What do New Yorkers Think about Impacts and Adaptation to Heat Waves? An Evaluation Tool to Incorporate Perception of Low-Income Groups into Heat Wave Adaptation Scenarios in New York City
Abstract
1. Introduction
- -
- Contextual vulnerability (starting-point vulnerability)
- -
- Outcome vulnerability (end-point vulnerability)
- -
- What are the main differences across income groups in regards to their concerns about future impacts of heat waves?
- -
- What are the main differences across income groups in regards to their opinion about citizens’ responsibility in heat wave adaptation and urban sector(s) most in need of adaptation actions during future heat waves in NYC?
- -
- What are the main differences between different income groups’ cognitive maps in regards to impacts of heat waves in NYC?
- -
- How do prominent adaptation options affect different income groups in NYC, i.e. lower the impacts of heat waves for each group?
2. Materials and Methods
2.1. Data
2.2. Methods
- -
- People living in poverty
- -
- Low-income group
- -
- Middle-income group
- -
- High-income group
- Highest number of stated concepts (minimum 4 concepts must be stated)
- Equal distribution in different boroughs (according to database availability)
- Equal composition in age groups (according to database availability)
- Equal composition of gender (according to database availability)
- Investment in and development of the NYC public health sector
- Investment in and development of the NYC water and electricity system
- Investment in and development of the NYC transit sector
3. Results
3.1. Perceived Extent of Climate Change Impacts in the Future
- Personal life
- Family
- New York City in general
- Future generation
3.2. Perceived Responsibility of Citizens’ Regarding Heat Wave Adaptation
3.3. FCM Analysis Results
3.4. FCM Scenario Simulation Results
4. Discussion
5. Conclusions
Author Contributions
Conflicts of Interest
Appendix A. Detailed Information about Concepts’ Fixed Value in Scenario Simulation
| Subject of Simulated Scenarios for in Poverty Group | |||||
| Public Health Sector | Water and Electricity System | Transit Sector | |||
| Concept | Value | Concept | Value | Concept | Value |
| Anxiousness | 0.1 | Drought | 0.1 | Transportation usage | 1 |
| Asthma | 0.1 | Water shortage | 0.1 | Intolerable subway/transit platforms | 0 |
| Cardiac arrest | 0.1 | Blackout/Power shortage | 0 | Subway failures | 0 |
| Death | 0.1 | Water line problem | 0 | ||
| Fatigue | 0.1 | ||||
| Children death | 0.1 | ||||
| Elderly death | 0.1 | ||||
| Heat stroke | 0.1 | ||||
| Hyperthermia | 0.1 | ||||
| Illness | 0.1 | ||||
| Migraine | 0.1 | ||||
| Skin cancer | 0.1 | ||||
| Subject of Simulated Scenarios for Low Income Group | |||||
| Public health Sector | Water and Electricity System | Transit Sector | |||
| Concept | Value | Concept | Value | Concept | Value |
| Anxiousness | 0.1 | Conserving water | 1 | Subway delays | 0 |
| Asthma | 0.1 | Drought | 0.1 | Intolerable subway/transit platforms | 0 |
| Harmful for children | 0.1 | Water shortage | 0.1 | Overheated cars | 0.1 |
| Death | 0.1 | Blackout/Power shortage | 0 | ||
| Depression | 0.1 | Non-functional elevators | 0 | ||
| Fatigue | 0.1 | ||||
| Harmful for disabled | 0.1 | ||||
| Harmful for elderly | 0.1 | ||||
| Heat stroke | 0.1 | ||||
| Illness | 0.1 | ||||
