The Role of Flavonoids in Invasion Strategy of Solidago canadensis L.
Abstract
:1. Introduction
2. Results
2.1. Comparative Analysis of the Secondary Metabolites in Leaves of Solidago Canadensis and Solidago Gigantea
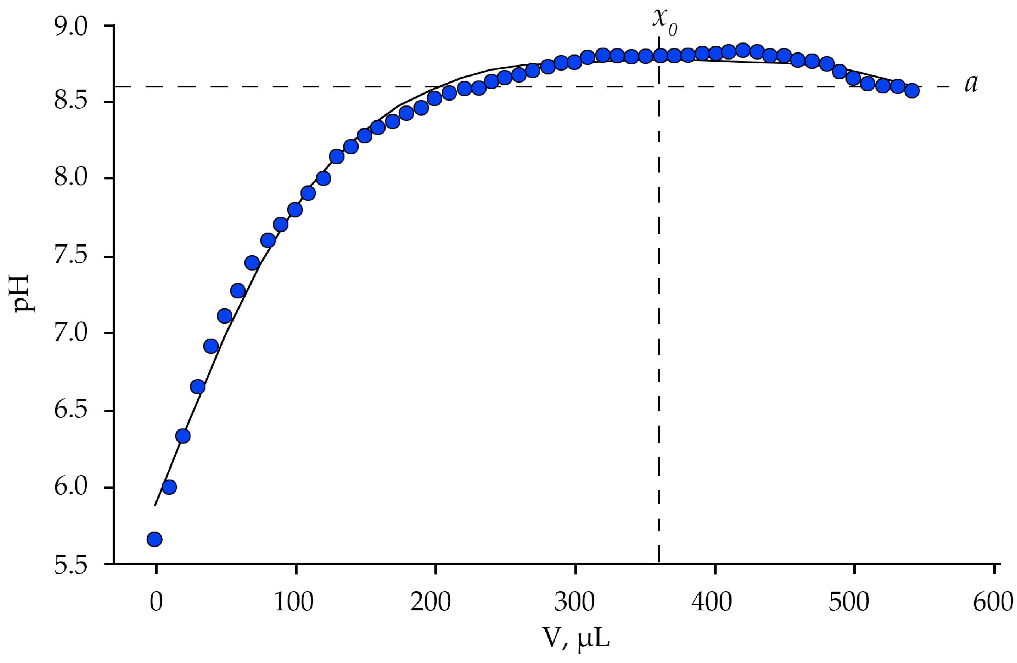
2.2. Modeling of Formation Processes of Organic Complexes of Flavonoids with Ammonium Nitrogen
2.3. Experimental Determination of Biological Activity of Flavonoids in Complex with Ammonium
2.4. Positive Chemotaxis of Rhizobial Bacteria to the Rutin-Ammonium Complex
3. Discussion
4. Materials and Methods
4.1. Collection and Phytochemical Studies of Plant Material
4.1.1. Source Plant Material
4.1.2. Methods of High-Performance Liquid Chromatography
4.2. Preparation of Phenol-Ammonium Complexes from Plant Extracts and Flavonoids
4.2.1. Obtaining Complexes Based on Aqueous Extracts of Leaves with a Solution of Ammonia
4.2.2. Obtaining Polar Complexes Based on Rutin with an Aqueous Solution of Ammonia
4.2.3. Adsorption of Secondary Metabolites from Leaf Extracts of Solidago Canadensis and Solidago Gigantea on Al2O3 and Determination of Flavonoid Content
4.3. Bioassay
4.3.1. Germination of Seeds of Test Crops and Conditions for Processing and Growing Plants
4.3.2. Study of Chemotaxis of Pseudomonas Sp. Bacteria
4.4. Methods of Digital and Statistical Data Processing
5. Conclusions
Supplementary Materials
Author Contributions
Funding
Institutional Review Board Statement
Informed Consent Statement
Data Availability Statement
Acknowledgments
Conflicts of Interest
References
- Burda, R.I.; Pashkevych, N.A.; Boiko, G.V.; Fitsailo, T.V. Alien Species of the Protect Floras of Forest-Steppe of Ukraine; Naukova Dumka: Kyiv, Ukraine, 2015; 120p. [Google Scholar]
- Chuj, O.V.; Shumskaja, N.V. Biometric parameters of generative species Pulsatilla patens (L.) Mill. In Cenopopulations of Western Podillia; Cherkasy University Bulletin: Biological Sciences Series; Cherkasy University: Cherkasy, Ukraine, 2014; Volume 36, pp. 124–128. (In Ukrainian) [Google Scholar]
- Kabuce, N.; Priede, N. NOBANIS—Invasive Alien Species Fact Sheet—Solidago Canadensis. From: Online Database of the European Network on Invasive Alien Species—NOBANIS. 2010. Available online: www.nobanis.org (accessed on 18 August 2021).
