Leaf Removal Applied to a Sprawling Canopy to Regulate Fruit Ripening in Cabernet Sauvignon
Abstract
1. Introduction
2. Results
2.1. Climatic Conditions
2.2. Canopy Architecture
2.3. Vine Performance
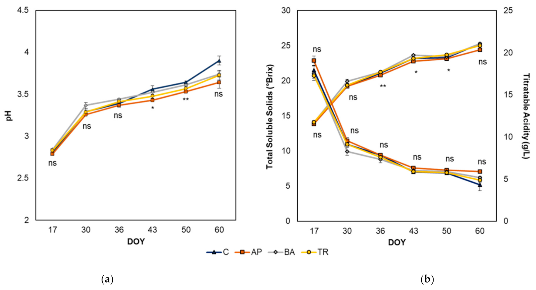
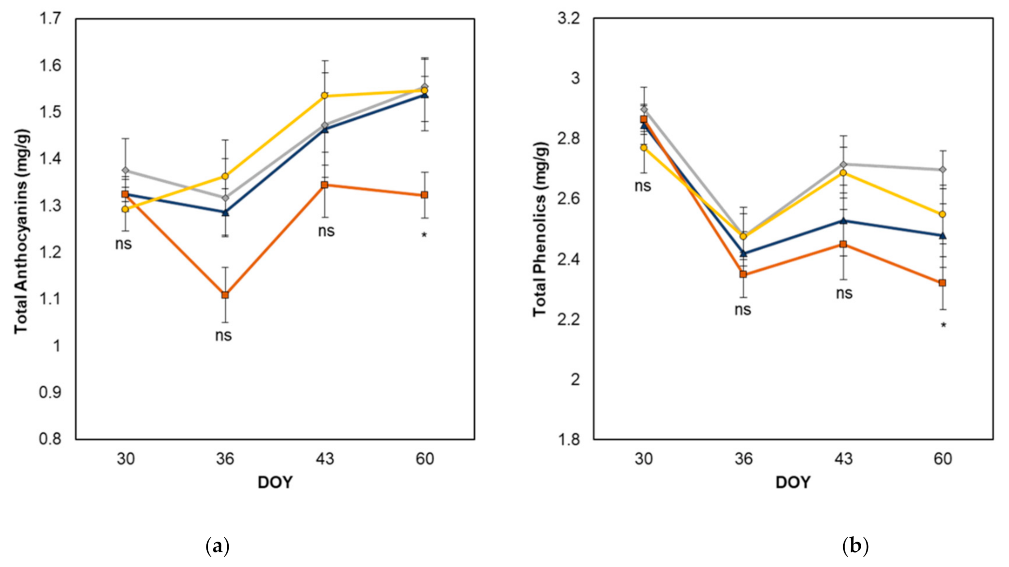
2.4. Grape Chemistry and Sensory Attributes
3. Discussion
4. Materials and Methods
4.1. Experimental Site
4.2. Experimental Design
4.3. Canopy Architecture, Yield Components and Grape Composition
4.4. Berry Sensory Analysis
4.5. Statistical Analysis
Author Contributions
Funding
Institutional Review Board Statement
Informed Consent Statement
Data Availability Statement
Acknowledgments
Conflicts of Interest
References
- Palliotti, A.; Panara, F.; Silvestroni, O.; Lanari, V.; Sabbatini, P.; Howell, G.S.; Gatti, M.; Poni, S. Influence of mechanical postveraison leaf removal apical to the cluster zone on delay of fruit ripening in Sangiovese (Vitis vinifera L.) grapevines. Aust. J. Grape Wine Res. 2013, 19, 369–377. [Google Scholar] [CrossRef]
- Schultz, H.R. Climate change and viticulture: A European perspective on climatology, carbon dioxide and UV-B effects. Aust. J. Grape Wine Res. 2000, 6, 2–12. [Google Scholar] [CrossRef]
- Duchêne, E.; Schneider, C. Grapevine and climatic changes: A glance at the situation in Alsace. Agron. Sustain. Dev. 2005, 25, 93–99. [Google Scholar] [CrossRef]
- Jones, G.V.; White, M.A.; Cooper, O.R.; Storchmann, K. Climate Change and Global Wine Quality. Clim. Chang. 2005, 73, 319–343. [Google Scholar] [CrossRef]
- de Orduña, R.M. Climate change associated effects on grape and wine quality and production. Food Res. Int. 2010, 43, 1844–1855. [Google Scholar] [CrossRef]
- Sadras, V.O.; Morán, M.A. Elevated temperature decouples anthocyanins and sugars in berries of Shiraz and Cabernet Franc. Aust. J. Grape Wine Res. 2012, 18, 115–122. [Google Scholar] [CrossRef]
- Poni, S.; Gatti, M.; Palliotti, A.; Dai, Z.; Duchêne, E.; Truong, T.-T.; Ferrara, G.; Matarrese, A.M.S.; Gallotta, A.; Bellincontro, A.; et al. Grapevine quality: A multiple choice issue. Sci. Hortic. 2018, 234, 445–462. [Google Scholar] [CrossRef]
- Suter, B.; Irvine, A.D.; Gowdy, M.; Dai, Z.; van Leeuwen, C. Adapting Wine Grape Ripening to Global Change Requires a Multi-Trait Approach. Front. Plant Sci. 2021, 12, 624867. [Google Scholar] [CrossRef] [PubMed]
- van Leeuwen, C.; Destrac-Irvine, A.; Dubernet, M.; Duchêne, E.; Gowdy, M.; Marguerit, E.; Pieri, P.; Parker, A.; de Rességuier, L.; Ollat, N. An update on the impact of climate change in viticulture and potential adaptations. Agronomy 2019, 9, 514. [Google Scholar] [CrossRef]
