Abstract
Biochar has been proven to influence soil hydro-physical properties, as well as the abundance and diversity of microbial communities. However, the relationship between the hydro-physical properties of soils and the diversity of microbial communities is not well studied in the context of biochar application. The soil analyzed in this study was collected from an ongoing field experiment (2019–2024) with six treatments and three replications each of biochar (B1 = 25 t·ha−1 and B0 = no biochar) and nitrogen fertilizer (N1 = 160, N2 = 120 kg·ha−1, and N0 = no fertilizer). The results show that biochar treatments (B1N0, B1N1, and B1N2) significantly improved the soil bulk density and total soil porosity at different depths. The B1N1 treatment substantially enhanced the volumetric water content (VMC) by 5–7% at −4 to −100 hPa suction at 5–10 cm depth. All three biochar treatments strengthened macropores by 33%, 37%, and 41%, respectively, at 5–10 cm depth and by 40%, 45%, and 54%, respectively, at 15–20 cm depth. However, biochar application significantly lowered hydraulic conductivity (HC) and enhanced carbon source utilization and soil indices at different hours. Additionally, a positive correlation was recorded among carbon sources, indices, and soil hydro-physical properties under biochar applications. We can summarize that biochar has the potential to improve soil hydro-physical properties and soil carbon source utilization; these changes tend to elevate fertility and the sustainability of Cambisol.
1. Introduction
In recent years, biochar has been used extensively as a soil conditioner to improve soil quality [1]. Soil physical conditions directly influence soil fertility by determining water retention capacity, aeration, and soil permeability, which tend to improve soil productivity [2]. Several studies indicated that good soil structure, porosity, hydraulic conductivity, and specific gravity created favorable conditions for essential soil microbial growth and enabled the more efficient use of water and nutrients in the soil profile [3,4].
Moreover, the addition of biochar improved nutrient and water retention and increased root growth substantially compared to degraded soils with poor physical properties [5]. Biochar amendment improved soil hydraulic conductivity by decreasing soil bulk density and increasing soil porosity [6]. However, some studies found that biochar has little effect or even negative effects on soil physical properties. Previously, there was no proof to support the claim that biochar amendment influenced soil porosity by direct pore contribution, the creation of accommodation pores, or ameliorations in aggregate stability [7]. The application of biochar lowered pore connectivity and the number of macropores in a wheat–rice rotation system [8]. Such variations signify that the effects of biochar on soil structure and hydraulic properties are unclear.
Numerous reports have stated that biochar application substantially enhances microbial activity in soil [9,10]. In theory, the application of almost antiseptic biochar would dilute the diversity of soil microorganisms [11]. Macropores and the large surface area of biochar tend to contribute to the loss of volatiles during pyrolysis, which creates favorable conditions for soil microbiota in the long term [12]. Previous reports have also indicated a decline in microbial abundance and mycorrhizal diversity with the addition of biochar; these studies specified conditions that depended upon the nitrogen (N) and phosphorus (P) levels in soil [13], due to a lower adverse effect caused by the extreme content of mineral elements in biochar [14,15]. Certainly, microbial abundance is very sensitive to ecological factors such as the physicochemical characteristics of soil [16]. Gul (2016) reported that biochar particles could intervene as an unconventional niche for soil microbes in relation to soil water content, pH, aeration, and other physicochemical properties [17]. Furthermore, it was added that biochar-absorbed organic carbon from the contiguous soil might be directly consumed as an energy source by soil microorganisms [18]. In addressing all these elements, it is necessary to measure the effect of biochar on soil microbial activities with respect to biochar type and soil properties. However, data regarding the mechanisms of how biochar affects microbial diversity and abundance are still lacking. Soil microbes are considered as executors in the soil environment [19], and their distribution, abundance, and diversity are vital to ecosystem resources and soil function [20]. The plate-counting procedure can be employed to count only a low percentage of the entire soil microbial abundance; however, it has also been frequently used and reflects microbial biomass reliably. This is a legitimate procedure for counting the bacteria and organisms with specific functions that can live in artificial media. The diversity of soil microorganisms is another point of interest in the soil ecology context and is considered an indicator of soil health [21].
There are several methods for studying the phylogenetic diversity and abundance of soil microbial communities, which relate to the phospholipid fatty acids of the microbial membranes [22]. Additionally, the correlation between the fingerprint [23] and the environmental factors of the denaturing gradient gel electrophoresis profile can be established by redundancy analysis. Generally, microbial syndicates with high genetic variability have the capacity to consume more diverse carbon (C) sources; this can be evaluated by their community-level physiological profile, which leads to their C metabolic potential. The complex correlation of different soil functions makes analyses difficult [24]. The relationships between the chemical and physical properties of soils amended with biochar and their effects on soil biota are poorly understood. Soil microbial functions and the soil pore structure influence some soil physical properties and determine the retention, transport, and supply of soil moisture and, therefore, crop yield through their interactions [25].
Thus, we hypothesized that a swine-digestate-derived biochar amendment could influence soil microbial diversity and abundance and also the utilization of soil carbon source (SCS) (28 substrates) by influencing the hydro-physical properties of soil. Furthermore, the microbial potential of SCSs may vary in the presence of biochar carbon sources. To test the above hypotheses, we examined the hydro-physical soil properties, microbial abundance, and SCS utilization of biochar-amended loamy Cambisol (sand (2.0–0.05 mm), 50.1%; silt (0.05–0.002 mm), 31.1%; and clay (<0.002 mm), 18.8%) under moderate climatic conditions.
2. Materials and Methods
2.1. Biochar and Soil
Swine manure digestate was collected from an active animal farm. The manure digestate was air-dried for 48 h and manually ground. The feedstocks were pyrolyzed at 550 °C in a cylindrical furnace for 5–6 h under anaerobic conditions to produce biochar [26]. The performance of the feedstock during thermal decomposition was tested through thermo-gravity analysis (TGA) with a thermal analyzer, namely the Netzsch Jupiter STA 449 F3, at the Lithuanian Energy Institute [27]. During the TGA process, the pyrolysis process was applied, with a 35 °C/min heating rate in the temperature range 40–900 °C with 9.6 ± 0.32 of the feedstock sample. To create an inert atmosphere, N2 carrier gas (60 mL/min) was used. Endocalcari-epihypogleyic Cambisol soil (WRB, 2014) was used in this study; it was obtained from 0 to 20 cm depth in a farmland field of the Institute of Agriculture (55°23′49″ N and 23°51′40″ E) at the Lithuanian Research Centre for Agriculture and Forestry. The soil samples were air-dried, homogenized, and meshed through a 2 mm sieve before use, and the physicochemical properties of the soil and biochar are given in Table 1.
Table 1.
Physicochemical characteristics of the soil and biochar under experimental trial.
2.2. Experimental Design
A three-factorial randomized complete block design (RCBD) field experiment was designed with six treatments and three replications each. The combination of the treatments was as follows: B0N0 (no biochar + no Nitrogen fertilizer), B0N1 (no biochar + 160 kg·ha−1 Nitrogen fertilizer), B0N2 (no biochar + 120 kg·ha−1 Nitrogen fertilizer), B1N1 (25 t·ha 25 t·ha−1 biochar + 160 kg·ha−1 Nitrogen fertilizer), B1N2 (25 t·ha 25 t·ha−1 biochar + 120 kg·ha−1 Nitrogen fertilizer), and B1N0 (25 t·ha−1 biochar + no Nitrogen fertilizer). Ammonium nitrate was used as an N fertilizer. The biochar was broadcast and shallowly incorporated into the soil surface during pre-sowing tillage. The main crop was spring barley (Hordeum vulgare L.), which was sown in April 2020 and harvested in August 2020. The weather conditions at the experimental site are given in Figure 1 and were obtained from a meteorological station located 0.5 km away from the experimental site.
Figure 1.