- Pashkevych, N.; Burda, R. Distribution of alien species from Poaceae and Asteraceae families in the protected areas of Ukrainian forest-steppe. Thaiszia J. Bot. 2017, 27, 29–39. [Google Scholar]
- Protopopova, V.V.; Shevera, M.V. Ergasiophytes of the Ukrainian flora. Biodiv. Res. Conserv. 2014, 35, 31–46. [Google Scholar] [CrossRef]
- Protopopova, V.V.; Shevera, M.V. Invasive species in the flora of Ukraine. I. The group of highly active species. Geo Bio. 2019, 17, 116–135. (In Ukrainian) [Google Scholar] [CrossRef]
- Abduloyeva, O.S.; Karpenko, N.I. Occurrence of alien invasive plant species in vegetation syntaxa of Ukraine. Chornomorski Bot. J. 2009, 5, 189–198. (In Ukrainian) [Google Scholar] [CrossRef]
- Abhilasha, D.; Quintana, N.; Vivanco, J.; Joshi, J. Do allelopathic compounds in invasive Solidago canadensis s.l. restrain the native European flora? J. Ecol. 2008, 96, 993–1001. [Google Scholar] [CrossRef]
- Oitsius, L.V.; Volovyk, P.H.; Doletskyi, S.P.; Lysytsya, A.V. Distribution of adventive species Solidago canadensis, Phalacroloma annuum, Ambrosia artemisiifolia, Heracleum sosnowsky in phytocenoses of Volyn’ Polissya (Ukraine). Biosyst. Divers. 2020, 28, 343–349. [Google Scholar] [CrossRef]
- Gusev, A.P. The impact of invasive Canadian Goldenrod (Solidago canadensis L.) on regenerative succession in old fields (The Southeast of Belarus). Russ. J. Biol. Invasions 2015, 1, 10–16. (In Russian) [Google Scholar] [CrossRef]
- Gusev, A.P. The invasion of Canadian Goldenrod (Solidago canadensis L.) into anthropogenic landscapes of Belarus. Russ. J. Biol. Invasions 2017, 4, 28–35. (In Russian) [Google Scholar] [CrossRef]
- Olijnyk, M.P. Variability of morphological signs of populations Solidago Canadensis L. and Solidago Gigantea Ait. In Different Ecological Conditions; Scientific Bulletin of the National Forestry University of Ukraine: Lviv, Ukraine, 2018; Volume 28, pp. 60–63. [Google Scholar]
- Keane, R.M.; Crawley, M.J. Exotic plant invasions and the enemy release hypothesis. Trends Ecol. Evol. 2002, 17, 164–170. [Google Scholar] [CrossRef]
- Liao, M.; Xie, X.; Peng, Y.; Chai, J.; Chen, N. Characteristics of soil microbial community functional and structure diversity with coverage of Solidago canadensis L. J. Centr. South Univ. 2013, 20, 749–756. [Google Scholar] [CrossRef]
- Inderjit; Callaway, R.M.; Vivanco, J.M. Can plant biochemistry contribute to understanding of invasion ecology? Trends Plant Sci. 2006, 11, 574–580. [Google Scholar] [CrossRef]
- Wang, C.; Jiang, K.; Zhou, J.; Wu, B. Solidago canadensis invasion affects soil N-fixing bacterial communities in heterogeneous landscapes in urban ecosystems in East China. Sci. Total Environ. 2018, 631–632, 702–713. [Google Scholar] [CrossRef]
- Zandi, P.; Barabasz-Krasny, B.; Stachurska-Swakon, A.; Pula, J.; Mozdzen, K. Allelopathic effect of invasive Canadian goldenrod (Solidago canadensis L.) on early growth of red clover (Trifolium pratense L.). Not. Bot. Horti Agrobot. Cluj-Napoca 2020, 48, 2060–2071. [Google Scholar] [CrossRef]
- Xie, L.J.; Zeng, R.S.; Bi, H.H.; Song, Y.Y.; Wang, R.L.; Su, Y.J.; Chen, M.; Chen, S.; Liu, Y.H. Allelochemical mediated invasion of exotic plants in China. Allelopath. J. 2010, 25, 31–50. [Google Scholar]