- Gutiérrez-Gamboa, G.; Zheng, W.; de Toda, F.M. Current viticultural techniques to mitigate the effects of global warming on grape and wine quality: A comprehensive review. Food Res. Int. 2021, 139, 109946. [Google Scholar] [CrossRef]
- Marín, D.; Armengol, J.; Carbonell-Bejerano, P.; Escalona, J.M.; Gramaje, D.; Hernández-Montes, E.; Intrigliolo, D.S.; Martínez-Zapater, J.M.; Medrano, H.; Mirás-Avalos, J.M.; et al. Challenges of viticulture adaptation to global change: Tackling the issue from the roots. Aust. J. Grape Wine Res. 2020, 27, 8–25. [Google Scholar] [CrossRef]
- Torres, N.; Martínez-Lüscher, J.; Porte, E.; Yu, R.; Kurtural, S.K. Impacts of leaf removal and shoot thinning on cumulative daily light intensity and thermal time and their cascading effects of grapevine (Vitis vinifera L.) berry and wine chemistry in warm climates. Food Chem. 2021, 343, 128447. [Google Scholar] [CrossRef]
- Zheng, W.; García, J.; Balda, P.; de Toda, F.M. Does Full Exposure of Clusters Have Any Negative Effects on Tempranillo (Vitis vinifera L.) Grape Quality in La Rioja, Spain? The Use of Severe Cluster-zone Leaf Removal after Berry Set. S. Afr. J. Enol. Vitic. 2017, 38, 228–236. [Google Scholar] [CrossRef]
- Kliewer, W.M.; Dokoozlian, N.K. Leaf area/crop weight ratios of grapevines: Influence on fruit composition and wine quality. Am. J. Enol. Vitic. 2005, 56, 170–181. [Google Scholar]
- Zhang, P.; Wu, X.; Needs, S.; Liu, D.; Fuentes, S.; Howell, K. The Influence of Apical and Basal Defoliation on the Canopy Structure and Biochemical Composition of Vitis vinifera cv. Shiraz Grapes and Wine. Front. Chem. 2017, 5, 48. [Google Scholar] [CrossRef] [PubMed]
- Palliotti, A.; Tombesi, S.; Silvestroni, O.; Lanari, V.; Gatti, M.; Poni, S. Changes in vineyard establishment and canopy management urged by earlier climate-related grape ripening: A review. Sci. Hortic. 2014, 178, 43–54. [Google Scholar] [CrossRef]
- Staff, S.L.; Percival, D.C.; Sullivan, J.A.; Fisher, K.H. Fruit zone leaf removal influences vegetative, yield, disease, fruit composition, and wine sensory attributes of Vitis vinifera L. ’Optima’ and ’Cabernet franc’. Can. J. Plant Sci. 1997, 77, 149–153. [Google Scholar] [CrossRef]
- Lemut, M.S.; Trošt, K.; Sivilotti, P.; Arapitsas, P.; Vrhovsek, U. Early versus late leaf removal strategies for Pinot Noir (Vitis vinifera L.): Effect on colour-related phenolics in young wines following alcoholic fermentation. J. Sci. Food Agric. 2013, 93, 3670–3681. [Google Scholar] [CrossRef]
- Tarara, J.M.; Lee, J.; Spayd, S.E.; Scagel, C.F. Berry temperature and solar radiation alter acylation, proportion, and concentration of anthocyanin in Merlot grapes. Am. J. Enol. Vitic. 2008, 59, 235–247. [Google Scholar]
