Neural-Network Time-Series Analysis of MODIS EVI for Post-Fire Vegetation Regrowth
Abstract
1. Introduction
2. Materials and Methods
2.1. Study Area and Field Data Collection
2.2. Satellite Data Retrieval and Preprocessing
2.3. Time-Series Prediction of Post-Fire EVI
2.4. Post-Fire Response Comparison
2.5. Clustering of DTW Distances
3. Results
3.1. Neural Network Training and Validation
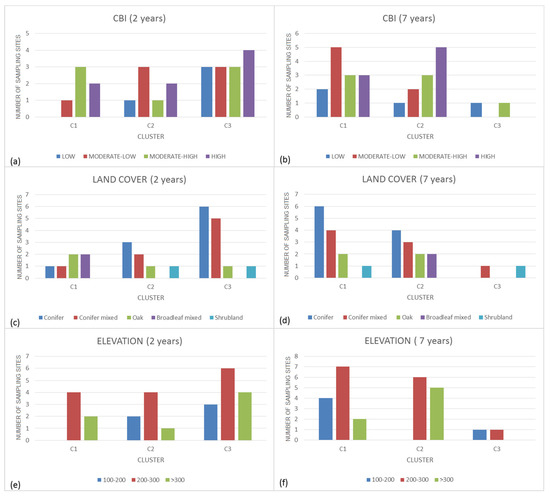
3.2. Multidimensional Scaling Clustering of DTW Distances
4. Discussion and Conclusions
Author Contributions
Funding
Acknowledgments
Conflicts of Interest
Appendix A









| ID 1 | ID 2 | ID 3 | ID 4 | ID 5 | ID 6 | ID 7 | ID 8 | ID 9 | ID 10 | ID 11 | ID 12 | ID 13 | |
|---|---|---|---|---|---|---|---|---|---|---|---|---|---|
| ID 0 | 1.548 | 0.905 | 1.550 | 3.184 | 2.769 | 2.875 | 1.460 | 2.733 | 3.245 | 1.131 | 4.450 | 1.476 | 1.146 |
| ID 1 | 0.000 | 1.821 | 1.111 | 4.110 | 1.385 | 3.951 | 1.462 | 3.881 | 4.386 | 2.111 | 4.391 | 1.547 | 1.625 |
| ID 2 | 0.000 | 0.000 | 1.942 | 1.805 | 4.352 | 2.160 | 2.356 | 1.979 | 2.528 | 1.007 | 4.424 | 2.896 | 1.651 |
| ID 3 | 0.000 | 0.000 | 0.000 | 4.929 | 1.784 | 4.568 | 1.544 | 4.826 | 4.920 | 1.489 | 4.041 | 1.493 | 1.111 |
| ID 4 | 0.000 | 0.000 | 0.000 | 0.000 | 7.651 | 0.891 | 3.593 | 1.269 | 1.200 | 2.079 | 4.986 | 5.880 | 4.192 |
| ID 5 | 0.000 | 0.000 | 0.000 | 0.000 | 0.000 | 6.554 | 0.943 | 6.529 | 8.318 | 3.743 | 4.491 | 0.981 | 1.425 |
| ID 6 | 0.000 | 0.000 | 0.000 | 0.000 | 0.000 | 0.000 | 2.875 | 0.666 | 0.831 | 1.502 | 4.183 | 5.001 | 3.505 |
| ID 7 | 0.000 | 0.000 | 0.000 | 0.000 | 0.000 | 0.000 | 0.000 | 2.812 | 4.508 | 2.332 | 4.155 | 0.796 | 0.940 |
| ID 8 | 0.000 | 0.000 | 0.000 | 0.000 | 0.000 | 0.000 | 0.000 | 0.000 | 0.829 | 2.033 | 4.485 | 5.000 | 3.585 |
| ID 9 | 0.000 | 0.000 | 0.000 | 0.000 | 0.000 | 0.000 | 0.000 | 0.000 | 0.000 | 1.623 | 4.816 | 6.263 | 4.698 |
| ID 10 | 0.000 | 0.000 | 0.000 | 0.000 | 0.000 | 0.000 | 0.000 | 0.000 | 0.000 | 0.000 | 3.883 | 2.245 | 1.425 |
| ID 11 | 0.000 | 0.000 | 0.000 | 0.000 | 0.000 | 0.000 | 0.000 | 0.000 | 0.000 | 0.000 | 0.000 | 4.191 | 3.879 |
| ID 12 | 0.000 | 0.000 | 0.000 | 0.000 | 0.000 | 0.000 | 0.000 | 0.000 | 0.000 | 0.000 | 0.000 | 0.000 | 1.072 |
| ID 13 | 0.000 | 0.000 | 0.000 | 0.000 | 0.000 | 0.000 | 0.000 | 0.000 | 0.000 | 0.000 | 0.000 | 0.000 | 0.000 |
| ID 14 | 0.000 | 0.000 | 0.000 | 0.000 | 0.000 | 0.000 | 0.000 | 0.000 | 0.000 | 0.000 | 0.000 | 0.000 | 0.000 |
| ID 15 | 0.000 | 0.000 | 0.000 | 0.000 | 0.000 | 0.000 | 0.000 | 0.000 | 0.000 | 0.000 | 0.000 | 0.000 | 0.000 |
| ID 16 | 0.000 | 0.000 | 0.000 | 0.000 | 0.000 | 0.000 | 0.000 | 0.000 | 0.000 | 0.000 | 0.000 | 0.000 | 0.000 |
| ID 17 | 0.000 | 0.000 | 0.000 | 0.000 | 0.000 | 0.000 | 0.000 | 0.000 | 0.000 | 0.000 | 0.000 | 0.000 | 0.000 |
| ID 18 | 0.000 | 0.000 | 0.000 | 0.000 | 0.000 | 0.000 | 0.000 | 0.000 | 0.000 | 0.000 | 0.000 | 0.000 | 0.000 |
| ID 19 | 0.000 | 0.000 | 0.000 | 0.000 | 0.000 | 0.000 | 0.000 | 0.000 | 0.000 | 0.000 | 0.000 | 0.000 | 0.000 |
| ID 20 | 0.000 | 0.000 | 0.000 | 0.000 | 0.000 | 0.000 | 0.000 | 0.000 | 0.000 | 0.000 | 0.000 | 0.000 | 0.000 |
| ID 21 | 0.000 | 0.000 | 0.000 | 0.000 | 0.000 | 0.000 | 0.000 | 0.000 | 0.000 | 0.000 | 0.000 | 0.000 | 0.000 |
| ID 22 | 0.000 | 0.000 | 0.000 | 0.000 | 0.000 | 0.000 | 0.000 | 0.000 | 0.000 | 0.000 | 0.000 | 0.000 | 0.000 |
| ID 23 | 0.000 | 0.000 | 0.000 | 0.000 | 0.000 | 0.000 | 0.000 | 0.000 | 0.000 | 0.000 | 0.000 | 0.000 | 0.000 |
| ID 24 | 0.000 | 0.000 | 0.000 | 0.000 | 0.000 | 0.000 | 0.000 | 0.000 | 0.000 | 0.000 | 0.000 | 0.000 | 0.000 |
| ID 25 | 0.000 | 0.000 | 0.000 | 0.000 | 0.000 | 0.000 | 0.000 | 0.000 | 0.000 | 0.000 | 0.000 | 0.000 | 0.000 |
| ID 26 | 0.000 | 0.000 | 0.000 | 0.000 | 0.000 | 0.000 | 0.000 | 0.000 | 0.000 | 0.000 | 0.000 | 0.000 | 0.000 |
