Spatiotemporal Dynamics and Multi-Scale Equity Evaluation of Urban Rail Accessibility: Evidence from Hangzhou
Abstract
1. Introduction
- (1)
- Integration of a road network decay method with multi-scale spatiotemporal analysis to overcome the limitations of traditional static models.
- (2)
- Application of the Gini coefficient and spatial autocorrelation metrics to elucidate the spatiotemporal differentiation patterns of rail transit service inequality.
- (3)
- Development of an equity evolution map for rail transit services in Hangzhou’ s main urban area in 2019 and 2023, providing a scientific foundation for optimizing station layouts and advancing ‘station-city’ integration.
2. Methodology
2.1. Station Accessibility Calculations
2.2. Assessing Inequalities in SA
2.3. Spatial Heterogeneity in SA
2.4. Gravity Center Migration and Standard Deviation Ellipse
3. Study Area and Data Source
3.1. Study Area
3.2. Data Source
4. Results
4.1. Spatial Distribution of SA
4.2. Unequal Spatial Distribution of SA
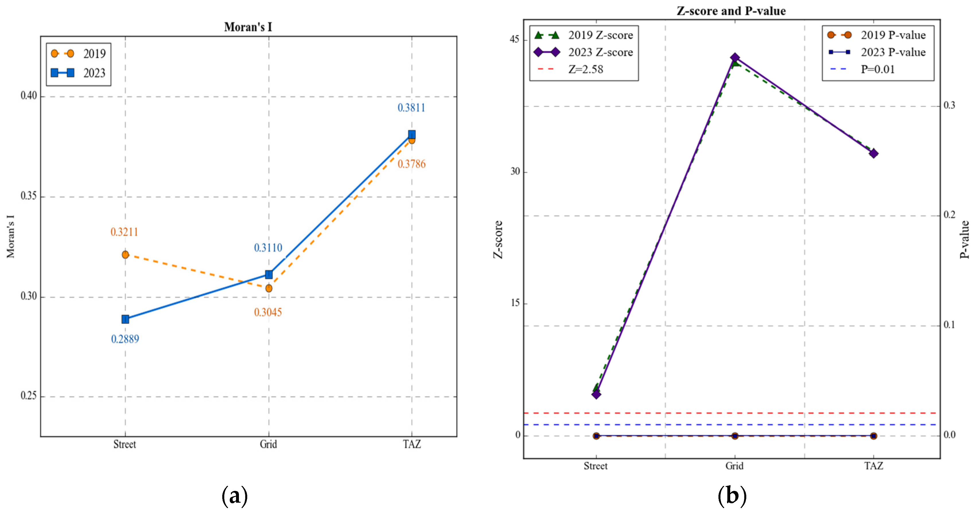
4.3. Spatial Heterogeneity of SA
4.4. Multi-Scale Temporal and Spatial Trends in SA
5. Discussions
6. Conclusions
Author Contributions
Funding
Data Availability Statement
Acknowledgments
Conflicts of Interest
References
- Lu, J.; Sun, D. Spatiotemporal Evolution and Complexity of Urban Networks in China, 1978–2019: An Enterprise Linkages Perspective. Complexity 2021, 2021, 9931985. [Google Scholar] [CrossRef]
- Ding, F.; Tang, Y.; Wang, Y.; Zhao, Z. Unraveling the network effects in station ridership growth patterns under metro network expansion. J. Transp. Geogr. 2025, 125, 104205. [Google Scholar] [CrossRef]
- Yu, X.; Chen, Z.; Liu, F.; Zhu, H. How urban metro networks grow: From a complex network perspective. Tunn. Undergr. Space Technol. 2023, 131, 104841. [Google Scholar] [CrossRef]
- Du, Q.; Zhou, Y.; Huang, Y.; Wang, Y.; Bai, L. Spatiotemporal exploration of the non-linear impacts of accessibility on metro ridership. J. Transp. Geogr. 2022, 102, 103380. [Google Scholar] [CrossRef]
- Huang, X.; Kang, C.; Yin, C.; Tang, J. Influence of Transportation Accessibility on Urban-rural Income Disparity and Its Spatial Heterogeneity. Chin. Geogr. Sci. 2024, 34, 453–467. [Google Scholar] [CrossRef]
- Yang, M.; Sun, Z.; Ouyang, X.; Li, H.; Han, Y.; Gunasekera, D. Spatial and Temporal Dynamics of Transportation Accessibility in China: Insights from Sustainable Development Goal Indicators from 2015 to 2022. Remote Sens. 2024, 16, 4452. [Google Scholar] [CrossRef]
- Shi, F. Research on accessibility and equity of urban transport based on multisource big data. J. Adv. Transp. 2021, 2021, 1103331. [Google Scholar] [CrossRef]
- Zhang, M.; Zhao, P. Literature review on urban transport equity in transitional China: From empirical studies to universal knowledge. J. Transp. Geogr. 2021, 96, 103177. [Google Scholar] [CrossRef]
- Hansen, W.G. How Accessibility Shapes Land Use. J. Am. Inst. Plan. 1959, 25, 73–76. [Google Scholar] [CrossRef]
- Lee, J.; Miller, H.J. Robust accessibility: Measuring accessibility based on travelers’ heterogeneous strategies for managing travel time uncertainty. J. Transp. Geogr. 2020, 86, 102747. [Google Scholar] [CrossRef]
- Li, D.; Zang, H.; Guan, Z.; Yu, D. Study on spatial distribution and inequity of rail transit travel accessibility under multi modal traveling: A case study of Beijing. Sci. Rep. 2025, 15, 15823. [Google Scholar] [CrossRef]
