Phytochemical Profile and Biological Effects of Spruce (Picea abies) Bark Subjected to Ultrasound Assisted and Microwave-Assisted Extractions
Abstract
1. Introduction
2. Results and Discussions
2.1. Assessment of the Content of Total Polyphenols (TPC)
2.2. Assessment of the Content of Total Tannins (TTC)
2.3. Terpenoids Content
2.4. Individual Polyphenol Content
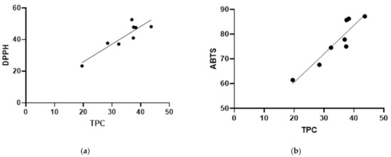
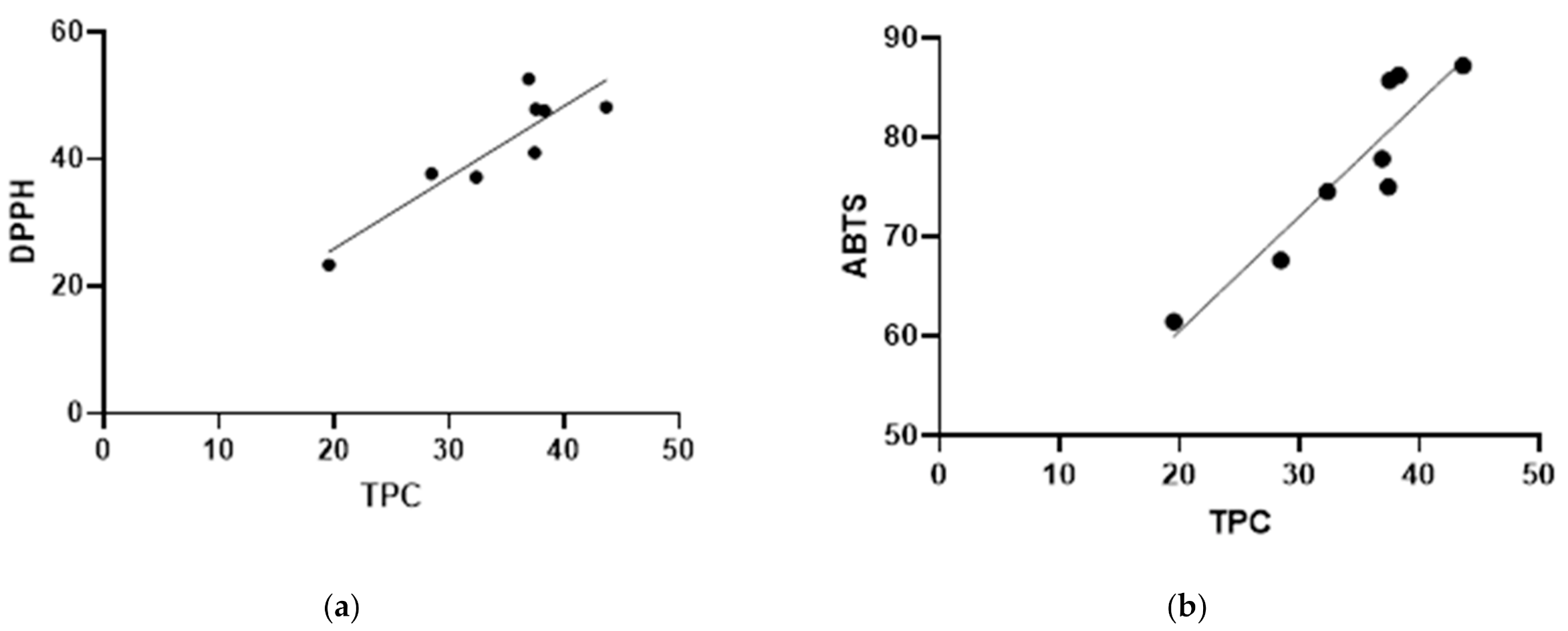
2.5. Antioxidant Capacity (AC)
2.5.1. DPPH Assay
2.5.2. ABTS Assay
2.6. Antibacterial Activity
2.6.1. Gram-Positive Bacteria
2.6.2. Gram-Negative Bacteria
3. Materials and Methods
3.1. Materials
3.2. Extraction
3.3. Assessment of the Content of Total Polyphenols (TPC)
3.4. Assessment of the Content of Total Tannins (TTC)
3.5. Terpenoids Content
3.6. Individual Polyphenol Content
3.7. Antioxidant Capacity (AC)
3.7.1. DPPH Assay
3.7.2. ABTS Assay
3.8. Antibacterial Activity
3.9. Statistical Interpretation of the Data
4. Conclusions
Author Contributions
Funding
Institutional Review Board Statement
Informed Consent Statement
Data Availability Statement
Acknowledgments
Conflicts of Interest
References
- Elansary, H.O.; Szopa, A.; Kubica, P.; Al-Mana, F.; Mahmoud, E.A.; Zin El-Abedin, T.K.A.; Mattar, M.A.; Ekiert, H. Phenolic Compounds of Catalpa speciosa, Taxus cuspidata, and Magnolia acuminata Have Antioxidant and Anticancer Activity. Molecules 2019, 24, 412. [Google Scholar] [CrossRef]
- Mármol, I.; Quero, J.; Jiménez-Moreno, N.; Rodríguez-Yoldi, M.J.; Ancín-Azpilicueta, C. A Systematic Review of the Potential Uses of Pine Bark in Food Industry and Health Care. Trends Food Sci. Technol. 2019, 88, 558–566. [Google Scholar] [CrossRef]
- Busquets-Ferrer, M.; Czabany, I.; Vay, O.; Gindl-Altmutter, W.; Hansmann, C. Alkali-Extracted Tree Bark for Efficient Bio-Based Thermal Insulation. Constr. Build. Mater. 2021, 271, 121577. [Google Scholar] [CrossRef]
- Hamad, A.M.A.; Ates, S.; Olgun, Ç.; Gür, M. Chemical Composition and Antioxidant Properties of Some Industrial Tree Bark Extracts. BioResources 2019, 14, 5657–5671. [Google Scholar]
- Fedorova, T.E.; Fedorov, S.V.; Babkin, V.A. Phenolic Compounds of Picea obovata Ledeb. Bark. Russ. J. Bioorganic Chem. 2019, 45, 927–932. [Google Scholar] [CrossRef]
- Burlacu, E.; Nisca, A.; Tanase, C. A Comprehensive Review of Phytochemistry and Biological Activities of Quercus Species. Forests 2020, 11, 904. [Google Scholar] [CrossRef]
- Jablonsky, M.; Nosalova, J.; Sladkova, A.; Haz, A.; Kreps, F.; Valka, J.; Miertus, S.; Frecer, V.; Ondrejovic, M.; Sima, J.; et al. Valorisation of Softwood Bark through Extraction of Utilizable Chemicals. A Review. Biotechnol. Adv. 2017, 35, 726–750. [Google Scholar] [CrossRef] [PubMed]
- Ignat, I.; Volf, I.; Popa, V.I. A Critical Review of Methods for Characterisation of Polyphenolic Compounds in Fruits and Vegetables. Food Chem. 2011, 126, 1821–1835. [Google Scholar] [CrossRef] [PubMed]