Monthly mean temperature and precipitation at the experimental site during the period 2019–2020.
2.3. Chemical Analysis
The physicochemical properties of the biochar and soil were analyzed by standard laboratory methods. Soil and biochar (pH) and EC analyses were performed using a 1:5 (vol vol−1) soil mixture in a 1 M KCl solution [28] and an extract to distilled water [29], respectively. Cation exchange capacity was determined with an updated ammonium-acetate method [30]. Inductively coupled plasma atomic emission spectrometry (Perkin Elmer ICP-OES, Waltham, MA, USA) was used for measuring the DTPA extractable nutrients P, K, Ca, and Mg [31]. The contents of total nitrogen (TN), available phosphorus (PA-L), and potassium (KA-L) were measured using a reference method [32]. The data for biochar ash content, moisture, volatiles, and residual mass were obtained from TGA.
2.4. Hydro-Physical Soil Analysis
For the analysis of soil water retention characteristics and pore-size distribution, undisturbed soil samples were taken in stainless steel cylinders (51 mm high and 53 mm in diameter) from each treatment. Water retention properties were studied at −4, −10, −30, and −100 hPa (in a sand box) and at −300 hPa (in a sand–kaolin box). Water content was determined at −15,500 hPa of suction using sieved soil samples [33]. The water content levels at −100 hPa and at −15,500 hPa were considered the field capacity (FC) and the permanent wilting point (WP), respectively. The amount of water between these two suctions was regarded as plant-available water (PAW) content. Soil cores were stored in the refrigerator at a constant temperature (2 °C). The same samples were used for the analysis of soil bulk density (BD), total air-filled porosity, and saturated hydraulic conductivity. HC was determined with a laboratory permeameter (Eijkelkamp, The Netherlands) by the constant head method [34].
2.5. Microorganism Community-Level Substrate Utilization Pattern Analysis Using Biolog® Ecoplate
The Biolog system and the Biolog® EcoPlate procedure were used to determine 31 types of carbon and the metabolic functional diversity of soil microorganisms; this system was particularly meant for community analysis and microbial environmental research [35]. For this purpose, fresh soil samples were collected from each plot. Samples were air-dried, ground, and meshed through a 2 mm sieve. A 10 g dried soil sample was collected from each treatment and mixed with 90 mL of distilled water in a 250 mL flask at 250 rpm for 30 min in the rotary shaker. From each 10–3 diluted suspension, 150 μL was added into a 96-well Biolog® EcoPlate (Biolog, Hayward, CA, USA); these samples comprise three replications of 31 widely useful carbon sources, and one was regarded as a control treatment (without a C source). Data for the absorbance-incubated plates were recorded at 590 nm (dual-wavelength data: OD590–OD750) every 24 h at 25 °C for periods of 24, 48, 72, and 96 h [36]. The resulting data of each well, i.e., the color changes from the carbon utilization of the soil microbes, were investigated in Microlog 4.01. For the estimation of the integral fingerprinting of carbon source utilization, the average well color development (AWCD) was used for each microplate well per reading time [37]. The EcoPlate readings at 15 d were used to analyze the Shannon index (H), richness (S), Simpson index (D), and McIntosh index (U), which evaluated the diversity, richness, number, and evenness of the soil microbes, respectively [38].
2.6. Calculation of the Species Diversity Indices
Species richness is regarded as the number of species in a sample, whereas the distribution of individuals among the recorded species is considered species evenness. The information needed to describe every species of the community is known as Shannon’s index; it is calculated using the following Equation (1):
where s is the total number of species and is the proportion of all individuals in the sample that belongs to species i.
Simpson’s index (D) assesses the contingency that two species randomly chosen from a sample belong to the same species. See Equation (2):
where n represents the total number of organisms of a specific species and N is the total number of organisms of all species.
Species richness (R) is regarded as the number of species in a particular area and is calculated using the following Equation (3):
where N = the total number of individuals in the sample and S = the number of species recorded, and U is represented by Expression 4, also known as the Mclntosh index:
where n (i) represents the number of individuals in the ith species, the sum is that of all the species, and U is the Euclidean distance of the community from the origin [39].
Species evenness, described by Magurran (1988) [40] as another index of diversity, is calculated using the diversity index, as in Equation (5):
where H’ = Shannon’s index and Hmax = lnS, where S is the number of species present in the community.
2.7. Statistical Analysis
Three-way analysis of variance (ANOVA) was used to compare the effects of factors A (25 t·ha 25 t·ha−1 biochar and without biochar), B (160 kg·ha−1, 120 kg·ha−1, and without N fertilizer), and C (depths 5–10 and 15–20 cm; timing 24, 48, 72, and 90 h) and their interactions on the soil hydro-physical properties, carbon sources, and indices. The homogeneity of variances was tested with Levene’s test. Normality was assessed with the Shapiro―Wilk and Durbin―Watson tests. A post-hoc Tukey HSD test was used to analyze the differences between treatments. Pearson’s correlation coefficients were calculated to explore the interrelations between and within the hydro-physical properties and soil microbial abundance and also between B0 and B1 under N0, N1, and N2 conditions. The Pearson’s correlation analysis was performed using the corrplot package in R [41]. Redundancy analysis (RDA) was used to compare the interrelations between the carbon sources and soil physical properties. RDA analysis was performed with the vegan package in R [42]. The Pearson’s correlation analysis (PCA) was performed with the PCA package in R [43]. All statistical analyses were performed using SPSS v. 25.0 (IBM Inc., Armonk, NY, USA). Sigma Plot v. 12.2 (Systat Software Inc., San Jose, CA, USA) was used for graphical representation.
