The Exploitation of Local Vitis vinifera L. Biodiversity as a Valuable Tool to Cope with Climate Change Maintaining Berry Quality
Abstract
1. Introduction
2. Results
2.1. Plant Characteristics
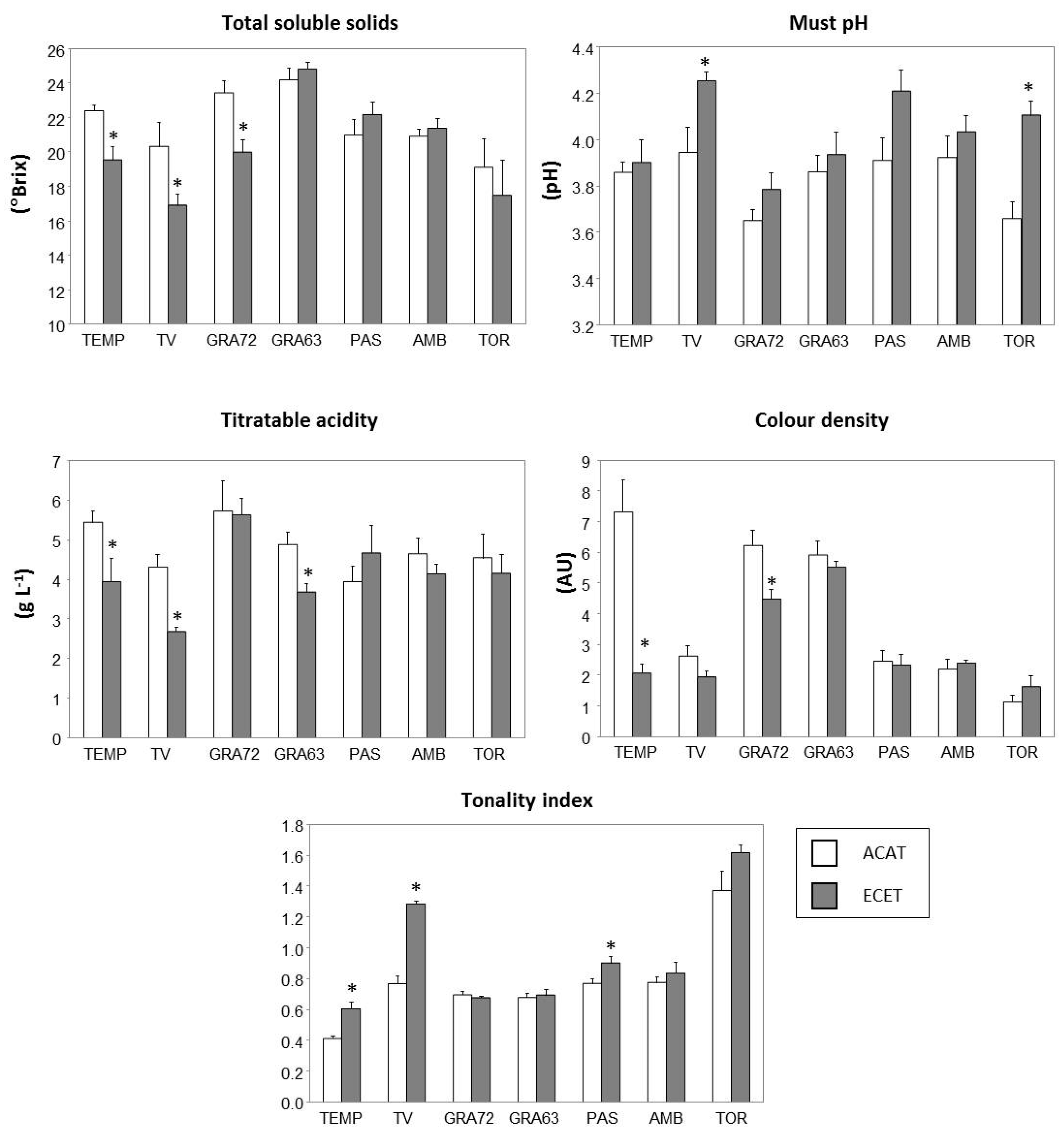
2.2. Berry Composition
3. Discussion
4. Materials and Methods
4.1. Biological Material and Growth Conditions
4.2. Experimental Design
4.3. Weather Conditions
4.4. Phenology and Berry Determinations
4.5. Berry Quality Determinations
4.6. Total Antioxidant Capacity
4.7. Statistical Analyses
5. Conclusions
Supplementary Materials
Author Contributions
Funding
Institutional Review Board Statement
Informed Consent Statement
Data Availability Statement
Acknowledgments
Conflicts of Interest
References
- NOAA-ESRL. National Oceanic and Atmospheric Administration (NOAA)-Earth System Research Laboratory (ESRL), USA. Monthly CO2 Concentration Data Set. 2020. Available online: http://co2now.org/Current-CO2/CO2-Now/noaa-mauna-loa-co2-data.html (accessed on 20 July 2020).
