Next Article in Journal
Unveiling the Spatial Inequality of Accessibility to High-Quality Healthcare Resources in the Beijing–Tianjin–Hebei Urban Agglomeration of China: A Focus on the Impacts of Intercity Patient Mobility
Previous Article in Journal
Design and Development of a Local-First Collaborative 3D WebGIS Application for Mapping
 
 
Font Type:
Arial Georgia Verdana
Font Size:
Aa Aa Aa
Line Spacing:
Column Width:
Background:
Article

Spatiotemporal Analysis of Urban Vitality and Its Drivers from a Human Mobility Perspective

College of Big Data and Internet, Shenzhen Technology University, Shenzhen 518118, China
*
Author to whom correspondence should be addressed.
ISPRS Int. J. Geo-Inf. 2025, 14(4), 167; https://doi.org/10.3390/ijgi14040167
Submission received: 14 February 2025 / Revised: 30 March 2025 / Accepted: 5 April 2025 / Published: 11 April 2025

Abstract

Urban vitality is a critical metric for assessing the development and appeal of urban areas, playing a pivotal role in urban planning and management. Traditionally, surveys and census data have been used to measure urban vitality; however, these methods are often time-consuming, resource-intensive, and limited in coverage. This study addresses these limitations by employing mobile phone signaling data to develop a model for quantifying urban vitality and exploring its spatiotemporal distribution patterns. By integrating socioeconomic, street view, and points-of-interest (POI) data, this study utilizes linear regression and geographically weighted regression (GWR) models to analyze the influence of various factors on urban vitality. The SHapley Additive exPlanations (SHAP) method is then applied to interpret model predictions and identify key determinants of urban vitality. Using Shenzhen as a case study, the results reveal pronounced spatial disparities in vitality. Among all variables, bus stop density, cultural services, and employment density consistently exhibit significant effects on urban vitality. The proposed urban vitality quantification framework enables high-resolution and wide-coverage monitoring of urban vitality, providing scientific support and decision-making guidance for understanding the dynamic characteristics of urban spaces and optimizing urban functional layouts.

1. Introduction

Urban vitality has emerged as a critical measure for evaluating both the growth and the overall attractiveness of urban areas. As cities continue to expand and become more densely populated, understanding the spatial and temporal dynamics of human activity is essential for urban planners, local governments, and researchers. Renowned urban scholar Jane Jacobs introduced the concept of urban vitality in her book The Death and Life of Great American Cities, highlighting the importance of the temporal and spatial continuity of human activities for urban health and innovation [1]. Traditionally, scholars have relied on surveys or census data to examine urban vitality, but these methods can be time-consuming, resource-intensive, and often limited in scope. The inherent complexity and dynamism of cities call for alternative data-driven approaches that offer greater precision, wider coverage, and more real-time insights.
Recent studies have capitalized on large-scale datasets, such as mobile phone signaling records, POI inventories, and street view imagery, to capture and quantify urban vitality from multiple perspectives [2,3,4,5]. These datasets provide a finer spatial resolution and a higher temporal frequency, allowing the analysis of how various socioeconomic and environmental factors interact with population movements [6]. Despite this progress, current research tends to focus on isolated components of urban vitality (e.g., activity intensity or a single dimension of spatial distribution) while often neglecting crucial elements such as temporal continuity and spatial connectivity. Furthermore, existing models often overlook spatial heterogeneity, limiting their ability to explain local variations in urban dynamics.
Based on the limitations mentioned above, the study focuses on Shenzhen, a rapidly developing metropolis in southern China characterized by diverse socioeconomic structures and intense population mobility, as the research object, and proposes the following four key research questions (RQs):
  • RQ 1: How can multi-source big data be integrated to construct a robust model of urban vitality that accounts for both the physical environment and human movement?
  • RQ 2: What distinct spatiotemporal patterns of urban vitality emerge in Shenzhen during weekdays and weekends, and at different times of the day?
  • RQ 3: What areas exhibit significant clustering of high or low vitality, and how do these patterns change over time?
  • RQ 4: How do socioeconomic, built environment, and urban landscape factors jointly explain the observed variation in vitality, and what local or nonlinear effects can be identified through advanced modeling techniques?
This study proposes a comprehensive analytical framework that encompasses urban vitality modeling and urban vitality analysis. The first module introduces the urban human mobility vitality model (UHMVM), which conceptualizes vitality through three interrelated components: activity intensity, temporal continuity, and spatial connectivity. Specifically, high-resolution mobile phone signaling data are used to quantify population flows, entropy measures capture the temporal persistence of activities, and a PageRank-based algorithm assesses interregional mobility to reveal spatial connectivity patterns. Building upon this modeling framework, the second module conducts an in-depth analysis of vitality determinants through the integration of global and local regression models. We apply ordinary least squares (OLS) and geographic weighted regression (GWR) to examine how vitality is shaped by socioeconomic conditions, built environment characteristics, and landscape features. To further enhance interpretability, SHapley Additive exPlanations (SHAP) are adopted to uncover both main and interaction effects of explanatory variables, offering fine-grained insights into the spatial heterogeneity of urban vitality.
The paper is structured as follows. Section 2 provides a brief review of the literature on traditional and emerging approaches to measuring urban vitality; Section 3 outlines the study area and data sources; Section 4 describes the proposed measurement framework and modeling methods; Section 5 discusses the empirical results and analyzes the key driving factors; and Section 6 and Section 7 conclude with policy implications, conclusions, limitations, and directions for future research.

2. Related Work

2.1. Urban Vitality and Measurement Approaches

The concept of urban vitality was first introduced by Jacobs in her seminal work, The Life and Death of Great American Cities. She argues that safer and more vibrant streets and communities can attract many people to engage in commercial or residential activities [7]. Jacobs emphasizes that urban vitality is the result of the interaction between pedestrian activities on the streets and the spatial environment. Building on this, Montgomery suggests that a vibrant urban area should be an open space that fosters high-density human activities [8]. Chhetri et al. [9] further propose that urban vitality is the external manifestation of interactions between urban residents and their surrounding entities. Furthermore, Yue et al. [10] defines urban vitality as the capacity of the urban built environment to promote lively social activities.
Early approaches to measuring urban vitality usually relied on surveys, statistical yearbooks, and traffic counts. For example, Jalaladdini and Oktay [11] used documentary research, field observations, in-depth interviews, and surveys to evaluate the vitality of two main streets in northern Cyprus. Similarly, Zarin et al. [12] evaluated the vitality of the street in Tehran by collecting resident feedback through questionnaires. Although such traditional methods yield relatively stable data and straightforward results, they often lack timeliness, spatial coverage, and the ability to capture the dynamic and ever-changing nature of urban activities.
The advent of big data technologies has opened new avenues for measuring and visualizing urban vitality through emerging data sources such as mobile phone signaling and social media check-ins [13,14]. For example, Wu et al. [15] used hourly social media check-in data to explore the spatiotemporal distribution of urban vitality and its relationships with key influencing factors. Kim [16] integrated Wi-Fi access logs, bank card transactions, and mobile signaling data to evaluate the virtual and on-the-ground manifestations of urban vitality in Seoul. Chen et al. [17] combined points-of-interest (POI) datasets, mobile signaling data, and social media check-ins to develop a Density, Accessibility, Livability, and Diversity (DALD) model, which they applied to Chicago and Wuhan for a spatially explicit assessment of urban vitality.
Although existing studies offer substantial information on various aspects of urban vitality, significant research gaps remain. Specifically, many investigations focus on a single dimension, such as activity intensity [18], while overlooking the importance of temporal and spatial dimensions in shaping overall urban vitality. To address this, the present study proposes a measurement model that takes into account multiple aspects of urban vitality, including activity intensity, temporal continuity, and spatial connectivity. Furthermore, despite some studies employing multi-source big data [19,20], the holistic integration of these varied datasets into a unified measurement system is still evolving. Thus, this study aims to fill this gap by proposing an integrated urban human mobility vitality model that comprehensively captures the multifaceted characteristics of urban vitality.

2.2. Spatiotemporal Analysis of Urban Vitality

Recent advances in data collection and analytical methods have enabled researchers to examine urban vitality not only at a single point in time but also from broader spatial and temporal perspectives [21,22,23]. A popular approach involves spatial autocorrelation techniques, particularly the use of global and local Moran’s I statistics. Prior to constructing a geographically weighted regression (GWR) model, Liu et al. [14] utilized Moran’s I to test the spatial autocorrelation of the dependent variable, ensuring the validity and reliability of the model. Local Indicators of Spatial Association (LISA) decompose global spatial autocorrelation indices, such as Moran’s I, into contributions from each observation, thereby identifying local spatial clusters and assessing the impact of individual locations on global statistics [24]. For instance, Xia et al. [18] employed LISA to identify anomalous street blocks with high density and low vitality, indicating a mismatch between the physical and social spaces in urban areas. Li et al. [25] further calculated Moran’s I values to demonstrate the degree of spatial autocorrelation and used local Moran’s I values to identify clusters with high–high (HH) and low–low (LL) values, as well as spatial outliers with high–low (HL) and low–high (LH) values, thus gaining a more comprehensive understanding of the spatial patterns of urban vitality.
In addition to measuring spatial clustering, an emerging body of research focuses on the temporal aspect of urban vitality. Some scholars compare weekday and weekend patterns, observing that weekday vitality often peaks during commuting hours, while weekend activity is more centered around midday or leisure periods [26]. Others highlight diurnal changes, particularly how vitality varies between daytime and nighttime, and further show that different land use or functional areas within a city experience different vitality cycles [27]. Despite these insights, many existing studies are constrained to a single date range, a limited set of time periods (e.g., only daytime vs. nighttime), or specific neighborhood clusters, thereby overlooking the continuous evolution of vitality across multiple temporal scales.
Moreover, although some work addresses how varying land use patterns or urban functions create a mosaic of vitality distributions [19,28], the quantitative depiction of how these distributions evolve or diffuse over time remains underdeveloped. To bridge this gap, this study employs hourly-level mobile phone data, enabling continuous tracking of distribution changes across multiple time scales. Furthermore, most studies fail to combine spatial and temporal analyses effectively. Important aspects like crowd movement tracking, activity hotspot detection, and built environment–social factor interactions are often studied separately. Our framework overcomes these gaps by integrating all three dimensions systematically. Specifically, we provide new insights into urban vitality clusters: how they form, how they change over hours, days, and weeks, and how these processes differ between functional zones.