- Poni, S.; Gatti, M.; Bernizzoni, F.; Civardi, S.; Bobeica, N.; Magnanini, E.; Palliotti, A. Late leaf removal aimed at delaying ripening in cv. Sangiovese: Physiological assessment and vine performance. Aust. J. Grape Wine Res. 2013, 19, 378–387. [Google Scholar] [CrossRef]
- Zheng, W.; García, J.; Balda, P.; de Toda, F.M. Effects of severe trimming after fruit set on the ripening process and the quality of grapes. Vitis 2017, 56, 27–33. [Google Scholar]
- de Bei, R.; Wang, X.; Papagiannis, L.; Cocco, M.; O’Brien, P.; Zito, M.; Ouyang, J.; Fuentes, S.; Gilliham, M.; Tyerman, S.; et al. Postveraison Leaf Removal Does Not Consistently Delay Ripening in Semillon and Shiraz in a Hot Australian Climate. Am. J. Enol. Vitic. 2019, 70, 398–410. [Google Scholar] [CrossRef]
- Gladstones, J. Wine, Terroir and Climate Change; Wakefield Press: Kent Town, SA, Australia, 2011. [Google Scholar]
- de Bei, R.; Fuentes, S.; Gilliham, M.; Tyerman, S.; Edwards, E.; Bianchini, N.; Smith, J.; Collins, C. VitiCanopy: A free computer app to estimate canopy vigor andporosity for grapevine. Sensors 2016, 16, E585. [Google Scholar] [CrossRef]
- Watson, D.J. Comparative Physiological Studies on the Growth of Field Crops: I. Variation in Net Assimilation Rate and Leaf Area between Species and Varieties, and within and between Years. Ann. Bot. 1947, 11, 41–76. [Google Scholar] [CrossRef]
- Caccavello, G.; Giaccone, M.; Scognamiglio, P.; Forlani, M.; Basile, B. Influence of intensity of post-veraison defoliation or shoot trimming on vine physiology, yield components, berry and wine composition in Aglianico grapevines. Aust. J. Grape Wine Res. 2017, 23, 226–239. [Google Scholar] [CrossRef]
- Coombe, B.G. The grape berry as a sink. Acta Hortic. 1989, 239, 149–158. [Google Scholar] [CrossRef]
- de Toda, F.M.; Sancha, J.C.; Balda, P. Reducing the sugar and pH of the grape (Vitis vinifera L. cvs. ‘Grenache’ and ‘Tempranillo’) through a single shoot trimming. S. Afr. J. Enol. Vitic. 2013, 34, 246–251. [Google Scholar] [CrossRef]
- Stoll, M.; Lafontaine, M.; Schultz, H.R. Possibilities to reduce the velocity of berry maturation through various leaf area to fruit ratio modifications in Vitis vinifera L. Riesling. Progrès Agric. Vitic. 2010, 127, 68–71. [Google Scholar]
- Cartechini, A.; Palliotti, A.; Lungarotti, C. Influence of timing of summer hedging on yield and grape quality in some red and white grapevine cultivars. Acta Hortic. 2000, 512, 101–110. [Google Scholar] [CrossRef]