- Collins, M.R.; Knutti, R.; Arblaster, J.; Dufresne, J.L.; Fichefet, T.; Friedlingstein, P.; Gao, X.; Gutowski, W.J.; Johns, T.; Krinner, G.; et al. Long-term climate change: Projections, commitments and irreversibility. In Climate Change 2013: The Physical Science Basis. Contribution of Working Group I to the Fifth Assessment Report of the Intergovernmental Panel on Climate Change; Stocker, T.F., Qin, D., Plattner, K., Tignor, M., Allen, S.K., Boschung, J., Nauels, A., Xia, Y., Bex, V., Midgley, P.M., Eds.; Cambridge University Press: Cambridge, UK, 2013. [Google Scholar]
- NASA. Global Climate Change. Vital Signs of the Planet. 2019. Available online: https://climate.nasa.gov/evidence/ (accessed on 13 August 2020).
- IPCC Intergovernmental Panel on Climate Change. Available online: www.ipcc.ch (accessed on 14 August 2020).
- Fraga, H.; Malheiro, A.C.; Moutinho-Pereira, J.; Santos, J.A. Future scenarios for viticultural zoning in Europe: Ensemble projections and uncertainties. Int. J. Biometeorol. 2013, 57, 909–925. [Google Scholar] [CrossRef]
- Tóth, J.P.; Végvári, Z. Future of wine grape growing regions in Europe. Aust. J. Grape Wine Res. 2016, 22, 62–72. [Google Scholar] [CrossRef]
- Santillán, D.; Iglesias, A.; La Jeunesse, I.; Garrote, L.; Sotés, V. Vineyards in transition: A global assessment of the adaptation needs of grape producing regions under climate change. Sci. Total Environ. 2019, 657, 839–852. [Google Scholar] [CrossRef] [PubMed]
- Jones, G.V.; Webb, L.B. Climate change, viticulture, and wine: Challenges and opportunities. J. Wine Res. 2010, 21, 103–106. [Google Scholar] [CrossRef]
- Webb, L.B.; Watterson, I.; Bhend, J.; Whetton, P.H.; Barlow, E.W.R. Global climate analogues for wine growing regions in future periods: Projections of temperature and precipitation. Aust. J. Grape Wine Res. 2013, 19, 331–341. [Google Scholar] [CrossRef]
- Van Leeuwen, C.; Destrac-Irvine, A. Modified grape composition under climate change conditions requires adaptations in the vineyard. OENO One 2017, 51, 147–154. [Google Scholar] [CrossRef]
- Duchêne, E.; Schneider, C. Grapevine and climatic changes: A glance at the situation in Alsace. Agron. Sustain. Dev. 2005, 25, 93–99. [Google Scholar] [CrossRef]
- Palliotti, A.; Tombesi, S.; Silvestroni, O.; Lanari, V.; Gatti, M.; Poni, S. Changes in vineyard establishment and canopy management urged by earlier climate-related grape ripening: A review. Sci. Hortic. 2014, 178, 43–54. [Google Scholar] [CrossRef]
- Martínez-Lüscher, J.; Kizildeniz, T.; Vučetić, V.; Dai, Z.; Luedeling, E.; van Leeuwen, C.; Gomès, E.; Pascual, I.; Irigoyen, J.J.; Morales, F.; et al. Sensitivity of grapevine phenology to water availability, temperature and CO2 concentration. Front. Environ. Sci. 2016, 4, 48. [Google Scholar] [CrossRef]
- Barnuud, N.; Zerihun, A.; Mpelasoka, F.; Gibberd, M.; Bates, B. Responses of grape berry anthocyanin and titratable acidity to the projected climate change across the Western Australian wine regions. Int. J. Biometeorol. 2014, 58, 1279–1293. [Google Scholar] [CrossRef]