- Coșarcă, S.-L.; Moacă, E.-A.; Tanase, C.; Muntean, D.L.; Pavel, I.Z.; Dehelean, C.A. Spruce and Beech Bark Aqueous Extracts: Source of Polyphenols, Tannins and Antioxidants Correlated to In Vitro Antitumor Potential on Two Different Cell Lines. Wood Sci. Technol. 2019, 53, 313–333. [Google Scholar] [CrossRef]
- Tanase, C.; Coșarcă, S.; Muntean, D.-L. A Critical Review of Phenolic Compounds Extracted from the Bark of Woody Vascular Plants and Their Potential Biological Activity. Molecules 2019, 24, 1182. [Google Scholar] [CrossRef]
- Edreva, A.; Velikova, V.; Tsonev, T.; Dagnon, S.; Gürel, A.L.; Aktas, L. Stress-Protective Role of Secondary Metabolites: Diversity of Functions and Mechanisms. Gen. Appl. Plant Physiol. 2007, 34, 67–78. [Google Scholar]
- Bhattacharya, A.; Sood, P.; Citovsky, V. The Roles of Plant Phenolics in Defence and Communication during Agrobacterium and Rhizobium Infection. Mol. Plant Pathol. 2010, 11, 705–719. [Google Scholar] [CrossRef]
- Neiva, D.M.; Luís, Â.; Gominho, J.; Domingues, F.; Duarte, A.P.; Pereira, H. Bark Residues Valorization Potential Regarding Antioxidant and Antimicrobial Extracts. Wood Sci. Technol. 2020, 54, 559–585. [Google Scholar] [CrossRef]
- Silva, V.; Igrejas, G.; Falco, V.; Santos, T.P.; Torres, C.; Oliveira, A.M.P.; Pereira, J.E.; Amaral, J.S.; Poeta, P. Chemical Composition, Antioxidant and Antimicrobial Activity of Phenolic Compounds Extracted from Wine Industry by-Products. Food Control 2018, 92, 516–522. [Google Scholar] [CrossRef]
- Grzesik, M.; Naparło, K.; Bartosz, G.; Sadowska-Bartosz, I. Antioxidant Properties of Catechins: Comparison with Other Antioxidants. Food Chem. 2018, 241, 480–492. [Google Scholar] [CrossRef] [PubMed]
- Kuntzler, S.G.; Costa, J.A.V.; de Morais, M.G. Development of Electrospun Nanofibers Containing Chitosan/PEO Blend and Phenolic Compounds with Antibacterial Activity. Int. J. Biol. Macromol. 2018, 117, 800–806. [Google Scholar] [CrossRef]
- Li, R.; Narita, R.; Nishimura, H.; Marumoto, S.; Yamamoto, S.P.; Ouda, R.; Yatagai, M.; Fujita, T.; Watanabe, T. Antiviral Activity of Phenolic Derivatives in Pyroligneous Acid from Hardwood, Softwood, and Bamboo. ACS Sustain. Chem. Eng. 2017, 6, 119–126. [Google Scholar] [CrossRef]
- Medini, F.; Megdiche, W.; Mshvildadze, V.; Pichette, A.; Legault, J.; St-Gelais, A.; Ksouri, R. Antiviral-Guided Fractionation and Isolation of Phenolic Compounds from Limonium densiflorum Hydroalcoholic Extract. Comptes Rendus Chim. 2016, 19, 726–732. [Google Scholar] [CrossRef]
- Karimi, A.; Mohammadi-Kamalabadi, M.; Rafieian-Kopaei, M.; Amjad, L.; Salimzadeh, L. Determination of Antioxidant Activity, Phenolic Contents and Antiviral Potential of Methanol Extract of Euphorbia spinidens Bornm (Euphorbiaceae). Trop. J. Pharm. Res. 2016, 15, 759–764. [Google Scholar] [CrossRef]
- Martins, N.; Barros, L.; Santos-Buelga, C.; Henriques, M.; Silva, S.; Ferreira, I.C.F.R. Evaluation of Bioactive Properties and Phenolic Compounds in Different Extracts Prepared from Salvia Officinalis L. Food Chem. 2015, 170, 378–385. [Google Scholar] [CrossRef] [PubMed]