- Bondada, B.; Covarrubias, J.I.; Tessarin, P.; Boliani, A.C.; Marodin, G.; Rombolà, A.D. Postveraison Shoot Trimming Reduces Cluster Compactness without Compromising Fruit Quality Attributes in Organically-Grown Sangiovese Grapevines. Am. J. Enol. Vitic. 2016, 67, 206–211. [Google Scholar] [CrossRef]
- Lanari, V.; Lattanzi, T.; Borghesi, L.; Silvestroni, O.; Palliotti, A. Post-veraison mechanical leaf removal delays berry ripening on 'Sangiovese' and 'Montepulciano' grapevines. Acta Hortic. 2013, 978, 327–333. [Google Scholar] [CrossRef]
- Balda, P.; de Toda, F.M. Delaying berry ripening process through leaf area to fruit ratio decrease. In Proceedings of the XVII International GiESCO Symposium, Asti-Alba, Italy, 29 August–2 September 2011. [Google Scholar]
- Filippetti, I.; Movahed, N.; Allegro, G.; Valentini, G.; Pastore, C.; Colucci, E.; Intrieri, C. Effect of post-veraison source limitation on the accumulation of sugar, anthocyanins and seed tannins in Vitis vinifera cv. Sangiovese berries. Aust. J. Grape Wine Res. 2014, 21, 90–100. [Google Scholar] [CrossRef]
- Herrera, J.C.; Bucchetti, B.; Sabbatini, P.; Comuzzo, P.; Zulini, L.; Vecchione, A.; Peterlunger, E.; Castellarin, S.D. Effect of water deficit and severe shoot trimming on the composition of Vitis vinifera L. Merlot grapes and wines. Aust. J. Grape Wine Res. 2015, 21, 254–265. [Google Scholar] [CrossRef]
- de Toda, F.M.; Sancha, J.C.; Zheng, W.; Balda, P. Leaf area reduction by trimming, a growing technique to restore the anthocyanins: Sugars ratio decoupled by the warming climate. Vitis 2014, 53, 189–192. [Google Scholar]
- Santesteban, L.G.; Miranda, C.; Urrestarazu, J.; Loidi, M.; Royo, J.B. Severe trimming and enhanced competition of laterals as a tool to delay ripening in Tempranillo vineyards under semiarid conditions. OENO One 2017, 51, 191–203. [Google Scholar] [CrossRef]
- Whiting, J. Regulating winegrape sugar accumulation through leaf removal. Aust. N.Z. Grapegrow Winemak. 2010, 555, 18–20. [Google Scholar]
- Mercurio, M.D.; Dambergs, R.G.; Herderich, A.M.J.; Smith, P.A. High Throughput Analysis of Red Wine and Grape Phenolics Adaptation and Validation of Methyl Cellulose Precipitable Tannin Assay and Modified Somers Color Assay to a Rapid 96 Well Plate Format. J. Agric. Food Chem. 2007, 55, 4651–4657. [Google Scholar] [CrossRef] [PubMed]
- Iland, P.; Bruer, N.; Edwards, G.; Weeks, S.; Wilkes, E. Chemical Analysis of Grapes and Wine: Techniques and Concepts; Winetitles: Broadview, SA, Australia, 2004. [Google Scholar]
- Lohitnavy, N.; Bastian, S.; Collins, C. Berry sensory attributes correlate with compositional changes under different viticultural management of Semillon (Vitis vinifera L.). Food Qual. Prefer. 2010, 21, 711–719. [Google Scholar] [CrossRef]
