Genome-Wide Associations with Resistance to Bipolaris Leaf Spot (Bipolaris oryzae (Breda de Haan) Shoemaker) in a Northern Switchgrass Population (Panicum virgatum L.)
Abstract
1. Introduction
2. Results
2.1. Phenotyping and Correlation between Traits
2.2. Linkage Disequilibrium, Principal Component Analysis and Admixture
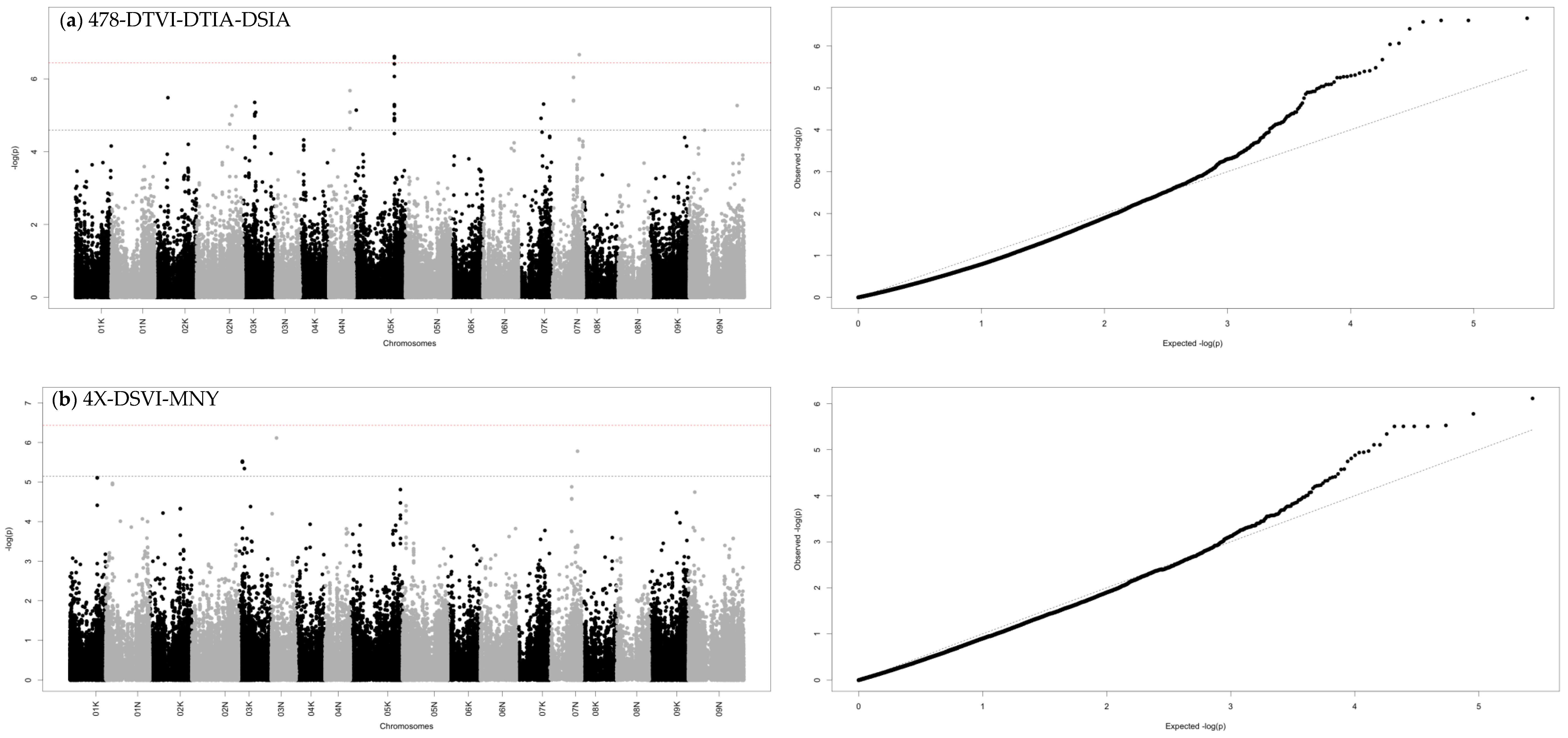
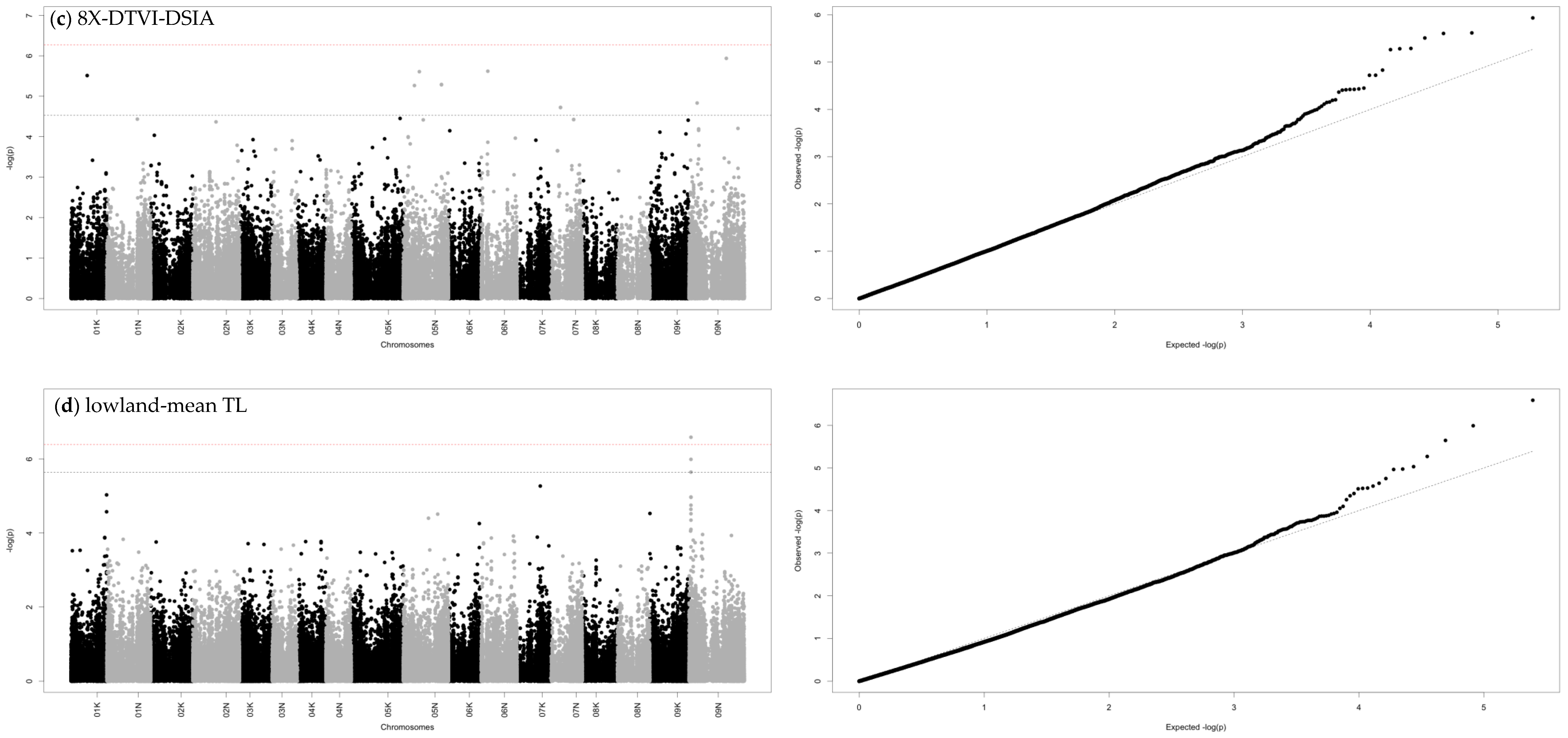
2.3. Genome-Wide Association and Candidate BLS Resistance Genes
3. Discussion
3.1. The Most BLS Resistant Population
3.2. Dissecting BLS Resistance
4. Materials and Methods
4.1. Switchgrass in the Northern Association Panel
4.2. Disease Evaluation and Phenotype Processing
4.3. Genotyping, Linkage Disequilibrium Analysis and Population Structure
4.4. Candidate Genes Based on Resistance in Rice
4.5. Genome-Wide Association Studies
Supplementary Materials
Author Contributions
Funding
Data Availability Statement
Acknowledgments
Conflicts of Interest
References
- Godshalk, E.B.; Timothy, D.H.; Burns, J.C. Effectiveness of Index Selection for Switchgrass Forage Yield and Quality. Crop Sci. 1988, 28, 825–830. [Google Scholar] [CrossRef]
- Hopkins, A.A.; Vogel, K.P.; Moore, K.J. Predicted and Realized Gains from Selection for In Vitro Dry Matter Digestibility and Forage Yield in Switchgrass. Crop Sci. 1993, 33, 253. [Google Scholar] [CrossRef]
- Vogel, K.P.; Hopkins, A.A.; Moore, K.J.; Johnson, K.D.; Carlson, I.T. Winter Survival in Switchgrass Populations Bred for High IVDMD. Crop Sci. 2002, 42, 1857–1862. [Google Scholar] [CrossRef]
- Talbert, L.E.; Timothy, D.H.; Burns, J.C.; Rawlings, J.O.; Moll, R.H. Estimates of Genetic Parameters in Switchgrass1. Crop Sci. 1983, 23, 725–728. [Google Scholar] [CrossRef]
- AGRICultural OnLine Access. Available online: http://agricola.nal.usda.gov/ (accessed on 10 April 2022).
- Fajolu, O.L. Characterization of Bipolaris Species, Their Effects on Switchgrass Biomass Yield and Chemical Components. Ph.D. Thesis, The University of Tennessee, Knoxville, TN, USA, December 2012. [Google Scholar]
- Casler, M.D. Switchgrass breeding, genetics, and genomics. In Switchgrass; Springer: London, UK, 2012; pp. 29–53. ISBN 9781447129035. [Google Scholar]
- Stroup, J.; Sanderson, M.; Muir, J.P.; McFarland, M.J.; Reed, R.L. Comparison of Growth and Performance in Upland and Lowland Switchgrass Types to Water and Nitrogen Stress. Bioresour. Technol. 2003, 86, 65–72. [Google Scholar] [CrossRef]
- Lu, F.; Lipka, A.E.; Glaubitz, J.; Elshire, R.; Cherney, J.H.; Casler, M.D.; Buckler, E.S.; Costich, D.E. Switchgrass Genomic Diversity, Ploidy, and Evolution: Novel Insights from a Network-Based SNP Discovery Protocol. PLoS Genet. 2013, 9, e1003215. [Google Scholar] [CrossRef] [PubMed]
- Hoisington, D.; Khairallah, M.; Reeves, T.; Ribaut, J.M.; Skovmand, B.; Taba, S.; Warburton, M. Plant Genetic Resources: What Can They Contribute toward Increased Crop Productivity? Proc. Natl. Acad. Sci. USA 1999, 96, 5937–5943. [Google Scholar] [CrossRef]
- Jones, J.D.G.; Dangl, J.L. The Plant Immune System. Nature 2006, 444, 323–329. [Google Scholar] [CrossRef]
- Ou, S.H. Rice Diseases; IRRI: Los Baños, Philippines, 1985; ISBN 0851985459. [Google Scholar]
- Friesen, T.L.; Meinhardt, S.W.; Faris, J.D. The Stagonospora Nodorum-Wheat Pathosystem Involves Multiple Proteinaceous Host-Selective Toxins and Corresponding Host Sensitivity Genes That Interact in an Inverse Gene-for-Gene Manner. Plant J. 2007, 51, 681–692. [Google Scholar] [CrossRef]
- Liu, Z.H.; Friesen, T.L.; Rasmussen, J.B.; Ali, S.; Meinhardt, S.W.; Faris, J.D. Quantitative Trait Loci Analysis and Mapping of Seedling Resistance to Stagonospora Nodorum Leaf Blotch in Wheat. Phytopathology 2007, 94, 1061–1067. [Google Scholar] [CrossRef]
- Ullstrup, A.J. The Impacts of the Southern Corn Leaf Blight Epidemics of 1970–1971. Annu. Rev. Phytopathol. 1972, 10, 37–50. [Google Scholar] [CrossRef]