- Martins, N.; Barros, L.; Henriques, M.; Silva, S.; Ferreira, I.C.F.R. Activity of Phenolic Compounds from Plant Origin against Candida Species. Ind. Crops Prod. 2015, 74, 648–670. [Google Scholar] [CrossRef]
- Elansary, H.O.; Salem, M.Z.M.; Ashmawy, N.A.; Yessoufou, K.; El-Settawy, A.A.A. In Vitro Antibacterial, Antifungal and Antioxidant Activities of Eucalyptus Spp. Leaf Extracts Related to Phenolic Composition. Nat. Prod. Res. 2017, 31, 2927–2930. [Google Scholar] [CrossRef]
- Cao, J.; Han, J.; Xiao, H.; Qiao, J.; Han, M. Effect of Tea Polyphenol Compounds on Anticancer Drugs in Terms of Anti-Tumor Activity, Toxicology, and Pharmacokinetics. Nutrients 2016, 8, 762. [Google Scholar] [CrossRef]
- Mahboubi, A.; Asgarpanah, J.; Sadaghiyani, P.N.; Faizi, M. Total Phenolic and Flavonoid Content and Antibacterial Activity of Punica Granatum L. Var. pleniflora Flowers (Golnar) against Bacterial Strains Causing Foodborne Diseases. BMC Complement. Altern. Med. 2015, 15, 366. [Google Scholar] [CrossRef]
- de Camargo, A.C.; Regitano-d’Arce, M.A.B.; Rasera, G.B.; Canniatti-Brazaca, S.G.; do Prado-Silva, L.; Alvarenga, V.O.; Sant’Ana, A.S.; Shahidi, F. Phenolic Acids and Flavonoids of Peanut By-Products: Antioxidant Capacity and Antimicrobial Effects. Food Chem. 2017, 237, 538–544. [Google Scholar] [CrossRef]
- Lima, V.N.; Oliveira-Tintino, C.D.M.; Santos, E.S.; Morais, L.P.; Tintino, S.R.; Freitas, T.S.; Geraldo, Y.S.; Pereira, R.L.S.; Cruz, R.P.; Menezes, I.R.A.; et al. Antimicrobial and Enhancement of the Antibiotic Activity by Phenolic Compounds: Gallic Acid, Caffeic Acid and Pyrogallol. Microb. Pathog. 2016, 99, 56–61. [Google Scholar] [CrossRef] [PubMed]
- Martins, N.; Barros, L.; Santos-Buelga, C.; Silva, S.; Henriques, M.; Ferreira, I.C.F.R. Decoction, Infusion and Hydroalcoholic Extract of Cultivated Thyme: Antioxidant and Antibacterial Activities, and Phenolic Characterisation. Food Chem. 2015, 167, 131–137. [Google Scholar] [CrossRef] [PubMed]
- Guendouze-Bouchefa, N.; Madani, K.; Chibane, M.; Boulekbache-Makhlouf, L.; Hauchard, D.; Kiendrebeogo, M.; Stévigny, C.; Okusa, P.N.; Duez, P. Phenolic Compounds, Antioxidant and Antibacterial Activities of Three Ericaceae from Algeria. Ind. Crops Prod. 2015, 70, 459–466. [Google Scholar] [CrossRef]
- Lagadinou, M.; Onisor, M.O.; Rigas, A.; Musetescu, D.-V.; Gkentzi, D.; Assimakopoulos, S.F.; Panos, G.; Marangos, M. Antimicrobial Properties on Non-Antibiotic Drugs in the Era of Increased Bacterial Resistance. Antibiotics 2020, 9, 107. [Google Scholar] [CrossRef] [PubMed]
- Elshamy, A.A.; Aboshanab, K.M. A Review on Bacterial Resistance to Carbapenems: Epidemiology, Detection and Treatment Options. Future Sci. OA 2020, 6, FSO438. [Google Scholar] [CrossRef] [PubMed]
- Meullemiestre, A.; Petitcolas, E.; Maache-Rezzoug, Z.; Chemat, F.; Rezzoug, S.A. Impact of Ultrasound on Solid–Liquid Extraction of Phenolic Compounds from Maritime Pine Sawdust Waste. Kinetics, Optimization and Large Scale Experiments. Ultrason. Sonochem. 2016, 28, 230–239. [Google Scholar] [CrossRef]