- Sweetman, C.; Sadras, V.O.; Hancock, R.D.; Soole, K.L.; Ford, C.M. Metabolic effects of elevated temperature on organic acid degradation in ripening Vitis vinifera fruit. J. Exp. Bot. 2014, 65, 5975–5988. [Google Scholar] [CrossRef]
- Sadras, V.O.; Morán, M.A. Elevated temperature decouples anthocyanins and sugars in berries of Shiraz and Cabernet Franc. Aust. J. Grape Wine Res. 2012, 18, 115–122. [Google Scholar] [CrossRef]
- Teixeira, A.; Eiras-Dias, J.; Castellarin, S.D.; Gerós, H. Berry phenolics of grapevine under challenging environments. Int. J. Mol. Sci. 2013, 14, 18711–18739. [Google Scholar] [CrossRef] [PubMed]
- Torres, N.; Hilbert, G.; Luquin, J.; Goicoechea, N.; Antolín, M.C. Flavonoid and amino acid profiling on Vitis vinifera L. cv Tempranillo subjected to deficit irrigation under elevated temperatures. J. Food Compos. Anal. 2017, 62, 51–62. [Google Scholar] [CrossRef]
- Drappier, J.; Thibon, C.; Rabot, A.; Geny-Denis, L. Relationship between wine composition and temperature: Impact on Bordeaux wine typicity in the context of global warming-Review. Crit. Rev. Food Sci. Nutr. 2019, 59, 14–30. [Google Scholar] [CrossRef] [PubMed]
- Gouot, J.C.; Smith, J.P.; Holzapfel, B.P.; Walker, A.R.; Barril, C. Grape berry flavonoids: A review of their biochemical responses to high and extreme high temperatures. J. Exp. Bot. 2019, 70, 397–423. [Google Scholar] [CrossRef]
- Bindi, M.; Fibbi, L.; Miglietta, F. Free air CO2 enrichment (FACE) of grapevine (Vitis vinifera L.): II. Growth and quality of grape and wine in response to elevated CO2 concentrations. Eur. J. Agron. 2001, 14, 145–155. [Google Scholar] [CrossRef]
- Moutinho-Pereira, J.M.; Gonçalves, B.; Bacelar, E.; Boaventura, C.; Coutinho, J.; Correia, C.M. Effects of elevated CO2 on grapevine (Vitis vinifera L.): Physiological and yield attributes. Vitis 2009, 48, 159–165. [Google Scholar]
- Edwards, E.J.; Unwin, D.; Kilmister, R.; Treeby, M. Multi-seasonal effects of warming and elevated CO2 on the physiology, growth and production of mature, field grown, Shiraz grapevines. OENO One 2017, 51, 127–132. [Google Scholar] [CrossRef]
- Wohlfahrt, Y.; Smith, J.P.; Tittmann, S.; Honermeier, B.; Stoll, M. Primary productivity and physiological responses of Vitis vinifera L. cvs. under free air carbon dioxide enrichment (FACE). Eur. J. Agron. 2018, 101, 149–162. [Google Scholar] [CrossRef]
- Wohlfahrt, Y.; Tittmann, S.; Schmidt, D.; Rauhut, D.; Honermeier, B.; Stoll, M. The effect of elevated CO2 on berry development and bunch structure of Vitis vinifera L. cvs. Riesling and cabernet sauvignon. Appl. Sci. 2020, 10, 2486. [Google Scholar] [CrossRef]
- Kizildeniz, T.; Mekni, I.; Santesteban, H.; Pascual, I.; Morales, F.; Irigoyen, J.J. Effects of climate change including elevated CO2 concentration, temperature and water deficit on growth, water status, and yield quality of grapevine (Vitis vinifera L.) cultivars. Agric. Water Manag. 2015, 159, 155–164. [Google Scholar] [CrossRef]
- Poni, S.; Gatti, M.; Palliotti, A.; Dai, Z.; Duchêne, E.; Truong, T.T.; Ferrara, G.; Matarrese, M.S.; Gallotta, A.; Bellincontro, A.; et al. Grapevine quality: A multiple choice issue. Sci. Hortic. 2018, 234, 445–462. [Google Scholar] [CrossRef]