| ID 14 | ID 15 | ID 16 | ID 17 | ID 18 | ID 19 | ID 20 | ID 21 | ID 22 | ID 23 | ID 24 | ID 25 | ID 26 | |
| ID 0 | 1.501 | 0.764 | 3.322 | 3.629 | 0.471 | 1.735 | 3.070 | 0.722 | 0.963 | 3.275 | 2.152 | 0.649 | 1.250 |
| ID 1 | 2.155 | 0.902 | 1.839 | 1.728 | 1.814 | 2.341 | 3.532 | 1.657 | 1.957 | 3.719 | 3.178 | 1.755 | 1.185 |
| ID 2 | 0.912 | 1.445 | 4.491 | 5.603 | 1.034 | 1.238 | 2.111 | 1.059 | 1.265 | 2.129 | 2.016 | 1.097 | 1.174 |
| ID 3 | 2.524 | 1.182 | 2.089 | 2.180 | 1.310 | 2.247 | 4.156 | 1.093 | 2.167 | 4.520 | 4.120 | 2.246 | 0.940 |
| ID 4 | 1.247 | 3.722 | 7.680 | 8.758 | 2.967 | 2.143 | 1.103 | 3.620 | 2.398 | 0.965 | 2.098 | 2.958 | 3.132 |
| ID 5 | 4.412 | 1.716 | 1.861 | 0.757 | 2.450 | 3.886 | 6.520 | 2.326 | 2.852 | 7.051 | 4.837 | 3.266 | 1.800 |
| ID 6 | 1.841 | 3.358 | 6.670 | 7.538 | 2.922 | 2.028 | 0.580 | 3.392 | 1.902 | 0.708 | 2.055 | 2.683 | 3.087 |
| ID 7 | 2.302 | 1.121 | 2.034 | 1.238 | 1.724 | 2.400 | 3.004 | 1.460 | 1.446 | 3.127 | 2.563 | 1.748 | 1.630 |
| ID 8 | 2.005 | 3.406 | 6.917 | 7.557 | 2.669 | 2.361 | 0.723 | 3.161 | 2.016 | 0.909 | 2.021 | 2.583 | 2.974 |
| ID 9 | 2.246 | 4.043 | 7.848 | 8.934 | 3.310 | 2.481 | 0.500 | 4.250 | 3.115 | 0.720 | 2.956 | 3.618 | 4.161 |
| ID 10 | 1.333 | 1.573 | 3.673 | 5.067 | 1.130 | 1.161 | 1.400 | 1.266 | 1.568 | 1.609 | 2.124 | 1.352 | 1.592 |
| ID 11 | 4.225 | 4.418 | 5.150 | 4.697 | 4.203 | 3.756 | 4.210 | 3.819 | 3.767 | 4.492 | 3.491 | 4.104 | 4.265 |
| ID 12 | 3.050 | 1.319 | 1.918 | 1.381 | 1.225 | 2.542 | 4.976 | 1.133 | 1.954 | 5.401 | 3.631 | 1.937 | 1.460 |
| ID 13 | 2.137 | 1.189 | 2.588 | 1.698 | 1.021 | 1.785 | 3.472 | 0.916 | 1.447 | 3.747 | 3.111 | 1.641 | 1.366 |
| ID 14 | 0.000 | 1.746 | 4.804 | 5.735 | 1.724 | 1.286 | 1.818 | 1.503 | 1.608 | 1.376 | 2.181 | 1.557 | 1.547 |
| ID 15 | 0.000 | 0.000 | 2.726 | 2.422 | 0.988 | 2.078 | 3.138 | 0.719 | 1.110 | 3.398 | 2.578 | 1.015 | 0.848 |
| ID 16 | 0.000 | 0.000 | 0.000 | 1.587 | 3.282 | 3.807 | 6.764 | 2.919 | 3.345 | 7.117 | 5.080 | 3.621 | 2.544 |
| ID 17 | 0.000 | 0.000 | 0.000 | 0.000 | 3.514 | 4.718 | 7.845 | 2.911 | 3.802 | 8.399 | 5.733 | 3.944 | 2.460 |
| ID 18 | 0.000 | 0.000 | 0.000 | 0.000 | 0.000 | 1.926 | 2.777 | 0.696 | 1.268 | 2.999 | 2.508 | 1.168 | 1.264 |
| ID 19 | 0.000 | 0.000 | 0.000 | 0.000 | 0.000 | 0.000 | 2.130 | 1.315 | 1.722 | 1.951 | 2.038 | 1.476 | 1.389 |
| ID 20 | 0.000 | 0.000 | 0.000 | 0.000 | 0.000 | 0.000 | 0.000 | 3.329 | 2.343 | 0.444 | 2.416 | 3.017 | 3.037 |
| ID 21 | 0.000 | 0.000 | 0.000 | 0.000 | 0.000 | 0.000 | 0.000 | 0.000 | 1.114 | 3.628 | 2.388 | 1.026 | 0.673 |
| ID 22 | 0.000 | 0.000 | 0.000 | 0.000 | 0.000 | 0.000 | 0.000 | 0.000 | 0.000 | 2.371 | 1.324 | 0.824 | 1.721 |
| ID 23 | 0.000 | 0.000 | 0.000 | 0.000 | 0.000 | 0.000 | 0.000 | 0.000 | 0.000 | 0.000 | 2.396 | 3.148 | 3.121 |
| ID 24 | 0.000 | 0.000 | 0.000 | 0.000 | 0.000 | 0.000 | 0.000 | 0.000 | 0.000 | 0.000 | 0.000 | 1.588 | 2.999 |
| ID 25 | 0.000 | 0.000 | 0.000 | 0.000 | 0.000 | 0.000 | 0.000 | 0.000 | 0.000 | 0.000 | 0.000 | 0.000 | 1.531 |
| ID 26 | 0.000 | 0.000 | 0.000 | 0.000 | 0.000 | 0.000 | 0.000 | 0.000 | 0.000 | 0.000 | 0.000 | 0.000 | 0.000 |
| ID 1 | ID 2 | ID 3 | ID 4 | ID 5 | ID 6 | ID 7 | ID 8 | ID 9 | ID 10 | ID 11 | ID 12 | ID 13 | |
|---|---|---|---|---|---|---|---|---|---|---|---|---|---|
| ID 0 | 3.322 | 2.842 | 3.776 | 5.982 | 3.991 | 5.201 | 4.106 | 3.935 | 4.992 | 3.186 | 10.060 | 6.051 | 2.614 |
| ID 1 | 0.000 | 4.343 | 4.126 | 8.433 | 3.849 | 6.511 | 4.501 | 5.830 | 6.383 | 4.745 | 10.228 | 5.739 | 3.746 |
| ID 2 | 0.000 | 0.000 | 4.231 | 5.652 | 7.120 | 4.217 | 5.376 | 3.605 | 4.932 | 4.199 | 11.443 | 8.896 | 3.324 |
| ID 3 | 0.000 | 0.000 | 0.000 | 6.802 | 5.004 | 6.650 | 4.807 | 6.895 | 6.749 | 3.684 | 9.363 | 6.222 | 3.489 |
| ID 4 | 0.000 | 0.000 | 0.000 | 0.000 | 11.351 | 4.136 | 7.782 | 4.614 | 4.161 | 4.362 | 9.939 | 9.973 | 6.892 |