2.3. Influencing Factors of Urban Vitality

Urban vitality is inherently shaped by complex interactions between socioeconomic factors, the physical built environment, and the characteristics of the broader urban landscape. Socioeconomic variables often play a pivotal role in existing research. For instance, population density, employment density, and average income collectively determine both the scale and intensity of human activities, thereby driving broader patterns of urban development [29]. Tu et al. [30] demonstrated how areas with high employment density exhibit distinctly higher vitality during weekdays, due to larger agglomerations of work spaces and commercial centers. Furthermore, education levels can markedly affect innovation and cultural vibrancy, as regions hosting research institutes or universities tend to attract diverse, highly skilled populations, thus cultivating a steady flow of urban activities [15].
The elements of the physical built environment, such as the density of the road network, the accessibility of transit, and the infrastructure amenities of an area, also significantly influence urban vitality [25,31,32]. Bus stop density, for example, has been shown to facilitate more frequent movements and interactions, while well-connected street networks encourage pedestrian flows through different functional zones [33]. Residential areas located near higher-density road or transit nodes typically benefit from shorter travel times and easier access to commercial hubs. Consequently, such neighborhoods often emerge as vibrant sub-centers within larger metropolitan regions [33].
Meanwhile, the urban landscape encompasses not only the distribution of green spaces and visual enclosure, but also the aesthetic, cultural, and recreational components of the built environment [34,35,36]. Li et al. [37] observed that streets with higher green view indices offer more appealing surroundings to both residents and tourists, thus boosting the likelihood of sustained activities. Similarly, areas with sufficient public spaces for leisure—ranging from parks to pedestrian-friendly promenades—are more likely to retain vitality throughout the day, including nighttime hours [38]. However, excessive building density or inconsistent land use can induce congestion and reduce street-level vibrancy, underscoring the delicate balance between density, function, and quality of design.
It can be seen that the existing research has produced abundant results on the influencing factors of urban vitality [39,40,41]. However, a systematic review of the literature reveals that most studies focus exclusively on isolated dimensions, failing to capture the inherent multidimensional complexity of urban vitality. To address this limitation, we integrate socioeconomic, physical environment, and urban landscape data in our analysis.

3. Study Area and Dataset

3.1. Study Area

This study focuses on Shenzhen, a city located in southern Guangdong Province, China. Shenzhen is renowned for its rapid economic growth and innovation capabilities. Its economic diversity and spatial structure provide a complex and rich context for analyzing urban vitality. Shenzhen has a high density of buildings, advanced infrastructure, and diverse socioeconomic conditions. These characteristics offer a representative and varied environment for studying urban vitality.
Shenzhen is divided into 10 administrative districts: Futian, Luohu, Nanshan, Yantian, Bao’an, Longgang, Longhua, Pingshan, Guangming, and Dapeng New District. The main developed areas include Futian, Luohu, and Nanshan, which are the commercial, financial, and residential hubs with frequent population movement. The industrial zones are concentrated in Bao’an, Longgang, and Longhua, while the main transport hubs, such as the Shenzhen Railway Station and Luohu Port, are located mainly in Futian and Luohu. The geographical location and administrative divisions are shown in Figure 1.
The Traffic Analysis Zone (TAZ) is a basic geographic unit used in transportation planning models to subdivide traffic flow and travel patterns within a city or region [42]. This study uses the TAZ as an analysis unit, selecting all 491 TAZs in Shenzhen to explore the spatial characteristics of urban vitality and its influencing factors [43]. The specific divisions are shown in Figure 1.

3.2. Dataset

The data used in this study mainly involve mobile phone signaling data, socioeconomic data, street view data, and POI data, as shown in Table 1.
Using mobile phone signaling data [44], in this study, with an hourly resolution, we selected one weekday and one weekend day from non-holiday periods for comparative analysis. This choice is intended to uncover behavioral differences and potential influencing factors across distinct time frames. Specifically, the weekday data mirror users’ mobility patterns during work and study hours, whereas the weekend data contribute to analyzing behavioral alterations during leisure and social engagements. Table 2 lists the specific fields of the selected data.

4. Methodology

This study proposes a novel framework for urban vitality analysis based on multi-source big data [30], as shown in Figure 2. First, the study area is divided into several TAZs and the hourly population flows are calculated to develop an urban human mobility vitality model based on human mobility. The spatial distribution patterns of urban vitality are then analyzed using spatial visualization techniques to explore the distribution of vitality across different areas. The spatial aggregation patterns of urban vitality are further revealed through a spatial autocorrelation model. Finally, the factors influencing urban vitality are analyzed by constructing an indicator system comprising socioeconomic factors, urban physical environment factors, and urban functional factors. Linear regression and geographically weighted regression models are employed to examine the specific impacts on urban vitality and spatial variation. SHAP values are utilized to identify decisive factors and to examine the interactive relationships among the influencing factors.

4.1. Urban Vitality Measure Model

The essence of a city lies in the aggregation and activities of people, which constitute its vitality. Jane Jacobs emphasized that the key to urban vitality is the even distribution of pedestrian density and its temporal continuity. Vital areas require not only sufficient pedestrian density, but also a sustained presence of foot traffic over different time periods [1]. Based on this premise, the urban crowd movement vitality quantification model developed in this study considers three factors: activity intensity (AI), temporal continuity (TC), and activity connectivity (AC).

4.1.1. Activity Intensity

The core of urban vitality fundamentally stems from the concentration and dynamics of pedestrian flows [33]. The density of activities directly reflects the level of vitality of a region. Areas with a higher density of pedestrians typically indicate increased economic activities and social interactions. They also signal more frequent social exchanges. Both factors are key determinants of urban vibrancy. The activity intensity quantification model focuses on measuring the total amount of human activity within each spatial unit. Specifically, it assesses the quantity of human activities occurring in a given spatial unit over a defined time period (e.g., one day). The calculation formula is as follows:
V A I , i = f i S i = t f i t S i
In this equation, f i represents the total foot traffic in the spatial unit i, f i t indicates the total foot traffic within the spatial unit i during the time period t, and S i denotes the area of the spatial unit i.

4.1.2. Temporal Continuity

The concept of temporal continuity emphasizes the importance of sustained activity over time. When analyzing urban vitality, it is crucial to assess how activities occur consistently within a given time frame. This continuity not only reflects the dynamic nature of urban spaces, but also influences the flow of information and resources. In addition, it underscores the interactions among different activities, contributing to the overall vibrancy of the area. To quantify this aspect, we employ the Shannon entropy metric, which is widely recognized for its ability to measure the dispersion of activities over time [45]. The formulas are as follows:
V T C , i = p i t ln p i t
p i t = f i t f i t
In this equation, p i t represents the proportion of foot traffic in spatial unit i during time period t relative to the total foot traffic, and f i t denotes the total foot traffic during that specific time period.

4.1.3. Activity Connectivity

Urban vitality is not only dependent on activity intensity or duration within a specific spatial unit; it also depends on interactive relationships between that unit and other spatial units. If a spatial unit maintains close connections with other highly vibrant units, its own vitality is likely to be elevated. The PageRank algorithm effectively measures the importance of each unit within the entire urban network by analyzing travel flows between spatial units. Originally proposed by Google, the algorithm ranks search engine results based on the quantity and quality of inbound links [46]. In the context of urban vitality measurement, each spatial unit is treated as a node in a network, while connections between units are regarded as directed edges. The vitality per unit area is quantified based on the PageRank values of each spatial unit, expressed as follows:
V A C , i = P R i S i
In this equation, S i represents the area of the spatial unit i, and P R i denotes the PageRank value of unit i. The specific calculation of PageRank, as introduced in Jia et al. [47], is given by
P R i = 1 d N + d j M i P R j C j
In this formula, M i represents the set of all spatial units pointing to unit i, C j indicates the number of outbound connections from unit j, N denotes the total number of spatial units, and d is a damping factor. As reported in Zhang et al. [48], Li et al. [49], these prior studies commonly set the damping factor d, which simulates random walk behavior in reality, at 0.85, within the typical range of 0 to 1.

4.1.4. Urban Human Mobility Vitality Model

To comprehensively quantify urban vitality, a comprehensive model is proposed that integrates the intensity of activity, the duration of vitality, and the relevance of activity. The composite vitality index can be expressed as
V U H M V M , i = α V A I , i + β V T C , i + γ V A C , i
where α , β , and γ are the weight coefficients for activity intensity, the duration of vitality, and the relevance of activity, respectively. These coefficients should be optimized according to the specific research context.

4.2. Vitality Spatial Analysis Model

Spatial autocorrelation refers to the similarity or correlation between geographically adjacent areas. It plays a significant role in urban studies by revealing the characteristics and heterogeneity of spatial structures within cities. As stated in Getis [50], the Moran’s I index is utilized to analyze the spatial autocorrelation of urban vitality. This analysis explores the spatial distribution of urban vitality from both global and local perspectives.
Global spatial autocorrelation describes the overall correlation of spatial data throughout the study area. It measures the similarity or dissimilarity of geographic phenomena throughout geographic space. The global Moran’s I is a commonly used metric for assessing spatial autocorrelation, with the calculation formula given as follows:
I G = n i = 1 n j = 1 n w i j · i = 1 n j = 1 n w i j ( x i x ¯ ) ( x j x ¯ ) i = 1 n ( x i x ¯ ) 2
Among them, I G is the global Moran’s I index, n represents the number of study areas, and x i and x j are the urban vitality of the i-th and j-th areas, respectively. x ¯ is the mean urban vitality, and w i j is an element of the spatial weight matrix. The range of I G is [ 1 , 1 ] . Anselin [24] indicates that when I G > 0 , urban vitality is considered to have a positive spatial autocorrelation; when I G < 0 , urban vitality is considered to have negative spatial autocorrelation; the closer the absolute value of I G is to 1, the stronger the correlation; if I G = 0 , it indicates a random distribution, which means that there is no spatial autocorrelation.
Furthermore, the statistical significance of the Moran’s I is assessed using the z-value. The larger the absolute value of the z-value, the more significantly the Moran’s I deviates from the assumption of no autocorrelation. It is generally accepted that if the absolute value of the z-value exceeds 2.58, the spatial autocorrelation is statistically significant [24]. The calculation formula can be expressed as
z = I G E [ I G ] V a r [ I G ]
where E [ I G ] is the expected value and V a r [ I G ] is the variance.
Local spatial autocorrelation is the analysis of spatial relationships between adjacent units, effectively representing the local spatial distribution characteristics of urban vitality in different areas [24]. The local Moran’s I is a commonly used method to quantify the similarity of neighboring areas around each region. The specific calculation formula is as follows:
I L = ( x i x ¯ ) s 2 j = 1 n ω i j ( x j x ¯ )
In the study by Ord and Getis [51], if I L > 0 , it indicates that the city has similar spatial clustering characteristics to those of its surrounding cities, manifesting itself as “high–high” or “low–low” clustering. If I L < 0 , it indicates that the city has different spatial clustering characteristics from those of its surrounding cities, manifesting itself as “high–low” or “low–high” clustering.