- Wolkovich, E.M.; García de Cortázar-Atauri, I.; Morales-Castilla, I.; Nicholas, K.A.; Lacombe, T. From Pinot to Xinomavro in the world’s future wine-growing regions. Nat. Clim. Chang. 2018, 8, 29–37. [Google Scholar] [CrossRef]
- Torres, N.; Goicoechea, N.; Morales, F.; Antolín, M.C. Berry quality and antioxidant properties in Vitis vinifera L. cv. Tempranillo as affected by clonal variability, mycorrhizal inoculation and temperature. Crop Pasture Sci. 2016, 67, 961–977. [Google Scholar] [CrossRef]
- Arrizabalaga, M.; Morales, F.; Oyarzun, M.; Delrot, S.; Gômes, E.; Irigoyen, J.J.; Hilbert, G.; Pascual, I. Tempranillo clones differ in the response of berry sugar and anthocyanin accumulation to elevated temperature. Plant Sci. 2018, 267, 74–83. [Google Scholar] [CrossRef]
- Eyduran, S.P.; Akin, M.; Ercisli, S.; Eyduran, E.; Maghradze, D. Sugars, organic acids, and phenolic compounds of ancient grape cultivars (Vitis vinifera L.) from Igdir province of Eastern Turkey. Biol. Res. 2015, 48, 2. [Google Scholar] [CrossRef]
- Urrestarazu, J.; Miranda, C.; Santesteban, L.G.; Royo, J.B. Recovery and identification of grapevine varieties cultivated in old vineyards from Navarre (Northeastern Spain). Sci. Hortic. 2015, 191, 65–73. [Google Scholar] [CrossRef]
- Loureiro, M.D.; Moreno-Sanz, P.; Suárez, B. Agronomical characterization of minority grapevine cultivars from Asturias (Spain). Ciência Técnica Vitivinícola 2017, 32, 102–114. [Google Scholar] [CrossRef]
- Labagnara, T.; Bergamini, C.; Caputo, A.R.; Cirigliano, P. Vitis vinifera L. germplasm diversity: A genetic and ampelometric study in ancient vineyards in the South of Basilicata region (Italy). Vitis 2018, 57, 1–8. [Google Scholar]
- Antolín, M.C.; Izurdiaga, D.; Urmeneta, L.; Pascual, I.; Irigoyen, J.J.; Goicoechea, N. Dissimilar responses of ancient grapevines recovered in Navarra (Spain) to arbuscular mycorrhizal symbiosis in terms of berry quality. Agronomy 2020, 10, 473. [Google Scholar] [CrossRef]
- Biasi, R.; Brunori, E.; Ferrara, C.; Salvati, L. Assessing impacts of climate change on phenology and quality traits of Vitis vinifera L.: The contribution of local knowledge. Plants 2019, 8, 121. [Google Scholar] [CrossRef] [PubMed]
- Frioni, T.; Bertoloni, G.; Squeri, C.; Garavani, A.; Ronney, L.; Poni, S.; Gatti, M. Biodiversity of local Vitis vinifera L. germplasm: A powerful tool toward adaptation to global warming and desired grape composition. Front. Plant Sci. 2020, 11, 608. [Google Scholar] [CrossRef] [PubMed]
- Ramos, M.C. Projection of phenology response to climate change in rainfed vineyards in north-east Spain. Agric. For. Meteorol. 2017, 247, 104–115. [Google Scholar] [CrossRef]
- Arrizabalaga-Arriazu, M.; Gomès, E.; Morales, F.; Irigoyen, J.J.; Pascual, I.; Hilbert, G. High temperature and elevated carbon dioxide modify berry composition of different clones of grapevine (Vitis vinifera L.) cv. Tempranillo. Front. Plant Sci. 2020, 11, 603687. [Google Scholar] [CrossRef] [PubMed]
- Arrizabalaga, M.; Morales, F.; Irigoyen, J.J.; Hilbert, G.; Pascual, I. Growth performance and carbon partitioning of grapevine Tempranillo clones under simulated climate change scenarios: Elevated CO2 and temperature. J. Plant Physiol. 2020, 252, 153–226. [Google Scholar]