- Walton, J.D. Host-Selective Toxins: Agents of Compatibility. Plant Cell 1996, 8, 1723. [Google Scholar] [PubMed]
- Friesen, T.L.; Faris, J.D.; Solomon, P.S.; Oliver, R.P. Host-Specific Toxins: Effectors of Necrotrophic Pathogenicity. Cell. Microbiol. 2008, 10, 1421–1428. [Google Scholar] [CrossRef]
- Vidhyasekaran, P.; Borromeo, E.S. Host-Specific Toxin Production by Helminthosporium oryzae. Phytopathology 1986, 76, 261–266. [Google Scholar] [CrossRef]
- Condon, B.J.; Leng, Y.; Wu, D.; Bushley, K.E.; Ohm, R.A.; Otillar, R.; Martin, J.; Schackwitz, W.; Grimwood, J.; MohdZainudin, N.; et al. Comparative Genome Structure, Secondary Metabolite, and Effector Coding Capacity across Cochliobolus Pathogens. PLoS Genet. 2013, 9, e1003233. [Google Scholar] [CrossRef] [PubMed]
- Chakrabarti, N.K. Epidemiology and disease management of brown spot of rice in India. In Major Fungal Diseases of Rice; Springer: Dordrecht, The Netherlands, 2001; pp. 293–306. [Google Scholar]
- De Bruyne, L.; Van Poucke, C.; Di Mavungu, D.J.; Zainudin, N.A.I.M.; Vanhaecke, L.; De Vleesschauwer, D.; Turgeon, B.G.; De Saeger, S.; Höfte, M. Comparative Chemical Screening and Genetic Analysis Reveal Tentoxin as a New Virulence Factor in C Ochliobolus Miyabeanus, the Causal Agent of Brown Spot Disease on Rice. Mol. Plant Pathol. 2016, 17, 805–817. [Google Scholar] [CrossRef]
- Xue, D.; Wang, Q.; Chen, Z.; Cai, L.; Bao, L.; Qi, Q.; Liu, L.; Wang, X.; Jin, H.; Wang, J.; et al. 3-Anhydro-6-Hydroxy-Ophiobolin A, a Fungal Sesterterpene from Bipolaris oryzae Induced Autophagy and Promoted the Degradation of α-Synuclein in PC12 Cells. Bioorg. Med. Chem. Lett. 2015, 25, 1464–1470. [Google Scholar] [CrossRef]
- Kim, J.Y.; Wu, J.; Kwon, S.J.; Oh, H.; Lee, S.E.; Kim, S.G.; Wang, Y.; Agrawal, G.K.; Rakwal, R.; Kang, K.Y.; et al. Proteomics of Rice and Cochliobolus Miyabeanus Fungal Interaction: Insight into Proteins at Intracellular and Extracellular Spaces. Proteomics 2014, 14, 2307–2318. [Google Scholar] [CrossRef]
- Bockhaven, J.; Spíchal, L.; Novák, O.; Strnad, M.; Asano, T.; Kikuchi, S.; Höfte, M.; Vleesschauwer, D. Silicon Induces Resistance to the Brown Spot Fungus Cochliobolus miyabeanus by Preventing the Pathogen from Hijacking the Rice Ethylene Pathway. New Phytol. 2015, 206, 761–773. [Google Scholar] [CrossRef]
- Juliana, P.; Singh, R.P.; Singh, P.K.; Poland, J.A.; Bergstrom, G.C.; Huerta-Espino, J.; Bhavani, S.; Crossa, J.; Sorrells, M.E. Genome-Wide Association Mapping for Resistance to Leaf Rust, Stripe Rust and Tan Spot in Wheat Reveals Potential Candidate Genes. Theor. Appl. Genet. 2018, 131, 1405–1422. [Google Scholar] [CrossRef]
- Songsomboon, K.; Crawford, R.; Crawford, J.; Hansen, J.; Cummings, J.; Mattson, N.; Bergstrom, G.; Viands, D. Recurrent Phenotypic Selection for Resistance to Diseases Caused by Bipolaris oryzae in Switchgrass (Panicum virgatum L.). Biomass Bioenergy 2019, 125, 105–113. [Google Scholar] [CrossRef]
- Leng, P.; Lübberstedt, T.; Xu, M. Genomics-Assisted Breeding–a Revolutionary Strategy for Crop Improvement. J. Integr. Agric. 2017, 16, 2674–2685. [Google Scholar] [CrossRef]
- Yu, J.; Buckler, E.S. Genetic Association Mapping and Genome Organization of Maize. Curr. Opin. Biotechnol. 2006, 17, 155–160. [Google Scholar] [CrossRef] [PubMed]
- Grabowski, P.P.; Evans, J.; Daum, C.; Deshpande, S.; Barry, K.W.; Kennedy, M.; Ramstein, G.; Kaeppler, S.M.; Buell, C.R.; Jiang, Y.; et al. Genome-Wide Associations with Flowering Time in Switchgrass Using Exome-Capture Sequencing Data. New Phytol. 2017, 213, 154–169. [Google Scholar] [CrossRef]
- Sato, H.; Matsumoto, K.; Ota, C.; Yamakawa, T.; Kihara, J.; Mizobuchi, R. Confirming a Major QTL and Finding Additional Loci Responsible for Field Resistance to Brown Spot (Bipolaris oryzae) in Rice. Breed. Sci. 2015, 65, 170–175. [Google Scholar] [CrossRef]