| ID 5 | 0.000 | 0.000 | 0.000 | 0.000 | 0.000 | 9.138 | 3.102 | 8.208 | 9.097 | 6.017 | 11.407 | 5.112 | 3.869 |
| ID 6 | 0.000 | 0.000 | 0.000 | 0.000 | 0.000 | 0.000 | 6.195 | 2.303 | 3.105 | 3.933 | 8.847 | 9.129 | 5.699 |
| ID 7 | 0.000 | 0.000 | 0.000 | 0.000 | 0.000 | 0.000 | 0.000 | 5.430 | 5.847 | 5.798 | 11.735 | 6.502 | 2.877 |
| ID 8 | 0.000 | 0.000 | 0.000 | 0.000 | 0.000 | 0.000 | 0.000 | 0.000 | 2.697 | 4.080 | 9.563 | 9.322 | 4.886 |
| ID 9 | 0.000 | 0.000 | 0.000 | 0.000 | 0.000 | 0.000 | 0.000 | 0.000 | 0.000 | 3.879 | 9.887 | 9.348 | 5.738 |
| ID 10 | 0.000 | 0.000 | 0.000 | 0.000 | 0.000 | 0.000 | 0.000 | 0.000 | 0.000 | 0.000 | 8.092 | 6.210 | 4.238 |
| ID 11 | 0.000 | 0.000 | 0.000 | 0.000 | 0.000 | 0.000 | 0.000 | 0.000 | 0.000 | 0.000 | 0.000 | 8.687 | 11.188 |
| ID 12 | 0.000 | 0.000 | 0.000 | 0.000 | 0.000 | 0.000 | 0.000 | 0.000 | 0.000 | 0.000 | 0.000 | 0.000 | 6.849 |
| ID 13 | 0.000 | 0.000 | 0.000 | 0.000 | 0.000 | 0.000 | 0.000 | 0.000 | 0.000 | 0.000 | 0.000 | 0.000 | 0.000 |
| ID 14 | 0.000 | 0.000 | 0.000 | 0.000 | 0.000 | 0.000 | 0.000 | 0.000 | 0.000 | 0.000 | 0.000 | 0.000 | 0.000 |
| ID 15 | 0.000 | 0.000 | 0.000 | 0.000 | 0.000 | 0.000 | 0.000 | 0.000 | 0.000 | 0.000 | 0.000 | 0.000 | 0.000 |
| ID 16 | 0.000 | 0.000 | 0.000 | 0.000 | 0.000 | 0.000 | 0.000 | 0.000 | 0.000 | 0.000 | 0.000 | 0.000 | 0.000 |
| ID 17 | 0.000 | 0.000 | 0.000 | 0.000 | 0.000 | 0.000 | 0.000 | 0.000 | 0.000 | 0.000 | 0.000 | 0.000 | 0.000 |
| ID 18 | 0.000 | 0.000 | 0.000 | 0.000 | 0.000 | 0.000 | 0.000 | 0.000 | 0.000 | 0.000 | 0.000 | 0.000 | 0.000 |
| ID 19 | 0.000 | 0.000 | 0.000 | 0.000 | 0.000 | 0.000 | 0.000 | 0.000 | 0.000 | 0.000 | 0.000 | 0.000 | 0.000 |
| ID 20 | 0.000 | 0.000 | 0.000 | 0.000 | 0.000 | 0.000 | 0.000 | 0.000 | 0.000 | 0.000 | 0.000 | 0.000 | 0.000 |
| ID 21 | 0.000 | 0.000 | 0.000 | 0.000 | 0.000 | 0.000 | 0.000 | 0.000 | 0.000 | 0.000 | 0.000 | 0.000 | 0.000 |
| ID 22 | 0.000 | 0.000 | 0.000 | 0.000 | 0.000 | 0.000 | 0.000 | 0.000 | 0.000 | 0.000 | 0.000 | 0.000 | 0.000 |
| ID 23 | 0.000 | 0.000 | 0.000 | 0.000 | 0.000 | 0.000 | 0.000 | 0.000 | 0.000 | 0.000 | 0.000 | 0.000 | 0.000 |
| ID 24 | 0.000 | 0.000 | 0.000 | 0.000 | 0.000 | 0.000 | 0.000 | 0.000 | 0.000 | 0.000 | 0.000 | 0.000 | 0.000 |
| ID 25 | 0.000 | 0.000 | 0.000 | 0.000 | 0.000 | 0.000 | 0.000 | 0.000 | 0.000 | 0.000 | 0.000 | 0.000 | 0.000 |
| ID 26 | 0.000 | 0.000 | 0.000 | 0.000 | 0.000 | 0.000 | 0.000 | 0.000 | 0.000 | 0.000 | 0.000 | 0.000 | 0.000 |
| ID 14 | ID 15 | ID 16 | ID 17 | ID 18 | ID 19 | ID 20 | ID 21 | ID 22 | ID 23 | ID 24 | ID 25 | ID 26 | |
| ID 0 | 3.358 | 2.995 | 8.627 | 5.403 | 2.927 | 3.912 | 6.066 | 3.940 | 3.843 | 5.206 | 3.928 | 2.921 | 3.075 |
| ID 1 | 5.079 | 3.600 | 7.477 | 3.609 | 4.295 | 4.057 | 6.630 | 3.994 | 3.602 | 6.460 | 5.051 | 4.002 | 3.256 |
| ID 2 | 2.183 | 2.595 | 12.920 | 7.598 | 2.190 | 3.472 | 5.018 | 4.910 | 5.069 | 3.776 | 3.977 | 5.127 | 3.502 |
| ID 3 | 5.022 | 3.483 | 8.167 | 4.939 | 3.758 | 4.241 | 6.546 | 3.985 | 5.381 | 6.562 | 5.503 | 5.648 | 3.338 |
| ID 4 | 4.795 | 7.256 | 12.803 | 12.939 | 7.081 | 6.180 | 3.405 | 8.543 | 6.842 | 4.274 | 5.819 | 8.391 | 7.662 |
| ID 5 | 6.917 | 4.336 | 7.174 | 2.780 | 5.434 | 6.319 | 8.841 | 3.830 | 4.942 | 8.972 | 7.413 | 5.158 | 3.522 |
| ID 6 | 3.840 | 5.753 | 12.388 | 9.807 | 5.360 | 4.676 | 3.358 | 6.947 | 5.612 | 3.042 | 4.630 | 7.094 | 5.593 |
| ID 7 | 4.749 | 3.670 | 9.613 | 3.624 | 4.575 | 5.167 | 5.842 | 2.573 | 4.039 | 4.960 | 4.609 | 4.907 | 3.455 |
| ID 8 | 3.526 | 4.973 | 12.322 | 9.459 | 4.816 | 4.403 | 3.170 | 6.099 | 5.073 | 2.656 | 4.139 | 5.678 | 4.628 |
| ID 9 | 4.339 | 5.753 | 12.164 | 10.561 | 5.556 | 4.857 | 2.342 | 6.952 | 5.199 | 2.355 | 4.952 | 6.814 | 5.928 |
| ID 10 | 4.214 | 4.826 | 8.005 | 7.215 | 4.542 | 3.902 | 4.082 | 5.386 | 4.991 | 4.559 | 4.577 | 4.932 | 4.249 |