4.3. Influencing Factors Analysis Model

4.3.1. Indicator System

This study establishes a three-tier indicator system (socioeconomic, built environment, urban landscape) to comprehensively evaluate urban vitality, which is grounded in Jacobs [7]’ triad of urban vitality (density, diversity, human-scale design). Table 3 provides a detailed overview of each metric, including its abbreviation, definition, and unit of measurement. By integrating aspects such as employment density, road network features, and visual elements, these indicators collectively capture the multifaceted nature of urban dynamics.
The socioeconomic indicators have been widely recognized as drivers of human activity intensity and agglomeration effects [15,29,30]. In this paper, socioeconomic indicators include the employment density (EMD, people / km 2 ), higher education ratio (HER, people / km 2 ), and average income (AVI, thousand/month). The EMD not only reflects labor market capacity, shaping commuting flows and retail demand, but also captures labor market agglomeration effects, as it has been shown to increase commercial vitality by 4.5% per 1000 persons/km2 [52]. The HER measures the proportion of people with higher education, affecting innovation potential and cultural consumption. The AVI measures the spending power of residents, influencing the vibrancy of local businesses and amenities. Together, these variables capture how population characteristics and economic status drive human interaction patterns, which are central to fostering urban vitality.
The drivers of the built environment reflect the infrastructural and functional conditions that facilitate daily activities. Land use entropy (LUE, %) highlights the diversity of land use types, operationalizing Jacobs’ mixed-use principle, and often promotes street-level dynamism. Road density (RD, km / km 2 ) and bus stop density (BSD, number / km 2 ) are included based on their proven importance in urban connectivity studies [53]. The additional indicators, including the densities of cultural services (CS, number/km), life services (LS, number / km 2 ), healthcare services (HCS, number / km 2 ), companies (CMP, number / km 2 ), and buildings (BD, number / km 2 ), capture the accessibility of essential facilities and potential hubs of activity, following the activity hub framework proposed by Montgomery [8]. These elements collectively shape how people circulate through and engage with urban spaces.
The features of the urban landscape directly affect the spatial perceptions and behaviors of the residents. The green view index (GVI, %) represents vegetation coverage, encouraging outdoor participation and social interaction. The sky view index (SVI, %) measures the proportion of the unobstructed sky, influencing both aesthetic appeal and local microclimates. The visual enclosure index (VEI, %) quantifies the building coverage in the field of vision of one, guiding the sense of spatial comfort or crowding. Finally, the visual motorization index (VMI, %) addresses the presence of roads and traffic, showing the dominance of vehicular elements in the streetscape. Together, these metrics reveal how well-designed urban environments can enhance overall vitality. Specifically, we refer to the framework in Yi et al. [54] for the GVI, SVI, VEI, and VMI. This framework can quantify vegetation, spatial openness, built environment enclosure, and street-level transportation elements. We build on this validation, adjusting the measurement scales for urban vitality assessment. These visual metrics complement conventional built environment indicators by capturing pedestrians’ immediate perceptual experiences.

4.3.2. Linear Regression Model

This study first investigates the factors that influence urban vitality using the linear regression method. The linear regression model is a statistical method for estimating the linear relationship between variables, typically employing the ordinary least squares (OLS) approach to estimate the parameter model. It aims to find the best fit for the data by minimizing the sum of squared errors. The relevant formula, as presented in Liu et al. [55], is as follows:
y i = β 0 + k = 1 p β k x i k + ε i
Here, y i is the dependent variable, representing the urban vitality value of the i-th spatial unit. x i k are the independent variables. β 0 denotes the intercept constant. β k are the regression coefficients. p is the total number of TAZs. ε i is the error term of the model.
Estimation is conducted through the following matrix equation:
β ^ = X X 1 X Y
In the formula, β ^ is the estimated value of the regression coefficient β . X is the matrix made up of independent variables. Y is the matrix constituted by the dependent variable, spatial unit urban vitality.

4.3.3. Geographically Weighted Regression Model

The geographically weighted regression (GWR) model extends traditional ordinary least squares regression by incorporating spatial location parameters [56]. This approach effectively captures spatial heterogeneity and reveals nonstationary relationships in urban vitality patterns [57]. Based on using the linear regression model to explore the influencing factors of urban vitality, we further use geographically weighted regression to reveal its influencing factors. The specific formula is as follows:
y i = β 0 ( u i , v i ) + k = 1 m β k ( u i , v i ) x i k + ε i
In the formula, y i is the value of the dependent variable for the i-th sample point, which is urban vitality here, x i k is the value of the k-th explanatory variable at point i, ( u i , v i ) are the geographical coordinates at point i, β k ( u i , v i ) is the regression coefficient of the k-th explanatory variable at point i, β 0 ( u i , v i ) is the constant term, and ε i is the random error term.
The calculation of the regression coefficients is based on proximity to the spatial unit i, weights the corresponding observational data, and uses the Local Weighted Least Squares method for estimation [57]:
β ^ ( u i , v i ) = X T W ( u i , v i ) X 1 X T W ( u i , v i ) Y
In the formula, β ^ ( u i , v i ) is the estimated value of the regression coefficient β , X is the matrix composed of independent variables, Y is the matrix constituted by the dependent variable, spatial unit urban vitality, and W is the spatial weight matrix constructed for the spatial location ( u i , v i ) .

4.3.4. SHAP Model

The SHAP model provides a theoretically grounded approach to interpret machine learning predictions [58]. Based on the Shapley value concept of cooperative game theory, this method quantifies the contribution of each feature to model predictions while maintaining desirable mathematical properties [59]. For a given machine learning model f and a data sample x, the predictive value of the model can be expressed as the sum of all the SHAP characteristic values plus a baseline value, which is the expected value of the prediction of the model. The specific formula is as follows:
f ( x ) = ϕ 0 + i = 1 n ϕ i
Here, f ( x ) is the predictive value of the model, n is the number of characteristics, ϕ 0 is the baseline value of the model, and ϕ i is the SHAP value of the characteristic i.
Calculating SHAP values satisfies key fairness properties while accounting for all possible feature interactions [58]. Furthermore, the weighted average of marginal contributions ensures consistent local explanations [59]. Specifically, the SHAP value of feature i is calculated by the following formula:
ϕ i ( f , x ) = S N { i } | S | ! ( M | S | 1 ) ! M ! × f x ( S { i } ) f x ( S )
In the formula, N is the set of all features, S is an ordered subset of N, M is the total number of input features, and f x ( S { i } ) f x ( S ) is the marginal contribution of feature i when added to subset S.

5. Results

5.1. Urban Vitality Measure and Spatial Distribution

The UHMVM that we proposed in this study includes three factors: activity intensity, temporal continuity, and activity connectivity. To comprehensively explore the spatiotemporal patterns of urban vitality, each factor is analyzed through separate sub-models: the Activity Intensity Model (AIM), the Temporal Continuity Model (TCM), and the Activity Connectivity Model (ACM). As the dimensions of the three sub-models differ, their values are normalized. In the UHMVM, each sub-model is assigned an equal weight of 1/3, reflecting the balanced coexistence of the three dimensions discussed in the Methodology Section, ensuring that no single dimension dominates the overall assessment of urban vitality [29]. While equal weighting offers a parsimonious and generalizable baseline, we acknowledge that the relative importance of each component may vary depending on the specific urban context. In addition, to more accurately measure these data, the study employs a quantitative method to categorize vitality values into four predefined levels: low vitality, medium-low vitality, medium-high vitality, and high vitality. The criteria are as follows:
  • Low-vitality area: Vitality values in the lowest 25% of all TAZs, indicating relatively weak vitality.
  • Medium-low-vitality area: Vitality values between 25% and 50%, representing a moderately low level of vitality.
  • Medium-high-vitality area: Vitality values between 50% and 75%, indicating a relatively high level of vitality.
  • High-vitality area: Vitality values in the top 25%, showing extremely strong vitality levels.
For weekdays, the partition statistics of vitality values obtained from the four models are shown in Figure 3. Overall, the distribution of vitality values across different regions is similar for all four models. For example, in the UHMVM, Futian, Nanshan, and Luohu districts lead in the number of high-vitality TAZs, with 42, 27, and 20, respectively. This suggests these areas may be commercial and activity centers in Shenzhen. The Longhua district and Bao’an district have the highest proportion of medium-high-vitality TAZs, indicating relatively high vitality levels. In contrast, the Longgang district has the highest number of medium-low-vitality TAZs, with 44, suggesting that these areas may have room for improvement in activity levels. And the Guangming district, Pingshan district, Yantian district, and Dapeng district have the most low-vitality TAZs, indicating greater potential for enhancing human activity.
Comparing the four models, there are significant differences in their assessments of regional vitality values. For instance, in the AIM, Futian and Nanshan districts rank first and second in vitality values. However, while Futian maintains its top position across all models, Nanshan’s vitality ranking slightly decreases in other models. Additionally, the Yantian district shows no high-vitality TAZs in the AIM, yet other models reveal notable high-vitality TAZs. This suggests that the area’s vitality level may be influenced by the choice and algorithm of the model.
The spatial distribution of the four models is shown in Figure 4. Overall, the spatial distribution patterns of vitality presented by the four models are consistent, showing a clear “strong west, weak east” and “strong south, weak north” trend. In the west, urban centers such as Futian and Nanshan districts, as commercial, financial, and innovation hubs, attract substantial business activities, population gatherings, and social interactions, thus sustaining high vitality. These areas typically feature developed commercial districts, high-density office buildings, malls, and diverse cultural, entertainment, and dining venues. In contrast, eastern areas like the Dapeng New District show lower vitality, likely due to lower economic development, population density, and transportation connectivity. However, these areas might have significant development potential and opportunities that could boost urban vitality through well-targeted urban planning and development measures. Additionally, Figure 4 depicts significantly higher urban vitality in southern regions compared to relatively weaker vitality in northern areas. This may be related to economic development, population density, convenience of transportation, and the concentration of cultural and entertainment factors in the south.
The vitality distribution of the four models also shows some variability. In the TCM, high vitality values are more dispersed. This scattered distribution may relate to specific functions and activity nodes at different locations, indicating multiple vitality sources within the region. In contrast, other models may display more concentrated or uniform vitality distributions, suggesting that activity levels in these areas might rely more on specific commercial centers or transportation hubs.
To analyze dynamic changes in urban vitality, the day is divided into four equal periods: night (0:00–6:00), morning (6:00–12:00), afternoon (12:00–18:00), and evening (18:00–24:00). Using the AIM as an example, the average urban vitality for each administrative district and time period was calculated and visualized with a line chart, as shown in Figure 5.
In general, there are significant changes in average vitality values between different periods. Throughout all time periods, the Futian district consistently maintains the highest average vitality, aligning with its role as a commercial and administrative center and reflecting its sustained high activity on both weekdays and weekends. In the morning, afternoon, and evening, Futian exhibits strong vitality characteristics. In particular, on weekend afternoons, the average value of urban vitality reaches 0.215, while on weekday mornings and afternoons, it is 0.191 and 0.189, respectively. In stark contrast, the Dapeng district shows the lowest average vitality values across all time periods, the lowest being 0.00045. This may be related to its geographical location and functional orientation. Primarily focused on ecological tourism and nature conservation, Dapeng’s relative inactivity reflects the characteristics and activity patterns of the area.
Using the Futian district as an example, there are noticeable differences in vitality between weekdays and weekends. On weekdays, vitality values are higher in the morning and noon, likely related to commuting activities. On weekends, the value of vitality increases significantly in the afternoon, possibly because people prefer to go out for leisure or social activities during this time.
To make the data presentation more intuitive, the original line chart has been converted to a heat map, as shown in Figure 6 and Figure 7. This visualization method clearly displays the distribution of vitality in different regions and time periods and effectively presents the changes in vitality intensity in each area.
From the heat map, it can be observed that during the four time periods, nighttime vitality values are significantly lower than at other times. Areas such as the Futian CBD (➀), the Futian Port (➁), the Civic Center (➀), and the central Nanshan business district (➂) show the strongest vitality. As the main economic and transportation hubs, these regions consistently maintain high vitality values. In addition, areas such as the Bao’an district and Pingshan High-Speed Rail Station form secondary vitality centers. Although their activity levels are not as high as those in core areas like Futian, they still exhibit considerable activity.
In the eastern parts of the city, such as the Dapeng district and Yantian district, the overall vitality level is lower, with relatively weak concentration. Comparing weekday vitality changes reveals that residential areas in the Bao’an district have lower vitality in the morning and afternoon, which significantly increases in the evening. This pattern probably relates to the daily rhythms of the residents. In the morning and afternoon, many are occupied with work and school, leading to decreased vitality levels. In the evening, as residents return home and engage in social activities, the urban vitality increases.