| Spread of infections | 0.1 | ||||
| Subject of Simulated Scenarios for Middle Income Group | |||||
| Public Health Sector | Water and Electricity System | Transit Sector | |||
| Concept | Value | Concept | Value | Concept | Value |
| Anxiousness | 0.1 | Water pollution | 0.1 | Asphalt melting | 0 |
| Asthma | 0.1 | Water shortage | 0.1 | Transportation failure | 0 |
| Cabin fever | 0.1 | Drought | 0.1 | More traffic | 0.1 |
| Death | 0.1 | Low water pressure | 0 | Intolerable platforms | 0 |
| Depression | 0.1 | Blackout/Power shortage | 0 | Delays | 0 |
| Faint | 0.1 | Electronics damage | 0 | Overheated cars | 0.1 |
| Fatigue | 0.1 | ||||
| Health of elderly | 0.9 | ||||
| Heat stroke | 0.1 | ||||
| Illness | 0.1 | ||||
| Pestilence | 0.1 | ||||
| Skin cancer | 0.1 | ||||
| Subject of Simulated Scenarios for High Income Group | |||||
| Public Health Sector | Water and Electricity System | Transit Sector | |||
| Concept | Value | Concept | Value | Concept | Value |
| Asthma | 0.1 | Draught | 0.1 | Destroyed roads | 0 |
| Death | 0.1 | Water shortage | 0.1 | Infrastructure damage | 0 |
| Fatigue | 0.1 | Blackout/Power shortage | 0 | Intolerable subway/transit platforms | 0 |
| Harmful for elderly | 0.1 | Decreased fire hydrant pressure | 0 | Less comfortable commute | 0 |
| Cardiac arrest | 0.1 | More accidents | 0.1 | ||
| Heat stroke | 0.1 | ||||
| Hyperthermia | 0.1 | ||||
| Illness | 0.1 | ||||
| People and animals cooling off problem | 0.1 | ||||
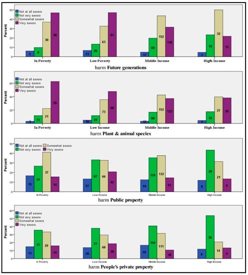
Appendix B. Perceived Extent of Climate Change Impacts in the Future


Appendix C. Importance of Different Urban Sector in Future Heat Wave Adaptation


References
- Rosenzweig, C.; Solecki, W.D.; Hammer, S.A.; Mehrotra, S. Climate Change and Cities First Assessment Report of the Urban Climate Change Research Network(Executive Summary); Columbia University: New York, NY, USA, 2011; pp. 1–23. [Google Scholar]
- Klinenberg, E. Heat Wave: A Social Autopsy of Disaster in Chicago; University of Chicago Press: Chicago, IL, USA, 2003; p. 305. [Google Scholar]
- Satterthwaite, D.; Huq, S.; Pelling, M.; Reid, H.; Lankao, P.R. Adapting to Climate Change in Urban Areas: The Possibilities and Constraints in Low and Middle Income Nations; Human Settlments; IIED: London, UK, 2007; Volume 58, p. 124.
- Intergovernmental Panel on Climate Change (IPCC). Managing the Risks of Extreme Events and Disasters to Advance Climate Change Adaptation; Cambridge University Press: New York, NY, USA, 2012; p. 594. [Google Scholar]
- Goodess, C.M. How is the frequency, location and severity of extreme events likely to change up to 2060? Environ. Sci. Policy 2012, 27, S4–S14. [Google Scholar] [CrossRef]
- Rosenzweig, C.; Solecki, W.; Degaetano, A.; Grady, M.O.; Hassol, S.; Grabhorn, P.; Buonaiuto, F.; Hammer, S.A.; Kinney, P.L.; Wolfe, D.W.; et al. Responding to Climate Change in New York State: The Climaid Integrated Assessment for Effective Climate Change Adaptation in New York State; Final Report; Annals of the New York Academy of Sciences: New York, NY, USA, 2011; pp. 2–149. [Google Scholar]
- Wamsler, C.; Brink, E. Urban climate interfacing citizens’ and institutions’ practice and responsibilities for climate change adaptation. Urban Clim. 2014, 7, 64–91. [Google Scholar] [CrossRef]