- Cong, W.; Zhou, J.; Lai, Y. The coordination between citywide rail transit accessibility and land-use characteristics in Shenzhen, China: An explorative analysis based on multidimensional spatial data. Sustain. Cities Soc. 2024, 113, 105691. [Google Scholar] [CrossRef]
- Yan, C.; Gao, Y.; Yang, Y. Exploring the Spatial Patterns of Accessibility to Metro Services Considering the Locations of Station Entrances/Exits. Buildings 2024, 14, 3532. [Google Scholar] [CrossRef]
- Pinheiro, C.D.; Feliu, J.G.; Bertoncini, B.V. Addressing spatial heterogeneity and MAUP in urban transport geography: A multi-scale analysis of accessibility and warehouse location. J. Transp. Geogr. 2025, 123, 104078. [Google Scholar] [CrossRef]
- Jian, W.; Liu, X.; Liu, H.; Hu, Y.; Gao, L. The Impacts of the Multiscale Built Environment on Commuting Mode Choice: Spatial Heterogeneity, Moderating Effects, and Implications for Demand Estimation. J. Adv. Transp. 2023, 2023, 9346631. [Google Scholar] [CrossRef]
- Li, J.; Ma, M.; Xia, X.; Ren, W. The Spatial Effect of Shared Mobility on Urban Traffic Congestion: Evidence from Chinese Cities. Sustainability 2021, 13, 14065. [Google Scholar] [CrossRef]
- Yang, L.; Chau, K.W.; Szeto, W.Y.; Cui, X.; Wang, X. Accessibility to transit, by transit, and property prices: Spatially varying relationships. Transp. Res. Part D Transp. Environ. 2020, 85, 102387. [Google Scholar] [CrossRef]
- Lai, W.; Lin, D.; Li, Z.; Peng, Y.; Zhou, W.; Feng, T. Grid-level assessment on spatial equity in access to urban public facilities by vulnerable groups based on the multi-source data. Habitat Int. 2025, 161, 103423. [Google Scholar] [CrossRef]
- Li, C.; Wang, J. Measuring multi-activities accessibility and equity with accessibility-oriented development strategies. Transp. Res. Part D Transp. Environ. 2024, 126, 104035. [Google Scholar] [CrossRef]
- Litman, T. Evaluating Transportation Equity. World Transp. Policy Pract. 2002, 8, 50–65. [Google Scholar]
- Yu, L.; Cui, M. How subway network affects transit accessibility and equity: A case study of Xi’an metropolitan area. J. Transp. Geogr. 2023, 108, 103556. [Google Scholar] [CrossRef]
- Zhu, L.; Lucas, K. Towards calculated and perceived transport equity: An equity evaluation framework for accessibility. Transp. Res. Part D Transp. Environ. 2025, 146, 104908. [Google Scholar] [CrossRef]
- Chen, H.; Yang, W.; Li, T. The Impact of Rail Transit on Accessibility and Spatial Equity of Public Transit: A Case Study of Guangzhou, China. Int. J. Environ. Res. Public Health 2022, 19, 11428. [Google Scholar] [CrossRef]
- Sun, Z.; Zacharias, J. Transport equity as relative accessibility in a megacity: Beijing. Transp. Policy 2020, 92, 8–19. [Google Scholar] [CrossRef]
- Guo, J.; Brakewood, C. Analysis of spatiotemporal transit accessibility and transit inequity of essential services in low-density cities, a case study of Nashville, TN. Transp. Res. Part A Policy Pract 2024, 179, 103931. [Google Scholar]
- D’ORso, G.; Yasir, M.; Migliore, M. Combining walkability assessments at different scales in measuring spatial inequalities in access to railway stations. J. Transp. Health 2025, 44, 102081. [Google Scholar] [CrossRef]
- Beza, A.D.; Demissie, M.G.; Kattan, L. Equity implications of emerging mobility services and public transit coopetition: A review. Transp. Res. Part D Transp. Environ. 2025, 144, 104751. [Google Scholar] [CrossRef]
- Zhu, M.; Sze, N.N.; Li, H. Influence of walking accessibility for metro system on pedestrian safety: A multiple membership multilevel model. Anal. Methods Accid. Res. 2024, 43, 100337. [Google Scholar] [CrossRef]