5.2. Analysis of Spatial Autocorrelation of Urban Vitality

To delve into the spatial distribution patterns of urban vitality, this study conducts a spatial exploratory analysis of the urban vitality values across various districts of Shenzhen, encompassing both global and local spatial autocorrelation. Table 4 presents the results of the Moran’s I indices for different vitality models on weekdays and weekends, indicating significant positive spatial autocorrelation for all four models on both weekdays and weekends. Specifically, the Moran’s I values for the AIM, TCM, ACM, and UHMVM on weekdays are 0.4621, 0.4956, 0.5784, and 0.5885, respectively, with corresponding z-values all significantly exceeding 2.58. This reveals a clear spatial clustering trend of urban vitality. Notably, as the model complexity increases, the Moran’s I values show an upward trend, suggesting that the comprehensive model, the UHMVM, more effectively captures the spatial distribution characteristics of urban vitality. Additionally, compared to other models, the Moran’s I value of the ACM slightly increases on weekends, implying a higher concentration of urban vitality distribution on weekends. This change may be related to the altered activity patterns of people on weekends, such as a greater tendency to engage in leisure and social activities in specific areas.
Subsequently, the spatial clustering characteristics of urban vitality were identified by plotting an LISA cluster map. Due to the similar trends in the images of the four models, the UHMVM was selected for analysis as an example, as shown in Figure 8. The distribution of urban vitality in Shenzhen primarily exhibits two clustering patterns, “high–high” and “low–low”.
On weekdays, the “high–high” clustering pattern in Shenzhen is primarily observed in the Nanshan district, the Futian district, and the eastern part of the Longhua district. These areas, as the economic and technological hubs of Shenzhen, concentrate a significant number of offices and commercial facilities, thus attracting a substantial flow of people and activities on weekdays. The “low–low” clustering pattern is predominantly found in the Pingshan district, the Dapeng district, the Yantian district, the northeast part of the Longgang district, and the eastern part of the new Guangming district. These regions may exhibit lower vitality due to weaker economic foundations or ongoing development phases.
The weekend cluster map indicates that the areas with the “low–low” clustering pattern are similar to those on weekdays, but the areas with the “high–high” clustering pattern have decreased. This may be related to residents’ weekend activities being more dispersed, such as leisure and entertainment activities that may be scattered across a greater number of areas. Additionally, the number of areas with the “low–high” clustering pattern has increased on weekends, which may suggest that these areas host specific activities or events that attract crowds on weekends.

5.3. Analysis of Influencing Factors of Urban Vitality

To examine the mechanisms that underlie urban vitality, we adopt a two-stage analytical approach. First, we employ OLS and GWR to capture both global and local linear relationships between potential explanatory variables and urban vitality. Second, to uncover possible nonlinear effects and to interpret the overall predictive importance of each variable, we utilize SHAP. This integrated process allows us to move from broad statistical associations to deeper insights on how socioeconomic, built environment, and urban landscape factors collectively shape vitality levels in different parts of the city.

5.3.1. Regression Analysis

The OLS model provides a global view of how each explanatory variable relates to urban vitality throughout the study area. While straightforward and useful for understanding general trends, OLS implicitly assumes spatial stationarity: that is, it treats the regression coefficients as constant over space. However, the distribution of urban vitality is often heterogeneous, reflecting distinct local conditions such as population density, transportation infrastructure, and land use diversity. To address this, we further employ GWR, which incorporates local weight matrices that allow the relationship between each explanatory variable and urban vitality to vary by geographic location. The contrast between the two models thus highlights both global and local patterns.
Table 5 presents the regression estimates for the weekdays. In the OLS model, employment density (EMD) emerges as a significant negative determinant of vitality ( β = 0.216 ), while the higher education rate (HER) positively influences vitality ( β = 0.247 ). In particular, average income (AVI) does not show a significant effect. Among built environment variables, bus stop density (BSD), cultural services (CS), and company density (CMP) all display significant positive effects on vitality, suggesting that accessible transportation networks and diverse economic/cultural facilities encourage more dynamic urban activities. Conversely, land use entropy (LUE) shows a negative coefficient, implying that overly mixed land use may, in certain contexts, hinder rather than promote urban vibrancy.
Turning to the GWR model, we observe a marked improvement in goodness-of-fit measures, with the R2 rising from 0.704 (OLS) to 0.780 (GWR) and the AICc dropping from −964.151 to −993.862. These statistics indicate strong spatial heterogeneity in how the same variables influence vitality. For example, the negative effect of EMD is less pronounced ( β mean = 0.164 ) when viewed locally, suggesting that some neighborhoods might benefit from a higher employment density, while others show effects of crowding or congestion. Similarly, the HER’s local coefficients vary across space, underscoring that educational attainment fosters vitality more strongly in certain districts (e.g., near high-tech or university clusters) than elsewhere.
Table 6 presents similar findings for the weekends. The global patterns (OLS) are largely consistent with weekday observations, but certain shifts are notable. LS becomes more influential ( β rising from 0.067 to 0.213 in OLS), reflecting the increased demand for leisure-oriented products on weekends. In contrast, the effect of CMP decreases or even turns negative, indicating the reduced relevance of office and industrial activities outside standard workdays. GWR reveals that spatial heterogeneity remains significant: in certain business districts, CMP continues to exert a moderate positive effect due to weekend shopping or tourism; in primarily industrial areas, however, the effect is neutral or negative.
The two models suggest that weekday vitality negatively correlates with the GVI, the SVI, and, to a lesser degree, the VEI. This finding implies that heavily vegetated or open-sky areas may have lower daytime foot traffic, possibly due to limited commercial activity or fewer office complexes. However, on weekends, this negative relationship is weakened. Specifically, the absolute value of the GVI’s OLS coefficient decreases from −3.651 to −3.046, indicating that the recreational utilization of parks and open spaces, together with other leisure-related activities, alleviates the inhibitory effect of a high green view environment. This change might be associated with multiple factors. It is quite possible that land use types, such as the functional differentiation between commercial and residential areas, have an impact. Meanwhile, residents’ altered behavioral patterns from weekdays to weekends, with a shift toward leisure activities, also contribute to this variation.
In general, GWR outperforms OLS on both weekdays and weekends, underscoring the nonstationary and context-dependent nature of urban vitality. Factors of the built environment, such as the densities of bus stops and cultural facilities, consistently show positive associations with vitality, while socioeconomic variables, such as the densities of employment and educational attainment, exhibit divergent spatial effects. The weekend analysis highlights shifts toward leisure-driven activities, with life services becoming more critical and standard commercial/office clusters losing partial relevance.