- Chemat, F.; Khan, M.K. Applications of Ultrasound in Food Technology: Processing, Preservation and Extraction. Ultrason. Sonochem. 2011, 18, 813–835. [Google Scholar] [CrossRef] [PubMed]
- Vinatoru, M.; Mason, T.J.; Calinescu, I. Ultrasonically Assisted Extraction (UAE) and Microwave Assisted Extraction (MAE) of Functional Compounds from Plant Materials. TrAC Trends Anal. Chem. 2017, 97, 159–178. [Google Scholar] [CrossRef]
- Tanase, C.; Domokos, E.; Coșarcă, S.; Miklos, A.; Imre, S.; Domokos, J.; Dehelean, C.A. Study of the Ultrasound-Assisted Extraction of Polyphenols from Beech (Fagus sylvatica L.) Bark. BioResources 2018, 13, 2247–2267. [Google Scholar] [CrossRef]
- Azwanida, N.N. A Review on the Extraction Methods Use in Medicinal Plants, Principle, Strength and Limitation. Med. Aromat. Plants 2015, 4. [Google Scholar] [CrossRef]
- Talmaciu, A.I.; Volf, I.; Popa, V.I. Supercritical Fluids and Ultrasound Assisted Extractions Applied to Spruce Bark Conversion. Environ. Eng. Manag. J. 2015, 14, 615–623. [Google Scholar] [CrossRef]
- Chmelová, D.; Škulcová, D.; Legerská, B.; Horník, M.; Ondrejovič, M. Ultrasonic-Assisted Extraction of Polyphenols and Antioxidants from Picea Abies Bark. J. Biotechnol. 2020, 314–315, 25–33. [Google Scholar] [CrossRef]
- Burčová, Z.; Kreps, F.; Grivnová, P.; Strižincová, P.; Ház, A.; Jablonský, M.; Šurina, I.; Schmidt, Š. Spruce Bark as a Source of Antioxidant Active Substances. BioResources 2019, 14, 5980–5987. [Google Scholar]
- Zhao, T.; Solheim, H.; Långström, B.; Borg-Karlson, A.-K. Storm-Induced Tree Resistance and Chemical Differences in Norway Spruce (Picea abies). Ann. For. Sci. 2011, 68, 657–665. [Google Scholar] [CrossRef]
- Salem, M.Z.M.; Elansary, H.O.; Elkelish, A.A.; Zeidler, A.; Ali, H.M.; EL-Hefny, M.; Yessoufou, K. In Vitro Bioactivity and Antimicrobial Activity of Picea abies and Larix decidua Wood and Bark Extracts. BioResources 2016, 11, 9421–9437. [Google Scholar] [CrossRef]
- Metsämuuronen, S.; Sirén, H. Bioactive Phenolic Compounds, Metabolism and Properties: A Review on Valuable Chemical Compounds in Scots Pine and Norway Spruce. Phytochem. Rev. 2019, 18, 623–664. [Google Scholar] [CrossRef]
- Diouf, P.N.; Stevanovic, T.; Cloutier, A. Study on Chemical Composition, Antioxidant and Anti-Inflammatory Activities of Hot Water Extract from Picea mariana Bark and Its Proanthocyanidin-Rich Fractions. Food Chem. 2009, 113, 897–902. [Google Scholar] [CrossRef]
- Halliwell, B. Are Polyphenols Antioxidants or Pro-Oxidants? What Do We Learn from Cell Culture and In Vivo Studies? Arch. Biochem. Biophys. 2008, 476, 107–112. [Google Scholar] [CrossRef] [PubMed]
- Lazar, L.; Talmaciu, A.I.; Volf, I.; Popa, V.I. Kinetic Modeling of the Ultrasound-Assisted Extraction of Polyphenols from Picea abies Bark. Ultrason. Sonochem. 2016, 32, 191–197. [Google Scholar] [CrossRef] [PubMed]