3. Results
3.1. Soil Bulk Density and Total Porosity
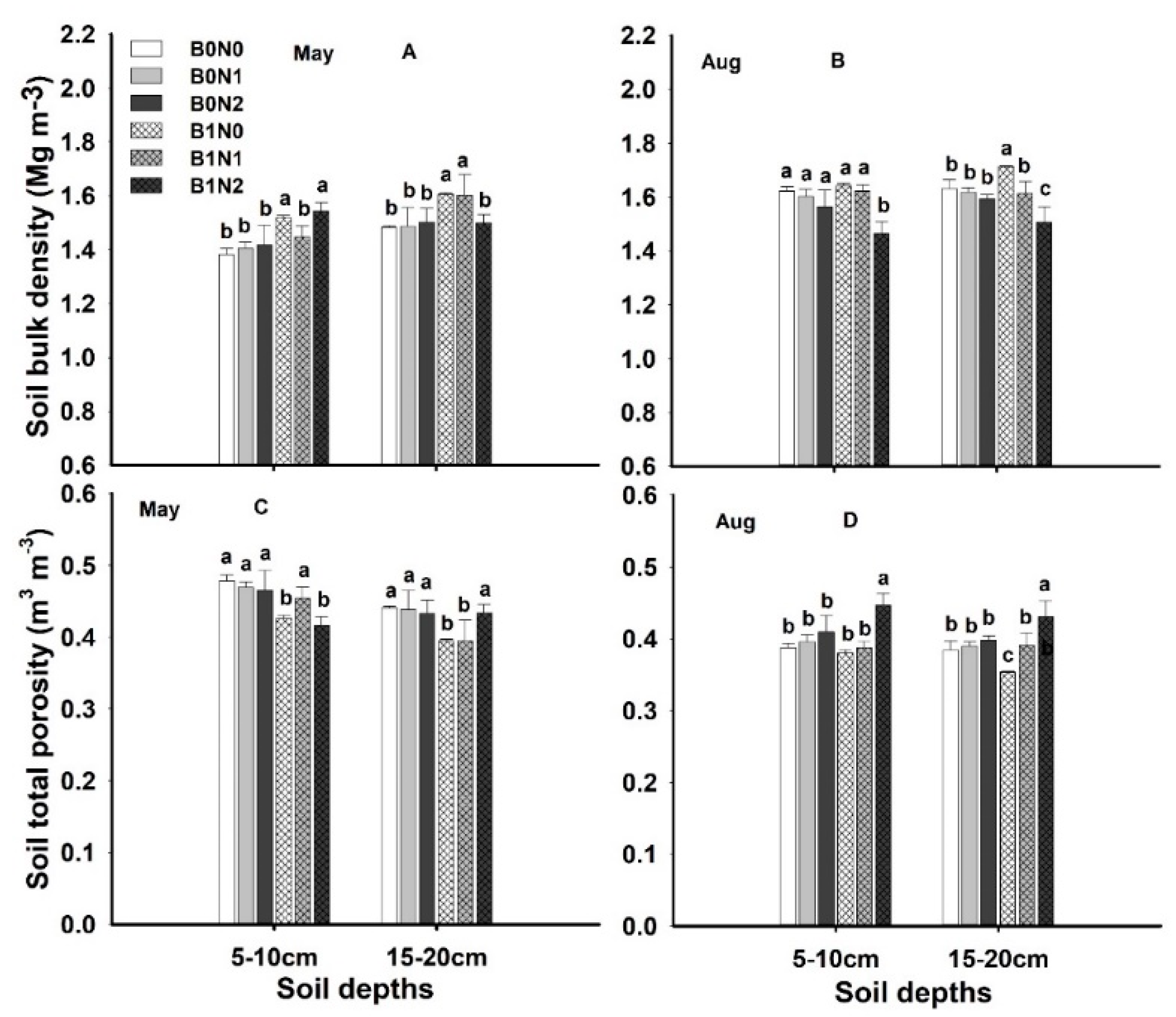
Dry soil bulk density and total soil porosity in the investigated treatments during the month of May and August are summarized in Figure 2. The application of 25 t·ha−1 of biochar alone (B1N0) and biochar with 120 kg·ha−1 of N fertilizer (B1N2) significantly (p = ≤0.05) enhanced soil BD by 10–12% at 5–10 cm soil depth in the month of May (Figure 2A); in August, biochar alone and biochar with 160 kg·ha−1 of N fertilizer (B1N1) significantly (≤0.05) enhanced soil BD by 8–10% compared to non-biochar treatments (Figure 1B). Similarly, treatments B1N0 and B1N1 substantially (p = ≤0.05) increased soil BD at 15–20 cm depth by 9–10% in May compared to non-biochar treatments, whereas, in August, treatment B1N0 at 15–20 cm soil depth significantly (p = ≤0.05) increased soil BD compared to other treatments (Figure 2A). Soil porosity was recorded as being substantially (p = ≤0.05) higher in non-biochar treatments at 5–10 cm depth in May (Figure 2C); however, in August, 25 t·ha 25 t·ha−1 of biochar with 120 kg·ha−1 of N fertilizer significantly (p = ≤0.05) increased soil porosity at both 5–10 cm and 15–20 cm depths by 17% and 15%, respectively, compared to non-biochar treatments (Figure 2D). Factors A, B, and A*B showed significant (p = ≤0.05) impacts on soil BD and TP, whereas factor A*B*C recorded non-substantial results. Thus, the overall effect of biochar with and without N fertilizer was positive with respect to BD and TP.
Figure 2.
Effect of different treatments onsoil bulk density (B,D), (A) in May at 5–10 cm and 15–20 cm depth, (B) in August at 5–10 cm and 15–20 cm depth, and total soil porosity (C) in May at 5–10 cm and 15–20 cm depth, (D) in August at 5–10 cm and 15–20 cm depth. The letters a, b, c indicate statistically significant difference at p < 0.05.
3.2. Volumetric Soil Water Content
In our current study, the volumetric soil water content (VWC) at −4 to −100 hPa suction at 5–10 cm depth was recorded as being higher (5–7%) under the application of 25 t·ha 25 t·ha−1 of biochar and 160 kg·ha−1 of N fertilizer (B1N1) compared to other treatments. Field capacity (FC) and wilting point (WP) at −100 hPa to −15,500 hPa suction at 5–10 cm and 15–20 cm depths under biochar treatments were enhanced by 9–11% compared to non-biochar treatments (Figure 3A,B). However, soil FC and WP at 5–10 cm and 15–20 cm depths were significantly (p ≤ 0.05) higher (12–15%) after treatments B1N2 and B1N1 compared to the other treatments (Figure 3C,D). The factorial interactions (A*B and A*B*C) showed non-significant variations among all the treatments; only factors A and B significantly (p ≤ 0.05) enhanced VWC. This reflects the fact that biochar application has the potential to enhance VWC in soil.
Figure 3.
Effect of different treatments on VWC (volumetric water content), FC (field capacity), and WP (plant wilting point) (A) in May at 5–10 cm depth, (B) in May at 15–20 cm depth, (C) in August at 5–10 cm depth, (D) in August at 15–20 cm depth.
The application of biochar increased the soil macropores at both the 5–10 cm and 15–20 cm depths. Three applications, namely 25 t·ha 25 t·ha−1 of biochar with 120 kg·ha−1 of N fertilizer (B1N2), 25 t·ha 25 t·ha−1 biochar alone (B1N0), and 25 t·ha 25 t·ha−1 of biochar with 160 kg·ha−1 of N fertilizer (B1N1), substantially (p = ≤0.05) enhanced macropores by 33.33%, 37.5%, and 41.17%, respectively, at the 5–10 cm depth. The same trend was recorded at the 15–20 cm soil depth, where the above treatments enhanced soil macropores by 40%, 45.45%, and 53.84%, respectively. However, no significant effect was recorded on mesopores or micropores (Figure 4A).
Figure 4.
Effect of different treatments on pore size distribution (macropores, mesopores, and micropores) (A) in May, at 5–10 cm and 15–20 cm depths, (B) in August at 5–10 cm and 15–20 cm depths for B0N0 (without biochar or N fertilization); B0N1 (without biochar and with 160 kg·ha−1 N); B0N2 (without biochar and with 120 kg·ha−1 N); B1N0 (biochar 25 t·ha 25 t·ha−1 only); B1N1 (biochar 25 t·ha−1 and 160 kg·ha−1 N); and B1N2 (biochar 25 t·ha−1 and 120 kg·ha−1 N. The letters a–e indicate statistically significant difference at p < 0.05.
Biochar application had no substantial impact on soil pore distribution at either the 5–10 or 15–20 cm depths (Figure 4B). However, 120 kg·ha−1 of N fertilizer application significantly (p ≤ 0.05) enhanced soil macropores compared to all other treatments at both the 5–10 and 15–20 cm depths. Factors A, B, A*B, and A*B*C substantially (p ≤ 0.05) enhanced soil macropores by 30–40%, and the results recorded were non-significant for the rest factors. Thus, swine-digestate-derived biochar with and without N fertilizer application had a positive effect on soil macropores.
Biochar application significantly (p ≤ 0.05) reduced the HC of soil by 35–40% at the 5–10 cm soil depth compared to the non-biochar treatments. However, biochar did not affect HC at the 15–20 cm soil depth (Figure 5). The antilog of K of the soil varied during the entire season and ranged from 2.5 to 3.3% in May and from 2.6 to 4.7% in August. However, certain factorial interactions (B and A*B*C) recorded non-significant variations. Thus, among all the treatments, factors A and A*B showed substantial (p ≤ 0.05) effects on soil HC.
Figure 5.
Effect of different treatments on soil hydraulic conductivity. B0N0 (without biochar or N fertilization); B0N1 (without biochar and with 160 kg·ha−1 N); B0N2 (without biochar and with 120 kg·ha−1 N); B1N0 (biochar 25 t·ha−1 only); B1N1 (biochar 25 t·ha−1 and 160 kg·ha−1 N); and B1N2 (biochar 25 t·ha−1 and 120 kg·ha−1 N) at two different depths (5–10 cm and 15–20 cm) and times (May and August). The letters a, b, c indicate statistically significant difference at p < 0.05.
