutral with regard to jurisdictional claims in published maps and institutional affiliations. |
© 2022 by the authors. Licensee MDPI, Basel, Switzerland. This article is an open access article distributed under the terms and conditions of the Creative Commons Attribution (CC BY) license (https://creativecommons.org/licenses/by/4.0/).
Share and Cite
El-Beltagi, H.S.; Ismail, S.A.; Ibrahim, N.M.; Shehata, W.F.; Alkhateeb, A.A.; Ghazzawy, H.S.; El-Mogy, M.M.; Sayed, E.G. Unravelling the Effect of Triacontanol in Combating Drought Stress by Improving Growth, Productivity, and Physiological Performance in Strawberry Plants. Plants 2022, 11, 1913. https://doi.org/10.3390/plants11151913
El-Beltagi HS, Ismail SA, Ibrahim NM, Shehata WF, Alkhateeb AA, Ghazzawy HS, El-Mogy MM, Sayed EG. Unravelling the Effect of Triacontanol in Combating Drought Stress by Improving Growth, Productivity, and Physiological Performance in Strawberry Plants. Plants. 2022; 11(15):1913. https://doi.org/10.3390/plants11151913
Chicago/Turabian StyleEl-Beltagi, Hossam S., Shadia A. Ismail, Nadia M. Ibrahim, Wael F. Shehata, Abdulmalik A. Alkhateeb, Hesham S. Ghazzawy, Mohamed M. El-Mogy, and Eman G. Sayed. 2022. "Unravelling the Effect of Triacontanol in Combating Drought Stress by Improving Growth, Productivity, and Physiological Performance in Strawberry Plants" Plants 11, no. 15: 1913. https://doi.org/10.3390/plants11151913
APA StyleEl-Beltagi, H. S., Ismail, S. A., Ibrahim, N. M., Shehata, W. F., Alkhateeb, A. A., Ghazzawy, H. S., El-Mogy, M. M., & Sayed, E. G. (2022). Unravelling the Effect of Triacontanol in Combating Drought Stress by Improving Growth, Productivity, and Physiological Performance in Strawberry Plants. Plants, 11(15), 1913. https://doi.org/10.3390/plants11151913