- Salazar-Parra, C.; Aguirreolea, J.; Sánchez-Díaz, M.; Irigoyen, J.J.; Morales, F. Effects of climate change scenarios on Tempranillo grapevine (Vitis vinifera L.) ripening: Response to a combination of elevated CO2 and temperature, and moderate drought. Plant Soil 2010, 337, 179–191. [Google Scholar] [CrossRef]
- Kassemeyer, H.H.; Berkelmann-Löhnertz, B. Fungi of grapes. In Biology of Microorganisms on Grapes, in Must and in Wine; König, H., Fröhlich, J., Unden, G., Eds.; Springer: Berlin/Heidelberg, Germany, 2009; pp. 61–88. [Google Scholar]
- De Rosas, I.; Ponce, M.T.; Malovini, E.; Deis, L.; Cavagnaro, B.; Cavagnaro, P. Loss of anthocyanins and modification of the anthocyanin profiles in grape berries of Malvec and Bonarda grown under high temperature conditions. Plant Sci. 2017, 258, 137–145. [Google Scholar] [CrossRef]
- Sadras, V.O.; Petrie, P.R. Climate shifts in south-eastern Australia: Early maturity of Chardonnay, Shiraz, and Cabernet Sauvignon is associated with early onset rather than faster ripening. Aust. J. Grape Wine Res. 2011, 17, 199–205. [Google Scholar] [CrossRef]
- Ford, C.M. The biochemistry of organic acids in the grapevine. In The Biochemistry of the Grape Berry; Gerós, H., Chaves, M.M., Delrot, S., Eds.; Bentham Science Publishers: Oak Park, IL, USA, 2012; pp. 67–88. [Google Scholar]
- Conde, C.; Silva, P.; Fontes, N.; Dias, A.C.P.; Tavares, R.M.; Sousa, M.J.; Agasse, A.; Delrot, S.; Gerós, H. Biochemical changes throughout grape berry development and fruit and wine quality. Food 2007, 1, 1–22. [Google Scholar]
- Brunetti, C.; di Ferdinando, M.; Fini, A.; Pollastri, S.; Tattini, M. Flavonoids as antioxidants and developmental regulators: Relative significance in plants and humans. Int. J. Mol. Sci. 2013, 14, 3540–3555. [Google Scholar] [CrossRef] [PubMed]
- Georgiev, V.; Ananga, A.; Tsolova, V. Recent advances and uses of grape flavonoids as nutraceuticals. Nutrients 2014, 6, 391–415. [Google Scholar] [CrossRef] [PubMed]
- Pastore, C.; Dal Santo, S.; Zenoni, S.; Movahed, N.; Allegro, G.; Valentini, G.; Filippetti, I.; Tornielli, G.B. Whole plant temperature manipulation affects flavonoid metabolism and the transcriptome of grapevine berries. Front. Plant Sci. 2017, 8, 929. [Google Scholar] [CrossRef]
- Movahed, N.; Pastore, C.; Cellini, A.; Allegro, G.; Valentini, G.; Zenoni, S.; Cavallini, E.; D’Incà, E.; Tornielli, G.-B.; Filippetti, I. The grapevine VviPrx31 peroxidase as a candidate gene involved in anthocyanin degradation in ripening berries under high temperature. J. Plant Res. 2016, 129, 513–526. [Google Scholar] [CrossRef] [PubMed]
- Lecourieux, F.; Kappel, C.; Pieri, P.; Charon, J.; Pillet, J.; Hilbert, G.; Renaud, C.; Gomès, E.; Delrot, S.; Lecourieux, D. Dissecting the biochemical and transcriptomic effects of a locally applied heat treatment on developing Cabernet Sauvignon grape berries. Front. Plant Sci. 2017, 8, 53. [Google Scholar] [CrossRef] [PubMed]
- Zilic, S.; Serpen, A.; Akillioglu, G.; Gökmen, V.; Vancetovic, J. Phenolic compounds, carotenoids, anthocyanins and antioxidant capacity of colored maize (Zea mays L.) kernels. J. Agric. Food Chem. 2012, 60, 1224–1231. [Google Scholar] [CrossRef]