3.3. Soil Carbon Sources
The results suggest that the SCS utilization rate was significant and directly proportional to microbial growth (Figure 5). Carboxylic acid was the leading SCS utilized, and amines were the least-utilized carbon source. The overall utilization of all the SCSs was increased in biochar-treated soil compared to non-biochar treatments, e.g., B1N1 enhanced carbohydrates by 24.1%, B1N0 enhanced carboxylic acid by 32.8%, B1N0 enhanced amino acids by 23.2%, and B1N1 enhanced amines by 6.5% (Figure 6). Among the factorial interactions, factors A, B, and A*B showed significantly (p ≤ 0.05) enhanced SCS utilization.
Figure 6.
Effect of different treatments on the average mean of soil carbon sources. B0N0 (without biochar or N fertilization); B0N1 (without biochar and with 160 kg·ha−1 N); B0N2 (without biochar and with 120 kg·ha−1 N); B1N0 (biochar 25 t·ha−1 only); B1N1 (biochar 25 t·ha−1 and 160 kg·ha−1 N); and B1N2 (biochar 25 t·ha−1 and 120 kg·ha−1 N).
3.4. Soil Microbiological Activity
According to all of the diversity indices (average well color development (AWCD), richness (R), and the McIntosh Index (U)) analyzed for the samples incubated in the Biolog EcoPlate for 96 h, higher biodiversity rates were recorded in biochar-treated soil (Figure 7). However, treatment with B0N1 also significantly (p ≤ 0.05) enhanced soil biodiversity. Soil biodiversity was characterized by high metabolic activity. Initially, at 24 and 48 h, treatment with B0N1 and B1N0 substantially (p ≤ 0.05) enhanced the AWCD rate by 50 and 59%, respectively, compared to the control treatment. Later on, at 72 and 96 h, treatment with B0N1 and B1N2 also significantly (p ≤ 0.05) enhanced AWCD by 55–60% compared to the control treatment (Figure 6). Similarly, the R index rate was significantly (p ≤ 0.05) enhanced from 24–96 h for the treatments B0N1, B1N0, B1N1, and B1N2; the rate increased by 20–35% compared to the control treatment. The U index recorded was significantly (p ≤ 0.05) lower from 24 to 96 h for treatment B1N2; it was 20–30% lower compared to the control treatment (Figure 6). Carbohydrates, amines, and miscellaneous (MS) followed the same trend as that of the R index and were significantly influenced under biochar application. Factorial interactions (A, B, and A*B) significantly (p ≤ 0.05) increased soil microbial activity, whereas factor A*B*C recorded non-significant results.
Figure 7.
Effect of different treatments on soil carbon sources (A) Average well color development (AWCD), (B) Richness (R), (C) Mclntosh index (U), (D) Carbohydrates, (E) Amines, (F) Miscellaneous; B0N0 (without biochar or N fertilization); B0N1 (without biochar and with 160 kg·ha−1 N); B0N2 (without biochar and with 120 kg·ha−1 N); B1N0 (biochar 25 t·ha−1 only); B1N1 (biochar 25 t·ha−1 and 160 kg·ha−1 N); B1N2 (biochar 25 t·ha−1 and 120 kg·ha−1 N) at different times (24, 48, 72, and 96 h). The letters a, b, c, indicate statistically significant difference at p < 0.05.
3.5. Correlation between Soil Physical Properties and Carbon Sources
Looking at the trait interrelations between N0 (Figure 8A), N1 (Figure 8B), and N2 (Figure 8C) under B0 conditions, BD was found to be significantly positively correlated, while TP was significantly negatively correlated to amino acids under B0N0 conditions and had no correlation recorded under B0N1 or B0N2. Similarly, BD was substantially positively correlated, and TP was significantly negatively correlated, to amines under B0N1. In contrast, BD was significantly negatively correlated, and TP was significantly positively correlated, to the antilog of K under B0N0 and B0N1 conditions. FC was substantially positively correlated to R and H under B0N0 and B0N2 conditions and significantly positively correlated to amino acids under B0N0 conditions and to amines under B0N1 conditions. PAW was significantly positively correlated to CH and amino acids under B0N0 conditions and significantly positively correlated to amines under B0N1 conditions and to U under B0N2 conditions. Macropores were found to be significantly negatively correlated to amino acids under B0N0 conditions and to amines under B0N1 conditions. Micropores were found to be significantly positively correlated to amino acids under B0N0 conditions and to amines under B0N1 conditions. AWCD was found to be significantly positively correlated to polymers and amino acids and significantly negatively correlated to the antilog of K under B0N1 conditions.
Figure 8.
Heatmap correlations under different treatments (A) B0N0 (without biochar and N fertilization); (B) B0N1 (Without Biochar and 160 kg·ha−1 N); (C) B0N2 (Without Biochar and 120 kg·ha−1 N fertilization); (D) B1N0 (Biochar 25 t·ha−1 only); (E) B1N1 (Biochar 25 t·ha−1 and 120 kg·ha−1 N); (F) B1N2 (Biochar 25 t·ha−1, 160 kg·ha−1 N) for bulk density (BD), total porosity (TP), field capacity (FC), plant-available water (PAW), average well color development (AWCD), richness (R), the Shannon index (H), the Simpson index (D), the Mclntosh index (U), carbohydrates (CH), carboxylic acid (CA), miscellaneous (MS), hydraulic conductivity (HC). Note: Significant (p < 0.05) negative (red color) and positive (blue color) correlations between different soil carbon sources and soil physical properties are identified by color (−1.0 to +1.0); non-significant correlations are omitted.
With the addition of biochar treatments, the trait interrelations between N0 (Figure 8D), N1 (Figure 8E), and N2 (Figure 8F) revealed that BD was significantly positively correlated, while TP was significantly negatively correlated, to R, H, amino acids, and MS under B1N0 conditions. FC was significantly positively correlated to R and H under B1N0 conditions. PAW was significantly positively correlated to MS under B1N1 conditions. Macropores were found to be significantly negatively correlated to R and H under B1N0 and B1N1 conditions, while under B1N0 conditions, they were significantly positively correlated to mesopores and significantly negatively correlated to CH, polymers, and amino acids. Mesopores were found to be significantly negatively correlated to micropores, AWCD, R, H, U, CH, and amines under B1N0 conditions. Macropores were found to be significantly positively correlated to CH, amino acids, and amines under B1N0 conditions. AWCD, R, and H were found to be significantly positively correlated to MS under B1N1 conditions and significantly negatively correlated to the antilog of K under B1N2 conditions. D was found to be significantly negatively correlated to CA and polymers and significantly positively correlated to MS under B1N2 conditions. U and CH were significantly negatively correlated to the antilog of K under B1N2 conditions. CH was significantly negatively correlated to HC under B1N1 conditions. Polymers, amino acids, amines, and MS were found to be significantly negatively correlated to the antilog of K under B1N2 conditions. Amino acids were significantly positively correlated to MS under B1N0 conditions.
3.6. Principal Component Analysis
The purpose of employing principal component analysis (PCA) was to compare biochar and characterize the associations between the hydro-physical properties, SCSs, and indices. According to PCA, the two axes of PCA explained 90.4% and 4.3% of the total variations, respectively. MS, CH, amino acids, U, R, micropores, AWCD, and H were relatively clustered together. Likewise, polymers, amines, and CA were relatively clustered together. TP and macropores clustered together (Figure 9).
Figure 9.