5.3.2. Nonlinear and Feature Importance Analysis

Although OLS and GWR effectively capture linear or locally linear relationships, urban vitality drivers may involve complex nonlinear interactions. Thus, we apply SHAP to fitted models to explore the relative importance of each variable and any potential nonlinear dynamics. In this paper, we employ a Random Forest regression model for training. The Random Forest achieves an R 2 score of 0.773 in the test set, outperforming both the OLS and GWR models.
Figure 9 reveals that BSD and CS stand out as the main contributors to high vitality scores, corroborating the regression results. A high BSD generally reduces travel barriers, facilitating a steady flow of people and commerce. Likewise, CS create activity hubs that stimulate demand throughout the day. Conversely, LUE is significant in regression but displays variable SHAP values: some spatial units gain from diverse land use, while others, perhaps due to sprawl or conflicting uses, exhibit reduced vitality. This aligns with the notion that land use diversity has an optimal range beyond which it may become counterproductive.
Figure 10 further illustrates how the marginal effect of each factor on vitality can change in different value ranges.
  • Socioeconomic Variables: EMD initially boosts vitality at lower-to-moderate levels, reflecting the benefits of economic and social clustering. However, after a threshold, high congestion probably suppresses vibrancy. Similarly, the HER shows a strong positive association up to a point but plateaus once the area is saturated with educated populations.
  • Built Environment Variables: RD and BSD both exhibit upward trends in their SHAP values until they reach levels that risk oversaturation or congestion. CS consistently demonstrate a positive relationship, suggesting minimal diminishing returns within the observed range.
  • Urban Landscape Variables: Indicators such as the GVI and SVI show more nuanced patterns. At moderate levels, greenery and open skies can support leisure activity, yet exceedingly high values correlate with reduced commercial intensity. This highlights the challenge of balancing environmental quality with robust economic and social functions.
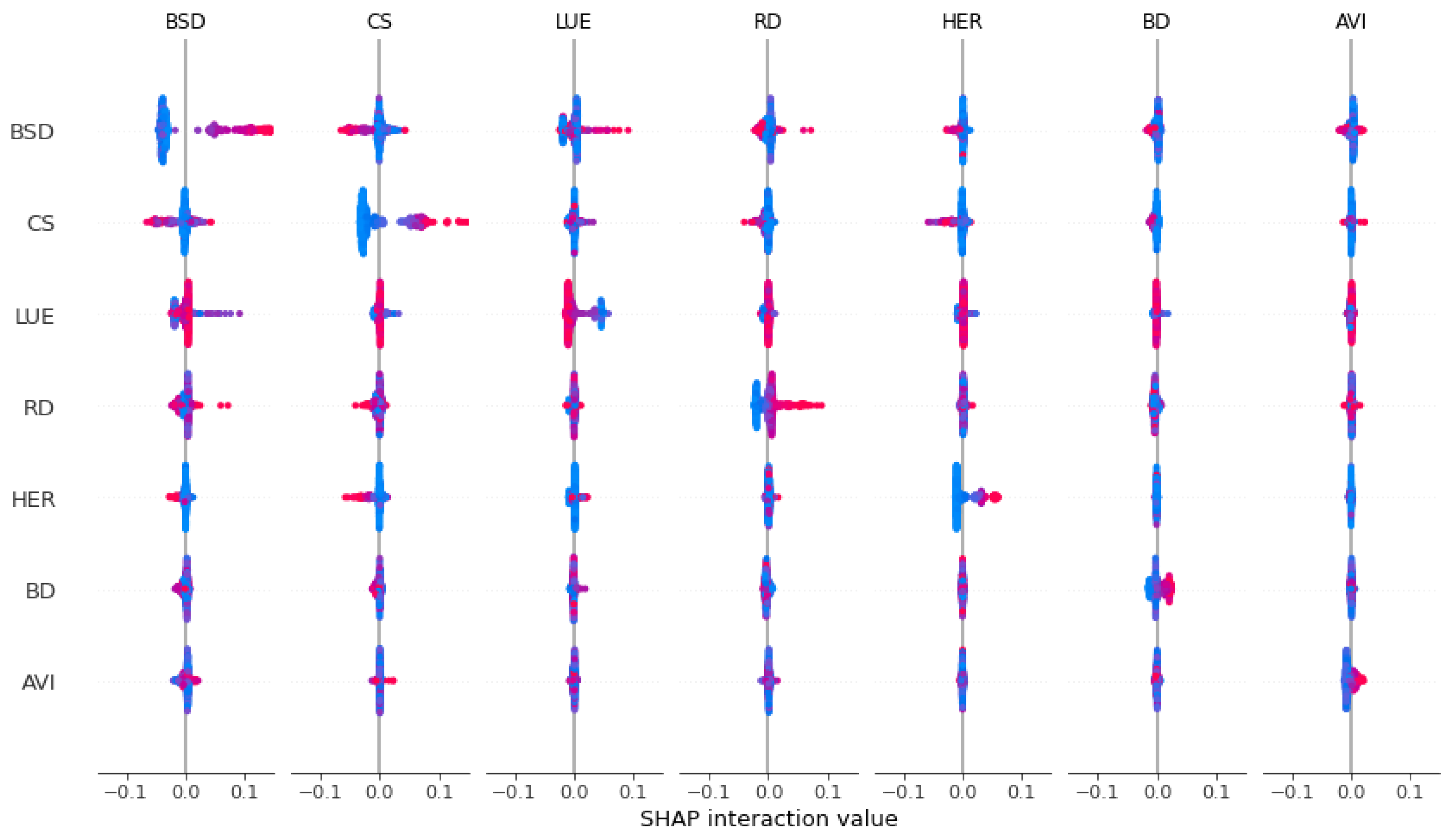
Figure 11 displays the pairwise SHAP interaction values between the seven most important variables identified by the model: BSD, CS, LUE, RD, the HER, BD, and the AVI. In the figure, the color blue typically indicates lower feature values, and conversely, and the color red indicates higher feature values. The intensity and direction of each interaction value reflect the degree to which one variable’s influence on urban vitality is modulated by another. The SHAP interaction matrix reveals several notable co-effects among the predictors of urban vitality. Strong interaction effects are observed along the BSD–CS, BSD–LUE, and RD–HER pairs. BSD and LUE jointly enhance vitality when both are moderately high, supporting the idea that transit-oriented, mixed-use development can amplify urban liveliness. These results echo the classic urban design theories by Jacobs and others, who emphasized connectivity and diversity as core principles. In contrast, interactions such as HER–BD and AVI–RD present more subtle or mixed patterns, suggesting localized or context-dependent effects. For example, higher education may enhance the vitality effect of building density only in areas where density is already conducive to human activity. Meanwhile, the modest interaction between income (AVI) and road density may reflect the differentiated travel behaviors of higher-income populations, whose mobility patterns might not be as influenced by road infrastructure alone.
To further explore how variable interactions shape urban vitality, we visualized two representative interaction pairs with the highest mean SHAP interaction values: BSD with CS, and BSD with LUE, as shown in Figure 12. Subplot (a) reveals that when both BSD and CS are high (e.g., BSD > 0.3, CS > 0.3), the SHAP interaction values fall below −0.04, indicating a potential diminishing or even negative synergy at high concentrations. In contrast, when CS remain low (<0.1), an increasing BSD shows only a weak positive effect (interaction values fluctuate around 0), suggesting that the effectiveness of public transit infrastructure is contingent on the presence of surrounding cultural amenities. Subplot (b) presents a different pattern: as LUE approaches 0.6, the interaction effect with BSD shifts positively, reaching up to +0.08 when BSD is moderate (around 0.5). This quantifies how the land use mix enhances the marginal effect of transit accessibility on vitality. These findings complement the previous analysis by showing that not only do certain variables strongly affect vitality on their own, but their joint configurations also reveal important nonlinear mechanisms, emphasizing the need for coordinated planning strategies.
By integrating SHAP with our regression findings, we see that, while GWR exposes spatial heterogeneity, SHAP illuminates critical nonlinear thresholds and feature interactions. In districts where the EMD exceeds an optimal range, density benefits give way to congestion effects. Areas with a mid-level GVI may enjoy a higher weekend vitality due to recreational activities, whereas extremely high GVI zones can become relatively inactive commercial corridors. Thus, the final picture is one of localized and nonlinear interplay, reaffirming that a single urban-policy prescription rarely works for all neighborhoods.

5.3.3. Comparative Analysis of Linear and Nonlinear Models

The OLS and GWR regression models are based on linear or locally linear relationships. In sharp contrast, the SHAP model delves into nonlinear dynamics and evaluates the importance of features. From a goodness-of-fit perspective, GWR (adjusted R2 = 0.735) performed better than OLS (adjusted R2 = 0.693) for weekday data. The SHAP-based machine learning model also showed strong performance, with an R2 of 0.75. Despite the methodological differences, several variables demonstrated consistent directions of association across both linear and nonlinear models. For example, the HER and RD were positively associated with urban vitality in OLS, GWR, and SHAP results, indicating their robust contribution. Conversely, EMD and LUE showed negative relationships across linear models, with SHAP confirming their inhibiting roles, especially under high-value conditions. However, some variables—such as the GVI and SVI—were statistically insignificant in OLS but revealed meaningful nonlinear relationships in SHAP plots. This divergence suggests that while linear models may overlook certain subtle or threshold-based effects, nonlinear models can uncover complex relationships that better align with urban realities.
The SHAP dependence plots (Figure 10) reveal rich nonlinear patterns that are absent in the linear models. Several variables—such as the VMI, the VEI, and CS—exhibited strong threshold effects, where their influence on urban vitality increased sharply only after exceeding certain values. For example, the VMI remained neutral until 0.8, after which its contribution rose steeply, a pattern consistent with the spatial clustering of highly vibrant areas. Similarly, CMP and BSD showed exponential relationships, where the benefits of vitality were amplified disproportionately in high-value contexts. These patterns are difficult to capture via GWR or OLS, which assume monotonic and additive effects. The ability of nonlinear models to detect saturation points, inflection zones, or diminishing returns makes them especially relevant for policy intervention, where marginal returns may vary dramatically across urban conditions.
From a policymaker’s perspective, the choice between linear and nonlinear models depends on the balance between interpretability and complexity. Linear models, particularly GWR, provide spatially explicit coefficients that are straightforward to interpret and communicate, making them valuable for preliminary planning and diagnostic purposes. However, nonlinear models offer deeper insight into variable behaviors, including interactions and thresholds critical for targeted interventions. For example, while GWR identifies CS as a uniformly important factor, the SHAP plot reveals that its influence only becomes substantial beyond a certain density, which can guide zoning regulations more precisely. Thus, rather than favoring one model over the other, we advocate a hybrid interpretation approach: use linear models to establish general spatial trends and validate consistency, and rely on nonlinear models for fine-grained, context-sensitive decision-making.

6. Discussion

6.1. Spatiotemporal Patterns of Urban Vitality

Human mobility patterns have a profound impact on urban vitality, as people’s activities and movement intensities continually shape the urban landscape. Using mobile phone signaling data, this study captured the temporal nuances of weekday and weekend travel, confirming that Shenzhen exhibits more concentrated weekday flows in core business areas such as Futian and Nanshan, and a broader leisure-based dispersal on weekends. These findings echo Jacobs’ view [7] that continuous street movement fosters an environment conducive to social interaction and economic exchange. In particular, the observed “strong west, weak east” and “strong south, weak north” gradients highlight the spatial imbalances in the city’s development trajectory.
Time-segmented analysis indicates that daytime vitality often aligns with employment corridors, while nighttime and weekend vitality hinge on cultural, recreational, or entertainment resources. This rhythm underscores the importance of temporal continuity in sustaining activity over an entire day rather than only during peak business hours. Studies such as those by Li et al. [60] have similarly noted that leisure-oriented mobility expands the spatial scope of urban vibrancy. Our results emphasize that high employment density can increase activity during morning and evening hours of the week but may not sustain engagement after office hours, thereby underlining the value of mixing residential, commercial, and nightlife functions within accessible proximity.
Spatial connectivity emerges as another key driver, manifested in the way in which various TAZs are linked to each other. Zones with strong connections, similar to network hubs, exhibit higher sustained vitality, as activity flows continuously from multiple directions [61]. In contrast, zones weakly connected or located in the urban periphery show relatively lower or sporadic involvement. These observations imply that the mobility infrastructure across the city, in the form of roads, bus routes, and subways, needs to be balanced with the diversity of local land use. Integrating robust transit services with human-scale planning can ensure that both business districts and residential neighborhoods remain vibrant at different times of the day and week.

6.2. Drivers of Urban Vitality

Socioeconomic factors, including EMD and the HER, shape urban vitality by influencing who lives, works, and socializes in a city. Our findings suggest that EMD exerts a positive effect only up to a certain threshold, beyond which congestion and high living costs may reduce overall vibrancy [62]. Meanwhile, a higher HER correlates positively with creative and knowledge-intensive activities that extend well into evenings or weekends, sustaining steady foot traffic. This aligns with Jacobs’ emphasis on diversity, where the presence of educated populations drives a range of cultural or intellectual pursuits [7].
From a built environment perspective, metrics such as BSD and RD signal how easily people can move and gather in various locations. Our study corroborates the importance of high BSD in fostering both weekday commute traffic and weekend leisure mobility, mirroring past research by Ye et al. [33]. At the same time, excessively high RD can lead to automobile-dominated landscapes, undermining pedestrian walkability. LUE also exhibits mixed effects: moderate functional diversity increases activity synergy, but overly fragmented or mismatched uses may cause spatial dysfunction, creating underutilized pockets of land.
Urban landscape indicators—specifically, the GVI and SVI—demonstrate contrasting roles across time periods. On weekdays, a high GVI and SVI can diminish commercial footfall, while on weekends, these same features often attract recreational and social activities, reinforcing the idea that vitality depends on when and how spaces are used [63]. Similarly, an intermediate level of VEI supports human-scale participation, while excessive enclosure or motorization (VMI) discourages pedestrian comfort and social interaction [64]. Hence, judicious design that balances ecological aesthetics with urban functionality emerges as essential for sustaining vitality throughout the temporal cycle.