- Tanase, C.; Cosarca, S.; Toma, F.; Mare, A.; Cosarca, A.; Man, A.; Miklos, A.; Imre, S. Antibacterial Activities of Spruce Bark (Picea abies L.) Extract and Its Components Against Human Pathogens. Rev. Chim. 2018, 69, 1462–1467. [Google Scholar] [CrossRef]
- Sládková, A.; Benedeková, M.; Stopka, J.; Šurina, I.; Ház, A.; Strižincová, P.; Čižová, K.; Škulcová, A.; Burčová, Z.; Kreps, F.; et al. Yield of Polyphenolic Substances Extracted From Spruce (Picea abies) Bark by Microwave-Assisted Extraction. BioResources 2016, 11, 9912–9921. [Google Scholar] [CrossRef]
- Lacoste, C.; Čop, M.; Kemppainen, K.; Giovando, S.; Pizzi, A.; Laborie, M.-P.; Sernek, M.; Celzard, A. Biobased Foams from Condensed Tannin Extracts from Norway Spruce (Picea abies) Bark. Ind. Crops Prod. 2015, 73, 144–153. [Google Scholar] [CrossRef]
- Kemppainen, K.; Siika-aho, M.; Pattathil, S.; Giovando, S.; Kruus, K. Spruce Bark as an Industrial Source of Condensed Tannins and Non-Cellulosic Sugars. Ind. Crops Prod. 2014, 52, 158–168. [Google Scholar] [CrossRef]
- Bukhanko, N.; Attard, T.; Arshadi, M.; Eriksson, D.; Budarin, V.; Hunt, A.J.; Geladi, P.; Bergsten, U.; Clark, J. Extraction of Cones, Branches, Needles and Bark from Norway Spruce (Picea abies) by Supercritical Carbon Dioxide and Soxhlet Extractions Techniques. Ind. Crops Prod. 2020, 145, 112096. [Google Scholar] [CrossRef]
- Kain, G.; Stratev, D.; Tudor, E.; Lienbacher, B.; Weigl, M.; Barbu, M.-C.; Petutschnigg, A. Qualitative Investigation on VOC-Emissions from Spruce (Picea abies) and Larch (Larix decidua) Loose Bark and Bark Panels. Eur. J. Wood Wood Prod. 2020, 78, 403–412. [Google Scholar] [CrossRef]
- Ghimire, R.P.; Kivimäenpää, M.; Blomqvist, M.; Holopainen, T.; Lyytikäinen-Saarenmaa, P.; Holopainen, J.K. Effect of Bark Beetle (Ips typographus L.) Attack on Bark VOC Emissions of Norway Spruce (Picea abies Karst.) Trees. Atmos. Environ. 2016, 126, 145–152. [Google Scholar] [CrossRef]
- Albuquerque, B.R.; Prieto, M.A.; Barreiro, M.F.; Rodrigues, A.; Curran, T.P.; Barros, L.; Ferreira, I.C.F.R. Catechin-Based Extract Optimization Obtained from Arbutus unedo L. Fruits Using Maceration/Microwave/Ultrasound Extraction Techniques. Ind. Crops Prod. 2017, 95, 404–415. [Google Scholar] [CrossRef]
- Liazid, A.; Palma, M.; Brigui, J.; Barroso, C.G. Investigation on Phenolic Compounds Stability during Microwave-Assisted Extraction. J. Chromatogr. A 2007, 1140, 29–34. [Google Scholar] [CrossRef] [PubMed]
- Spinelli, S.; Costa, C.; Conte, A.; La Porta, N.; Padalino, L.; Del Nobile, M.A. Bioactive Compounds from Norway Spruce Bark: Comparison Among Sustainable Extraction Techniques for Potential Food Applications. Foods 2019, 8, 524. [Google Scholar] [CrossRef] [PubMed]
- Jablonsky, M.; Majova, V.; Strizincova, P.; Sima, J.; Jablonsky, J. Investigation of Total Phenolic Content and Antioxidant Activities of Spruce Bark Extracts Isolated by Deep Eutectic Solvents. Crystals 2020, 10, 402. [Google Scholar] [CrossRef]