Pearson’s correlations for bulk density (BD), total porosity (TP), field capacity (FC), plant-available water (PAW), average well color development (AWCD), richness (R), the Shannon index (H), the Simpson index (D), the Mclntosh index (U), carbohydrates (CH), carboxylic acid (CA), miscellaneous (MS), and hydraulic conductivity (HC) under different treatments, i.e., B0N0 (without biochar or N fertilization); B0N1 (without biochar and with 160 kg·ha−1 N); B0N2 (without biochar and with 120 kg·ha−1 N); B1N0 (biochar 25 t·ha−1 only); B1N1 (biochar 25 t·ha−1 and 160 kg·ha−1 N); and B1N2 (biochar 25 t·ha−1 and 120 kg·ha−1 N).
4. Discussion
4.1. Biochar Effect on Soil Hydro-Physical Properties
Current results revealed a significant decrease in BD under 25 t·ha−1 of biochar with fertilizer application (Figure 1). There were several reasons for the soil BD reduction that are associated with biochar properties such as active large surface area, particle size, porosity, as well as soil properties [44]. Additionally, biochar has the ability to form soil pores in combination with soil particles, which results in a decrease in BD [45]. Šimanský et al. (2018) [46] reported that a 20 t·ha−1 biochar application significantly improved the soil structure compared to the control treatment, even though no significant improvement in the soil structure was recorded for a low-dose biochar application (10 t·ha−1). Biochar and other organic matter have the potential to improve the physical condition of the soil [47,48]. Figure 2 shows the significant improvement in TP. Biochar particles contain hydroxyl and carboxyl groups on their surfaces that enable soil organic particles and minerals to form a soil structure [49,50]. Biochar acts as a substrate for soil fauna that, when mixed with the soil particles in earthworms’ digestive tracts, produce coprolites that improve soil porosity and ultimately lead to lower BD [45,51].
The results indicated that the soil water content varied significantly and was substantially enhanced under biochar application with hPa suction at different depths (Figure 2). The reason for such variation could be rainfall and drought conditions [52]. In another study, it was reported that the soil water potential under biochar application tended to increase during the wheat-growing period [53]. They attributed this to biochar, which enhanced soil evaporation and tended to increase the soil temperature. Additionally, biochar significantly increased the soil’s water-holding capacity due to the fact that its large surface area tended to enhance the volumetric water content of soil [45]. In line with the results of our study, Claire L. Phillips reported that 9−36 Mg ha−1 of conifer-wood- and wheat-straw-derived biochar both significantly enhanced soil porosity, which tended to substantially enhance soil volumetric water content and soil field capacity [54].
In the current study, swine-digestate manure-derived biochar significantly increased soil macropores but had no effect on meso- or micro-porosity at both of the depths recorded (Figure 3). Biochar amendment had a direct effect on soil porosity due to the high porosity of biochar and its other physical properties [55,56]. Additionally, the increase in soil microporosity could be attributed to the higher rate of biochar amendment. However, an increase in a certain level of biochar restricts the rate, affecting the soil pore size distribution [57,58]. Due to various amounts of soil organic carbon (SOC) in aggregate fractions, macropores are richer in SOC content [59]. Biochar substantially enhanced soil porosity, but the mechanisms still remain unknown. It was reported in a study that biochar application indirectly enhanced the macropore fraction, but the soil contained <3% of biochar internally, which could not explain the increase in porosity [60].
Soil hydraulic conductivity allows soil to transmit water and influences every soil, depending upon soil type and the amount of mineral and organic content in the soil [61]. In this study, soil HC increased in biochar-treated soil by 35–40% compared to non-biochar treatments (Figure 5). The increase in soil HC was influenced by the particle sizes of biochar and the soil [62]; thus, it could be attributed to biochar amendment due to the fact that the particle sizes of biochar were larger than those of the soil at the experimental site [45]. Similarly, in another study, it was stated that soil HC might be influenced by improved soil structure and by biochar having greater particle sizes than the soil, and vice versa [63,64]. However, several factors were involved in measuring the value of the antilog of K, e.g., soil pores, aeration within soil pores, etc. [45], due to which some of the values of the antilog of K 15–20 cm depths were non-significant.
4.2. Biochar Effect on Soil Carbon Sources and Indices
Figure 6 and Figure 7 reveal the utilization trends of six major kinds of substrate guilds. The carbohydrate consumption capacity in the soil was recorded as being higher. Moreover, amino acids, carboxylic acids, polymers, amines, etc., were consumed much more extensively, and there was a significant SCS utilization trend recorded. These results imply that biochar with organic N fertilizer can increase the utilization of SCS, which tends to increase soil microbial diversity [65]. Higher diversity often increases the consumption of different substrates compared to deep soil, where microbial diversity is restricted [66,67]. Additionally, it is indicated that the soil depth gradient reduced both nutrient availability and the oxygen rate, which had a negative effect on soil bacteria and the regulation of their metabolic process [68,69]. The average well color development (AWCD) is a vital index of soil microbiota usage of carbon sources and reflects the physiological functions of soil microbial diversity [69,70]. Thus, it may be proposed that some of the selected C-source consumption may have a positive influence on microbial functional diversity and their metabolic activity in soil.
Under non-biochar treatments, the following correlations were found to be negative; TP and macropores to amino acids and amines under B0N0 and B0N1 conditions, respectively. BD and AWCD to HC under B0N0 and B0N1 conditions (Figure 8A–C). These negative correlations may be attributed to the lack of organic matter and carbon concentration [71,72]. In contrast, under biochar-treated soil, the following correlations were recorded as positive: macropores, FC, and BD to R, H, CH, amino acids, amines, and MS under B1N0 conditions. Amino acids were significantly and positively correlated to MS under B1N0 conditions (Figure 7D–F). Several studies reported that biochar application exerted positive priming effects by stimulating the soil’s organic carbon content, which built a strong correlation with soil physicochemical properties [73,74].
5. Conclusions
The conclusions of this study are as follows:
- Biochar alone and applied with 160 kg·ha−1 and 120 kg·ha−1 of N fertilizer significantly reduced soil BD and enhanced TP, as well as substantially enhanced soil macropores at both studied depths during August. Thus, swine-digestate manure-derived biochar may be a useful amendment to soil facing the problem of high BD and low TP, as well as in compacted soil with lower soil porosity.
- Biochar with 160 kg·ha−1 of N fertilizer substantially increased VWC at the 5–10 cm depth at −4 to −100 hPa suction, whereas at higher suction (−100 hPa to −15,500 hPa), both field capacity and the wilting point of soil were recorded as being higher at both the 5–10 and 15–20 cm depths. Thus, biochar application may be helpful in drought conditions to enhance soil water content.
- Biochar with and without N fertilizer application significantly lowered soil hydraulic conductivity by 35–40% at the 5–10 cm depth compared only to the non-biochar treatments. Thus, swine-digestate manure-derived biochar may substantially improve water transmission within the topsoil layer.
- Biochar amendment may substantially enhance carbon source utilization, which tends to enhance soil microbial activity and was positively correlated in this study. Carboxylic acid was the leading SCS utilized, and amines were the least-utilized carbon source. The overall utilization of all SCSs was increased in biochar-treated soil compared to non-biochar treatments. According to all of the diversity indices (e.g., average well color development (AWCD) and richness (S)) analyzed in the Biolog EcoPlate incubated for 96 h, with the exception of the Mclntosh Index (U), higher biodiversity rates were recorded in biochar-treated soil and with the B0N1 treatment. However, the U index was recorded as being significantly lower from 24 to 96 h under treatment with B1N2; it was 20–30% lower compared to the control treatment. This study summarized that swine-digestate manure-derived biochar, both with and without N fertilizer, may be a useful amendment; depending upon the type of soil and the environmental factors, it may be useful in improving hydro-physical properties and microbial abundance.
Author Contributions
All authors contributed to this research paper. M.A. conceived the article; performed the practical research and the literature search; handled data preparation, analyses, and figures; and wrote the first draft. D.F., V.F., and V.T. critically revised the work and contributed to writing and editing; E.B.-G. and A.K. helped with biochar preparation and contributed to the article’s conception, critical revision, and editing of drafts. All authors have read and agreed to the published version of the manuscript.