- Choi, S.Z.; Sang, U.C.; Kang, R.L. Phytochemical constituents of the aerial parts from Solidago virga-aurea var. gigantea. Arch. Pharm. Res. 2004, 27, 164–168. [Google Scholar] [CrossRef]
- Iason, G.R.; Dicke, M.; Hartley, S.E. The Ecology of Plant Secondary Metabolities. From Genes to Global Process; University Press: Cambridge, UK, 2012; 335p. [Google Scholar]
- Radušiene, J.; Marska, M.; Ivanauskas, L.; Jakstas, V.; Karpaviciene, B. Assessment of phenolic compound accumulation in two widespread goldenrods. Ind. Crop. Prod. 2015, 63, 158–166. [Google Scholar] [CrossRef]
- Avertseva, I.N.; Suleymanova, F.S.; Nesterova, O.V.; Reshetnyak, V.Y.; Matveenko, V.N.; Zhukov, P.A. Study of Polyphenolic Compounds in Extracts from Flowers and Leaves of Canadian Goldenrod and Dwarf Goldenrod (Solidago canadensis L. and Solidago nana Nitt.). Mosc. Univ. Chem. Bull. 2020, 75, 47–51. [Google Scholar] [CrossRef]
- Wu, M.; Ge, Y.; Xu, C.; Wang, J. Metabolome and Transcriptome Analysis of Hexaploid Solidago canadensis Roots Reveals its Invasive Capacity Related to Polyploidy. Genes 2020, 11, 187. [Google Scholar] [CrossRef] [PubMed] [Green Version]
- Te Beest, M.; Roux, J.J.L.; Richardson, D.M.; Brysting, A.K.; Suda, J.; Kubešová, M.; Pyšek, P. The more the better? The role of polyploidy in facilitating plant invasions. Ann. Bot. 2012, 109, 19–45. [Google Scholar] [CrossRef] [PubMed] [Green Version]
- Rosche, C.; Hensen, I.; Mráz, P.; Durka, W.; Hartmann, M.; Lachmuth, S. Invasion success in polyploids: The role of inbreeding in the contrasting colonization abilities of diploid versus tetraploid populations of Centaurea stoebe s.I. J. Ecol. 2017, 105, 425–435. [Google Scholar] [CrossRef]
- Lavania, U.C.; Sarita, S.; Seshu, L.; Surochita, B.; Nandeesh Kumar, M.; Yasuhiko, M. Autopolyploidy differentially influences body size in plants, but facilitates enhanced accumulation of secondary metabolites, causing increased cytosine methylation. Plant J. 2012, 71, 539–549. [Google Scholar] [CrossRef]
- Zekic, J.; Vovk, I.; Glavnik, V. Extraction and Analyses of Flavonoids and Phenolic Acids from Canadian Goldenrod and Giant Goldenrod. Forests 2021, 12, 40. [Google Scholar] [CrossRef]
- Subin, O.V.; Likhanov, A.F.; Sereda, O.V.; Klyuvadenko, A.A.; Melnychuk, M.D. Dynamics of phenolic compounds in leaves Fragaria ananassa Duch. after treatment with different forms of chitosan. BioTechnologia 2020, 101, 227–237. [Google Scholar] [CrossRef]
- Baležentiene, L. Secondary metabolite accumulation and phytotoxicity of invasive species Solidago canadensis L. during the growthperiod. Allelopath. J. 2015, 35, 217–226. [Google Scholar]
- Mozdzen, K.; Barabasz-Krasny, B.; Zandi, P.; Kliszcz, A.; Puła, J. Effect of Aqueous Extracts from Solidago Canadensis L. Leaves on Germination and Early Growth Stages of Three Cultivars of Raphanus sativus L. var. Radicula Pers. Plants 2020, 9, 1549. [Google Scholar]
- Wang, C.; Xiao, H.; Zhao, L.; Liu, J.; Wang, L.; Zhang, F.; Du, D. The allelopathic effects of invasive plant Solidago canadensis on seed germination and growth of Lactuca sativa enhanced by different types of acid deposition. Ecotoxicology 2016, 25, 555–562. [Google Scholar] [CrossRef]