- Škulcová, A.; Haš, Z.; Hrdli, L.; Šima, J.; Jablonský, M. Green Solvents Based on Choline Chloride for the Extraction of Spruce Bark (Picea abies). Cellulose Chem. Technol. 2018, 52, 171–179. [Google Scholar]
- Kasparavičienė, G.; Ramanauskienė, K.; Savickas, A.; Velžienė, S.; Kalvėnienė, Z.; Kazlauskienė, D.; Ragažinskienė, O.; Ivanauskas, K. Evaluation of Total Phenolic Content and Antioxidant Activity of Different Rosmarinus officinalis L. Ethanolic Extracts. Biologija 2013, 59. [Google Scholar] [CrossRef]
- Nayak, B.; Dahmoune, F.; Moussi, K.; Remini, H.; Dairi, S.; Aoun, O.; Khodir, M. Comparison of Microwave, Ultrasound and Accelerated-Assisted Solvent Extraction for Recovery of Polyphenols from Citrus sinensis Peels. Food Chem. 2015, 187, 507–516. [Google Scholar] [CrossRef]
- Dhanani, T.; Shah, S.; Gajbhiye, N.A.; Kumar, S. Effect of Extraction Methods on Yield, Phytochemical Constituents and Antioxidant Activity of Withania Somnifera. Arab. J. Chem. 2017, 10, S1193–S1199. [Google Scholar] [CrossRef]
- Karabegović, I.T.; Stojičević, S.S.; Veličković, D.T.; Todorović, Z.B.; Nikolić, N.Č.; Lazić, M.L. The Effect of Different Extraction Techniques on the Composition and Antioxidant Activity of Cherry Laurel (Prunus laurocerasus) Leaf and Fruit Extracts. Ind. Crops Prod. 2014, 54, 142–148. [Google Scholar] [CrossRef]
- Nisca, A.; Ștefănescu, R.; Stegăruș, D.I.; Mare, A.D.; Farczadi, L.; Tanase, C. Comparative Study Regarding the Chemical Composition and Biological Activity of Pine (Pinus nigra and P. sylvestris) Bark Extracts. Antioxidants 2021, 10, 327. [Google Scholar] [CrossRef]
- Ferrentino, G.; Haman, N.; Morozova, K.; Tonon, G.; Scampicchio, M. Phenolic Compounds Extracted from Spruce (Picea abies) by Supercritical Carbon Dioxide as Antimicrobial Agents against Gram-Positive Bacteria Assessed by Isothermal Calorimetry. J. Therm. Anal. Calorim. 2020, 1–11. [Google Scholar] [CrossRef]
- Li, F.; Jin, H.; Xiao, J.; Yin, X.; Liu, X.; Li, D.; Huang, Q. The Simultaneous Loading of Catechin and Quercetin on Chitosan-Based Nanoparticles as Effective Antioxidant and Antibacterial Agent. Food Res. Int. 2018, 111, 351–360. [Google Scholar] [CrossRef] [PubMed]
- Zhang, H.; Jung, J.; Zhao, Y. Preparation, Characterization and Evaluation of Antibacterial Activity of Catechins and Catechins–Zn Complex Loaded β-Chitosan Nanoparticles of Different Particle Sizes. Carbohydr. Polym. 2016, 137, 82–91. [Google Scholar] [CrossRef]
- Tanase, C.; Mocan, A.; Coșarcă, S.; Gavan, A.; Nicolescu, A.; Gheldiu, A.-M.; Vodnar, D.C.; Muntean, D.-L.; Crișan, O. Biological and Chemical Insights of Beech (Fagus sylvatica L.) Bark: A Source of Bioactive Compounds with Functional Properties. Antioxidants 2019, 8, 417. [Google Scholar] [CrossRef]
- Sánchez-Rangel, J.C.; Benavides, J.; Heredia, J.B.; Cisneros-Zevallos, L.; Jacobo-Velázquez, D.A. The Folin–Ciocalteu Assay Revisited: Improvement of Its Specificity for Total Phenolic Content Determination. Anal. Methods 2013, 5, 5990–5999. [Google Scholar] [CrossRef]