Funding
This research received no external funding.
Institutional Review Board Statement
Not applicable.
Informed Consent Statement
Not applicable.
Data Availability Statement
All datasets generated for this study are included in the article.
Conflicts of Interest
The authors declare that the research was conducted in the absence of any commercial or financial relationships that could be construed as potential conflicts of interest.
References
- Abdullah, R.; Osman, N.; Yusoff, S.; Mohd Yusof, H.; Halim, A.; Sa’adah, N.; Mohd Rosli, N.S. Effects of palm kernel biochar and food waste compost on the growth of palm lily (Cordyline fruticosa), coleus (Coleus sp.), and boat lily (Rhoeo discolor). Appl. Ecol. Environ. Res. 2021, 19, 205–218. [Google Scholar] [CrossRef]
- Page, K.L.; Dang, Y.P.; Dalal, R.C. The ability of conservation agriculture to conserve soil organic carbon and the subsequent impact on soil physical, chemical, and biological properties and yield. Front. Sustain. Food Syst. 2020, 4, 31. [Google Scholar] [CrossRef] [Green Version]
- Rostami, S.; Jafari, S.; Moeini, Z.; Jaskulak, M.; Keshtgar, L.; Badeenezhad, A.; Azhdarpoor, A.; Rostami, M.; Zorena, K.; Dehghani, M. Current methods and technologies for degradation of atrazine in contaminated soil and water: A review. Environ. Technol. Innov. 2021, 24, 102019. [Google Scholar] [CrossRef]
- Singh, Y.; Choudhary, R.L.; Chaudhary, A.; More, N.; Singh, N.P. Impact of Conservation Agriculture and Residue Management on Soil Properties Under Sugarcane-Based Cropping Systems. In Conservation Agriculture: A Sustainable Approach for Soil Health and Food Security; Springer: Berlin/Heidelberg, Germany, 2021; pp. 239–266. [Google Scholar]
- Adekiya, A.O.; Olayanju, T.M.A.; Ejue, S.W.; Alori, E.T.; Adegbite, K.A. Contribution of Biochar in Improving Soil Health. In Soil Health; Springer: Berlin/Heidelberg, Germany, 2020; pp. 99–113. [Google Scholar]
- Zhou, H.; Fang, H.; Zhang, Q.; Wang, Q.; Chen, C.; Mooney, S.J.; Peng, X.; Du, Z. Biochar enhances soil hydraulic function but not soil aggregation in a sandy loam. Eur. J. Soil Sci. 2019, 70, 291–300. [Google Scholar] [CrossRef]
- Hardie, M.; Clothier, B.; Bound, S.; Oliver, G.; Close, D. Does biochar influence soil physical properties and soil water availability? Plant Soil 2014, 376, 347–361. [Google Scholar] [CrossRef]
- Fan, R.; Zhang, B.; Li, J.; Zhang, Z.; Liang, A. Straw-derived biochar mitigates CO2 emission through changes in soil pore structure in a wheat-rice rotation system. Chemosphere 2020, 243, 125329. [Google Scholar] [CrossRef]
- Jabborova, D.; Wirth, S.; Halwani, M.; Ibrahim, M.F.M.; El Azab, I.H.; El-Mogy, M.M.; Elkelish, A. Growth response of Ginger (Zingiber officinale), its physiological properties and soil enzyme activities after biochar application under greenhouse conditions. Horticulturae 2021, 7, 250. [Google Scholar] [CrossRef]
- Zhang, Q.; Li, S.; Saleem, M.; Ali, M.Y.; Xiang, J. Biochar and earthworms synergistically improve soil structure, microbial abundance, activities and pyraclostrobin degradation. Appl. Soil Ecol. 2021, 168, 104154. [Google Scholar] [CrossRef]
- Yin, D.; Li, H.; Wang, H.; Guo, X.; Wang, Z.; Lv, Y.; Ding, G.; Jin, L.; Lan, Y. Impact of Different Biochars on Microbial Community Structure in the Rhizospheric Soil of Rice Grown in Albic Soil. Molecules 2021, 26, 4783. [Google Scholar] [CrossRef]
- Leng, L.; Xiong, Q.; Yang, L.; Li, H.; Zhou, Y.; Zhang, W.; Jiang, S.; Li, H.; Huang, H. An overview on engineering the surface area and porosity of biochar. Sci. Total Environ. 2021, 763, 144204. [Google Scholar] [CrossRef]
- Warnock, D.D.; Mummey, D.L.; McBride, B.; Major, J.; Lehmann, J.; Rillig, M.C. Influences of non-herbaceous biochar on arbuscular mycorrhizal fungal abundances in roots and soils: Results from growth-chamber and field experiments. Appl. Soil Ecol. 2010, 46, 450–456. [Google Scholar] [CrossRef]
- Jiang, L.; Han, G.; Yu, L.A.N.; Liu, S.; Gao, J.; Xu, Y.; Jun, M.; Chen, W. Corn cob biochar increases soil culturable bacterial abundance without enhancing their capacities in utilizing carbon sources in Biolog Eco-plates. J. Integr. Agric. 2017, 16, 713–724. [Google Scholar] [CrossRef] [Green Version]
- Ayaz, M.; Feizien, D.; Tilvikien, V.; Akhtar, K.; Stulpinait, U. Biochar Role in the Sustainability of Agriculture and Environment. Sustainability 2021, 13, 1330. [Google Scholar] [CrossRef]
- Quilliam, R.S.; Glanville, H.C.; Wade, S.C.; Jones, D.L. Life in the ‘charosphere’–Does biochar in agricultural soil provide a significant habitat for microorganisms? Soil Biol. Biochem. 2013, 65, 287–293. [Google Scholar] [CrossRef]
- Gul, S.; Whalen, J.K. Biochemical cycling of nitrogen and phosphorus in biochar-amended soils. Soil Biol. Biochem. 2016, 103, 1–15. [Google Scholar] [CrossRef]
- Thies, J.E.; Rillig, M.C.; Graber, E.R. Biochar effects on the abundance, activity and diversity of the soil biota. Biochar Environ. Manag. Sci. Technol. Implement. 2015, 2, 327–389. [Google Scholar]
- Hou, Q.; Zuo, T.; Wang, J.; Huang, S.; Wang, X.; Yao, L.; Ni, W. Responses of nitrification and bacterial community in three size aggregates of paddy soil to both of initial fertility and biochar addition. Appl. Soil Ecol. 2021, 166, 104004. [Google Scholar] [CrossRef]
- Mujeeb Rahman, P.; Varma, R.V.; Sileshi, G.W. Abundance and diversity of soil invertebrates in annual crops, agroforestry and forest ecosystems in the Nilgiri biosphere reserve of Western Ghats, India. Agrofor. Syst. 2012, 85, 165–177. [Google Scholar] [CrossRef]
- Kirchman, D.; Sigda, J.; Kapuscinski, R.; Mitchell, R. Statistical analysis of the direct count method for enumerating bacteria. Appl. Environ. Microbiol. 1982, 44, 376–382. [Google Scholar] [CrossRef] [Green Version]
- Hale, L.; Curtis, D.; Leon, N.; McGiffen, M., Jr.; Wang, D. Organic amendments, deficit irrigation, and microbial communities impact extracellular polysaccharide content in agricultural soils. Soil Biol. Biochem. 2021, 162, 108428. [Google Scholar] [CrossRef]
- Vos, M.; Wolf, A.B.; Jennings, S.J.; Kowalchuk, G.A. Micro-scale determinants of bacterial diversity in soil. FEMS Microbiol. Rev. 2013, 37, 936–954. [Google Scholar] [CrossRef] [PubMed] [Green Version]
