Variability in the Chemical Composition of a New Aromatic Plant Artemisia balchanorum in Southern Russia
Abstract
1. Introduction
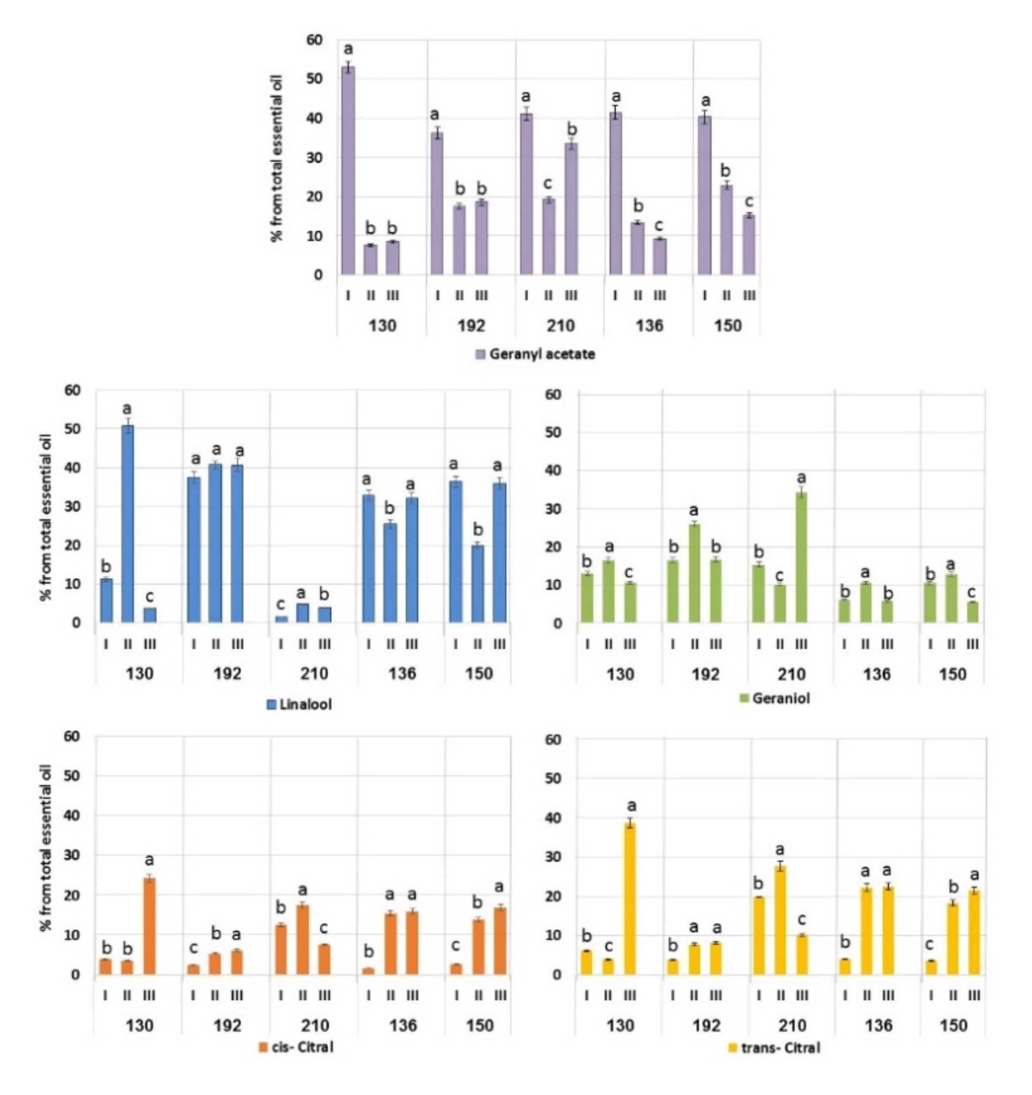
2. Results and Discussion
3. Materials and Methods
3.1. Plant Material and Micropropagation
3.2. Chemical Analysis
3.3. Statistical Analysis
4. Conclusions
Supplementary Materials
Author Contributions
Funding
Conflicts of Interest
References
- Gruessner, B.M.; Cornet-Vernet, L.; Desrosiers, M.; Lutgen, P.; Towler, M.J.; Weathers, P.J. It is not just artemisinin: Artemisia sp. for treating diseases including malaria and schistosomiasis. Phytochem. Rev. 2019, 18, 1509–1527. [Google Scholar] [CrossRef] [PubMed]
- Nigam, M.; Atanassova, M.; Mishra, A.P.; Pezzani, R.; Devkota, H.P.; Plygun, S.; Salehi, B.; Setzer, W.N.; Sharifi-Rad, J. Bioac-tive compounds and health benefits of Artemisia species. Nat. Prod. Commun. 2019, 14, 11. [Google Scholar]
- Koul, B.; Taak, P.; Kumar, A.; Khatri, T.; Sanyal, I. The Artemisia genus: A review on traditional uses, phytochemical constituents, pharmacological properties and germplasm conservation. J. Glycom. Lipidom. 2018, 7, 1–7. [Google Scholar] [CrossRef]
- Rashid, M.U.; Alamzeb, M.; Ali, S.; Ullah, Z.; Shah, Z.A.; Naz, I.; Khan, M.R. The chemistry and pharmacology of alkaloids and allied nitrogen compounds from Artemisia species: A review. Phytother. Res. 2019, 33, 2661–2684. [Google Scholar] [CrossRef]
- Trendafilova, A.; Moujir, L.M.; Sousa, P.M.C.; Seca, A.M.L. Research advances on health effects of edible Artemisia species and some sesquiterpene lactones constituents. Foods 2021, 10, 65. [Google Scholar] [CrossRef]
- Radulović, N.S.; Blagojević, P.D. Average mass scan of the total ion chromatograms: A new gas chromatography-mass spectrometry derived variable for fast and reliable multivariate statistical treatment of essential oil compositional data. J. Chromatogr. A 2013, 1301, 190–199. [Google Scholar] [CrossRef]
- Al-Snafi, A.E. Oils and fats contents of medicinal plants, as natural ingredients for many therapeutic purposes—A review. IOSR J. Pharm. 2020, 10, 1–41. [Google Scholar]
- Sharmeen, J.B.; Mahomoodally, F.M.; Zengin, G.; Maggi, F. Essential oils as natural sources of fragrance compounds for cosmetics and cosmeceuticals. Molecules 2021, 26, 666. [Google Scholar] [CrossRef]