- Williams, D.R.; Collins, C. Association of schools of public health racial residential segregation: A fundamental cause of racial disparities in health. Source: Public Health Rep. Health Dispar. 2001, 116, 404–416. [Google Scholar]
- Cutter, S.L.; Boruff, B.J.; Shirley, W.L. Social vulnerability to environmental hazards. Soc. Sci. Q. 2003, 84, 242–261. [Google Scholar] [CrossRef]
- Zuo, J.; Pullen, S.; Palmer, J.; Bennetts, H.; Chileshe, N.; Ma, T. Impacts of heat waves and corresponding measures: A review. J. Clean. Prod. 2015, 92, 1–12. [Google Scholar] [CrossRef]
- Evans, G.W.; Kantrowitz, E. Socioeconomic status and health: The potential role of environmental risk exposure. Annu. Rev. Public Health 2002, 23, 303–331. [Google Scholar] [CrossRef] [PubMed]
- Kinney, P.L.; Matte, T.; Knowlton, K.; Madrigano, J.; Petkova, E.; Weinberger, K.; Quinn, A.; Arend, M.; Pullen, J. New York City Panel on Climate Change 2015 Report Chapter 5: Public Health Impacts and Resiliency; Annals of the New York Academy of Sciences: New York, NY, USA, 2015; pp. 67–88. [Google Scholar]
- Reckien, D.; Creutzig, F.; Fernandez, B.; Lwasa, S.; Tovar-Restrepo, M.; Mcevoy, D.; Satterthwaite, D. Climate change, equity and the sustainable development goals: An urban perspective. Environ. Urban. 2017, 29, 159–182. [Google Scholar] [CrossRef]
- Reckien, D.; Lwasa, S.; Satterthwaite, D.; McEvoy, D.; Creutzig, F.; Montgomery, M.; Schensul, D.; Balk, D.; Khan, I. Equity, environmental justice, and urban climate change. In Climate Change and Cities: Second Assessment Report of the Urban Climate Change Research Network; Rosenzweig, C., Solecki, W., Romero-Lankao, P., Mehrotra, S., Dhakal, S., Ibrahim, S.A., Eds.; Cambridge University Press: Cambridge, UK, 2017. [Google Scholar]
- Rosenthal, J.K.; Kinney, P.L.; Metzger, K.B. Intra-urban vulnerability to heat-related mortality in new york city, 1997–2006. Health Place 2014, 30, 45–60. [Google Scholar] [CrossRef] [PubMed]
- Sampson, N.R.; Gronlund, C.J.; Buxton, M.A.; Catalano, L.; White-Newsome, J.L.; Conlon, K.C.; O’Neill, M.S.; McCormick, S.; Parker, E.A. Staying cool in a changing climate: Reaching vulnerable populations during heat events. Glob. Environ. Chang. 2013, 23, 475–484. [Google Scholar] [CrossRef]
- Intergovernmental Panel on Climate Change (IPCC). Summary for Policymakers; Climate Change 2014: Impacts, Adaptation and Vulnerability-Contributions of the Working Group II to the Fifth Assessment Report; Cambridge University Press: Cambridge, UK; New York, NY, USA, 2014; pp. 1–32. [Google Scholar]
- Füssel, H.M. Vulnerability: A generally applicable conceptual framework for climate change research. Glob. Environ. Chang. 2007, 17, 155–167. [Google Scholar] [CrossRef]
- Intergovernmental Panel on Climate Change (IPCC). Glossary. In Climate Change 2013: Impacts, Adaptation and Vulnerability. Contribution of Working Group II to the Fifth Assessment Report of the Intergovernmental Panel on Climate Change; Cambridge University Press: Cambridge, UK; New York, NY, USA, 2014; pp. 1757–1776. [Google Scholar]
- Tonn, B.; Eisenberg, J. The aging us population and residential energy demand. Energy Policy 2007, 35, 743–745. [Google Scholar] [CrossRef]
- Lemmen, D.S.; Warren, F.J. Climate Change Impacts and Adaptation: A Canadian Perspective; Natural Resources Canada: Ottawa, OTT, Canada, 2004; p. 174.