- Wu, T.; Li, M.; Zhou, Y. Measuring Metro Accessibility: An Exploratory Study of Wuhan Based on Multi-Source Urban Data. ISPRS Int. J. Geo Inf. 2023, 12, 18. [Google Scholar] [CrossRef]
- Ha, J.; Ki, D.; Lee, S.; Ko, J. Mode choice and the first-/last-mile burden: The moderating effect of street-level walkability. Transp. Res. Part D Transp. Environ. 2023, 116, 103646. [Google Scholar] [CrossRef]
- Liao, C.; Scheuer, B. Evaluating the performance of transit-oriented development in Beijing metro station areas: Integrating morphology and demand into the node-place model. J. Transp. Geogr. 2022, 100, 103333. [Google Scholar] [CrossRef]
- Li, M.; Zhang, H.; Chen, J. Fine-Grained Dynamic Population Mapping Method Based on Large-Scale Sparse Mobile Phone Data. In Proceedings of the 2019 20th IEEE International Conference on Mobile Data Management (MDM), Hong Kong, China, 10–13 June 2019; pp. 473–478. [Google Scholar] [CrossRef]
- Peungnumsai, A.; Miyazaki, H.; Witayangkurn, A.; Kim, S.M. A Grid-Based Spatial Analysis for Detecting Supply–Demand Gaps of Public Transports: A Case Study of the Bangkok Metropolitan Region. Sustainability 2020, 12, 10382. [Google Scholar] [CrossRef]
- Liu, L.; Porr, A.; Miller, H.J. Realizable accessibility: Evaluating the reliability of public transit accessibility using high-resolution real-time data. J. Geogr. Syst. 2023, 25, 429–451. [Google Scholar] [CrossRef]
- Liu, J.; Chau, K.W.; Bao, Z. Multiscale spatial analysis of metro usage and its determinants for sustainable urban development in Shenzhen, China. Tunn. Undergr. Space Technol. 2023, 133, 104912. [Google Scholar] [CrossRef]
- Ma, S.; Chen, X.; Wu, Y.; Shao, H.; Zhang, J. Equity Analysis of Transportation Networks in Urban Agglomerations Based on Accessibility. J. Transp. Syst. Eng. Inf. Technol. 2022, 22, 51–59. [Google Scholar]
- Yao, Z.; Fu, Y.; Zhang, J. Impacts of accessibility to transit measures on inequality index of public transport. J. Transp. Syst. Eng. Inf. Technol. 2021, 21, 206–213. [Google Scholar] [CrossRef]
- Xu, X.; Zhang, D.; Liu, X.; Ou, J.; Wu, X. Simulating multiple urban land use changes by integrating transportation accessibility and a vector-based cellular automata: A case study on city of Toronto. Geo Spat. Inf. Sci. 2022, 25, 439–456. [Google Scholar]
- Faghihinejad, F.; Zoghifard, M.; Amiri, A.M.; Monajem, S. Evaluating Social and Spatial Equity in Public Transport: A Case Study. Transp. Lett. 2022, 15, 1420–1429. [Google Scholar] [CrossRef]
- Wang, J.; Li, B.; Zhang, H.; Xing, H.; Cao, D. An analysis of the spatial-temporal accessibility and change intensity of attraction-oriented parks. J. South China Norm. Univ. (Nat. Sci. Ed.) 2021, 53, 88–95. [Google Scholar] [CrossRef]
- Anselin, L. Local Indicators of Spatial Association—LISA. Geogr. Anal. 1995, 27, 93–115. [Google Scholar] [CrossRef]
- Ye, C.; He, Q.; Huang, W.; Ma, H. Analysis of the Spatial Distribution Characteristics of Residences and Workplaces under the Influence of Metro Transportation in Metropolises from the Perspectives of Accessibility and Travelers’ Industries: The Case of Guangzhou. Sustainability 2022, 14, 14187. [Google Scholar] [CrossRef]
- Fu, X.; Shen, Y.; Dong, R.; Deng, H.; Wu, G. Analysis of Urbanization Based on Center-Of-Gravity Movement and Characteristics in Songhua River Basin of China and Its Southern Source Sub-Basin Between 1990 and 2010. Chin. Geogr. Sci. 2016, 26, 117–128. [Google Scholar] [CrossRef]