6.3. Policy and Planning Imptlications

The insights gleaned from spatiotemporal vitality patterns and multifaceted drivers carry direct implications for urban policy and planning. Targeted infrastructure interventions stand out as a lever to drive or maintain vitality. Our analysis indicates that well-maintained BSD, RD, and pedestrian networks collectively enable more consistent activity flows. However, as indicated by the negative correlation between extremely high road densities and vitality in certain TAZs, infrastructure expansions must be carefully calibrated to avoid overshadowing pedestrian spaces. Policies aiming to develop “complete streets” can reconcile these objectives by prioritizing sidewalks, bike lanes, and crosswalk safety along with automobile infrastructure. Together, local governments could encourage “park and ride” or “bike and ride” services near major transit nodes, particularly in peripheral districts where basic motorization might currently be the norm. As Kåresdotter et al. [65] have argued, bridging the last-mile gap is the key to unlocking the potential of latent vitality in suburban or underdeveloped areas.
Nuanced shifts in vitality between weekdays and weekends point to the need for time-specific policy instruments. Although weekday vibrancy is typically driven by employment clusters, weekend foot traffic often correlates with leisure, cultural, or retail offerings. Governments may design adaptive “time-of-week” zoning ordinances, allowing commercial and cultural pop-up installations on weekends in spaces otherwise left vacant after office hours [66]. Enhanced security, lighting, and event programming can promote safe activities at night, further extending the temporal continuity of vitality. The objective would be to transform single-purpose zones—like pure business districts—into lively multi-use enclaves where people remain active beyond standard working hours. In addition, city authorities could coordinate with business owners to align operating hours with major commuting schedules or weekend tourism spikes, thus smoothing out the daily and weekly cycles of crowd flow.
Finally, the allocation of green space and the management of the skyline also deserve policy attention, given the significant role that landscape metrics—like the GVI and SVI—play in shaping residents’ perceptions and urban area use. In practice, an overemphasis on commercial development can reduce the proportion of open or green spaces, which, while beneficial for day-to-day foot traffic, could decrease the long-term resilience and appeal of the city. In contrast, planners who prioritize expansive parks or broad boulevards without integrating them into surrounding commercial or cultural networks risk creating underutilized spaces. Our research suggests that the presence of greenery or a panoramic skyline can increase weekend and evening vitality when combined with well-placed retail or entertainment options. This finding parallels the conclusions of Mamajonova et al. [67] and Fu et al. [68], who stress the importance of balancing ecological amenities with ongoing commercial vibrancy. Hence, policy frameworks such as "Eco-Commercial Corridors", where ground-level stores seamlessly connect to pocket parks and partially enclosed sidewalks, could address the seemingly contradictory demands of greenery and commercial activity.

7. Conclusions

This paper investigated the spatiotemporal dimensions of urban vitality and its key drivers from a human mobility perspective, using Shenzhen as a representative case. We proposed the urban human mobility vitality model (UHMVM) that integrates activity intensity, temporal continuity, and activity connectivity, thereby providing a more comprehensive tool to quantify urban vibrancy across different times and places. Empirical findings revealed distinct patterns for weekdays versus weekends, with core employment corridors dominating daytime traffic on weekdays and more leisure-oriented nodes emerging on weekends. Furthermore, global and local regression models (OLS and GWR) demonstrated that socioeconomic (e.g., employment density, higher education) and built environment factors (e.g., bus stop density, cultural services) significantly influence vitality distributions, although with notable spatial heterogeneity. SHAP results show that variables such as employment density, higher education, bus stop density, and cultural services are significant drivers, though their impacts vary spatially and nonlinearly, with threshold effects and contextual differences between weekday and weekend vitality.
Our research makes three principal contributions to the literature on urban vitality and smart city planning. First, by embedding a PageRank-based approach in the measurement of spatial connectivity, we capture the networked dimension of population flows, thus extending beyond conventional single-moment or single-variable measures of vitality. Second, we enrich the methodological toolbox by combining OLS, GWR, and SHAP to dissect both the spatial heterogeneity and the nonlinear interplay of diverse influencing factors. This multiperspective lens offers more granular insights than traditional regression models alone. Third, our empirical focus on Shenzhen, a fast-growing metropolis with heterogeneous neighborhoods, provides evidence that can guide policymakers in similar high-density contexts. Specifically, we show how integrated public transportation, balanced land use diversity, and well-designed green or open spaces each contribute to sustaining human activities on multiple temporal scales.
Although offering a multifaceted perspective on urban vitality, our study is constrained by several limitations. First, a key limitation of this study is the limited temporal scope of mobile phone signaling data. Although we compared typical weekdays and weekends, the dataset does not capture seasonal changes, holidays, or event-related fluctuations. Prior research suggests that weather, festivals, and major events can significantly alter mobility patterns [69]. As a result, our findings mainly reflect routine conditions. Future studies should consider longer time frames, spanning months or a full year, to test the consistency of the results and explore how the drivers of vitality can vary over time. Second, the generalizability of our findings outside Shenzhen is uncertain due to its unique socioeconomic and planning context. As a rapidly developing high-tech city with comparatively advanced infrastructure, Shenzhen may not fully represent other urban environments—whether they are the polycentric metropolises typical of Western countries or the lower-density urban regions of emerging economies [70,71]. Cities with distinct cultural norms, governance structures, or land use regimes may exhibit markedly different determinants of vitality. Third, the weights ( α , β , γ ) in our method were determined using an empirical method. In future applications, we recommend using local validation indicators (e.g., commercial vitality indices, land price, or POI clustering) to adapt these coefficients for different cities or regions.

Author Contributions

Conceptualization, Tianhong Zhao and Jinzhou Cao; Methodology, Youwan Wu, Chenxi Xie and Aiping Zhang; Validation, Youwan Wu; Writing—original draft, Youwan Wu, Chenxi Xie, Aiping Zhang and Tianhong Zhao; Writing—review & editing, Jinzhou Cao; Supervision, Tianhong Zhao; Project administration, Tianhong Zhao. All authors have read and agreed to the published version of the manuscript.

Funding

This research was funded by Natural Science Foundation of Top Talent of SZTU (Grant No. GDRC202415); Guangdong University Engineering Technology Research Center for Precision Components of Intelligent Terminal of Transportation Tools (Grant No. 2021GCZX002); The National Natural Science Foundation of China (Grant No. 42201496).

Data Availability Statement

The raw data supporting the conclusions of this article will be made available by the authors on request.

Conflicts of Interest

The authors declare no conflict of interest.