- Liu, X.; Cai, J.; Chen, H.; Zhong, Q.; Hou, Y.; Chen, W.; Chen, W. Antibacterial activity and mechanism of linalool against Pseudomonas aeruginosa. Microb. Pathog. 2020, 141, 103980. [Google Scholar] [CrossRef]
- Lei, Y.; Fu, P.; Jun, X.; Cheng, P. Pharmacological properties of geraniol—A review. Planta Med. 2018, 85, 48–55. [Google Scholar] [CrossRef]
- Chizzola, R. Regular monoterpenes and sesquiterpenes (essential oils). In Natural Products; Ramawat, K., Mérillon, J.M., Eds.; Springer: Berlin/Heidelberg, Germany, 2013; pp. 2973–3008. [Google Scholar] [CrossRef]
- Chen, W.; Viljoen, A. Geraniol—A review of a commercially important fragrance material. S. Afr. J. Bot. 2010, 76, 643–651. [Google Scholar] [CrossRef]
- Figueiredo, A.C.; Barroso, L.G.; Pedro, J.G.; Scheffer, J.J.C. Factors affecting secondary metabolite production in plants: Volatile components and essential oils. Flavour Fragr. J. 2008, 23, 213–226. [Google Scholar] [CrossRef]
- Li, Y.; Kong, D.; Fu, Y.; Sussman, M.R.; Wu, H. The effect of developmental and environmental factors on secondary metabolites in medicinal plants. Plant Physiol. Biochem. 2020, 148, 80–89. [Google Scholar] [CrossRef] [PubMed]
- Cosge Şenkal, B.; Kiralan, M.; Yaman, C. The Effect of different harvest stages on chemical composition and antioxidant capacity of essential oil from Artemisia annua L. Tarım Bilim. Derg. 2014, 21, 71. [Google Scholar] [CrossRef][Green Version]
- Howyzeh, M.S.; Noori, S.A.S.; Shariati, J.V. Essential oil profiling of Ajowan (Trachyspermum ammi) industrial medicinal plant. Ind. Crop. Prod. 2018, 119, 255–259. [Google Scholar] [CrossRef]
- Egamberdieva, D.; Jabborova, D. Medicinal plants of Uzbekistan and their traditional uses. In Vegetation of Central Asia and Environs; Egamberdieva, D., Öztürk, M., Eds.; Springer Nature: Cham, Switzerland, 2018; pp. 211–237. [Google Scholar] [CrossRef]
- Rabotyagov, V.D.; Isikov, V.P.; Ovcharenko, N.S. Variability of the component composition of essential oil in Artemisia bal-chanorum Krasch. plants infected with the rust fungus Puccinia absinthii DC. Physiol. Biochem. Cult. Plants 2011, 5, 419–424. [Google Scholar]
- Svidenko, L.V. Results of introduction and selection of Artemisia balchanorum Krasch. in the steppe zone of southern Ukraine. Proc. Nikita Bot. Gard. 2011, 133, 209–220. [Google Scholar]