- Yu, J.; Li, X.; Guan, X.; Shen, H. A Remote Sensing Assessment Index for Urban Ecological Livability and Its Application. Geo-Spat. Inf. Sci. 2022, 27, 289–310. [Google Scholar] [CrossRef]
- Zhao, Y.; Wu, Q.; Wei, P.; Zhao, H.; Zhang, X.; Pang, C. Explore the Mitigation Mechanism of Urban Thermal Environment by Integrating Geographic Detector and Standard Deviation Ellipse (SDE). Remote Sens. 2022, 14, 3411. [Google Scholar] [CrossRef]
- Zhang, K.; Jin, Y.; Li, D.; Wang, S.; Liu, W. Spatiotemporal variation and evolutionary analysis of the coupling coordination between urban social-economic development and ecological environments in the Yangtze River Delta cities. Sustain. Cities Soc. 2024, 111, 105561. [Google Scholar] [CrossRef]
- Wu, W.; Cao, M.; Wang, F.; Wang, R. Nonlinear influences of landscape configurations and walking access to transit services on travel satisfaction. Trans. Res. Part A Policy Pract. 2024, 189, 104232. [Google Scholar]
- Liu, D.; Wei, J.; Kan, Z. Integrated transit service status assessment using smart transit card big data under the x-minute city framework. J. Transp. Geogr. 2025, 125, 104189. [Google Scholar] [CrossRef]
- Fan, Z.; Harper, C.D. Taking a multimodal approach to equitable bike share station siting. J. Transp. Geogr. 2024, 115, 103814. [Google Scholar] [CrossRef]
- Shao, Y.; Luo, W. Supply-demand adjusted two-steps floating catchment area (SDA-2SFCA) model for measuring spatial access to health care. Soc. Sci. Med. 2022, 296, 114727. [Google Scholar] [CrossRef]










| Metro Line | Line1 | Line2 | Line3 | Line4 | Line5 | Line6 | Line7 | Line8 | Line9 | Line10 | Line16 | Line19 |
|---|---|---|---|---|---|---|---|---|---|---|---|---|
| Frequency (trips/day) | 70 | 63 | 78 | 120 | 56 | 105 | 74 | 90 | 79 | 75 | 84 | 86 |
Disclaimer/Publisher’s Note: The statements, opinions and data contained in all publications are solely those of the individual author(s) and contributor(s) and not of MDPI and/or the editor(s). MDPI and/or the editor(s) disclaim responsibility for any injury to people or property resulting from any ideas, methods, instructions or products referred to in the content. |
© 2025 by the authors. Published by MDPI on behalf of the International Society for Photogrammetry and Remote Sensing. Licensee MDPI, Basel, Switzerland. This article is an open access article distributed under the terms and conditions of the Creative Commons Attribution (CC BY) license (https://creativecommons.org/licenses/by/4.0/).
Share and Cite
Zhu, J.; Rui, X. Spatiotemporal Dynamics and Multi-Scale Equity Evaluation of Urban Rail Accessibility: Evidence from Hangzhou. ISPRS Int. J. Geo-Inf. 2025, 14, 361. https://doi.org/10.3390/ijgi14090361
Zhu J, Rui X. Spatiotemporal Dynamics and Multi-Scale Equity Evaluation of Urban Rail Accessibility: Evidence from Hangzhou. ISPRS International Journal of Geo-Information. 2025; 14(9):361. https://doi.org/10.3390/ijgi14090361
Chicago/Turabian StyleZhu, Jiasheng, and Xiaoping Rui. 2025. "Spatiotemporal Dynamics and Multi-Scale Equity Evaluation of Urban Rail Accessibility: Evidence from Hangzhou" ISPRS International Journal of Geo-Information 14, no. 9: 361. https://doi.org/10.3390/ijgi14090361
APA StyleZhu, J., & Rui, X. (2025). Spatiotemporal Dynamics and Multi-Scale Equity Evaluation of Urban Rail Accessibility: Evidence from Hangzhou. ISPRS International Journal of Geo-Information, 14(9), 361. https://doi.org/10.3390/ijgi14090361