| ID 11 | 10.551 | 11.688 | 8.083 | 11.339 | 11.272 | 8.687 | 10.234 | 11.322 | 9.938 | 11.310 | 9.574 | 10.055 | 10.558 |
| ID 12 | 8.615 | 6.860 | 4.840 | 5.947 | 8.055 | 7.693 | 9.365 | 6.215 | 5.809 | 10.477 | 8.630 | 5.976 | 6.308 |
| ID 13 | 3.734 | 2.652 | 10.029 | 4.047 | 2.030 | 3.827 | 6.028 | 2.960 | 4.292 | 4.759 | 3.882 | 3.950 | 2.318 |
| ID 14 | 0.000 | 3.427 | 12.683 | 7.739 | 3.406 | 3.337 | 4.813 | 4.398 | 4.883 | 2.885 | 4.533 | 5.366 | 3.402 |
| ID 15 | 0.000 | 0.000 | 11.006 | 4.520 | 2.731 | 4.315 | 5.760 | 2.845 | 4.074 | 4.913 | 4.457 | 4.320 | 2.793 |
| ID 16 | 0.000 | 0.000 | 0.000 | 7.573 | 11.851 | 10.471 | 12.522 | 10.125 | 8.393 | 14.181 | 10.934 | 8.296 | 9.217 |
| ID 17 | 0.000 | 0.000 | 0.000 | 0.000 | 5.833 | 6.451 | 9.963 | 4.632 | 5.590 | 10.110 | 7.631 | 6.468 | 3.527 |
| ID 18 | 0.000 | 0.000 | 0.000 | 0.000 | 0.000 | 4.286 | 5.868 | 4.031 | 5.009 | 4.674 | 4.275 | 4.823 | 3.321 |
| ID 19 | 0.000 | 0.000 | 0.000 | 0.000 | 0.000 | 0.000 | 5.260 | 4.556 | 4.590 | 4.499 | 4.078 | 5.010 | 3.277 |
| ID 20 | 0.000 | 0.000 | 0.000 | 0.000 | 0.000 | 0.000 | 0.000 | 6.940 | 6.343 | 2.715 | 4.861 | 7.215 | 5.830 |
| ID 21 | 0.000 | 0.000 | 0.000 | 0.000 | 0.000 | 0.000 | 0.000 | 0.000 | 3.403 | 5.772 | 4.439 | 4.092 | 2.303 |
| ID 22 | 0.000 | 0.000 | 0.000 | 0.000 | 0.000 | 0.000 | 0.000 | 0.000 | 0.000 | 5.662 | 4.180 | 3.273 | 4.137 |
| ID 23 | 0.000 | 0.000 | 0.000 | 0.000 | 0.000 | 0.000 | 0.000 | 0.000 | 0.000 | 0.000 | 4.074 | 6.555 | 5.043 |
| ID 24 | 0.000 | 0.000 | 0.000 | 0.000 | 0.000 | 0.000 | 0.000 | 0.000 | 0.000 | 0.000 | 0.000 | 4.091 | 4.471 |
| ID 25 | 0.000 | 0.000 | 0.000 | 0.000 | 0.000 | 0.000 | 0.000 | 0.000 | 0.000 | 0.000 | 0.000 | 0.000 | 3.770 |
| ID 26 | 0.000 | 0.000 | 0.000 | 0.000 | 0.000 | 0.000 | 0.000 | 0.000 | 0.000 | 0.000 | 0.000 | 0.000 | 0.000 |
References
- Vallejo, V.R.; Arianoutsou, M.; Moreira, F. Fire Ecology and Post-Fire Restoration Approaches in Southern European Forest Types. In Post-Fire Management and Restoration of Southern European Forests; Moreira, F., Arianoutsou, M., Corona, P., Las Heras, J., Eds.; Springer: Dordrecht, The Netherlands, 2012; pp. 93–119. ISBN 978-94-007-2208-8. [Google Scholar]
- De Luis, M.; Raventós, J.; González-Hidalgo, J.C. Post-fire vegetation succession in Mediterranean gorse shrublands. Acta Oecol. 2006. [Google Scholar] [CrossRef]
- Bastos, A.; Gouveia, C.M.; Dacamara, C.C.; Trigo, R.M. Modelling post-fire vegetation recovery in Portugal. Biogeosciences 2011. [Google Scholar] [CrossRef]
- Fernandez-Manso, A.; Quintano, C.; Roberts, D.A. Burn severity influence on post-fire vegetation cover resilience from Landsat MESMA fraction images time series in Mediterranean forest ecosystems. Remote Sens. Environ. 2016. [Google Scholar] [CrossRef]
- Meng, R.; Wu, J.; Zhao, F.; Cook, B.D.; Hanavan, R.P.; Serbin, S.P. Measuring short-term post-fire forest recovery across a burn severity gradient in a mixed pine-oak forest using multi-sensor remote sensing techniques. Remote Sens. Environ. 2018. [Google Scholar] [CrossRef]
- Hislop, S.; Jones, S.; Soto-Berelov, M.; Skidmore, A.; Haywood, A.; Nguyen, T.H. Using Landsat Spectral Indices in Time-Series to Assess Wildfire Disturbance and Recovery. Remote Sens. 2018, 10. [Google Scholar] [CrossRef]
- Storey, E.A.; Stow, D.A.; O’Leary, J.F. Assessing postfire recovery of chamise chaparral using multi-temporal spectral vegetation index trajectories derived from Landsat imagery. Remote Sens. Environ. 2016, 183, 53–64. [Google Scholar] [CrossRef]
- Uyeda, K.A.; Stow, D.A.; Roberts, D.A.; Riggan, P.J. Combining ground-based measurements and MODIS-based spectral vegetation indices to track biomass accumulation in post-fire chaparral. Int. J. Remote Sens. 2017, 38, 728–741. [Google Scholar] [CrossRef]