- Nadal, M. Phenolic maturity in red grapes. In Methodologies and Results in Grapevine Research; Delrot, S., Medrano-Gil, H., Or, E., Bavaresco, L., Grando, S., Eds.; Springer Science + Business Media: Dordrecht, The Netherlands, 2010; pp. 389–409. [Google Scholar]
- He, J.; Giusti, M. Anthocyanins: Natural colorants with health-promoting properties. Annu. Rev. Food Sci. Technol. 2010, 1, 163–187. [Google Scholar] [CrossRef] [PubMed]
- Kallithraka, S.; Aliaj, L.; Makris, D.P.; Kefalas, P. Anthocyanin profiles of major red grape (Vitis vinifera L.) varieties cultivated in Greece and their relationship with in vitro antioxidant characteristics. Int. J. Food Sci. Technol. 2009, 44, 2385–2393. [Google Scholar] [CrossRef]
- De Nisco, M.; Manfra, M.; Bolognese, A.; Sofo, A.; Scopa, A.; Tenore, G.C.; Pagano, F.; Milite, C.; Russo, M.T. Nutraceutical properties and polyphenolic profile of berry skin and wine of Vitis vinifera L. (cv. Aglianico). Food Chem. 2013, 140, 623–629. [Google Scholar] [CrossRef]
- Pantelić, M.; Zagorac, D.D.; Natić, M.; Gašić, U.; Jović, S.; Vujović, D.; Djordjević, P. Impact of clonal variability on phenolics and radical scavenging activity of grapes and wines: A study on the recently developed Merlot and Cabernet Franc clones (Vitis vinifera L.). PLoS ONE 2016, 11, e0163823. [Google Scholar] [CrossRef]
- Cibriáin, F.; Sagüés, A.; Marquínez, M.; Caminero, L.; Arrondo, C.; Oria, I.; Subirats, B.; Aguirrezábal, F. Cepas singulares de Navarra. Navar. Agrar. 2013, 198, 38–48. [Google Scholar]
- Mullins, M.G. Test-plants for investigations of the physiology of fruiting in Vitis vinifera L. Nature 1966, 209, 419–420. [Google Scholar] [CrossRef]
- Ollat, N.; Gény, L.; Soyer, J.P. Les boutures fructifères de vigne: Validation d’un modèle d’étude de la physiologie de la vigne. I. Principales caractéristiques de l’appareil végétatif. J. Int. Sci. Vigne Vin 1998, 32, 1–9. [Google Scholar]
- Coombe, B.G. Adoption of a system for identifying grapevine growth stages. Aust. J. Grape Wine Res. 1995, 1, 104–110. [Google Scholar] [CrossRef]
- Kliewer, W.M.; Dokoozlian, N.K. Leaf area/crop weight ratios of grapevines: Influence on fruit composition and wine quality. Am. J. Enol. Vitic. 2005, 56, 170–181. [Google Scholar]
- Morales, F.; Pascual, I.; Sánchez-Díaz, M.; Aguirreolea, J.; Irigoyen, J.J.; Goicoechea, N.; Antolín, M.C.; Oyarzun, M.; Urdiain, A. Methodological advances: Using greenhouses to simulate climate change scenarios. Plant Sci. 2014, 226, 30–40. [Google Scholar] [CrossRef]
- Hayman, P.; Longbottom, M.; McCarthy, M.; Thomas, D. Managing Vines during Heatwaves; Wine Australia: Adelaide, Australia, 2012; pp. 1–8. [Google Scholar]
- Tello, J.; Ibáñez, J. Evaluation of indexes for the quantitative and objective estimation of grapevine bunch compactness. Vitis 2014, 53, 9–16. [Google Scholar]
- OIV. Compendium of International Methods of Analysis of Wines and Musts; International Organization of Vine and Wine: Paris, France, 2018; Volume 1, ISBN 979–10–91799-80-5. [Google Scholar]