- Fierer, N.; Wood, S.A.; de Mesquita, C.P.B. How microbes can, and cannot, be used to assess soil health. Soil Biol. Biochem. 2021, 153, 108111. [Google Scholar] [CrossRef]
- Waqas, M.; Asam, Z.; Rehan, M.; Anwar, M.N.; Khattak, R.A.; Ismail, I.M.I.; Tabatabaei, M.; Nizami, A.S. Development of biomass-derived biochar for agronomic and environmental remediation applications. Biomass Convers. Biorefinery 2021, 11, 339–361. [Google Scholar] [CrossRef]
- Boostani, H.R.; Najafi-Ghiri, M.; Hardie, A.G.; Khalili, D. Comparison of Pb stabilization in a contaminated calcareous soil by application of vermicompost and sheep manure and their biochars produced at two temperatures. Appl. Geochemistry 2019, 102, 121–128. [Google Scholar] [CrossRef]
- Ayaz, M.; Stulpinaite, U.; Feiziene, D.; Tilvikiene, V.; Akthar, K.; Baltrėnaite-Gediene, E.; Striugas, N.; Rehmani, U.; Alam, S.; Iqbal, R. Pig manure digestate derived biochar for soil management and crop cultivation in heavy metal contaminated soil. Soil Use Manag. 2021, 38, 1307–1321. [Google Scholar] [CrossRef]
- Buneviciene, K.; Drapanauskaite, D.; Mazeika, R.; Tilvikiene, V.; Baltrusaitis, J. Granulated biofuel ash as a sustainable source of plant nutrients. Waste Manag. Res. 2021, 39, 806–817. [Google Scholar] [CrossRef]
- Egene, C.E.; Sigurnjak, I.; Regelink, I.C.; Schoumans, O.F.; Adani, F.; Michels, E.; Sleutel, S.; Tack, F.M.G.; Meers, E. Solid fraction of separated digestate as soil improver: Implications for soil fertility and carbon sequestration. J. Soils Sediments 2021, 21, 678–688. [Google Scholar] [CrossRef]
- Razzaghi, F.; Arthur, E.; Moosavi, A.A. Evaluating models to estimate cation exchange capacity of calcareous soils. Geoderma 2021, 400, 115221. [Google Scholar] [CrossRef]
- SIST EN 13651:2002; Soil Improvers and Growing Media-Extraction of Calcium Chloride/DTPA (CAT) Soluble Nutrients. European Committee for Standardization: Brussels, Belgium, 2001.
- Egner, H.; Riehm, H.; Domingo, W.R. Chemische Extraktionsmethoden zur Phosphor und Kaliumbestimmung, und Untersuchungen über die chemische Bodenanalyse als Grundlage für die Beurteilung des Nahrstoffzustandes der Böden. K. Lantbrukshögskolans Ann. 1960, 26, 199–215. [Google Scholar]
- Klute, A.; Dirksen, C. Hydraulic conductivity and diffusivity: Laboratory methods. In Methods of Soil Analysis: Part 1 Physical and Mineralogical Methods; American Society of Agronomy—Soil Science Society of America: Madison, WI, USA, 1986; Volume 5, pp. 687–734. [Google Scholar]
- Luo, M.; Lin, H.; He, Y.; Zhang, Y. The influence of corncob-based biochar on remediation of arsenic and cadmium in yellow soil and cinnamon soil. Sci. Total Environ. 2020, 717, 137014. [Google Scholar] [CrossRef]
- Wang, L.; Lin, H.; Dong, Y.; Li, B.; He, Y. Effects of endophytes inoculation on rhizosphere and endosphere microecology of Indian mustard (Brassica juncea) grown in vanadium-contaminated soil and its enhancement on phytoremediation. Chemosphere 2020, 240, 124891. [Google Scholar] [CrossRef] [PubMed]
- Manjunath, M.; Kumar, U.; Yadava, R.B.; Rai, A.B.; Singh, B. Influence of organic and inorganic sources of nutrients on the functional diversity of microbial communities in the vegetable cropping system of the Indo-Gangetic plains. C. R. Biol. 2018, 341, 349–357. [Google Scholar] [CrossRef] [PubMed]
- Garau, G.; Morillas, L.; Roales, J.; Castaldi, P.; Mangia, N.P.; Spano, D.; Mereu, S. Effect of monospecific and mixed Mediterranean tree plantations on soil microbial community and biochemical functioning. Appl. Soil Ecol. 2019, 140, 78–88. [Google Scholar] [CrossRef]
- Rajpar, M.N.; Ozturk, M.; Altay, V.; Ullah, S.; Ullah, A.; Martin, C.O.; Gücel, S.; Zakaria, M. Species composition of dry-temperate forest as an important habitat for wildlife fauna species. J. Environ. Biol. 2020, 41, 328–336. [Google Scholar] [CrossRef]
- Henderson, P.A.; Seaby, R.M.H. Community Analysis Package 4.0; Pisces Conservation Ltd.: Lymington, UK, 2007; Available online: http//www.pisces-conservation.com (accessed on 1 January 2020).
- Magurran, A.E. Ecological Diversity and Its Measurement; Princeton University Press: Ryde, Australia, 1988. [Google Scholar]
- Wei, T.; Simko, V. R Package “Corrplot”: Visualization of a Correlation Matrix, Version 0.84; 2017. Available online: https://githubcom/taiyun/corrplot (accessed on 1 January 2020).
- Oksanen, J.; Blanchet, F.G.; Kindt, R.; Legendre, P.; Minchin, P.R.; O’hara, R.B.; Simpson, G.L.; Solymos, P.; Stevens, M.H.; Wagner, H. Community ecology package: Ordination, diversity and dissimilarities. Version 2013, 2, 1–295. [Google Scholar]
- Thioulouse, J.; Renaud, S.; Dufour, A.-B.; Dray, S. Overcoming the Spurious Groups Problem in Between-Group PCA. Evol. Biol. 2021, 48, 458–471. [Google Scholar] [CrossRef]
- Toková, L.; Igaz, D.; Horák, J.; Aydin, E. Effect of biochar application and re-application on soil bulk density, porosity, saturated hydraulic conductivity, water content and soil water availability in a silty loam Haplic Luvisol. Agronomy 2020, 10, 1005. [Google Scholar] [CrossRef]
- Šimanský, V.; Horák, J.; Igaz, D.; Jonczak, J.; Markiewicz, M.; Felber, R.; Rizhiya, E.Y.; Lukac, M. How dose of biochar and biochar with nitrogen can improve the parameters of soil organic matter and soil structure? Biologia 2016, 71, 989–995. [Google Scholar] [CrossRef]
- Šimanský, V.; Horák, J.; Igaz, D.; Balashov, E.; Jonczak, J. Biochar and biochar with N fertilizer as a potential tool for improving soil sorption of nutrients. J. Soils Sediments 2018, 18, 1432–1440. [Google Scholar] [CrossRef]
- Igaz, D.; Šimanský, V.; Horák, J.; Kondrlová, E.; Domanová, J.; Rodný, M.; Buchkina, N.P. Can a single dose of biochar affect selected soil physical and chemical characteristics? J. Hydrol. Hydromech. 2018, 66, 421–428. [Google Scholar] [CrossRef] [Green Version]
- Šrank, D.; Šimanský, V. Physical Properties of Texturally Different Soils after Application of Biochar Substrates. Agriculture (Pol’nohospodárstvo) 2020, 66, 45–55. [Google Scholar] [CrossRef]
- Jien, S.-H.; Wang, C.-S. Effects of biochar on soil properties and erosion potential in a highly weathered soil. Catena 2013, 110, 225–233. [Google Scholar] [CrossRef] [Green Version]
- Agbede, T.M.; Adekiya, A.O. Influence of Biochar on Soil Physicochemical Properties, Erosion Potential, and Maize (Zea mays L.) Grain Yield under Sandy Soil Condition. Commun. Soil Sci. Plant Anal. 2020, 51, 2559–2568. [Google Scholar] [CrossRef]