- Sato, H.; Ando, I.; Hirabayashi, H.; Takeuchi, Y.; Arase, S.; Kihara, J.; Kato, H.; Imbe, T.; Nemoto, H. QTL Analysis of Brown Spot Resistance in Rice (Oryza sativa L.). Breed. Sci. 2008, 58, 93–96. [Google Scholar] [CrossRef]
- Muir, W.; Nyquist, W.E.; Xu, S. Alternative Partitioning of the Genotype-by-Environment Interaction. Theor. Appl. Genet. 1992, 84, 193–200. [Google Scholar] [CrossRef]
- Lipka, A.E.; Lu, F.; Cherney, J.H.; Buckler, E.S.; Casler, M.D.; Costich, D.E. Accelerating the Switchgrass (Panicum virgatum L.) Breeding Cycle Using Genomic Selection Approaches. PLoS ONE 2014, 9, e112227. [Google Scholar] [CrossRef]
- Le Boucher, R.; Quillet, E.; Vandeputte, M.; Lecalvez, J.M.; Goardon, L.; Chatain, B.; Médale, F.; Dupont-Nivet, M. Plant-Based Diet in Rainbow Trout (Oncorhynchus mykiss Walbaum): Are There Genotype-Diet Interactions for Main Production Traits When Fish Are Fed Marine vs. Plant-Based Diets from the First Meal? Aquaculture 2011, 321, 41–48. [Google Scholar] [CrossRef]
- Hill Jr, R.R.; Rosenberger, J.L. Methods for Combining Data from Gemrplasm Evaluation Trials 1. Crop Sci. 1985, 25, 467–470. [Google Scholar] [CrossRef]
- Piepho, H.P.; Möhring, J.; Melchinger, A.E.; Büchse, A. BLUP for Phenotypic Selection in Plant Breeding and Variety Testing. Euphytica 2008, 161, 209–228. [Google Scholar] [CrossRef]
- Robinson, G.K. That BLUP Is a Good Thing: The Estimation of Random Effects. Stat. Sci. 1991, 6, 15–32. [Google Scholar]
- Stroup, W.W.; Mulitze, D.K. Nearest Neighbor Adjusted Best Linear Unbiased Prediction. Am. Stat. 1991, 45, 194–200. [Google Scholar]
- Stewart, E.L.; McDonald, B.A. Measuring Quantitative Virulence in the Wheat Pathogen Zymoseptoria tritici Using High-Throughput Automated Image Analysis. Phytopathology 2014, 104, 985–992. [Google Scholar] [CrossRef]
- Chaerani, R.; Groenwold, R.; Stam, P.; Voorrips, R.E. Assessment of Early Blight (Alternaria solani) Resistance in Tomato Using a Droplet Inoculation Method. J. Gen. Plant Pathol. 2007, 73, 96–103. [Google Scholar] [CrossRef][Green Version]
- Grant, M.R.; Godiard, L.; Straube, E.; Ashfield, T.; Lewald, J.; Sattler, A.; Innes, R.W.; Dangl, J.L. Structure of the Arabidopsis RPM1 Gene Enabling Dual Specificity Disease Resistance. Science 1995, 269, 843–846. [Google Scholar] [CrossRef]
- Grant, M.R.; McDowell, J.M.; Sharpe, A.G.; de Torres Zabala, M.; Lydiate, D.J.; Dangl, J.L. Independent Deletions of a Pathogen-Resistance Gene in Brassica and Arabidopsis. Proc. Natl. Acad. Sci. USA 1998, 95, 15843–15848. [Google Scholar] [CrossRef]
- Stahl, E.A.; Dwyer, G.; Mauricio, R.; Kreitman, M.; Bergelson, J. Dynamics of Disease Resistance Polymorphism at the Rpm1 Locus of Arabidopsis. Nature 1999, 400, 667–671. [Google Scholar] [CrossRef]
- Tian, D.; Araki, H.; Stahl, E.; Bergelson, J.; Kreitman, M. Signature of Balancing Selection in Arabidopsis. Proc. Natl. Acad. Sci. USA 2002, 99, 11525–11530. [Google Scholar] [CrossRef]
- Tian, D.; Traw, M.B.; Chen, J.Q.; Kreitman, M.; Bergelson, J. Fitness Costs of R-Gene-Mediated Resistance in Arabidopsis Thaliana. Nature 2003, 423, 74–77. [Google Scholar] [CrossRef]
- Gos, G.; Wright, S.I. Conditional Neutrality at Two Adjacent NBS-LRR Disease Resistance Loci in Natural Populations of Arabidopsis lyrata. Mol. Ecol. 2008, 17, 4953–4962. [Google Scholar] [CrossRef] [PubMed]
- Geisler, K.; Hughes, R.K.; Sainsbury, F.; Lomonossoff, G.P.; Rejzek, M.; Fairhurst, S.; Olsen, C.-E.; Motawia, M.S.; Melton, R.E.; Hemmings, A.M.; et al. Biochemical Analysis of a Multifunctional Cytochrome P450 (CYP51) Enzyme Required for Synthesis of Antimicrobial Triterpenes in Plants. Proc. Natl. Acad. Sci. USA 2013, 110, E3360–E3367. [Google Scholar] [CrossRef] [PubMed]
- Zuo, W.; Chao, Q.; Zhang, N.; Ye, J.; Tan, G.; Li, B.; Xing, Y.; Zhang, B.; Liu, H.; Fengler, K.A. A Maize Wall-Associated Kinase Confers Quantitative Resistance to Head Smut. Nat. Genet. 2015, 47, 151–157. [Google Scholar] [CrossRef] [PubMed]