- Buma, B. Evaluating the utility and seasonality of NDVI values for assessing post-disturbance recovery in a subalpine forest. Environ. Monit. Assess. 2012, 184, 3849–3860. [Google Scholar] [CrossRef] [PubMed]
- Helman, D.; Lensky, I.M.; Tessler, N.; Osem, Y. A Phenology-Based Method for Monitoring Woody and Herbaceous Vegetation in Mediterranean Forests from NDVI Time Series. Remote Sens. 2015, 7, 12314–12335. [Google Scholar] [CrossRef]
- Joao, T.; Joao, G.; Bruno, M.; Joao, H. Indicator-based assessment of post-fire recovery dynamics using satellite NDVI time-series. Ecol. Indic. 2018, 89, 199–212. [Google Scholar] [CrossRef]
- Chen, W.; Jiang, H.; Moriya, K.; Sakai, T.; Cao, C. Monitoring of post-fire forest regeneration under different restoration treatments based on ALOS/PALSAR data. New For. 2018, 49, 105–121. [Google Scholar] [CrossRef]
- Huesca, M.; Merino-de-Miguel, S.; Gonzalez-Alonso, F.; Martinez, S.; Miguel Cuevas, J.; Calle, A. Using AHS hyper-spectral images to study forest vegetation recovery after a fire. Int. J. Remote Sens. 2013, 34, 4025–4048. [Google Scholar] [CrossRef]
- Key, C.H.; Benson, N.C. Landscape assessment (LA) sampling and analysis methods. In FIREMON: Fire Effects Monitoring and Inventory System; General Technical Report RMRS-GTR-164; USDA Forest Service: Washington, DC, USA, 2006; pp. 1–51. [Google Scholar]
- van Leeuwen, W.J.D. Monitoring the effects of forest restoration treatments on post-fire vegetation recovery with MODIS multitemporal data. Sensors 2008, 8, 2017–2042. [Google Scholar] [CrossRef] [PubMed]
- Li, X.; Zhang, H.; Yang, G.; Ding, Y.; Zhao, J. Post-Fire Vegetation Succession and Surface Energy Fluxes Derived from Remote Sensing. Remote Sens. 2018, 10. [Google Scholar] [CrossRef]
- Caccamo, G.; Bradstock, R.; Collins, L.; Penman, T.; Watson, P. Using MODIS data to analyse post-fire vegetation recovery in Australian eucalypt forests. J. Spat. Sci. 2015, 60, 341–352. [Google Scholar] [CrossRef]
- Wang, K.; Wang, P.; Li, Z.; Cribb, M.; Sparrow, M. A simple method to estimate actual evapotranspiration from a combination of net radiation, vegetation index, and temperature. J. Geophys. Res. Atmos. 2007. [Google Scholar] [CrossRef]
- Chu, T.; Guo, X.; Takeda, K. Remote sensing approach to detect post-fire vegetation regrowth in Siberian boreal larch forest. Ecol. Indic. 2016, 62, 32–46. [Google Scholar] [CrossRef]
- Frazier, R.J.; Coops, N.C.; Wulder, M.A.; Hermosilla, T.; White, J.C. Analyzing spatial and temporal variability in short-term rates of post-fire vegetation return from Landsat time series. Remote Sens. Environ. 2018, 205, 32–45. [Google Scholar] [CrossRef]
- Pickell, P.D.; Hermosilla, T.; Frazier, R.J.; Coops, N.C.; Wulder, M.A. Forest recovery trends derived from Landsat time series for North American boreal forests. Int. J. Remote Sens. 2016, 37, 138–149. [Google Scholar] [CrossRef]
- White, J.C.; Wulder, M.A.; Hermosilla, T.; Coops, N.C.; Hobart, G.W. A nationwide annual characterization of 25 years of forest disturbance and recovery for Canada using Landsat time series. Remote Sens. Environ. 2017, 194, 303–321. [Google Scholar] [CrossRef]
- Jacobson, C.R. Use of linguistic estimates and vegetation indices to assess post-fire vegetation regrowth in woodland areas. Int. J. Wildl. Fire 2010, 19, 94–103. [Google Scholar] [CrossRef]
- Sever, L.; Leach, J.; Bren, L. Remote sensing of post-fire vegetation recovery; a study using Landsat 5 TM imagery and NDVI in North-East Victoria. J. Spat. Sci. 2012, 57, 175–191. [Google Scholar] [CrossRef]
- Walz, Y.; Maier, S.W.; Dech, S.W.; Conrad, C.; Colditz, R.R. Classification of burn severity using Moderate Resolution Imaging Spectroradiometer (MODIS): A case study in the jarrah-marri forest of southwest Western Australia. J. Geophys. Res. 2007, 112. [Google Scholar] [CrossRef]