- Šimanský, V.; Šrank, D.; Jonczak, J.; Juriga, M. Fertilization and application of different biochar types and their mutual interactions influencing changes of soil characteristics in soils of different textures. J. Ecol. Eng. 2019, 20, 149–164. [Google Scholar] [CrossRef]
- Zhao, J.; Ren, T.; Zhang, Q.; Du, Z.; Wang, Y. Effects of biochar amendment on soil thermal properties in the North China Plain. Soil Sci. Soc. Am. J. 2016, 80, 1157–1166. [Google Scholar] [CrossRef]
- Zhang, Q.; Wang, Y.; Wu, Y.; Wang, X.; Du, Z.; Liu, X.; Song, J. Effects of biochar amendment on soil thermal conductivity, reflectance, and temperature. Soil Sci. Soc. Am. J. 2013, 77, 1478–1487. [Google Scholar] [CrossRef]
- Atkinson, C.J. How good is the evidence that soil-applied biochar improves water-holding capacity? Soil Use Manag. 2018, 34, 177–186. [Google Scholar] [CrossRef] [Green Version]
- Phillips, C.L.; Light, S.E.; Gollany, H.T.; Chiu, S.; Wanzek, T.; Meyer, K.; Trippe, K.M. Can biochar conserve water in Oregon agricultural soils? Soil Tillage Res. 2020, 198, 104525. [Google Scholar] [CrossRef]
- Sun, Q.; Meng, J.; Lan, Y.; Shi, G.; Yang, X.; Cao, D.; Chen, W.; Han, X. Long-term effects of biochar amendment on soil aggregate stability and biological binding agents in brown earth. Catena 2021, 205, 105460. [Google Scholar] [CrossRef]
- Lu, H.; Bian, R.; Xia, X.; Cheng, K.; Liu, X.; Liu, Y.; Wang, P.; Li, Z.; Zheng, J.; Zhang, X. Legacy of soil health improvement with carbon increase following one time amendment of biochar in a paddy soil–A rice farm trial. Geoderma 2020, 376, 114567. [Google Scholar] [CrossRef]
- Xiu, L.; Zhang, W.; Sun, Y.; Wu, D.; Meng, J.; Chen, W. Effects of biochar and straw returning on the key cultivation limitations of Albic soil and soybean growth over 2 years. Catena 2019, 173, 481–493. [Google Scholar] [CrossRef]
- Liu, Z.; Chen, X.; Jing, Y.; Li, Q.; Zhang, J.; Huang, Q. Effects of biochar amendment on rapeseed and sweet potato yields and water stable aggregate in upland red soil. Catena 2014, 123, 45–51. [Google Scholar] [CrossRef]
- Gupta, V.; Germida, J.J. Distribution of microbial biomass and its activity in different soil aggregate size classes as affected by cultivation. Soil Biol. Biochem. 1988, 20, 777–786. [Google Scholar] [CrossRef]
- Sun, Z.; Zhang, Z.; Zhu, K.; Wang, Z.; Zhao, X.; Lin, Q.; Li, G. Biochar altered native soil organic carbon by changing soil aggregate size distribution and native SOC in aggregates based on an 8-year field experiment. Sci. Total Environ. 2020, 708, 134829. [Google Scholar] [CrossRef]
- Benson, C.H.; Trast, J.M. Hydraulic conductivity of thirteen compacted clays. Clays Clay Miner. 1995, 43, 669–681. [Google Scholar] [CrossRef]
- Lehmann, J.; Stephen, J. Biochar effect on soil hydrology. Biochar Environ. Manag. Sci. Technol. Implement. 2015, 543–563. [Google Scholar]
- Lim, T.J.; Spokas, K.A.; Feyereisen, G.; Novak, J.M. Predicting the impact of biochar additions on soil hydraulic properties. Chemosphere 2016, 142, 136–144. [Google Scholar] [CrossRef]
- Esmaeelnejad, L.; Shorafa, M.; Gorji, M.; Hosseini, S. mossa Impacts of woody biochar particle size on porosity and hydraulic conductivity of biochar-soil mixtures: An incubation study. Commun. Soil Sci. Plant Anal. 2017, 48, 1710–1718. [Google Scholar] [CrossRef]
- Duan, Y.; Yang, J.; Song, Y.; Chen, F.; Li, X.; Awasthi, M.K.; Li, H.; Zhang, L. Clean technology for biochar and organic waste recycling, and utilization in apple orchard. Chemosphere 2021, 274, 129914. [Google Scholar] [CrossRef]
- Wolińska, A.; Włodarczyk, K.; Kuźniar, A.; Marzec-Grządziel, A.; Grządziel, J.; Gałązka, A.; Uzarowicz, Ł. Soil microbial community profiling and bacterial metabolic activity of technosols as an effect of soil properties following land reclamation: A case study from the abandoned iron sulphide and uranium mine in Rudki (South-Central Poland). Agronomy 2020, 10, 1795. [Google Scholar] [CrossRef]
- Koner, S.; Chen, J.-S.; Hsu, B.-M.; Rathod, J.; Huang, S.-W.; Chien, H.-Y.; Hussain, B.; Chan, M.W.Y. Depth-resolved microbial diversity and functional profiles of trichloroethylene-contaminated soils for Biolog EcoPlate-based biostimulation strategy. J. Hazard. Mater. 2021, 127266. [Google Scholar] [CrossRef]
- Sandén, T.; Zavattaro, L.; Spiegel, H.; Grignani, C.; Sandén, H.; Baumgarten, A.; Tiirola, M.; Mikkonen, A. Out of sight: Profiling soil characteristics, nutrients and bacterial communities affected by organic amendments down to one meter in a long-term maize experiment. Appl. Soil Ecol. 2019, 134, 54–63. [Google Scholar] [CrossRef]
- Xun, W.; Zhao, J.; Xue, C.; Zhang, G.; Ran, W.; Wang, B.; Shen, Q.; Zhang, R. Significant alteration of soil bacterial communities and organic carbon decomposition by different long-term fertilization management conditions of extremely low-productivity arable soil in South China. Environ. Microbiol. 2016, 18, 1907–1917. [Google Scholar] [CrossRef] [PubMed]
- Li, Y.; Li, Z.; Cui, S.; Zhang, Q. Trade-off between soil pH, bulk density and other soil physical properties under global no-tillage agriculture. Geoderma 2020, 361, 114099. [Google Scholar] [CrossRef]
- Knorr, M.; Frey, S.D.; Curtis, P.S. Nitrogen additions and litter decomposition: A meta-analysis. Ecology 2005, 86, 3252–3257. [Google Scholar] [CrossRef]
- Peng, X.; Tong, X.; Hao, L.; Wu, F. Applicability of biochar for limiting interrill erosion and organic carbon export of sloping cropland in a semi-arid area of China. Agric. Ecosyst. Environ. 2019, 280, 68–76. [Google Scholar] [CrossRef]
- Pan, S.-Y.; Dong, C.-D.; Su, J.-F.; Wang, P.-Y.; Chen, C.-W.; Chang, J.-S.; Kim, H.; Huang, C.-P.; Hung, C.-M. The Role of Biochar in Regulating the Carbon, Phosphorus, and Nitrogen Cycles Exemplified by Soil Systems. Sustainability 2021, 13, 5612. [Google Scholar] [CrossRef]
Publisher’s Note: MDPI stays neutral with regard to jurisdictional claims in published maps and institutional affiliations. |
© 2022 by the authors. Licensee MDPI, Basel, Switzerland. This article is an open access article distributed under the terms and conditions of the Creative Commons Attribution (CC BY) license (https://creativecommons.org/licenses/by/4.0/).