- Geddy, R.; Brown, G.G. Genes Encoding Pentatricopeptide Repeat (PPR) Proteins Are Not Conserved in Location in Plant Genomes and May Be Subject to Diversifying Selection. BMC Genom. 2007, 8, 130. [Google Scholar] [CrossRef] [PubMed]
- Perrin, R.M.; DeRocher, A.E.; Bar-Peled, M.; Zeng, W.; Norambuena, L.; Orellana, A.; Raikhel, N.V.; Keegstra, K. Xyloglucan Fucosyltransferase, an Enzyme Involved in Plant Cell Wall Biosynthesis. Science 1999, 284, 1976–1979. [Google Scholar] [CrossRef]
- Gupta, S.K.; Rai, A.K.; Kanwar, S.S.; Sharma, T.R. Comparative Analysis of Zinc Finger Proteins Involved in Plant Disease Resistance. PLoS ONE 2012, 7, e42578. [Google Scholar] [CrossRef]
- Vorwerk, S.; Somerville, S.; Somerville, C. The Role of Plant Cell Wall Polysaccharide Composition in Disease Resistance. Trends Plant Sci. 2004, 9, 203–209. [Google Scholar] [CrossRef]
- Bolton, M.D.; Kolmer, J.A.; Xu, W.W.; Garvin, D.F. Lr34-Mediated Leaf Rust Resistance in Wheat: Transcript Profiling Reveals a High Energetic Demand Supported by Transient Recruitment of Multiple Metabolic Pathways. Mol. Plant-Microbe Interact. 2008, 21, 1515–1527. [Google Scholar] [CrossRef]
- Niu, J.; He, D. Molecular Basis of Powdery Mildew Resistance in Wheat (Triticum aestivum L.). Afr. J. Biotechnol. 2009, 8, 4708–4716. [Google Scholar] [CrossRef]
- Jorgensen, I.H. Discovery, Characterization and Exploitation of Mlo Powdery Mildew Resistance in Barley. Euphytica 1992, 63, 141–152. [Google Scholar] [CrossRef]
- Hagensee, M.E.; Bryan, S.K.; Moses, R.E. DNA Polymerase III Requirement for Repair of DNA Damage Caused by Methyl Methanesulfonate and Hydrogen Peroxide. J. Bacteriol. 1987, 169, 4608–4613. [Google Scholar] [CrossRef] [PubMed]
- Song, J.; Durrant, W.E.; Wang, S.; Yan, S.; Tan, E.H.; Dong, X. DNA Repair Proteins Are Directly Involved in Regulation of Gene Expression during Plant Immune Response. Cell Host Microbe 2011, 9, 115–124. [Google Scholar] [CrossRef] [PubMed]
- López-Otín, C.; Bond, J.S. Proteases: Multifunctional Enzymes in Life and Disease. J. Biol. Chem. 2008, 283, 30433–30437. [Google Scholar] [CrossRef] [PubMed]
- Khurana, S.; George, S.P. Regulation of Cell Structure and Function by Actin-Binding Proteins: Villin’s Perspective. FEBS Lett. 2008, 582, 2128–2139. [Google Scholar] [CrossRef]
- Xu, P.; Rogers, S.J.; Roossinck, M.J. Expression of Antiapoptotic Genes Bcl-XL and Ced-9 in Tomato Enhances Tolerance to Viral-Induced Necrosis and Abiotic Stress. Proc. Natl. Acad. Sci. USA 2004, 101, 15805–15810. [Google Scholar] [CrossRef]
- Azevedo, C.; Sadanandom, A.; Kitagawa, K.; Freialdenhoven, A.; Shirasu, K.; Schulze-Lefert, P. The RAR1 Interactor SGT1, an Essential Component of R Gene-Triggered Disease Resistance. Science 2002, 295, 2073–2076. [Google Scholar] [CrossRef]
- Stein, M.; Dittgen, J.; Sánchez-Rodríguez, C.; Hou, B.-H.; Molina, A.; Schulze-Lefert, P.; Lipka, V.; Somerville, S. Arabidopsis PEN3/PDR8, an ATP Binding Cassette Transporter, Contributes to Nonhost Resistance to Inappropriate Pathogens That Enter by Direct Penetration. Plant Cell 2006, 18, 731–746. [Google Scholar] [CrossRef]
- Walter, S.; Kahla, A.; Arunachalam, C.; Perochon, A.; Khan, M.R.; Scofield, S.R.; Doohan, F.M. A Wheat ABC Transporter Contributes to Both Grain Formation and Mycotoxin Tolerance. J. Exp. Bot. 2015, 66, 2583–2593. [Google Scholar] [CrossRef]
- Kumagai, Y.; Takeuchi, O.; Akira, S. Pathogen Recognition by Innate Receptors. J. Infect. Chemother. 2008, 14, 86–92. [Google Scholar] [CrossRef]
- Hee Nam, K.; Li, J. BRI1/BAK1, a Receptor Kinase Pair Mediating Brassinosteroid Signaling. Cell 2002, 110, 203–212. [Google Scholar] [CrossRef]
- Dutilleul, C.; Garmier, M.; Noctor, G.; Mathieu, C.; Chétrit, P.; Foyer, C.H.; De Paepe, R. Leaf Mitochondria Modulate Whole Cell Redox Homeostasis, Set Antioxidant Capacity, and Determine Stress Resistance through Altered Signaling and Diurnal Regulation. Plant Cell 2003, 15, 1212–1226. [Google Scholar] [CrossRef] [PubMed]