- Ryu, J.-H.; Han, K.-S.; Hong, S.; Park, N.-W.; Lee, Y.-W.; Cho, J. Satellite-Based Evaluation of the Post-Fire Recovery Process from the Worst Forest Fire Case in South Korea. Remote Sens. 2018, 10. [Google Scholar] [CrossRef]
- Van Leeuwen, W.J.D.; Casady, G.M.; Neary, D.G.; Bautista, S.; Alloza, J.A.; Carmel, Y.; Wittenberg, L.; Malkinson, D.; Orr, B.J. Monitoring post-wildfire vegetation response with remotely sensed time-series data in Spain, USA and Israel. Int. J. Wildl. Fire 2010. [Google Scholar] [CrossRef]
- Kalabokidis, K.; Toulikas, V.; Palaiologou, P. Study and assessment of the 2011 evros wildfire impact and behavior [in Greek]. Fire Brig. Rev. 2011, 155, 4–13. [Google Scholar]
- Triantakonstantis, D.P.; Kollias, V.J.; Kalivas, D.P. Forest re-growth since 1945 in the Dadia forest nature reserve in northern Greece. NEW For. 2006, 32, 51–69. [Google Scholar] [CrossRef]
- Grill, A.; Cleary, D.F.R. Diversity patterns in butterfly communities of the Greek nature reserve Dadia. Biol. Conserv. 2003, 114, 427–436. [Google Scholar] [CrossRef]
- Kati, V.; Foufopoulos, J.; Ioannidis, Y.; Papaioannou, H.; Poirazidis, K.; Lebrun, P. Diversity, ecological structure and conservation of herpetofauna in a Mediterranean area (Dadia National Park, Greece). Amphibia-Reptilia 2007, 28, 517–529. [Google Scholar] [CrossRef]
- Kati, V.I.; Sekercioglu, C.H. Diversity, ecological structure, and conservation of the landbird community of Dadia reserve, Greece. Divers. Distrib. 2006, 12, 620–629. [Google Scholar] [CrossRef]
- Skartsi, T.; Elorriaga, J.N.; Vasilakis, D.P.; Poirazidis, K. Population size, breeding rates and conservation status of Eurasian black vulture in the Dadia National Park, Thrace, NE Greece. J. Nat. Hist. 2008, 42, 345–353. [Google Scholar] [CrossRef]
- Vasilakis, D.P.; Poirazidis, K.S.; Elorriaga, J.N. Range use of a Eurasian black vulture (Aegypius monachus) population in the Dadia-Lefkimi-Soufli National Park and the adjacent areas, Thrace, NE Greece. J. Nat. Hist. 2008, 42, 355–373. [Google Scholar] [CrossRef]
- Ryan, K.C.; Noste, N.V. Evaluating prescribed fires, Workshops on Wildness fires. USDA Serv. Gen. Tech. Rep. INT 1985, 182, 230–238. [Google Scholar]
- Ahl, D.E.; Gower, S.T.; Burrows, S.N.; Shabanov, N.V.; Myneni, R.B.; Knyazikhin, Y. Monitoring spring canopy phenology of a deciduous broadleaf forest using MODIS. Remote Sens. Environ. 2006, 104, 88–95. [Google Scholar] [CrossRef]
- Sesnie, S.E.; Dickson, B.G.; Rosenstock, S.S.; Rundall, J.M. A comparison of Landsat TM and MODIS vegetation indices for estimating forage phenology in desert bighorn sheep (Ovis canadensis nelsoni) habitat in the Sonoran Desert, USA. Int. J. Remote Sens. 2012, 33, 276–286. [Google Scholar] [CrossRef]
- Setiawan, Y.; Yoshino, K.; Prasetyo, L.B. Characterizing the dynamics change of vegetation cover on tropical forestlands using 250 m multi-temporal MODIS EVI. Int. J. Appl. Earth Obs. Geoinf. 2014, 26, 132–144. [Google Scholar] [CrossRef]
- Xiao, X.M.; Braswell, B.; Zhang, Q.Y.; Boles, S.; Frolking, S.; Moore, B. Sensitivity of vegetation indices to atmospheric aerosols: Continental-scale observations in Northern Asia. Remote Sens. Environ. 2003, 84, 385–392. [Google Scholar] [CrossRef]
- Jiang, Z.; Huete, A.R.; Didan, K.; Miura, T. Development of a two-band enhanced vegetation index without a blue band. Remote Sens. Environ. 2008, 112, 3833–3845. [Google Scholar] [CrossRef]
- Huete, A.; Didan, K.; Miura, T.; Rodriguez, E.P.; Gao, X.; Ferreira, L.G. Overview of the radiometric and biophysical performance of the MODIS vegetation indices. Remote Sens. Environ. 2002, 83, 195–213. [Google Scholar] [CrossRef]
- Didan, K. MYD13Q1 MODIS/Terra Vegetation Indices 16-Day L3 Global 250 m SIN Grid V006 [Data Set]; NASA EOSDIS LP DAAC, USGS/Earth Resources Observation and Science (EROS) Center: Sioux Falls, SD, USA, 2015. [Google Scholar]