- Council of Europe. European Pharmacopoeia, 7th ed.; Council of Europe: Strasbourg, France, 2010. [Google Scholar]
- Bondet, V.; Brand-Williams, W.; Berset, C. Kinetics and Mechanisms of Antioxidant Activity Using the DPPH.Free Radical Method. LWT Food Sci. Technol. 1997, 30, 609–615. [Google Scholar] [CrossRef]
- Re, R.; Pellegrini, N.; Proteggente, A.; Pannala, A.; Yang, M.; Rice-Evans, C. Antioxidant Activity Applying an Improved ABTS Radical Cation Decolorization Assay. Free Radic. Biol. Med. 1999, 26, 1231–1237. [Google Scholar] [CrossRef]
- Tanase, C.; Cosarca, S.; Toma, F.; Mare, A.; Man, A.; Miklos, A.; Imre, S.; Boz, I. Antibacterial Activities of Beech Bark (Fagus sylvatica L.) Polyphenolic Extract. Environ. Eng. Manag. J. 2018, 17, 877–884. [Google Scholar] [CrossRef]
- Tanase, C.; Berta, L.; Coman, N.A.; Roșca, I.; Man, A.; Toma, F.; Mocan, A.; Nicolescu, A.; Jakab-Farkas, L.; Biró, D.; et al. Antibacterial and Antioxidant Potential of Silver Nanoparticles Biosynthesized Using the Spruce Bark Extract. Nanomaterials 2019, 9, 1541. [Google Scholar] [CrossRef] [PubMed]



| Compound | M1 US | M1 M | M2 US | M2 M | MT US | MT M | MD US | MD M | 
|---|---|---|---|---|---|---|---|---|
| α-pinene | 1938.77 ± 3.05 a | 2198.33 ± 0.25 b | 1960.84 ± 2.97 c | 2005.08 ± 2.53 d | 1368.23 ± 3.21 e | 1566.11 ± 7.79 f | 1806.31 ± 8.09 g | 2014.84 ± 7.18 d | 
| β-pinene | 2140.04 ± 3.59 a | 2997.66 ± 5.07 b | 3747.53 ± 22.01 c | 3808.67 ± 6.88 d | 3915.73 ± 10.04 e | 3936.65 ± 32.46 e | 4215.63 ± 6.22 f | 4312.24 ± 4.07 g | 
| camphene | 51.11 ± 0.13 a | 71.60 ± 0.09 b | 80.77 ± 0.36 c | 99.74 ± 1.13 d | 65.96 ± 0.67 e | 57.17 ± 0.07 f | 71.12 ± 0.26 b | 90.56 ± 0.46 g | 
| 3-carene | 60.39 ± 0.14 a | 55.26 ± 0.09 b | 109.41 ± 0.23 c | 81.09 ± 0.03 d | 100.59 ± 1.06 e | 112.71 ± 4.08 c | 110.18 ± 0.15 c | 101.31 ± 1.80 e | 
| α-phellandrene | 9.18 ± 0.17 a | 8.14 ± 0.08 b | 14.22 ± 0.16 c | 15.09 ± 0.03 d | 12.75 ± 0.34 e | 13.16 ± 0.08 e | 12.16 ± 0.09 f | 13.96 ± 0.12 c | 
| limonene | 98.96 ± 0.14 a | 101.07 ± 0.06 b | 109.21 ± 0.05 c | 107.06 ± 0.08 d | 113.55 ± 0.11 e | 113.82 ± 0.30 e | 101.11 ± 0.03 b | 105.46 ± 0.47 f | 
| sabinene | 22.12 ± 0.03 a | 23.09 ± 0.04 b | 26.15 ± 0.04 c | 26.61 ± 0.06 d | 67.3 ± 0.03 e | 67.79 ± 0.07 f | 75.02 ± 0.14 g | 81.01 ± 0.18 h | 
| myrcene | 100.1 ± 0.1 a | 105.46 ± 0.05 b | 255.1 ± 0.04 c | 255.66 ± 0.37 c | 232.4 ± 4.24 d | 229.99 ± 0.09 d | 215.26 ± 0.19 e | 220.21 ± 0.06 f | 
| tricyclene | 19.31 ± 0.17 a | 19.37 ± 0.11 a | 26.05 ± 0.06 b | 29.18 ± 0.06 c | 11.12 ± 0.06 d | 11.95 ± 0.08 e | 12.11 ± 0.07 e | 13.20 ± 0.07 f | 
| Compound | M1 M | M1 US | M2 M | M2 US | MT M | MT US | MD M | MD US | 
|---|---|---|---|---|---|---|---|---|
| Catechin | 1.91 | 7.47 | 0.86 | 6.43 | 0.94 | 5.47 | 1.63 | 6.94 | 
| Epicatechin | 6.72 | 27.09 | 7.41 | 16.86 | 2.02 | 25.59 | 20.93 | 25.71 | 
| Bacterial Strain | MIC (mg bark/mL Extract) | |||||||
|---|---|---|---|---|---|---|---|---|