- Kotikov, I.V.; Khodakov, G.V. Lipids from the aboveground part of the plant Artemisia balchanorum Krasch. Scientific notes of the Crimean Federal University named after Vernadsky. Biol. Chem. 2013, 2, 222–225. [Google Scholar]
- Jirgalova, E.A. Methods of Reproduction of Lemon Wormwood in the Conditions of the Central Zone of the Republic of Kalmykia; Collection of Scientific Works of Young Scientists, Postgraduates and Students of the Kalmyk State University; Elista: Kalmykia, Russia, 2004; pp. 10–13. (In Russian) [Google Scholar]
- Mitrofanova, O.V.; Logvinenko, I.E.; Ivanova, N.N. Regeneration of Plants from Isolated Organs and Tissues of Artemisia balchanorum Krasch. and Artemisia scoparia W. K; Nikita Botanical Garden: Yalta, Russia, 1997; Volume 119, pp. 7–34. (In Russian) [Google Scholar]
- Ganjewala, D.; Luthra, R. Essential oil biosynthesis and regulation in the genus Cymbopogon. Nat. Prod. Commun. 2010, 5, 163–172. [Google Scholar] [CrossRef]
- Logvinenko, L.A.; Shevchuk, O.M. The citral form of Artemisia santonica L. f. citralifera N. Rubtz. Zemledelie 2020, 7, 16–20. (In Russian) [Google Scholar] [CrossRef]
- Ganjewala, D.; Gupta, A.K.; Muhury, R. An update on bioactive potential of a monoterpene aldehyde citral. J. Biol. Act. Prod. Nat. 2012, 2, 186–199. [Google Scholar] [CrossRef]
- Pereira, I.; Severino, P.; Santos, A.C.; Silva, A.; Souto, E.B. Linalool bioactive properties and potential applicability in drug delivery systems. Colloids Surf. B Biointerfaces 2018, 171, 566–578. [Google Scholar] [CrossRef]
- Basher, K.H.C.; Özek, T.; Demirchakmak, B.; Nuriddinov, K.R.; Abduganiev, B.Y.; Aripov, K.N.; Khodzimatov, K.K.; Nigmatullaev, O.A.; Shamyanov, E.D. Essential oils of some Artemisia species from Central Asia. Chem. Nat. Compd. 1997, 33, 293–295. [Google Scholar] [CrossRef]
- Svidenko, L.V.; Rabotyagov, V.D. Study of biochemistry hybrids of Artemisia and their initial species in conditions of the Kherson region. Plant Introd. 2003, 1–2, 117–121. (In Russian) [Google Scholar]
- Wetzstein, H.Y.; Porter, J.A.; Janick, J.; Ferreira, J.F.S.; Mutui, T.M. Selection and clonal propagation of high artemisinin genotypes of Artemisia annua. Front. Plant Sci. 2018, 9, 358. [Google Scholar] [CrossRef]
- Manish, D. Seed physiology and germination in sweet wormwood (Artemisia annua L.). Med. Plants-Int. J. Phytomed. Relat. Ind. 2016, 8, 244–248. [Google Scholar]