- Stevenson, F.J.; Nommik, H.; Vahtras, K. Retention and Fixation of Ammonium and Ammonia in Soils. Agron. Monograph. 1982, 22, 123–171. [Google Scholar]
- Forde, B.G.; Clarkson, D.T. Nitrate and Ammonium Nutrition of Plants: Physiological and Molecular Perspectives. Adv. Bot. Res. 1999, 30, 1–90. [Google Scholar]
- Macduff, J.H.; Jackson, S.B. Growth and Preferences for Ammonium or Nitrate Uptake by Barley in Relation to Root Termperature. J. Exp. Bot. 1991, 42, 521–530. [Google Scholar] [CrossRef]
- Hu, Z.; Li, J.; Shi, K.; Ren, G.; Dai, Z.; Sun, J.; Zheng, X.; Zhou, Y.; Zhang, J.; Li, G.; et al. Effects of Canada Goldenrod Invasion on Soil Extracellular Enzyme Activities and Ecoenzymatic Stoichiometry. Sustainability 2021, 13, 3768. [Google Scholar] [CrossRef]
- Dassonville, N.; Guillaumaud, N.; Piola, F.; Meerts, P.; Poly, F. Niche construction by the invasive Asian knotweeds (species complex Fallopia): Impact on activity, abundance and community structure of denitrifiers and nitrifiers. Biol. Invasions 2011, 13, 1115–1133. [Google Scholar] [CrossRef]
- Zhang, S.; Zhu, W.; Wang, B.; Tang, J.; Chen, X. Secondary metabolites from the invasive Solidago canadensis L. accumulation in soil and contribution to inhibition of soil pathogen Pythium ultimum. Appl. Soil Ecol. 2011, 48, 280–286. [Google Scholar] [CrossRef]
- Liao, M.; Xie, X.; Peng, Y.; Ma, A. Changes of Soil Microbiological Characteristics after Solidago canadensis L. Invasion. Agric. Sci. China 2011, 10, 1064–1071. [Google Scholar] [CrossRef]
- Li, G.; Kim, S.; Han, S.H.; Chang, H.; Du, D.; Son, Y. Precipitation affects soil microbial and extracellular enzymatic responses towarming. Soil Biol. Biochem. 2018, 120, 212–221. [Google Scholar] [CrossRef]
- Ge, Y.; Wang, Q.; Wang, L.; Liu, W.; Christie, P. Response of soil enzymes and microbial communities to root extracts of the alien Alternanthera philoxeroides. Arch. Agron. Soil Sci. 2018, 64, 708–717. [Google Scholar] [CrossRef]
- Apati, P.; Szentmihályi, K.; Balázs, A.; Baumann, D.; Hamburger, M.; Kristó, T.S.; Szoke, É.; Kéry, Á. HPLC analysis of the flavonoids in pharmaceutical preparations from Canadian Goldenrod (Solidago canadensis). Chromatographia 2002, 56, S65–S68. [Google Scholar] [CrossRef]
- Papp, I.; Apati, P.; Andrasek, V.; Blazovics, A.; Balazs, A.; Kursinszki, L.; Kite, G.C.; Houghton, P.J.; Kery, A. LC-MS Analysis of Antioxidant Plant Phenoloids. Chromatographia 2004, 60, 93–100. [Google Scholar] [CrossRef]
- Moiseev, D.V.; Buzuk, G.N.; Sheluto, V.L. HPLC identification of flavonoids in plants. Khimiko-Farmatsevticheskii Zhurnal 2011, 45, 35–38. (In Russian) [Google Scholar] [CrossRef]
- Kurkina, A.V. Flavonoids of Pharmacopoeial Plants; Ophort: Samara, Russia, 2012; 290p. (In Russian) [Google Scholar]
- Buer, C.S.; Imin, N.; Djordjevic, M.A. Flavonoids: New roles for old molecules. J. Integr. Plant Biol. 2010, 52, 98–111. [Google Scholar] [CrossRef]
- Volynets, A.P. Phenolic Compounds in the Life of Plants; Belaruskaya Navuka: Minsk, Russia, 2013; 283p. (In Russian) [Google Scholar]
- Graf, E. Antioxidant potential of ferulic acid. Free. Radic. Biol. Med. 1992, 13, 435–448. [Google Scholar] [CrossRef]
- Zaprometov, M.N. Phenolic Compounds. Distribution, Metabolism and Function in Plants; Nauka: Moscow, Russia, 1993; 272p. (In Russian) [Google Scholar]