References

  1. Jacobs, J. Dark Age Ahead: Author of the Death and Life of Great American Cities; Random House of Canada: Toronto, ON, Canada, 2010. [Google Scholar]
  2. Kim, Y.L. Urban Vitality Measurement Through Big Data and Internet of Things Technologies. ISPRS Int. J. Geo-Inf. 2025, 14, 14. [Google Scholar] [CrossRef]
  3. Liu, S.; Ge, J.; Ye, X.; Wu, C.; Bai, M. Urban vitality assessment at the neighborhood scale with geo-data: A review toward implementation. J. Geogr. Sci. 2023, 33, 1482–1504. [Google Scholar] [CrossRef]
  4. Zhao, T.; Liang, X.; Tu, W.; Huang, Z.; Biljecki, F. Sensing urban soundscapes from street view imagery. Comput. Environ. Urban Syst. 2023, 99, 101915. [Google Scholar] [CrossRef]
  5. Liang, X.; Zhao, T.; Biljecki, F. Revealing spatio-temporal evolution of urban visual environments with street view imagery. Landsc. Urban Plan. 2023, 237, 104802. [Google Scholar] [CrossRef]
  6. Lan, F.; Gong, X.; Da, H.; Wen, H. How do population inflow and social infrastructure affect urban vitality? Evidence from 35 large-and medium-sized cities in China. Cities 2020, 100, 102454. [Google Scholar] [CrossRef]
  7. Jacobs, J. The Life and Death of Great American Cities; Random House: New York, NY, USA, 1961. [Google Scholar]
  8. Montgomery, J. Making a city: Urbanity, vitality and urban design. J. Urban Des. 1998, 3, 93–116. [Google Scholar] [CrossRef]
  9. Chhetri, P.; Stimson, R.J.; Western, J. Modelling the factors of neighbourhood attractiveness reflected in residential location decision choices. Stud. Reg. Sci. 2006, 36, 393–417. [Google Scholar] [CrossRef]
  10. Yue, W.; Chen, Y.; Zhang, Q.; Liu, Y. Spatial explicit assessment of urban vitality using multi-source data: A case of Shanghai, China. Sustainability 2019, 11, 638. [Google Scholar] [CrossRef]
  11. Jalaladdini, S.; Oktay, D. Urban public spaces and vitality: A socio-spatial analysis in the streets of Cypriot towns. Procedia-Soc. Behav. Sci. 2012, 35, 664–674. [Google Scholar] [CrossRef]
  12. Zarin, S.Z.; Niroomand, M.; Heidari, A.A. Physical and social aspects of vitality case study: Traditional street and modern street in Tehran. Procedia-Soc. Behav. Sci. 2015, 170, 659–668. [Google Scholar] [CrossRef]
  13. Lyu, G.; Angkawisittpan, N.; Fu, X.; Sonasang, S. Investigating the relationship between built environment and urban vitality using big data. Sci. Rep. 2025, 15, 579. [Google Scholar] [CrossRef]
  14. Liu, S.; Zhang, L.; Long, Y.; Long, Y.; Xu, M. A new urban vitality analysis and evaluation framework based on human activity modeling using multi-source big data. ISPRS Int. J. Geo-Inf. 2020, 9, 617. [Google Scholar] [CrossRef]
  15. Wu, C.; Ye, X.; Ren, F.; Du, Q. Check-in behaviour and spatio-temporal vibrancy: An exploratory analysis in Shenzhen, China. Cities 2018, 77, 104–116. [Google Scholar] [CrossRef]
  16. Kim, Y.L. Seoul’s Wi-Fi hotspots: Wi-Fi access points as an indicator of urban vitality. Comput. Environ. Urban Syst. 2018, 72, 13–24. [Google Scholar] [CrossRef]
  17. Zeng, C.; Song, Y.; He, Q.; Shen, F. Spatially explicit assessment on urban vitality: Case studies in Chicago and Wuhan. Sustain. Cities Soc. 2018, 40, 296–306. [Google Scholar]
  18. Xia, C.; Yeh, A.G.O.; Zhang, A. Analyzing spatial relationships between urban land use intensity and urban vitality at street block level: A case study of five Chinese megacities. Landsc. Urban Plan. 2020, 193, 103669. [Google Scholar] [CrossRef]
  19. He, Q.; He, W.; Song, Y.; Wu, J.; Yin, C.; Mou, Y. The impact of urban growth patterns on urban vitality in newly built-up areas based on an association rules analysis using geographical ‘big data’. Land Use Policy 2018, 78, 726–738. [Google Scholar] [CrossRef]
  20. Liu, D.; Shi, Y. The influence mechanism of urban spatial structure on urban vitality based on geographic big data: A case study in downtown Shanghai. Buildings 2022, 12, 569. [Google Scholar] [CrossRef]
  21. Li, Q.; Cui, C.; Liu, F.; Wu, Q.; Run, Y.; Han, Z. Multidimensional urban vitality on streets: Spatial patterns and influence factor identification using multisource urban data. ISPRS Int. J. Geo-Inf. 2021, 11, 2. [Google Scholar] [CrossRef]
  22. Lee, S.h.; Kang, J.E. Impact of particulate matter and urban spatial characteristics on urban vitality using spatiotemporal big data. Cities 2022, 131, 104030. [Google Scholar] [CrossRef]
  23. Xia, X.; Zhang, Y.; Zhang, Y.; Rao, T. The spatial pattern and influence mechanism of urban vitality: A case study of Changsha, China. Front. Environ. Sci. 2022, 10, 942577. [Google Scholar] [CrossRef]
  24. Anselin, L. Local Indicators of Spatial Association—LISA. Geogr. Anal. 1995, 27, 93–115. [Google Scholar] [CrossRef]
  25. Li, X.; Li, Y.; Jia, T.; Zhou, L.; Hijazi, I.H. The six dimensions of built environment on urban vitality: Fusion evidence from multi-source data. Cities 2022, 121, 103482. [Google Scholar] [CrossRef]
  26. Chen, Y.; Yu, B.; Shu, B.; Yang, L.; Wang, R. Exploring the spatiotemporal patterns and correlates of urban vitality: Temporal and spatial heterogeneity. Sustain. Cities Soc. 2023, 91, 104440. [Google Scholar] [CrossRef]
  27. Wu, C.; Zhao, M.; Ye, Y. Measuring urban nighttime vitality and its relationship with urban spatial structure: A data-driven approach. Environ. Plan. B Urban Anal. City Sci. 2023, 50, 130–145. [Google Scholar] [CrossRef]
  28. Zeng, Z.; Li, Y.; Tang, H. Multidimensional Spatial Driving Factors of Urban Vitality Evolution at the Subdistrict Scale of Changsha City, China, Based on the Time Series of Human Activities. Buildings 2023, 13, 2448. [Google Scholar] [CrossRef]
  29. Yue, Y.; Zhuang, Y.; Yeh, A.; Xie, J.Y.; Ma, C.L.; Li, Q.Q. Measurements of POI-based mixed use and their relationships with neighbourhood vibrancy. Int. J. Geogr. Inf. Sci. 2017, 31, 658–675. [Google Scholar] [CrossRef]
  30. Tu, W.; Zhu, T.; Xia, J.; Zhou, Y.; Lai, Y.; Jiang, J.; Li, Q. Portraying the spatial dynamics of urban vibrancy using multisource urban big data. Comput. Environ. Urban Syst. 2020, 80, 101428. [Google Scholar] [CrossRef]
  31. Lin, J.; Zhuang, Y.; Zhao, Y.; Li, H.; He, X.; Lu, S. Measuring the non-linear relationship between three-dimensional built environment and urban vitality based on a random forest model. Int. J. Environ. Res. Public Health 2022, 20, 734. [Google Scholar] [CrossRef]
  32. Wu, W.; Niu, X. Influence of built environment on urban vitality: Case study of Shanghai using mobile phone location data. J. Urban Plan. Dev. 2019, 145, 04019007. [Google Scholar] [CrossRef]
  33. Ye, Y.; Li, D.; Liu, X. How block density and typology affect urban vitality: An exploratory analysis in Shenzhen, China. Urban Geogr. 2018, 39, 631–652. [Google Scholar]
  34. Zhang, A.; Li, W.; Wu, J.; Lin, J.; Chu, J.; Xia, C. How can the urban landscape affect urban vitality at the street block level? A case study of 15 metropolises in China. Environ. Plan. B Urban Anal. City Sci. 2021, 48, 1245–1262. [Google Scholar]
  35. Xia, C.; Zhang, A.; Yeh, A.G. The varying relationships between multidimensional urban form and urban vitality in Chinese megacities: Insights from a comparative analysis. Ann. Am. Assoc. Geogr. 2022, 112, 141–166. [Google Scholar]
  36. Chen, M.; Cai, Y.; Guo, S.; Sun, R.; Song, Y.; Shen, X. Evaluating implied urban nature vitality in San Francisco: An interdisciplinary approach combining census data, street view images, and social media analysis. Urban For. Urban Green. 2024, 95, 128289. [Google Scholar]
  37. Li, M.; Liu, J.; Lin, Y.; Xiao, L.; Zhou, J. Revitalizing historic districts: Identifying built environment predictors for street vibrancy based on urban sensor data. Cities 2021, 117, 103305. [Google Scholar]
  38. Chen, Z.; Dong, B.; Pei, Q.; Zhang, Z. The impacts of urban vitality and urban density on innovation: Evidence from China’s Greater Bay Area. Habitat Int. 2022, 119, 102490. [Google Scholar]
  39. Lu, S.; Shi, C.; Yang, X. Impacts of built environment on urban vitality: Regression analyses of Beijing and Chengdu, China. Int. J. Environ. Res. Public Health 2019, 16, 4592. [Google Scholar] [CrossRef] [PubMed]
  40. Doan, Q.C.; Ma, J.; Chen, S.; Zhang, X. Nonlinear and threshold effects of the built environment, road vehicles and air pollution on urban vitality. Landsc. Urban Plan. 2025, 253, 105204. [Google Scholar]
  41. Ling, Z.; Zheng, X.; Chen, Y.; Qian, Q.; Zheng, Z.; Meng, X.; Kuang, J.; Chen, J.; Yang, N.; Shi, X. The Nonlinear Relationship and Synergistic Effects between Built Environment and Urban Vitality at the Neighborhood Scale: A Case Study of Guangzhou’s Central Urban Area. Remote Sens. 2024, 16, 2826. [Google Scholar] [CrossRef]
  42. Miller, H.J.; Shaw, S.L. Geographic Information Systems for Transportation: Principles and Applications; Oxford University Press: New York, NY, USA, 2001. [Google Scholar]
  43. Yang, B.; Tian, Y.; Wang, J.; Hu, X.; An, S. How to improve urban transportation planning in big data era? A practice in the study of traffic analysis zone delineation. Transp. Policy 2022, 127, 1–14. [Google Scholar]
  44. Zhang, Y.; Song, Y.; Zhang, W.; Wang, X. Working and residential segregation of migrants in Longgang City, China: A mobile phone data-based analysis. Cities 2024, 144, 104625. [Google Scholar]
  45. Gonzalez, M.C.; Hidalgo, C.A.; Barabasi, A.L. Understanding individual human mobility patterns. Nature 2008, 453, 779–782. [Google Scholar] [CrossRef]
  46. Wills, R. Google’s PageRank-the math behind the search engine. Math. Intell. 2006, 28, 6–11. [Google Scholar] [CrossRef]
  47. Jia, C.; Du, Y.; Wang, S.; Bai, T.; Fei, T. Measuring the vibrancy of urban neighborhoods using mobile phone data with an improved PageRank algorithm. Trans. GIS 2019, 23, 241–258. [Google Scholar]
  48. Zhang, L.; Chen, P.; Hui, F. Refining the accessibility evaluation of urban green spaces with multiple sources of mobility data: A case study in Shenzhen, China. Urban For. Urban Green. 2022, 70, 127550. [Google Scholar]
  49. Li, S.; Chen, P.; Hui, F.; Gong, M. Evaluating urban vitality and resilience under the influence of the COVID-19 pandemic from a mobility perspective: A case study in Shenzhen, China. J. Transp. Geogr. 2024, 117, 103886. [Google Scholar]
  50. Getis, A. A history of the concept of spatial autocorrelation: A geographer’s perspective. Geogr. Anal. 2008, 40, 297–309. [Google Scholar] [CrossRef]
  51. Ord, J.K.; Getis, A. Local spatial autocorrelation statistics: Distributional issues and an application. Geogr. Anal. 1995, 27, 286–306. [Google Scholar] [CrossRef]
  52. Glaeser, E.L.; Gottlieb, J.D. Urban resurgence and the consumer city. Urban Stud. 2006, 43, 1275–1299. [Google Scholar] [CrossRef]
  53. Ewing, R.; Cervero, R. Travel and the Built Environment: A Meta-Analysis. J. Am. Plan. Assoc. 2010, 76, 265–294. [Google Scholar]
  54. Yi, S.; Li, X.; Wang, R.; Guo, Z.; Dong, X.; Liu, Y.; Xu, Q. Interpretable spatial machine learning insights into urban sanitation challenges: A case study of human feces distribution in San Francisco. Sustain. Cities Soc. 2024, 113, 105695. [Google Scholar]
  55. Liu, C.; Wu, X.; Wang, L. Analysis on land ecological security change and affect factors using RS and GWR in the Danjiangkou Reservoir area, China. Appl. Geogr. 2019, 105, 1–14. [Google Scholar] [CrossRef]
  56. Harris, P.; Fotheringham, A.S.; Juggins, S. Robust geographically weighted regression: A technique for quantifying spatial relationships between freshwater acidification critical loads and catchment attributes. Ann. Assoc. Am. Geogr. 2010, 100, 286–306. [Google Scholar] [CrossRef]
  57. Zhou, Q.; Wang, C.; Fang, S. Application of geographically weighted regression (GWR) in the analysis of the cause of haze pollution in China. Atmos. Pollut. Res. 2019, 10, 835–846. [Google Scholar] [CrossRef]
  58. Kumar, I.E.; Venkatasubramanian, S.; Scheidegger, C.; Friedler, S. Problems with Shapley-value-based explanations as feature importance measures. In Proceedings of the International Conference on Machine Learning, PMLR, Virtual, 13–18 July 2020; pp. 5491–5500. [Google Scholar]
  59. Lundberg, S.M.; Lee, S.I. A unified approach to interpreting model predictions. Adv. Neural Inf. Process. Syst. 2017, 30, 4765–4774. [Google Scholar]
  60. Li, X.; Kozlowski, M.; Salih, S.A.; Ismail, S.B. Evaluating the Vitality of Urban Public Spaces: Perspectives on Crowd Activity and Built Environment. Archnet-IJAR Int. J. Archit. Res. 2024. ahead-of-print. [Google Scholar] [CrossRef]
  61. Fang, C.; He, S.; Wang, L. Spatial characterization of urban vitality and the association with various street network metrics from the multi-scalar perspective. Front. Public Health 2021, 9, 677910. [Google Scholar] [CrossRef]
  62. Malizia, E.; Chen, Y. The economic growth and development outcomes related to vibrancy: An empirical analysis of major employment centers in large US cities. Econ. Dev. Q. 2019, 33, 255–266. [Google Scholar] [CrossRef]
  63. Chen, C.; Wang, J.; Li, D.; Sun, X.; Zhang, J.; Yang, C.; Zhang, B. Unraveling nonlinear effects of environment features on green view index using multiple data sources and explainable machine learning. Sci. Rep. 2024, 14, 30189. [Google Scholar] [CrossRef]
  64. Qin, J.; Feng, Y.; Sheng, Y.; Huang, Y.; Zhang, F.; Zhang, K. Evaluation of Pedestrian-Perceived Comfort on Urban Streets Using Multi-Source Data: A Case Study in Nanjing, China. ISPRS Int. J. Geo-Inf. 2025, 14, 63. [Google Scholar] [CrossRef]
  65. Kåresdotter, E.; Page, J.; Mörtberg, U.; Näsström, H.; Kalantari, Z. First mile/last mile problems in smart and sustainable cities: A case study in Stockholm County. J. Urban Technol. 2022, 29, 115–137. [Google Scholar] [CrossRef]
  66. Qiao, Y.K.; Peng, F.L.; Dong, Y.H.; Lu, C.F. Planning an adaptive reuse development of underutilized urban underground infrastructures: A case study of Qingdao, China. Undergr. Space 2024, 14, 18–33. [Google Scholar] [CrossRef]
  67. Mamajonova, N.; Oydin, M.; Usmonali, T.; Olimjon, A.; Madina, A.; Marg‘uba, M. The role of green spaces in urban planning enhancing sustainability and quality of life. Holders Reason. 2024, 2, 346–358. [Google Scholar]
  68. Fu, R.; Zhang, X.; Yang, D.; Cai, T.; Zhang, Y. The relationship between urban vibrancy and built environment: An empirical study from an emerging city in an arid region. Int. J. Environ. Res. Public Health 2021, 18, 525. [Google Scholar] [CrossRef]
  69. Yun, H.J.; Park, M.H. Time–space movement of festival visitors in rural areas using a smart phone application. Asia Pac. J. Tour. Res. 2015, 20, 1246–1265. [Google Scholar] [CrossRef]
  70. Montgomery, J. Editorial urban vitality and the culture of cities. Plan. Pract. Res. 1995, 10, 101–110. [Google Scholar] [CrossRef]
  71. Yue, W.; Chen, Y.; Thy, P.T.M.; Fan, P.; Liu, Y.; Zhang, W. Identifying urban vitality in metropolitan areas of developing countries from a comparative perspective: Ho Chi Minh City versus Shanghai. Sustain. Cities Soc. 2021, 65, 102609. [Google Scholar] [CrossRef]
Figure 1. Study area’s geographical location and administrative divisions are depicted alongside a TAZ map. The images on the left show Shenzhen’s location, while the top right image displays the administrative divisions of the study area. The bottom right image illustrates the TAZ divisions within Shenzhen.
Figure 1. Study area’s geographical location and administrative divisions are depicted alongside a TAZ map. The images on the left show Shenzhen’s location, while the top right image displays the administrative divisions of the study area. The bottom right image illustrates the TAZ divisions within Shenzhen.
Ijgi 14 00167 g001
Figure 2. Research framework.
Figure 2. Research framework.
Ijgi 14 00167 g002
Figure 3. Urban vitality values and vitality distributions of weekdays in various districts.
Figure 3. Urban vitality values and vitality distributions of weekdays in various districts.
Ijgi 14 00167 g003
Figure 4. Spatial distributions of urban vitality.
Figure 4. Spatial distributions of urban vitality.
Ijgi 14 00167 g004
Figure 5. AIM changes in urban vitality in different time periods.
Figure 5. AIM changes in urban vitality in different time periods.
Ijgi 14 00167 g005
Figure 6. AIM spatial distribution of urban vitality during different time periods during weekdays.
Figure 6. AIM spatial distribution of urban vitality during different time periods during weekdays.
Ijgi 14 00167 g006
Figure 7. AIM spatial distribution of urban vitality during different time periods during weekends.
Figure 7. AIM spatial distribution of urban vitality during different time periods during weekends.
Ijgi 14 00167 g007
Figure 8. LISA cluster map of urban vitality distribution.
Figure 8. LISA cluster map of urban vitality distribution.
Ijgi 14 00167 g008
Figure 9. Results of SHAP feature importance analysis.
Figure 9. Results of SHAP feature importance analysis.
Ijgi 14 00167 g009
Figure 10. The nonlinear relationships between urban vitality and various variables.
Figure 10. The nonlinear relationships between urban vitality and various variables.
Ijgi 14 00167 g010
Figure 11. SHAP interaction values among top 7 influential urban vitality predictors.
Figure 11. SHAP interaction values among top 7 influential urban vitality predictors.
Ijgi 14 00167 g011
Figure 12. SHAP interactions. (a) Interaction between bus stop density (BSD) and cultural services (CS). (b) Interaction between bus stop density (BSD) and land use entropy (LUE).
Figure 12. SHAP interactions. (a) Interaction between bus stop density (BSD) and cultural services (CS). (b) Interaction between bus stop density (BSD) and land use entropy (LUE).
Ijgi 14 00167 g012
Table 1. Summary of multi-source datasets.
Table 1. Summary of multi-source datasets.
ItemSourceDescriptionQuantity
Mobile phone
signaling data
China Mobile Communications
Group Co., Ltd. (Beijing, China)
Mobile signaling data have the potential
to accurately identify
the distribution of pedestrian flow,
containing information
about the movement from one TAZ
to another at specific moments.
854,782
Socioeconomic dataShenzhen Planning and
Natural Resources Bureau
Information Center
Social attribute data refer to information
that describes the social, economic,
and cultural characteristics of
specific populations, often used to
analyze demographic structures
and social behaviors.
491
Street view dataBaidu MapsUrban physical environment data are input
into deep learning models for semantic
segmentation, which filters and
reorganizes the data to obtain various elements.
491
POI data
(points of interest)
Amap (Gaode Map)The dataset of 23 categories of POI
is filtered and reorganized.
491
Table 2. Illustrative sample of hourly TAZ-to-TAZ movements from mobile phone signaling data.
Table 2. Illustrative sample of hourly TAZ-to-TAZ movements from mobile phone signaling data.
Original_TAZDestination_TAZTime (Hours)Number_Total
10210261
1021021051
1021021315
10210473
102104104
Table 3. Indicator system construction explanation.
Table 3. Indicator system construction explanation.
VariableAbbreviationDescriptionUnit
Socioeconomic variables
Employment densityEMDNumber of employed people per square kilometer people / km 2
Higher education ratioHERProportion of individuals with higher education
per square kilometer
people / km 2
Average incomeAVIAverage monthly income in thousandsthousand/month
Built environment variables
Land use entropyLUEMeasure of diversity in land use types%
Road densityRDTotal length of roads per square kilometer km / km 2
Bus stop densityBSDNumber of bus stops per square kilometer number / km 2
Cultural servicesCSNumber of cultural service facilities
per square kilometer
number / km 2
Life servicesLSNumber of life service facilities
per square kilometer
number / km 2
Healthcare servicesHCSNumber of healthcare service facilities
per square kilometer
number / km 2
CompaniesCMPNumber of company service facilities
per square kilometer
number / km 2
BuildingsBDNumber of building service facilities
per square kilometer
number / km 2
Urban landscape
Green view indexGVI G V I = 1 N i = 1 N P vegetation , i %
Sky view indexSVI S V I = 1 N i = 1 N P sky , i %
Visual enclosure indexVEI V E I = 1 N i = 1 N P buildings , i %
Visual motorization indexVMI V M I = 1 N i = 1 N P road , i + P traffic , i %
Table 4. Global Moran’s I and significance tests for different models on weekdays and weekends.
Table 4. Global Moran’s I and significance tests for different models on weekdays and weekends.
ModelWeekdayWeekend
Moran’s I z-Value Moran’s I z-Value
AIM0.462115.000.417213.70
TCM0.495616.540.493416.39
ACM0.578419.210.584819.75
UHMVM0.588519.430.573919.78
Table 5. Comparison of OLS and GWR model performance for weekday data.
Table 5. Comparison of OLS and GWR model performance for weekday data.
VariableOLSGWR
Coefficient SE t-Statistic Mean Coefficient Mean SE
EMD−0.2160.038−5.663−0.1640.069
HER0.2470.0465.4130.1720.085
AVI0.0140.0400.3420.0280.071
LUE−0.0740.021−3.450−0.0680.037
RD0.1880.0355.3630.1400.061
BSD0.2100.0395.4290.1920.066
CS0.2540.0594.3340.1960.107
LS0.0670.0980.6880.0970.190
HCS−0.0500.071−0.715−0.0180.129
CMP0.1980.0862.2930.2260.163
BD0.0260.0640.3980.0250.110
GVI−3.6512.309−1.581−2.3674.098
SVI−2.6681.672−1.596−1.7352.965
VEI−1.8591.171−1.587−1.2062.078
VMI−1.1300.765−1.476−0.6641.362
AICc−964.151−993.862
R20.7040.780
Adjusted R20.6930.735
Table 6. Comparison of OLS and GWR model performance for weekend data.
Table 6. Comparison of OLS and GWR model performance for weekend data.
VariableOLSGWR
Coefficient SE t-Statistic Mean Coefficient Mean SE
EMD−0.1750.036−4.871−0.1410.065
HER0.1990.0434.6090.1380.081
AVI0.0130.0370.3360.0250.067
LUE−0.0620.020−3.089−0.0560.036
RD0.1600.0334.8360.1210.058
BSD0.1960.0365.3930.1790.062
CS0.2190.0553.9600.1600.102
LS0.2130.0922.3110.1930.180
HCS−0.0680.067−1.017−0.0140.122
CMP−0.0160.081−0.1920.0640.155
BD0.0570.0610.9460.0490.105
GVI−3.0462.178−1.398−1.7873.888
SVI−2.2241.577−1.410−1.3132.813
VEI−1.5521.105−1.404−0.9151.971
VMI−0.9420.722−1.305−0.4951.292
AICc−1016.520−1,042.553
R20.6790.758
Adjusted R20.6670.709
Disclaimer/Publisher’s Note: The statements, opinions and data contained in all publications are solely those of the individual author(s) and contributor(s) and not of MDPI and/or the editor(s). MDPI and/or the editor(s) disclaim responsibility for any injury to people or property resulting from any ideas, methods, instructions or products referred to in the content.