| M1 M | M1 US | M2 M | M2 US | MT M | MT US | MD M | MD US | |
| Staphylococcus aureus ATCC 25923 | 3.125 | 6.25 | 6.25 | 6.25 | 6.25 | 6.25 | 3.125 | 3.125 | 
| Methicillin-resistant Staphylococcus aureus (MRSA) ATCC 43300 | 3.125 | 6.25 | 6.25 | 3.125 | 6.25 | 6.25 | 3.125 | 6.25 | 
| Escherichia coli ATCC 25922 | 100 | 50 | >100 | >50 | 100 | 50 | 100 | 50 | 
| Klebsiella pneumoniae ATCC 700603 | >100 | >50 | >100 | >50 | 100 | >50 | 100 | >50 | 
| Pseudomonas aeruginosa ATCC 27853 | 100 | 50 | 100 | 50 | 100 | 50 | 50 | 50 | 
| Extraction Procedure | Extracted Material (Spruce Bark) | Solvent (Ethanol) | Temperature (°C) | Extraction Time (min) | Ultrasound/Microwave Power (W) | Ultrasound Frequency (kHz) | 
|---|---|---|---|---|---|---|
| UAE | 1g | 70% | 65 | 30 | 240 | 40 | 
| MAE | 2g | 50% | - | 4 | 300 | - | 
| Collection Site | P. abies Bark Sample | Extraction Procedure | Extracts Attained (Experimental Variant) | 
|---|---|---|---|
| Maramureșului Mountains National Park site 1 (47°47′05″ N, 24°34′20″ E) | M1 | UAE | M1 US | 
| MAE | M1 M | ||
| Maramureșului Mountains National Park site 2 (47°47′05″ N, 24°34′20″ E) | M2 | UAE | M2 US | 
| MAE | M2 M | ||
| Tașca (46°53′34″ N, 26°02′05″ E) | MT | UAE | MT US | 
| MAE | MT M | ||
| Dolhasca (47°25′49″ N, 26°36′34″ E) | MD | UAE | MD US | 
| MAE | MD M | 
| Publisher’s Note: MDPI stays neutral with regard to jurisdictional claims in published maps and institutional affiliations. | 
© 2021 by the authors. Licensee MDPI, Basel, Switzerland. This article is an open access article distributed under the terms and conditions of the Creative Commons Attribution (CC BY) license (https://creativecommons.org/licenses/by/4.0/).
Share and Cite
Nisca, A.; Ștefănescu, R.; Stegăruș, D.I.; Mare, A.D.; Farczadi, L.; Tanase, C. Phytochemical Profile and Biological Effects of Spruce (Picea abies) Bark Subjected to Ultrasound Assisted and Microwave-Assisted Extractions. Plants 2021, 10, 870. https://doi.org/10.3390/plants10050870
Nisca A, Ștefănescu R, Stegăruș DI, Mare AD, Farczadi L, Tanase C. Phytochemical Profile and Biological Effects of Spruce (Picea abies) Bark Subjected to Ultrasound Assisted and Microwave-Assisted Extractions. Plants. 2021; 10(5):870. https://doi.org/10.3390/plants10050870
Chicago/Turabian StyleNisca, Adrian, Ruxandra Ștefănescu, Diana Ionela Stegăruș, Anca Delia Mare, Lenard Farczadi, and Corneliu Tanase. 2021. "Phytochemical Profile and Biological Effects of Spruce (Picea abies) Bark Subjected to Ultrasound Assisted and Microwave-Assisted Extractions" Plants 10, no. 5: 870. https://doi.org/10.3390/plants10050870
APA StyleNisca, A., Ștefănescu, R., Stegăruș, D. I., Mare, A. D., Farczadi, L., & Tanase, C. (2021). Phytochemical Profile and Biological Effects of Spruce (Picea abies) Bark Subjected to Ultrasound Assisted and Microwave-Assisted Extractions. Plants, 10(5), 870. https://doi.org/10.3390/plants10050870
 
         
                                                



 
       