- Apati, P.; Szentmihalyi, K.; Kristo, S.T.; Papp, I.; Vinkler, P.; Szoke, E.; Kery, A. Herbal remedies of Solidago—Correlation of phytochemical characteristics and antioxidative properties. J. Pharm. Biomed. Anal. 2003, 32, 1045–1053. [Google Scholar] [CrossRef]
- Grana, E.; Costas-Gil, A.; Longueira, S.; Celeiro, M.; Teijeira, M.; Reigosa, M.J.; Sanchez-Moreiras, A.M. Auxin-like effects of the natural coumarin scopoletin on Arabidopsis cell structure and morphology. J. Plant Physiol. 2017, 218, 45–55. [Google Scholar] [CrossRef]
- Ibrahim, M.H.; Jaafar, H.Z.; Rahmat, A.; Rahman, Z.A. Effects of Nitrogen Fertilization on Synthesis of Primary and Secondary Metabolites in Three Varieties of Kacip Fatimah (Labisia Pumila Blume). Int. J. Mol. Sci. 2011, 12, 5238–5254. [Google Scholar] [CrossRef] [PubMed]
- Bobbink, R.; Hicks, K.; Galloway, J.; Spranger, T.; Alkemade, R.; Ashmore, M.; Bustamante, M.; Cinderby, S.; Davidson, E.; Dentener, F.; et al. Global assessment of nitrogen deposition effects on terrestrial plant diversity: A synthesis. Ecol. Appl. 2010, 20, 30–59. [Google Scholar] [CrossRef] [PubMed] [Green Version]
- Boonstra, R.; Krebs, C.J.; Cowcill, K. Responses of key understory plants in the boreal forests of western North America to natural versus anthropogenic nitrogen levels. For. Ecol. Manag. 2017, 401, 45–54. [Google Scholar] [CrossRef]
- Li, J.; Ye, Y.; Huang, H.; Dong, L. Kaempferol-3-O-β-D-glucoside, a potential allelochemical isolated from Solidago Canadensis. Allelopath. J. 2011, 28, 259–266. [Google Scholar]
- Huangfu, C.H.; Li, H.Y.; Chen, X.W.; Liu, H.M.; Wang, H.; Yang, D.L. Response of an invasive plant, Flaveria bidentis, to nitrogen addition: A test of form-preference uptake. Biol. Invasions 2016, 18, 3365–3380. [Google Scholar] [CrossRef]
- Ehrenfeld, J.G. Effects of exotic plant invasions on soil nutrient cycling processes. Ecosystems 2003, 6, 503–523. [Google Scholar] [CrossRef]
- Matzek, V. Trait Values, Not Trait Plasticity, Best Explain Invasive Species Performance in a Changing Environment. PLoS ONE 2012, 7, e48821. [Google Scholar] [CrossRef] [PubMed] [Green Version]
- Callaway, R.M.; Ridenour, W.M. Novel weapons: Invasive success and the evolution of increased competitive ability. Front. Ecol. Environ. 2004, 2, 436–443. [Google Scholar] [CrossRef]
- Yuan, Y.G.; Wang, B.; Zhang, S.S.; Tang, J.J.; Tu, C.; Hu, S.J.; Yong, J.W.H.; Chen, X. Enhanced allelopathy and competitive ability of invasive plant Solidago canadensis in its introduced range. J. Plant Ecol. 2013, 6, 253–263. [Google Scholar] [CrossRef] [Green Version]
- Bever, J.D. Negative feedback within a mutualism: Host specific growth of mycorrhizal fungi reduces plant benefit. Proc. R. Soc. B Biol. Sci. 2002, 269, 2595–2601. [Google Scholar] [CrossRef] [PubMed] [Green Version]
- Callaway, R.M.; Bedmar, E.J.; Reinhart, K.O.; Silvan, C.G.; Klironomos, J. Effects of soil biota from different ranges on Robinia invasion: Acquiring mutualists and escaping pathogens. Ecology 2011, 92, 1027–1035. [Google Scholar] [CrossRef] [PubMed]
- Tian, B.; Pei, Y.; Huang, W.; Ding, J.; Siemann, E. Increasing flavonoid concentrations in root exudates enhance associations between arbuscular mycorrhizal fungi and an invasive plant. ISME J. 2021, 15, 1919–1930. [Google Scholar] [CrossRef] [PubMed]