- Barnett, J.; O’Neill, S. Maladaptation. Glob. Environ. Chang. 2010, 20, 211–213. [Google Scholar] [CrossRef]
- Bolitho, A.; Miller, F. Heat as emergency, heat as chronic stress: Policy and institutional responses to vulnerability to extreme heat. Local Environ. 2016, 1–17. [Google Scholar] [CrossRef]
- Slovic, P. The Perception of Risk; Routledge: London, UK, 2000. [Google Scholar]
- The Organisation for Economic Co-operation and Development (OECD). Modernising Government: The Way Forward; OECD: Paris, France, 2005. [Google Scholar]
- Pollitt, C.; Hupe, P. Talking governance: The role of magic concepts. Public Manag. Rev. 2011, 13, 641–658. [Google Scholar] [CrossRef]
- Bernauer, T.; Schaffer, L.M. Climate change governance. In The Oxford Handbook of Governance; OUP: Oxford, UK, 2012; pp. 9–27. [Google Scholar]
- Anguelovski, I.; Carmin, J. Something borrowed, everything new: Innovation and institutionalization in urban climate governance. Curr. Opin. Environ. Sustain. 2011, 3, 169–175. [Google Scholar] [CrossRef]
- Chanza, N.; De wit, A. Enhancing climate governance through indigenous knowledge: Case in sustainability science. J. Sci. 2016, 112, 1–7. [Google Scholar] [CrossRef]
- Sippel, M.; Jenssen, T. What About local Climate Governance? A Review of Promise and Problems. 2009, pp. 1–51. Available online: https://ssrn.com/abstract=1514334 (accessed on 31 May 2017).
- Urwin, K.; Jordan, A. Does public policy support or undermine climate change adaptation? Exploring policy interplay across different scales of governance. Glob. Environ. Chang. 2008, 18, 180–191. [Google Scholar] [CrossRef]
- Olazabal, M.; Reckien, D. Chapter 7: Fuzzy cognitive mapping: Applications to urban environmental decision-making. In Handbook of Research Methods and Applications in Environmental Studies; Ruth, M., Ed.; Edward Elgar Publishing: Cheltenham, UK, 2015; pp. 148–176. [Google Scholar]
- Reckien, D. Weather extremes and street life in india-implications of fuzzy cognitive mapping as a new tool for semi-quantitative impact assessment and ranking of adaptation measures. Glob. Environ. Chang. 2014, 26, 1–13. [Google Scholar] [CrossRef]
- Reckien, D.; Wildenberg, M.; Bachhofer, M. Subjective realities of climate change: How mental maps of impacts deliver socially sensible adaptation options. Sustain. Sci. 2013, 8, 159–172. [Google Scholar] [CrossRef]
- Reckien, D.; Wildenberg, M.; Deb, K. Understanding potential climate change impacts and adaptation options in indian megacities. In Resilient Cities: Cities and Adaptation to Climate Change-Proceedings of the Global Forum 2010; Otto-Zimmermann, K., Ed.; Springer: Dordrecht, The Netherlands, 2011; pp. 15–34. [Google Scholar]
- Gray, S.R.J.; Gagnon, A.S.; Gray, S.A.; O’Dwyer, B.; O’Mahony, C.; Muir, D.; Devoy, R.J.N.; Falaleeva, M.; Gault, J. Are coastal managers detecting the problem? Assessing stakeholder perception of climate vulnerability using fuzzy cognitive mapping. Ocean Coast. Manag. 2014, 94, 74–89. [Google Scholar] [CrossRef]
- Moser, S.C.; Ekstrom, J.A. A framework to diagnose barriers to climate change adaptation. Proc. Natl. Acad. Sci. USA 2010, 107, 22026–22031. [Google Scholar] [CrossRef] [PubMed]
- Horton, R.M.; Gornitz, V.; Bader, D.A.; Ruane, A.C.; Goldberg, R.; Rosenzweig, C. Climate hazard assessment for stakeholder adaptation planning in new york city. J. Appl. Meteorol. Climatol. 2011, 50, 2247–2266. [Google Scholar] [CrossRef]
- Long, H. America’s 10 Most Unequal Cities. Available online: http://money.cnn.com/2014/12/14/news/economy/america-inequality-10-worst-cities/index.html (accessed on 14 December 2014).
- De Navas-Walt, C.; Proctor, B.D. Income and Poverty in the United States: 2013 Current Population Reports; Current Population Reports; U.S. Government Printing Office: Washington, DC, USA, 2014; pp. 60–249.
- Elkwell, C.K. The Distribution of Household Income and the Middle Class; Library of Congress, Congressional Research Service: Washington, DC, USA, 2014; Volume 7–5700, pp. 1–10.