- Shinde, S.; Sebastian, J.K.; Jain, J.R.; Hanamanthagouda, M.S.; Murthy, H.N. Efficient in vitro propagation of Artemisia nilagirica var. nilagirica (Indian wormwood) and assessment of genetic fidelity of micropropagated plants. Physiol. Mol. Biol. Plants 2016, 22, 595–603. [Google Scholar] [CrossRef]
- Shinde, S.; Katewal, P.R.; Shanbhag, D.D.; Joseph, K.S.; Murthy, H.N. In vitro propagation of Artemisia japonica. J. Herbs Spices Med. Plants 2017, 23, 36–43. [Google Scholar] [CrossRef]
- Ribeiro, S. Whole organisms or pure compounds? Entourage effect versus drug specificity. Phytother. Res. 2019, 33, 2661–2684. [Google Scholar]
- Koltai, H.; Namdar, D. Cannabis phytomolecule ‘entourage’: From domestication to medical use. Trends Plant Sci. 2020, 25, 976–984. [Google Scholar] [CrossRef]



| Cultivar Number | Content in Fresh Mass (%) | Dry Weight (%) | Content in Dry Mass (%) |
|---|---|---|---|
| 130 | 0.65 d | 34.03 a | 1.91 d |
| 192 | 1.17 c | 34.61 a | 3.38 c |
| 210 | 0.37 e | 34.26 a | 1.08 e |
| 136 | 1.43 b | 36.86 a | 3.88 b |
| 150 | 1.64 a | 36.12 a | 4.54 a |
Publisher’s Note: MDPI stays neutral with regard to jurisdictional claims in published maps and institutional affiliations. |
© 2021 by the authors. Licensee MDPI, Basel, Switzerland. This article is an open access article distributed under the terms and conditions of the Creative Commons Attribution (CC BY) license (https://creativecommons.org/licenses/by/4.0/).
Share and Cite
Khodakov, G.V.; Kryukov, L.A.; Shemesh-Mayer, E.; Kamenetsky-Goldstein, R. Variability in the Chemical Composition of a New Aromatic Plant Artemisia balchanorum in Southern Russia. Plants 2022, 11, 6. https://doi.org/10.3390/plants11010006
Khodakov GV, Kryukov LA, Shemesh-Mayer E, Kamenetsky-Goldstein R. Variability in the Chemical Composition of a New Aromatic Plant Artemisia balchanorum in Southern Russia. Plants. 2022; 11(1):6. https://doi.org/10.3390/plants11010006
Chicago/Turabian StyleKhodakov, Gennadii V., Lavr A. Kryukov, Einat Shemesh-Mayer, and Rina Kamenetsky-Goldstein. 2022. "Variability in the Chemical Composition of a New Aromatic Plant Artemisia balchanorum in Southern Russia" Plants 11, no. 1: 6. https://doi.org/10.3390/plants11010006
APA StyleKhodakov, G. V., Kryukov, L. A., Shemesh-Mayer, E., & Kamenetsky-Goldstein, R. (2022). Variability in the Chemical Composition of a New Aromatic Plant Artemisia balchanorum in Southern Russia. Plants, 11(1), 6. https://doi.org/10.3390/plants11010006