- Saint-Cricq, N.; Vivas, N.; Glories, Y. Maturité phénolique: Définition et contrôle. Rev. Fr. d’Oenol. 1998, 173, 22–25. [Google Scholar]
- Ribéreau-Gayon, J.; Stonestreet, E. Le dosage des anthocyanes dans le vin rouge. Bull. Soc. Chim. Fr. 1965, 9, 2649–2652. [Google Scholar]
- EEC (European Union Commission Regulation) N°2676/90. Community methods for the analysis. Off. J. Eur. Comm. 1990, 272, 1–92. [Google Scholar]
- Glories, Y. La couleur des vins rouges. 2e partie: Mesure, origine et interprétation. OENO One 1984, 18, 253–271. [Google Scholar] [CrossRef]
- Kedare, S.; Singh, R. Genesis and development of DPPH method of antioxidant assay. J. Food Sci. Technol. 2011, 48, 412–422. [Google Scholar] [CrossRef] [PubMed]





| Varieties | Fruit Set-Veraison (Days) | Veraison-Maturity (Days) | Fruit Set-Maturity (Days) |
|---|---|---|---|
| TEMP | 52 d 1 | 35 d | 87 e |
| TV | 70 b | 67 bc | 137 b |
| GRA72 | 68 b | 42 d | 110 d |
| GRA63 | 67 bc | 46 d | 113 cd |
| PAS | 66 bc | 58 c | 124 c |
| AMB | 61 c | 80 a | 141 b |
| TOR | 86 a | 71 ab | 157 a |
| Treatments | |||
| ACAT | 65 a | 56 a | 121 a |
| ECET | 66 a | 59 a | 125 a |
| ANOVA 2 | |||
| Genotype (G) | *** | *** | *** |
| Treatment (T) | ns | ns | ns |
| G × T | ns | ns | ns |
| Varieties | Bunch Mass (g FM Bunch−1) | Bunch Compactness (g FM cm−2) | Berry Mass (g FM Berry−1) | Relative Skin Mass (% Berry FM) |
|---|---|---|---|---|
| TEMP | 191.1 a 1 | 0.73 a | 1.21 a | 16.0 c |
| TV | 52.2 bc | 0.79 a | 0.90 bc | 27.2 ab |
| GRA72 | 45.4 bc | 0.88 a | 0.92 bc | 25.8 b |
| GRA63 | 62.5 bc | 0.71 a | 0.81 bc | 29.7 a |
| PAS | 66.4 b | 0.67 a | 1.07 ab | 17.4 c |
| AMB | 47.8 bc | 0.62 ab | 0.77 c | 26.5 ab |
| TOR | 25.8 c | 0.36 b | 0.47 d | 25.1 b |
| Treatments | ||||
| ACAT | 89.4 a | 0.78 a | 0.97 a | 24.7 a |
| ECET | 61.2 b | 0.59 b | 0.83 b | 22.3 a |
| ANOVA 2 | ||||
| Genotype (G) | *** | *** | *** | *** |
| Treatment (T) | *** | *** | * | ns |
| G × T | ns | *** | ns | ns |
| Varieties | Total Soluble Solids (°Brix) | Must pH | Titratable Acidity (g L−1) | Color Density (AU) | Tonality Index |
|---|---|---|---|---|---|
| TEMP | 21.0 b 1 | 3.88 bc | 4.69 b | 4.70 a | 0.51 d |
| TV | 18.6 c | 4.10 a | 3.49 c | 2.29 b | 1.03 b |
| GRA72 | 21.7 b | 3.72 c | 5.68 a | 5.36 a | 0.69 c |
| GRA63 | 24.5 a | 3.90 abc | 4.28 bc | 5.72 a | 0.69 c |
| PAS | 21.6 b | 4.06 ab | 4.31 bc | 2.40 b | 0.84 c |
| AMB | 21.1 b | 3.98 ab | 4.40 bc | 2.31 b | 0.81 c |
| TOR | 18.3 c | 3.88 bc | 4.35 bc | 1.39 b | 1.49 a |
| Treatment | |||||
| ACAT | 21.6 a | 3.84 b | 4.77 a | 4.00 a | 0.76 b |
| ECET | 20.3 b | 4.04 a | 4.10 b | 2.79 b | 0.93 a |
| ANOVA 2 | |||||
| Genotype (G) | *** | *** | ** | *** | *** |
| Treatment (T) | ** | *** | * | *** | *** |
| G × T | * | ns | ns | *** | *** |
| Varieties | TPI (AU) | Total Anthocyanins (mg L−1) | Extractable Anthocyanins (mg L−1) | EA (%) | SM (%) | Total Antioxidant Capacity (mg L−1) |
|---|---|---|---|---|---|---|
| TEMP | 39.3 a 1 | 321.8 b | 237.1 b | 29.5 bc | 74.6 b | 19.0 b |
| TV | 10.0 d | 171.6 c | 107.9 c | 43.1 a | 62.7 bcd | 18.9 b |
| GRA72 | 25.7 bc | 440.6 a | 300.2 a | 32.7 ab | 52.5 cd | 17.6 b |