Share and Cite

MDPI and ACS Style

Wu, Y.; Xie, C.; Zhang, A.; Zhao, T.; Cao, J. Spatiotemporal Analysis of Urban Vitality and Its Drivers from a Human Mobility Perspective. ISPRS Int. J. Geo-Inf. 2025, 14, 167. https://doi.org/10.3390/ijgi14040167

AMA Style

Wu Y, Xie C, Zhang A, Zhao T, Cao J. Spatiotemporal Analysis of Urban Vitality and Its Drivers from a Human Mobility Perspective. ISPRS International Journal of Geo-Information. 2025; 14(4):167. https://doi.org/10.3390/ijgi14040167

Chicago/Turabian Style

Wu, Youwan, Chenxi Xie, Aiping Zhang, Tianhong Zhao, and Jinzhou Cao. 2025. "Spatiotemporal Analysis of Urban Vitality and Its Drivers from a Human Mobility Perspective" ISPRS International Journal of Geo-Information 14, no. 4: 167. https://doi.org/10.3390/ijgi14040167

APA Style

Wu, Y., Xie, C., Zhang, A., Zhao, T., & Cao, J. (2025). Spatiotemporal Analysis of Urban Vitality and Its Drivers from a Human Mobility Perspective. ISPRS International Journal of Geo-Information, 14(4), 167. https://doi.org/10.3390/ijgi14040167

Note that from the first issue of 2016, this journal uses article numbers instead of page numbers. See further details here.

Article Metrics

Back to TopTop