- Antonious, A.L.D.; Jawhar, M. Proteome Analysis of the Susceptible Barley-Cochliobolus Sativus Interaction. Res. Biotechnol. 2013, 4, 36–44. [Google Scholar]
- Mammarella, N.D.; Cheng, Z.; Fu, Z.Q.; Daudi, A.; Bolwell, G.P.; Dong, X.; Ausubel, F.M. Apoplastic Peroxidases Are Required for Salicylic Acid-Mediated Defense against Pseudomonas Syringae. Phytochemistry 2015, 112, 110–121. [Google Scholar] [CrossRef] [PubMed]
- Ralph, S.; Park, J.-Y.; Bohlmann, J.; Mansfield, S.D. Dirigent Proteins in Conifer Defense: Gene Discovery, Phylogeny, and Differential Wound- and Insect-Induced Expression of a Family of DIR and DIR-like Genes in Spruce (Picea Spp.). Plant Mol. Biol. 2006, 60, 21–40. [Google Scholar] [CrossRef]
- Dallagnol, L.; Rodrigues, F.; Mielli, M. Silicon Improves the Emergence and Sanity of Rice Seedlings Obtained from Seeds Infected with Bipolaris oryzae. Trop. Plant Pathol. 2013, 38, 478–484. [Google Scholar] [CrossRef]
- Kang, H.G.; Woo Choi, H.; Von Einem, S.; Manosalva, P.; Ehlers, K.; Liu, P.P.; Buxa, S.V.; Moreau, M.; Mang, H.G.; Kachroo, P.; et al. CRT1 Is a Nuclear-Translocated MORC Endonuclease That Participates in Multiple Levels of Plant Immunity. Nat. Commun. 2012, 3, 1297. [Google Scholar] [CrossRef]
- Alves, M.; Fietto, L.; Dadalto, S.; Gonçalves, A.; De Souza, G.; Barros, V. Plant BZIP Transcription Factors Responsive to Pathogens: A Review. Int. J. Mol. Sci. 2013, 14, 7815–7828. [Google Scholar] [CrossRef]
- Balint-Kurti, P.; Simmons, S.J.; Blum, J.E.; Ballaré, C.L.; Stapleton, A.E. Maize Leaf Epiphytic Bacteria Diversity Patterns Are Genetically Correlated with Resistance to Fungal Pathogen Infection. Mol. Plant-Microbe Interact. 2010, 23, 473–484. [Google Scholar] [CrossRef]
- Gago, G.M.; Almoguera, C.; Jordano, J.; Gonzalez, D.H.; Chan, R.L. Hahb-4, a Homeobox-Leucine Zipper Gene Potentially Involved in Abscisic Acid-Dependent Responses to Water Stress in Sunflower. Plant. Cell Environ. 2002, 25, 633–640. [Google Scholar] [CrossRef]
- Luo, H.; Song, F.; Goodman, R.M.; Zheng, Z. Up-Regulation of OsBIHD1, a Rice Gene Encoding BELL Homeodomain Transcriptional Factor, in Disease Resistance Responses. Plant Biol. 2005, 7, 459–468. [Google Scholar] [CrossRef]
- Mayda, E.; Tornero, P.; Conejero, V.; Vera, P. A Tomato Homeobox Gene (HD-Zip) Is Involved in Limiting the Spread of Programmed Cell Death. Plant J. 1999, 20, 591–600. [Google Scholar] [CrossRef] [PubMed]
- Herbers, K.; Meuwly, P.; Frommer, W.B.; Metraux, J.P.; Sonnewald, U. Systemic Acquired Resistance Mediated by the Ectopic Expression of Invertase: Possible Hexose Sensing in the Secretory Pathway. Plant Cell 1996, 8, 793. [Google Scholar] [CrossRef] [PubMed]
- Karpinski, S.; Gabrys, H.; Mateo, A.; Karpinska, B.; Mullineaux, P.M. Light Perception in Plant Disease Defence Signalling. Curr. Opin. Plant Biol. 2003, 6, 390–396. [Google Scholar] [CrossRef]
- Lenfant, N.; Hotelier, T.; Velluet, E.; Bourne, Y.; Marchot, P.; Chatonnet, A. ESTHER, the Database of the α/β-Hydrolase Fold Superfamily of Proteins: Tools to Explore Diversity of Functions. Nucleic Acids Res. 2013, 41, D423. [Google Scholar] [CrossRef]
- Fujisaki, K.; Abe, Y.; Ito, A.; Saitoh, H.; Yoshida, K.; Kanzaki, H.; Kanzaki, E.; Utsushi, H.; Yamashita, T.; Kamoun, S.; et al. Rice Exo70 Interacts with a Fungal Effector, AVR-Pii, and Is Required for AVR-Pii-Triggered Immunity. Plant J. 2015, 83, 875–887. [Google Scholar] [CrossRef] [PubMed]
- Arens, P.; Mansilla, C.; Deinum, D.; Cavellini, L.; Moretti, A.; Rolland, S.; van der Schoot, H.; Calvache, D.; Ponz, F.; Collonnier, C.; et al. Development and Evaluation of Robust Molecular Markers Linked to Disease Resistance in Tomato for Distinctness, Uniformity and Stability Testing. Theor. Appl. Genet. 2010, 120, 655–664. [Google Scholar] [CrossRef] [PubMed]
- Bates, D.; Mächler, M.; Bolker, B.M.; Walker, S.C. Fitting Linear Mixed-Effects Models Using Lme4. J. Stat. Softw. 2015, 67, 1–48. [Google Scholar] [CrossRef]