- Tian, M.; Wang, P.; Khan, J. Drought Forecasting with Vegetation Temperature Condition Index Using ARIMA Models in the Guanzhong Plain. Remote Sens. 2016, 8. [Google Scholar] [CrossRef]
- Allende, H.; Moraga, C.; Salas, R. Artificial neural networks in time series forecasting: A comparative analysis. Kybernetika 2002, 38, 685–707. [Google Scholar]
- Hagan, M.T.; Menhaj, M.B. Training feedforward networks with the Marquardt algorithm. IEEE Trans. Neural Netw. 1994, 5, 989–993. [Google Scholar] [CrossRef] [PubMed]
- Savitzky, A.; Golay, M.J.E. Smoothing and Differentiation of Data by Simplified Least Squares Procedures. Anal. Chem. 1964, 36, 1627–1639. [Google Scholar] [CrossRef]
- Steinier, J.; Termonia, Y.; Deltour, J. Smoothing and differentiation of data by simplified least square procedure. Anal. Chem. 1972, 44, 1906–1909. [Google Scholar] [CrossRef] [PubMed]
- Chen, J.; Jönsson, P.; Tamura, M.; Gu, Z.; Matsushita, B.; Eklundh, L. A simple method for reconstructing a high-quality NDVI time-series data set based on the Savitzky-Golay filter. Remote Sens. Environ. 2004. [Google Scholar] [CrossRef]
- Sakoe, H.; Chiba, S. Dynamic programming algorithm optimization for spoken word recognition. IEEE Trans. Acoust. 1978, 26, 43–49. [Google Scholar] [CrossRef]
- Baumann, M.; Ozdogan, M.; Richardson, A.D.; Radeloff, V.C. Phenology from Landsat when data is scarce: Using MODIS and Dynamic Time-Warping to combine multi-year Landsat imagery to derive annual phenology curves. Int. J. Appl. Earth Obs. Geoinf. 2017, 54, 72–83. [Google Scholar] [CrossRef]
- Guan, X.; Huang, C.; Liu, G.; Meng, X.; Liu, Q. Mapping rice cropping systems in Vietnam using an NDVI-based time-series similarity measurement based on DTW distance. Remote Sens. 2016. [Google Scholar] [CrossRef]
- Guan, X.; Liu, G.; Huang, C.; Meng, X.; Liu, Q.; Wu, C.; Ablat, X.; Chen, Z.; Wang, Q. An Open-Boundary Locally Weighted Dynamic Time Warping Method for Cropland Mapping. ISPRS Int. J. Geo-Inf. 2018, 7. [Google Scholar] [CrossRef]
- Cox, M.A.A.; Cox, T.F. Multidimensional Scaling. In Handbook of Data Visualization; Springer Handbooks Computational Statistics; Springer: Berlin/Heidelberg, Germany, 2008. [Google Scholar]
- Tsekouras, G.E. Fuzzy rule base simplification using multidimensional scaling and constrained optimization. Fuzzy Sets Syst. 2016, 297, 46–72. [Google Scholar] [CrossRef]
- Tamvakis, A.; Tsekouras, G.E.; Rigos, A.; Kalloniatis, C.; Anagnostopoulos, C.-N.; Anastassopoulos, G. A methodology to carry out voting classification tasks using a particle swarm optimization-based neuro-fuzzy competitive learning network. Evol. Syst. 2017, 8, 49–69. [Google Scholar] [CrossRef]
- Sammon, J.W. A Nonlinear Mapping for Data Structure Analysis. IEEE Trans. Comput. 1969, C-18, 401–409. [Google Scholar] [CrossRef]
- Karayiannis, N.B.; Bezdek, J.C. An integrated approach to fuzzy learning vector quantization and fuzzy c-means clustering. IEEE Trans. Fuzzy Syst. 1997, 5, 622–628. [Google Scholar] [CrossRef]
- Xie, X.L.L.; Beni, G. A validity measure for fuzzy clustering. IEEE Trans. Pattern Anal. Mach. Intell. 1991, 13, 841–847. [Google Scholar] [CrossRef]
- Chu, T.; Guo, X. Remote Sensing Techniques in Monitoring Post-Fire Effects and Patterns of Forest Recovery in Boreal Forest Regions: A Review. Remote Sens. 2014, 6, 470–520. [Google Scholar] [CrossRef]
- Barton, A.M.; Poulos, H.M. Pine vs. oaks revisited: Conversion of Madrean pine-oak forest to oak shrubland after high-severity wildfire in the Sky Islands of Arizona. For. Ecol. Manag. 2018, 414, 28–40. [Google Scholar] [CrossRef]
- Jin, Y.; Randerson, J.T.; Goetz, S.J.; Beck, P.S.A.; Loranty, M.M.; Goulden, M.L. The influence of burn severity on postfire vegetation recovery and albedo change during early succession in North American boreal forests. J. Geophys. Res. 2012, 117. [Google Scholar] [CrossRef]