| GRA63 | 30.6 b | 446.8 a | 298.5 a | 36.1 ab | 58.6 d | 29.8 a |
| PAS | 26.1 bc | 165.4 c | 143.4 c | 13.7 d | 72.4 b | 20.2 b |
| AMB | 19.1 c | 158.5 c | 131.0 c | 20.1 cd | 69.5 bc | 19.7 b |
| TOR | 17.3 cd | 29.0 d | 24.9 d | 15.9 d | 90.8 a | 8.4 c |
| Treatment | ||||||
| ACAT | 27.8 a | 266.5 a | 211.5 a | 24.6 a | 67.6 a | 18.8 a |
| ECET | 20.7 b | 217.7 b | 149.1 b | 29.5 a | 71.2 a | 18.3 a |
| ANOVA 2 | ||||||
| Genotype (G) | *** | *** | *** | *** | *** | *** |
| Treatment (T) | ** | *** | *** | ns | ns | ns |
| G × T | ns | *** | ** | ** | ns | *** |
| Genotype | Clone | Code | Reproductive Cycle | Color | Bunch Mass (g Bunch−1) | Berry Mass (g) |
|---|---|---|---|---|---|---|
| Tempranillo | T24 | TEMP | Short | Red | 145 | 1.71 |
| Tinto Velasco | T73 | TV | Medium | Red | 153 | 2.01 |
| Graciano | T72 | GRA72 | Medium | Red | 81 | 1.13 |
| Graciano | T63 | GRA63 | Long | Red | 74 | 1.06 |
| Pasera | T85 | PAS | Long | Red | 331 | 2.02 |
| Ambrosina | T46 | AMB | Long | Red | 205 | 1.38 |
| Tortozona Tinta | T20 | TOR | Long | Pink | 241 | 1.21 |
| Month | June | July | August | September | October |
|---|---|---|---|---|---|
| Year | Mean daily air temperature (°C) | ||||
| 2019 | 19.0 | 22.0 | 22.0 | 18.0 | 15.0 |
| 1999–2019 | 19.8 | 21.5 | 21.8 | 18.7 | 14.9 |
| Minimum daily air temperature (°C) | |||||
| 2019 | 4.0 | 10.0 | 9.0 | 6.0 | 5.0 |
| 1999–2019 | 7.6 | 10.0 | 10.2 | 6.0 | 1.9 |
| Maximum daily air temperature (°C) | |||||
| 2019 | 41.0 | 38.0 | 36.0 | 30.0 | 29.0 |
| 1999–2019 | 35.4 | 36.8 | 37.0 | 32.5 | 27.3 |
| Days with temperatures over 35 °C | |||||
| 2019 | 5 | 5 | 2 | 0 | 0 |
Publisher’s Note: MDPI stays neutral with regard to jurisdictional claims in published maps and institutional affiliations. |
© 2020 by the authors. Licensee MDPI, Basel, Switzerland. This article is an open access article distributed under the terms and conditions of the Creative Commons Attribution (CC BY) license (http://creativecommons.org/licenses/by/4.0/).
Share and Cite
Antolín, M.C.; Toledo, M.; Pascual, I.; Irigoyen, J.J.; Goicoechea, N. The Exploitation of Local Vitis vinifera L. Biodiversity as a Valuable Tool to Cope with Climate Change Maintaining Berry Quality. Plants 2021, 10, 71. https://doi.org/10.3390/plants10010071
Antolín MC, Toledo M, Pascual I, Irigoyen JJ, Goicoechea N. The Exploitation of Local Vitis vinifera L. Biodiversity as a Valuable Tool to Cope with Climate Change Maintaining Berry Quality. Plants. 2021; 10(1):71. https://doi.org/10.3390/plants10010071
Chicago/Turabian StyleAntolín, María Carmen, María Toledo, Inmaculada Pascual, Juan José Irigoyen, and Nieves Goicoechea. 2021. "The Exploitation of Local Vitis vinifera L. Biodiversity as a Valuable Tool to Cope with Climate Change Maintaining Berry Quality" Plants 10, no. 1: 71. https://doi.org/10.3390/plants10010071
APA StyleAntolín, M. C., Toledo, M., Pascual, I., Irigoyen, J. J., & Goicoechea, N. (2021). The Exploitation of Local Vitis vinifera L. Biodiversity as a Valuable Tool to Cope with Climate Change Maintaining Berry Quality. Plants, 10(1), 71. https://doi.org/10.3390/plants10010071