- Da Silva, W.; Ingram, J.; Hackett, C.A.; Coombs, J.J.; Douches, D.; Bryan, G.; De Jong, W.; Gray, S. Mapping Loci That Control Tuber and Foliar Symptoms Caused by PVY in Autotetraploid Potato (Solanum tuberosum L.). G3 Genes Genomes Genet. 2017, 7, 3587–3595. [Google Scholar] [CrossRef]
- Evans, J.; Crisovan, E.; Barry, K.; Daum, C.; Jenkins, J.; Kunde-Ramamoorthy, G.; Nandety, A.; Ngan, C.Y.; Vaillancourt, B.; Wei, C.-L.; et al. Diversity and Population Structure of Northern Switchgrass as Revealed through Exome Capture Sequencing. Plant J. 2015, 84, 800–815. [Google Scholar] [CrossRef]
- Evans, J.; Kim, J.; Childs, K.L.; Vaillancourt, B.; Crisovan, E.; Nandety, A.; Gerhardt, D.J.; Richmond, T.A.; Jeddeloh, J.A.; Kaeppler, S.M.; et al. Nucleotide Polymorphism and Copy Number Variant Detection Using Exome Capture and Next-Generation Sequencing in the Polyploid Grass Panicum virgatum. Plant J. 2014, 79, 993–1008. [Google Scholar] [CrossRef]
- Ramstein, G.P.; Evans, J.; Nandety, A.; Saha, M.C.; Brummer, E.C.; Kaeppler, S.M.; Buell, C.R.; Casler, M.D. Candidate Variants for Additive and Interactive Effects on Bioenergy Traits in Switchgrass (Panicum virgatum L.) Identified by Genome-Wide Association Analyses. Plant Genome 2018, 11, 180002. [Google Scholar] [CrossRef] [PubMed]
- Li, H.; Handsaker, B.; Wysoker, A.; Fennell, T.; Ruan, J.; Homer, N.; Marth, G.; Abecasis, G.; Durbin, R. The Sequence Alignment/Map Format and SAMtools. Bioinformatics 2009, 25, 2078–2079. [Google Scholar] [CrossRef] [PubMed]
- Picard Toolkit. Broad Institute 2019. Broad Institute, GitHub Repository. Available online: https://broadinstitute.github.io/picard/ (accessed on 28 April 2022).
- Okada, M.; Lanzatella, C.; Saha, M.C.; Bouton, J.; Wu, R.; Tobias, C.M. Complete Switchgrass Genetic Maps Reveal Subgenome Collinearity, Preferential Pairing and Multilocus Interactions. Genetics 2010, 185, 745–760. [Google Scholar] [CrossRef] [PubMed]
- Purcell, S.; Neale, B.; Todd-Brown, K.; Thomas, L.; Ferreira, M.A.R.; Bender, D.; Maller, J.; Sklar, P.; de Bakker, P.I.W.; Daly, M.J.; et al. PLINK: A Tool Set for Whole-Genome Association and Population-Based Linkage Analyses. Am. J. Hum. Genet. 2007, 81, 559–575. [Google Scholar] [CrossRef] [PubMed]
- Lê, S.; Josse, J.; Husson, F. FactoMineR: An R Package for Multivariate Analysis. J. Stat. Softw. 2008, 25, 1–18. [Google Scholar] [CrossRef]
- Alexander, D.H.; Novembre, J.; Lange, K. Fast Model-Based Estimation of Ancestry in Unrelated Individuals. Genome Res. 2009, 19, 1655–1664. [Google Scholar] [CrossRef]
- Gilbert, K.J.; Whitlock, M.C. QST–FST Comparisons with Unbalanced Half-sib Designs. Mol. Ecol. Resour. 2015, 15, 262–267. [Google Scholar] [CrossRef]
- Katara, J.L.; Sonah, H.; Deshmukh, R.K. Molecular Analysis of QTLs Associated with Resistance to Brown Spot in Rice (Oryza sativa L.). Indian J. Genet. 2010, 70, 17–21. [Google Scholar]
- Zhao, K.; Tung, C.-W.; Eizenga, G.C.; Wright, M.H.; Ali, M.L.; Price, A.H.; Norton, G.J.; Islam, M.R.; Reynolds, A.; Mezey, J.; et al. Genome-Wide Association Mapping Reveals a Rich Genetic Architecture of Complex Traits in Oryza sativa. Nat. Commun. 2011, 2, 467. [Google Scholar] [CrossRef]
- Goodstein, D.M.; Shu, S.; Howson, R.; Neupane, R.; Hayes, R.D.; Fazo, J.; Mitros, T.; Dirks, W.; Hellsten, U.; Putnam, N.; et al. Phytozome: A Comparative Platform for Green Plant Genomics. Nucleic Acids Res. 2012, 40, D1178–D1186. [Google Scholar] [CrossRef]
- Zhou, X.; Stephens, M. Genome-Wide Efficient Mixed-Model Analysis for Association Studies. Nat. Genet. 2012, 44, 821–824. [Google Scholar] [CrossRef] [PubMed]
- Porter, H.F.; O’Reilly, P.F. Multivariate Simulation Framework Reveals Performance of Multi-Trait GWAS Methods. Sci. Rep. 2017, 7, 38837. [Google Scholar] [CrossRef] [PubMed]