- Thompson, J.R.; Spies, T.A.; Ganio, L.M. Reburn severity in managed and unmanaged vegetation in a large wildfire. Proc. Natl. Acad. Sci. USA 2007. [Google Scholar] [CrossRef] [PubMed]
- Kong, Y.-L.; Huang, Q.; Wang, C.; Chen, J.; Chen, J.; He, D. Long Short-Term Memory Neural Networks for Online Disturbance Detection in Satellite Image Time Series. Remote Sens. 2018, 10. [Google Scholar] [CrossRef]











| ID | CBI | CBI Class | Land-Cover Type 1 | Hidden Nodes | MSE 2 | R2 2 |
|---|---|---|---|---|---|---|
| 0 | 2.34 | Moderate–high | Conifer regeneration | 2 | 0.00110 | 0.92757 |
| 1 | 1.63 | Moderate–low | Conifer regeneration | 4 | 0.00120 | 0.90215 |
| 2 | 2.45 | High | Conifer | 2 | 0.00110 | 0.86192 |
| 3 | 1.77 | Moderate–low | Conifer | 2 | 0.00060 | 0.89212 |
| 4 | 2.36 | Moderate–high | Conifer | 3 | 0.00080 | 0.83431 |
| 5 | 2.71 | High | Conifer regeneration | 2 | 0.00100 | 0.77137 |
| 6 | 2.28 | Moderate–high | Conifer mixed with oak | 4 | 0.00025 | 0.92439 |
| 7 | 2.41 | High | Conifer mixed with oak | 4 | 0.00076 | 0.94236 |
| 8 | 2.53 | High | Oak mixed with shrubs | 2 | 0.00067 | 0.8958 |
| 9 | 2.28 | Moderate–high | Broadleaf mixed with oak | 3 | 0.00062 | 0.92781 |
| 10 | 2.63 | High | Conifer regeneration | 4 | 0.00160 | 0.79313 |
| 11 | 1.85 | Moderate–low | Broadleaf mixed with oak | 2 | 0.00120 | 0.59728 |
| 12 | 2.1 | Moderate–high | Shrubland | 3 | 0.00110 | 0.9097 |
| 13 | 1.08 | Low | Conifer regeneration | 2 | 0.00068 | 0.84463 |
| 14 | 2.55 | High | Conifer | 3 | 0.00085 | 0.92759 |
| 15 | 2.52 | High | Conifer mixed with oak | 4 | 0.00130 | 0.92541 |
| 16 | 1.18 | Low | Conifer mixed with oak | 2 | 0.00083 | 0.97366 |
| 17 | 1.64 | Moderate–low | Oak | 2 | 0.00072 | 0.97653 |
| 18 | 2 | Moderate–low | Oak | 3 | 0.00089 | 0.95272 |
| 19 | 1.29 | Low | Conifer mixed with oak | 4 | 0.00076 | 0.94505 |
| 20 | 2.71 | High | Oak | 1 | 0.00060 | 0.91018 |
| 21 | 1.11 | Low | Conifer mixed with oak | 1 | 0.00130 | 0.94143 |
| 22 | 2.34 | Moderate–high | Conifer mixed with oak | 3 | 0.00170 | 0.89673 |
| 23 | 1.71 | Moderate–low | Broadleaf mixed with oak | 3 | 0.00057 | 0.93743 |
| 24 | 1.69 | Moderate–low | Conifer mixed with oak | 2 | 0.00090 | 0.95265 |
| 25 | 1.79 | Moderate–low | Conifer | 4 | 0.00084 | 0.94607 |
| 26 | 2.39 | Moderate–high | Shrubland | 2 | 0.00087 | 0.93511 |
| Number of Clusters | Two-Year Period | Seven-Year Period |
|---|---|---|
| 2 | 0.1386 | 0.24938 |
| 3 | 0.1332 | 0.20344 |
| 4 | 0.1607 | 0.29338 |
| 5 | 0.1604 | 0.20754 |
© 2018 by the authors. Licensee MDPI, Basel, Switzerland. This article is an open access article distributed under the terms and conditions of the Creative Commons Attribution (CC BY) license (http://creativecommons.org/licenses/by/4.0/).
Share and Cite
Vasilakos, C.; Tsekouras, G.E.; Palaiologou, P.; Kalabokidis, K. Neural-Network Time-Series Analysis of MODIS EVI for Post-Fire Vegetation Regrowth. ISPRS Int. J. Geo-Inf. 2018, 7, 420. https://doi.org/10.3390/ijgi7110420
Vasilakos C, Tsekouras GE, Palaiologou P, Kalabokidis K. Neural-Network Time-Series Analysis of MODIS EVI for Post-Fire Vegetation Regrowth. ISPRS International Journal of Geo-Information. 2018; 7(11):420. https://doi.org/10.3390/ijgi7110420
Chicago/Turabian StyleVasilakos, Christos, George E. Tsekouras, Palaiologos Palaiologou, and Kostas Kalabokidis. 2018. "Neural-Network Time-Series Analysis of MODIS EVI for Post-Fire Vegetation Regrowth" ISPRS International Journal of Geo-Information 7, no. 11: 420. https://doi.org/10.3390/ijgi7110420
APA StyleVasilakos, C., Tsekouras, G. E., Palaiologou, P., & Kalabokidis, K. (2018). Neural-Network Time-Series Analysis of MODIS EVI for Post-Fire Vegetation Regrowth. ISPRS International Journal of Geo-Information, 7(11), 420. https://doi.org/10.3390/ijgi7110420