- Kiersz, A.; Kane, L. What ‘middle class’ means in 50 major US cities. Available online: http://www.businessinsider.com/what-middle-class-means-in-50-major-us-cities-2015-4 (accessed on 2 April 2015).
- Carver, R.H.; Nash, J.G. Doing Data Analysis with Spss®; Version 18; Cengage Learning: Boston, MA, USA, 2011. [Google Scholar]
- Corder, G.W.; Foreman, D.I. Nonparametric Statistics for Non-Statisticians: A Step by Step Approach; Wiley: Hoboken, NJ, USA, 2009; Volume 264. [Google Scholar]
- Kok, K. The potential of fuzzy cognitive maps for semi-quantitative scenario development, with an example from brazil. Glob. Environ. Chang. 2009, 19, 122–133. [Google Scholar] [CrossRef]
- Jetter, A.; Schweinfort, W. Building scenarios with fuzzy cognitive maps: An exploratory study of solar energy. Futures 2011, 43, 52–66. [Google Scholar] [CrossRef]











| Approaches | Heat Wave Adaptation Measures |
|---|---|
| Risk management approaches | Identification and mapping of at-risk groups |
| Communication strategy involving heat alerts | |
| Promotion of behavioral modification | |
| Education and awareness programs on minimizing harm from heat | |
| Coordinated responses within and between agencies for preparedness planning and emergency response | |
| Vulnerability approaches | Direct engagement with vulnerable people through support of social networks and partnerships |
| Improve housing quality, for example, retrofitting | |
| Improve access to healthcare and social services | |
| Improve access to cool public and private spaces, for example, air-conditioning concessions | |
| Integrate thermal considerations, shading, and vegetation into urban design and planning | |
| Address access and mobility considerations, for example, shade at bus stops | |
| Coordinated responses within and between agencies in planning and emergency and long-term responses |
| Subject | Chi-Square | Asymp. Sig. |
|---|---|---|
| Personal life | 12.661 | 0.005 |
| Family | 10.283 | 0.016 |
| Community/neighborhood | 5.033 | 0.169 |
| Borough | 5.033 | 0.169 |
| NYC in general | 16.184 | 0.001 |
| Future generations | 16.724 | 0.001 |
| Plant and animal species | 16.782 | 0.001 |
| Public property (e.g., roads, schools, public buildings) | 1.584 | 0.663 |
| People’s private property (e.g., homes, cars, boats) | 5.082 | 0.166 |
| Subject | Location of Significant Differences (between Income Groups) | Mann–Whitney-U | Z-Score | Asymp. Sig. | |
|---|---|---|---|---|---|
| Personal life | In poverty | Low Income Group | 9981.000 | −0.130 | 0.896 |
| Middle Income Group | 14,616.500 | −2.154 | 0.031 | ||
| High Income Group | 2751.500 | −1.862 | 0.063 | ||
| Low Incomeguifen1 | Middle Income Group | 32,334.000 | −3.019 | 0.003 | |
| High Income Group | 6085.000 | −2.214 | 0.027 | ||
| Middle Income Group | High Income Group | 12,034.500 | −0.282 | 0.778 | |
| Family | In poverty | Low Income Group | 9150.000 | −0.376 | 0.707 |
| Middle Income Group | 14,061.500 | −2.104 | 0.035 | ||
| High Income Group | 2348.500 | −2.380 | 0.017 | ||
| Low Income | Middle Income Group | 31,587.000 | −2.154 | 0.031 | |
| High Income Group | 5313.000 | −2.265 | 0.023 | ||
| Middle Income Group | High Income Group | 10,291.000 | −1.067 | 0.286 | |
| New York City in general | In poverty | Low Income Group | 9621.000 | −0.007 | 0.995 |
| Middle Income Group | 13,882.000 | −2.612 | 0.009 | ||
| High Income Group | 2490.000 | −2.500 | 0.012 | ||