- Zhu, X.; Feng, T.; Tayo, B.O.; Liang, J.; Young, J.H.; Franceschini, N.; Smith, J.A.; Yanek, L.R.; Sun, Y.V.; Edwards, T.L. Meta-Analysis of Correlated Traits via Summary Statistics from GWASs with an Application in Hypertension. Am. J. Hum. Genet. 2015, 96, 21–36. [Google Scholar] [CrossRef] [PubMed]








| Traits | H2 ± s.e. | ||||
|---|---|---|---|---|---|
| 478 Genotypes | 4X | 8X | Lowland | Upland | |
| Severity from the detached leaf via vision (DTVI) | 0.76 ± 0.02 | 0.84 ± 0.04 | 0.66 ± 0.06 | 0.87 ± 0.03 | 0.71 ± 0.05 |
| Severity from the detached leaf via image analysis (DTIA) | 0.74 ± 0.06 | 0.78 ± 0.05 | 0.72 ± 0.03 | 0.81 ± 0.06 | 0.68 ± 0.02 |
| Severity from the leaf disk assay via vision (DSVI) | 0.76 ± 0.05 | 0.70 ± 0.02 | 0.74 ± 0.05 | 0.35 ± 0.04 | 0.63 ± 0.04 |
| Severity from the leaf disk assay via image analysis (DSIA) | 0.5 ± 0.04 | 0.33 ± 0.06 | 0.52 ± 0.04 | 0.45 ± 0.05 | 0.14 ± 0.03 |
| Severity in the field of the two locations | 0.003 ± 0.06 | 0.003 ± 0.04 | 0.1 ± 0.05 | 0.001 ± 0.08 | 0.08 ± 0.06 |
| Severity in field from NY | 0.32 ± 0.05 | 0.31 ± 0.05 | 0.29 ± 0.04 | 0.38 ± 0.03 | 0.29 ± 0.04 |
| Severity in field from PA | 0.61 ± 0.04 | 0.68 ± 0.03 | 0.52 ± 0.02 | 0.78 ± 0.05 | 0.51 ± 0.03 |
| Cases | SNP | Chromosomes | p-Value | Distance from Genes (bp) | P. Virgatum Gene | Orthologous Genes | Identity | Predicted Functions |
|---|---|---|---|---|---|---|---|---|
| 478-DTVI-DTIA-DSIA | Chr02K_29538993 | Chr02K | 3.30 × 10−6 | 1083 | Pavir.2KG226200 | Pahal.B01583.1 Pha | 99.6 | Zinc-binding finger, Glycosyl transferase, cellulose biosynthesis |
| Chr02N_74508772 | Chr02N | 1.76 × 10−5 | 899 | Pavir.2NG397900 | Pahal.B03217.1 Pha | 97.2 | GDP-fucose protein O-fucosyltransferase | |
| Chr02N_79645558 | Chr02N | 1.00 × 10−5 | 1496 | Pavir.2NG424700 | Sobic.002G259700.1 Sbi | 98.4 | Pyruvate dehydrogenase (acetyl-transferring) | |
| Chr02N_88427045 | Chr02N | 5.70 × 10−6 | 1046 | Pavir.2NG500000 | Pahal.B04009.1 Pha | 100 | Casein kinase II, beta subunit | |
| Chr03K_26598614 | Chr03K | 9.25 × 10−6 | 1239 | Pavir.3KG329700 | Sevir.3G174000.1 Svi | 90.6 | DNA polymerase III | |
| Chr03K_28867984 | Chr03K | 8.31 × 10−6 | 788 | Pavir.3KG358400 | Sevir.3G185400.1 Svi | 93.3 | Serine aminopeptidase | |
| Chr04N_47494808 | Chr04N | 8.29 × 10−6 | 235 | Pavir.4NG267200 | Sobic.010G215800.1 Sbi | 78.2 | OSIGBa0118P15.3 relating to protein hydrolase activity | |
| 8698 | Pavir.4NG267500 | LOC_Os06g44890.1 Osa | 93.3 | Villin as an anti-apoptotic protein | ||||
| Chr05K_5450256 | Chr05K | 7.26 × 10−6 | 47 | Pavir.5KG028600 | Pahal.E04447.1 Pha | 97.5 | Tetratricopeptide repeat | |
| Chr05K_90814719 | Chr05K | 8.62 × 10−7 | 321 | Pavir.5KG482000 | Zm00008a014067_T0 Zma | 94.9 | ABC transporter | |
| Chr07K_50656672 | Chr07K | 1.22 × 10−5 | 207 | Pavir.7KG196600 | Zm00008a007144_T01 Zma | 95.2 | Interleukin-1 receptor-associated kinase | |
| Chr07K_56339702 | Chr07K | 4.94 × 10−6 | 756 | Pavir.7KG255200 | Pahal.G01334.1 Pha | 92.1 | Uncharacterized ACR, COG1399 | |
| 930 | Pavir.7KG255000 | LOC_Os04g44320.1 Osa | 84.2 | Oligopeptide transporter protein | ||||
| Chr07N_48546809 | Chr07N | 9.13 × 10−7 | 524 | Pavir.7NG240300 * | LOC_Os04g39430.1 Osa | 88.1 | Cytochrome P450 CYP4/CYP19/CYP26 subfamilies | |
| Chr07N_61547213 | Chr07N | 2.18 × 10−7 | 571 | Pavir.7NG322400 | LOC_Os04g51350.1 Osa | 91.1 | PPR repeat family | |
| Chr09N_106831822 | Chr09N | 5.42 × 10−6 | 20 | Pavir.9NG844100 | Sobic.001G445100.1 Sbi | 73.5 | Putative uncharacterized protein | |
| 9902 | Pavir.9NG844200 | GRMZM2G118497_T0 Zma | 98.5 | Mitochondrial Fe2+ transporter MMT1 and metal tolerate | ||||
| 4X-DSVI-MNY | Chr03K_8647071 | Chr03K | 3.12 × 10−6 | 733 | Pavir.3KG095300 | Sobic.009G005500.1 Sbi | 93.6 | Histone acetyltransferases subunit 3 |
| 6957 | Pavir.3KG095200 | Sobic.009G005400.1 Sbi | 96.8 | Peroxisomal membrane protein, ABC transporter | ||||
| Chr03N_12119852 | Chr03N | 7.69 × 10−7 | 2038 | Pavir.3NG101800 | LOC_Os12g22284.1 Osa | 89.3 | ABC-2 type transporter | |