- Adomako, M.O.; Xue, W.; Tang, M.; Du, D.L.; Yu, F.-H. Synergistic Effects of Soil Microbes on Solidago canadensis Depend on Water and Nutrient Availability. Microb. Ecol. 2020, 80, 837–845. [Google Scholar] [CrossRef]
- Didukh, Y.P.; Fitsailo, T.V.; Korotchenko, I.A.; Iakushenko, D.M.; Pashkevych, N.A. Biotopes of Forest and Forest-Steppe Zone of Ukraine; Didukh, Y.P., Ed.; LLC Macros: Kyiv, Ukraine, 2011; 288p. [Google Scholar]











| Flavonoid | S. canadensis | S. gigantea | Absorption Peak, nm | Ref. | ||
|---|---|---|---|---|---|---|
| Retention Time, min | mAU | Retention Time, min | mAU | |||
| Rutin (quercetin-3-O-beta-rutinoside) | 17.762 | 1587 | 17.674 | 176 | 256, 355 | [43] |
| Astragalin (kaempferol-3-O-beta-glucoside) | 18.792 | 331 | 18.714 | 106 | 266, 350 | [43] |
| Nicotiflorin (kaempferol-3-O-beta-rutinoside) | 19.432 | 762 | 19.354 | 402 | 266, 347 | [44] |
| Isoquercitrin (quercetin glycosid) | 19.725 | 562 | 19.621 | 107 | 255, 355 | [42] |
| Afzelin (kaempferol-3-O-beta-rhamnoside) | 20.525 | 142 | 20.407 | 249 | 266, 347 | - |
| Quercetin glycoside 1 | 21.152 | 850 | 21.048 | 70.8 | 256, 356 | - |
| Kaemperfol glycoside | 24.192 | 323 | - | - | 265, 347 | - |
| Quercetin glycoside 2 | 24.592 | 142 | - | - | 254, 355 | - |
| Compounds | Symbols |
|---|---|
| Derivatives of phenols, benzoic and oxybenzoic acids | B |
| Catechins | Cat |
| Coumarins | Cu |
| Derivatives of oxycinnamic acids | OC |
| Flavonoids | F |
| Sterines | S |
| Terpenoids | T |
| Triterpenoid saponins | TS |
| Chlorophylls and their derivatives | X |
| Carotenoids and their derivatives | Y |
| Coefficient and Its Value | Standard Error | t | p | |
|---|---|---|---|---|
| a | 8.7497 | 0.0138 | 635.8646 | <0.0001 |
| b | 390.5112 | 6.4907 | 60.1646 | <0.0001 |
| c | 3.9553 | 0.1341 | 29.4951 | <0.0001 |
| x0 | 369.2351 | 6.0684 | 60.8459 | <0.0001 |
| R2 | 0.9922 | - | ||
Publisher’s Note: MDPI stays neutral with regard to jurisdictional claims in published maps and institutional affiliations. |
© 2021 by the authors. Licensee MDPI, Basel, Switzerland. This article is an open access article distributed under the terms and conditions of the Creative Commons Attribution (CC BY) license (https://creativecommons.org/licenses/by/4.0/).
Share and Cite
Likhanov, A.; Oliinyk, M.; Pashkevych, N.; Churilov, A.; Kozyr, M. The Role of Flavonoids in Invasion Strategy of Solidago canadensis L. Plants 2021, 10, 1748. https://doi.org/10.3390/plants10081748
Likhanov A, Oliinyk M, Pashkevych N, Churilov A, Kozyr M. The Role of Flavonoids in Invasion Strategy of Solidago canadensis L. Plants. 2021; 10(8):1748. https://doi.org/10.3390/plants10081748
Chicago/Turabian StyleLikhanov, Artur, Marian Oliinyk, Nataliia Pashkevych, Andrii Churilov, and Mykola Kozyr. 2021. "The Role of Flavonoids in Invasion Strategy of Solidago canadensis L." Plants 10, no. 8: 1748. https://doi.org/10.3390/plants10081748
APA StyleLikhanov, A., Oliinyk, M., Pashkevych, N., Churilov, A., & Kozyr, M. (2021). The Role of Flavonoids in Invasion Strategy of Solidago canadensis L. Plants, 10(8), 1748. https://doi.org/10.3390/plants10081748