| Low Income | Middle Income Group | 31,329.500 | −3.175 | 0.001 | |
| High Income Group | 5667.0008 | −2.555 | 0.011 | ||
| Middle Income Group | High Income Group | 11,523.500 | −0.689 | 0.491 | |
| Future generation | In poverty | Low Income Group | 7672.500 | −0.260 | 0.795 |
| Middle Income Group | 11,739.500 | −2.502 | 0.012 | ||
| High Income Group | 1906.500 | −2.924 | 0.003 | ||
| Low Income | Middle Income Group | 28,845.500 | −2.898 | 0.004 | |
| High Income Group | 4730.5 | −2.995 | 0.003 | ||
| Middle Income Group | High Income Group | 10,084.0 | −1.284 | 0.199 | |
| Plant and animal species | In poverty | Low Income Group | 8328.5 | −2.076 | 0.038 |
| Middle Income Group | 12,830.5 | −3.782 | 0.000 | ||
| High Income Group | 2445.0 | −2.803 | 0.005 | ||
| Low Income | Middle Income Group | 32,844.0 | −2.178 | 0.029 | |
| High Income Group | 6238.5 | −1.402 | 0.161 | ||
| Middle Income Group | High Income Group | 12,071.0 | −0.077 | 0.938 | |
| Urban Sectors | Chi-Square | Asymp. Sig. |
|---|---|---|
| The water supply | 4.542 | 0.209 |
| The public’s health | 6.561 | 0.087 |
| The drainage and sewer system | 2.001 | 0.572 |
| The subway and rail system | 2.683 | 0.443 |
| The electricity system | 2.530 | 0.470 |
| The building stock, e.g., through insulation | 1.782 | 0.619 |
| Urban greenery and parks | 8.384 | 0.039 |
| The road system | 7.675 | 0.053 |
| Urban Sector | Location of Significant Differences (Between Income Groups) | Mann–Whitney-U | Z-Score | Asymp. Sig. | |
|---|---|---|---|---|---|
| Urban greenery and parks | In poverty | Low Income Group | 10,627.0 | −0.023 | 0.981 |
| Middle Income Group | 16,054.5 | −1.773 | 0.076 | ||
| High Income Group | 2999.5 | −1.473 | 0.141 | ||
| Low Income | Middle Income Group | 34,670.0 | −2.462 | 0.014 | |
| High Income Group | 6466.0 | −1.777 | 0.076 | ||
| Middle Income Group | High Income Group | 12,256.5 | −0.305 | 0.761 | |
© 2017 by the authors. Licensee MDPI, Basel, Switzerland. This article is an open access article distributed under the terms and conditions of the Creative Commons Attribution (CC BY) license (http://creativecommons.org/licenses/by/4.0/).
Share and Cite
Matmir, S.; Reckien, D.; Flacke, J. What do New Yorkers Think about Impacts and Adaptation to Heat Waves? An Evaluation Tool to Incorporate Perception of Low-Income Groups into Heat Wave Adaptation Scenarios in New York City. ISPRS Int. J. Geo-Inf. 2017, 6, 229. https://doi.org/10.3390/ijgi6080229
Matmir S, Reckien D, Flacke J. What do New Yorkers Think about Impacts and Adaptation to Heat Waves? An Evaluation Tool to Incorporate Perception of Low-Income Groups into Heat Wave Adaptation Scenarios in New York City. ISPRS International Journal of Geo-Information. 2017; 6(8):229. https://doi.org/10.3390/ijgi6080229
Chicago/Turabian StyleMatmir, Sadra, Diana Reckien, and Johannes Flacke. 2017. "What do New Yorkers Think about Impacts and Adaptation to Heat Waves? An Evaluation Tool to Incorporate Perception of Low-Income Groups into Heat Wave Adaptation Scenarios in New York City" ISPRS International Journal of Geo-Information 6, no. 8: 229. https://doi.org/10.3390/ijgi6080229
APA StyleMatmir, S., Reckien, D., & Flacke, J. (2017). What do New Yorkers Think about Impacts and Adaptation to Heat Waves? An Evaluation Tool to Incorporate Perception of Low-Income Groups into Heat Wave Adaptation Scenarios in New York City. ISPRS International Journal of Geo-Information, 6(8), 229. https://doi.org/10.3390/ijgi6080229