| Chr07N_61547213 | Chr07N | 1.66 × 10−6 | 571 | Pavir.7NG322400 | LOC_Os04g51350.1 Osa | 91.1 | PPR repeat family | |
| 8X-DTVI-DSIA | Chr09N_3891068 | Chr09N | 2.66 × 10−7 | 535 | Pavir.9NG061100 | Sobic.001G040600.1 Sbi | 94.3 | DNA topoisomerase (ATP-hydrolyzing), dirigent |
| lowland-mean TL | Chr01K_36400224 | Chr01K | 3.08 × 10−6 | 1354 | Pavir.1KG225400 | Sobic.004G141800.2 Sbi | 96 | Similar to Os02g0469200 protein |
| 10,167 | Pavir.1KG225100 | Sevir.1G159400.1 Svi | 88 | MORC family ATPases | ||||
| Chr05N_24540124 | Chr05N | 5.43 × 10−6 | 1020 | Pavir.5NG192000 | Sevir.5G038000.1 Svi | 100 | COP9 signalosome complex | |
| Chr05N_35504012 | Chr05N | 2.47 × 10−6 | 360 | Pavir.5NG248900 | Sevir.5G193800.1 Svi | 88.5 | Basic leucine zipper (bZIP) transcription factor | |
| Chr05N_84742282 | Chr05N | 5.20 × 10−6 | 1309 | Pavir.5NG476900 | Zm00008a032406_T01 Zma | 71.5 | TB2/DP1, HVA22 family | |
| Chr06N_14870066 | Chr06N | 2.40 × 10−6 | 1766 | Pavir.6NG083100 | Sevir.6G037200.1 Svi | 97.6 | Homeobox-leucine zipper protein | |
| Chr07N_22055455 | Chr07N | 1.89 × 10−5 | 1088 | Pavir.7NG091000 | Sobic.010G276700.1 Sbi | 98.2 | Sucrose synthase | |
| Chr09N_17627471 | Chr09N | 1.47 × 10−5 | 2258 | Pavir.9NG173600 | Pahal.I02469.1 Pha | 92.7 | Phytochrome-interacting factor 4 | |
| Chr09N_82637734 | Chr09N | 1.16 × 10−6 | 1030 | Pavir.9NG499500 | Zm00008a001876_T01 Zma | 95.3 | Alpha/beta hydrolase family | |
| upland-DTIA-MTL | Chr01K_61692577 | Chr01K | 1.52 × 10−6 | 6831 | Pavir.1KG372200 | Sobic.010G272700.1 Sbi | 53.6 | Exo70 exocyst complex subunit |
| 2646 | Pavir.1KG372200 | Zm00008a022268_T01 Zma | 95.9 | Nicotinamidase | ||||
| Chr07K_54502620 | Chr07K | 4.48 × 10−6 | 3810 | Pavir.7KG238800 * | LOC_Os04g43730.1 Osa | 73.6 | Calcium-binding EGF domain (EGF_CA), Wall-associated receptor kinase galacturonan-binding |
| Traits | PVE (Adjusted PVE) |
|---|---|
| DTVI | 11.68 (6.38) |
| DTIA | 8.76 (3.28) |
| DSVI | 25.03 (20.53) |
| DSIA | 30.68 (26.52) |
| mean TL | 15.73 (10.67) |
| MNY | 15.74 (10.68) |
| MTL | 13.7 (8.52) |
Publisher’s Note: MDPI stays neutral with regard to jurisdictional claims in published maps and institutional affiliations. |
© 2022 by the authors. Licensee MDPI, Basel, Switzerland. This article is an open access article distributed under the terms and conditions of the Creative Commons Attribution (CC BY) license (https://creativecommons.org/licenses/by/4.0/).
Share and Cite
Songsomboon, K.; Crawford, R.; Crawford, J.; Hansen, J.; Cummings, J.; Mattson, N.; Bergstrom, G.C.; Viands, D.R. Genome-Wide Associations with Resistance to Bipolaris Leaf Spot (Bipolaris oryzae (Breda de Haan) Shoemaker) in a Northern Switchgrass Population (Panicum virgatum L.). Plants 2022, 11, 1362. https://doi.org/10.3390/plants11101362
Songsomboon K, Crawford R, Crawford J, Hansen J, Cummings J, Mattson N, Bergstrom GC, Viands DR. Genome-Wide Associations with Resistance to Bipolaris Leaf Spot (Bipolaris oryzae (Breda de Haan) Shoemaker) in a Northern Switchgrass Population (Panicum virgatum L.). Plants. 2022; 11(10):1362. https://doi.org/10.3390/plants11101362
Chicago/Turabian StyleSongsomboon, Kittikun, Ryan Crawford, Jamie Crawford, Julie Hansen, Jaime Cummings, Neil Mattson, Gary C. Bergstrom, and Donald R. Viands. 2022. "Genome-Wide Associations with Resistance to Bipolaris Leaf Spot (Bipolaris oryzae (Breda de Haan) Shoemaker) in a Northern Switchgrass Population (Panicum virgatum L.)" Plants 11, no. 10: 1362. https://doi.org/10.3390/plants11101362
APA StyleSongsomboon, K., Crawford, R., Crawford, J., Hansen, J., Cummings, J., Mattson, N., Bergstrom, G. C., & Viands, D. R. (2022). Genome-Wide Associations with Resistance to Bipolaris Leaf Spot (Bipolaris oryzae (Breda de Haan) Shoemaker) in a Northern Switchgrass Population (Panicum virgatum L.). Plants, 11(10), 1362. https://doi.org/10.3390/plants11101362