- Mantilla, S.M.O.; Collins, C.; Iland, P.G.; Kidman, C.M.; Jordans, C.; Bastian, S.E.P. Comparison of sensory attributes of fresh and frozen wine grape berries using Berry Sensory Assessment. Aust. J. Grape Wine Res. 2013, 19, 349–357. [Google Scholar] [CrossRef]






| Treatment | Yield (kg/m) | Bunch No. (no./m) | Bunch Weight (g) | Berry Weight (g) | Total Leaf Area (m2/m) | LA/Y (m2/kg) |
|---|---|---|---|---|---|---|
| Control | 2.4 ± 0.7 | 32 ± 6.9 | 72.8 ± 10.1 | 0.78 ± 0.05 | 5.8 ± 1.1 | 2.6 ± 0.8 |
| Apical leaf removal | 3.3 ± 1.2 | 40 ± 5.5 | 80.5 ± 25.2 | 0.89 ± 0.06 | 4.6 ± 1.0 | 1.5 ± 0.4 |
| Basal leaf removal | 2.5 ± 1.2 | 32 ± 12.1 | 75.2 ± 10.9 | 0.88 ± 0.12 | 4.4 ± 1.1 | 2.1 ± 1.0 |
| Shoot trimming | 2.6 ± 0.6 | 32 ± 7.5 | 81.1 ± 12.3 | 0.83 ± 0.03 | 5.3 ± 0.8 | 2.2 ± 0.7 |
| Significance | ns | ns | ns | ns | <0.0001 | 0.018 |
| Attribute | Left Anchor | Right Anchor |
|---|---|---|
| Pulp Characteristics | ||
| Sweetness | Low | High |
| Acidity | Low | High |
| Dark Fruit Flavour | Low | High |
| Dried Fruit Flavour | Low | High |
| Flavour Intensity | Low | High |
| Skin Characteristics | ||
| Disintegration | Low | High |
| Acidity | Low | High |
| Dark Fruit Flavour | Low | High |
| Green/Grassy Flavour | Low | High |
| Astringency | Low | High |
| Seed Characteristics | ||
| Colour | Green | Dark Brown |
| Flavour | Herbaceous | Toasted |
| Bitterness | Low | High |
| Astringency | Low | High |
| Overall Likeability | Low | High |
Publisher’s Note: MDPI stays neutral with regard to jurisdictional claims in published maps and institutional affiliations. |
© 2021 by the authors. Licensee MDPI, Basel, Switzerland. This article is an open access article distributed under the terms and conditions of the Creative Commons Attribution (CC BY) license (https://creativecommons.org/licenses/by/4.0/).
Share and Cite
O’Brien, P.; Collins, C.; De Bei, R. Leaf Removal Applied to a Sprawling Canopy to Regulate Fruit Ripening in Cabernet Sauvignon. Plants 2021, 10, 1017. https://doi.org/10.3390/plants10051017
O’Brien P, Collins C, De Bei R. Leaf Removal Applied to a Sprawling Canopy to Regulate Fruit Ripening in Cabernet Sauvignon. Plants. 2021; 10(5):1017. https://doi.org/10.3390/plants10051017
Chicago/Turabian StyleO’Brien, Patrick, Cassandra Collins, and Roberta De Bei. 2021. "Leaf Removal Applied to a Sprawling Canopy to Regulate Fruit Ripening in Cabernet Sauvignon" Plants 10, no. 5: 1017. https://doi.org/10.3390/plants10051017
APA StyleO’Brien, P., Collins, C., & De Bei, R. (2021). Leaf Removal Applied to a Sprawling Canopy to Regulate Fruit Ripening in Cabernet Sauvignon. Plants, 10(5), 1017. https://doi.org/10.3390/plants10051017
