Abstract
The expansion of the digital economy is crucial for halting climate change, as carbon emissions from urban energy use contribute significantly to global warming. This study uses the Difference-in-Differences Model and the Spatial Durbin Model determine whether the digital economy may support the development of reducing carbon emissions and its geographic spillover effects in Chinese cities on the east coast. In addition, it looks more closely at the effects of lowering carbon emissions in space by separating them into direct, indirect, and spatial impact parts. The findings show that (1) from 2012 to 2021, the digital economy favored carbon emission reductions in China’s eastern coastline cities, as supported by the robustness test. (2) The link between digital economy growth and carbon emissions is highly variable, with smart city development and urban agglomeration expansion both cutting city carbon emissions considerably. Successful digital economy strategies can lower CO2 emissions from nearby cities. (3) Eastern coastal cities have a considerable spatial spillover impact, and the digital economy mitigates local energy consumption and carbon emissions while simultaneously enhancing environmental quality in nearby urban areas. This analysis proposes that the peak carbon and carbon neutrality targets can be met by increasing the digital economy and enhancing regional environmental governance cooperation.
1. Introduction
The extensive use of fossil fuels, primarily coal, brought on by the wave of industrialization and modernity has worsened environmental pollution and global warming [1]. China’s eastern coastal region is a major agglomeration of its industrial development, and most of its cities, some of which are also coal resource cities, are experiencing rapid economic development. These cities have nearly half of the nation’s digital economy and relatively high carbon emissions. Compared to other cities, East Coast cities show significant differences in digital economy development and carbon emissions, making them an ideal case study for examining the relationship between digital economy carbon emissions. Along with the increasing demand for energy, the environmental pressure is increasing. In this context, the digital economy is rapidly growing as a novel and productive force, presenting potential solutions to environmental obstacles. The digital economy effectively reduces energy and carbon emissions by optimizing energy use and industrial structure, reducing unnecessary economic activities, promoting the development of the carbon trading market, supporting carbon capture and storage technologies, and guiding the public to participate in carbon emission reduction in a variety of ways, demonstrating its great potential and important role in the field of carbon emission reduction. The 14th Five-Year Plan and 2024 Government Work Report, which are key policy papers for China’s economic development, highlight the importance of digitization as a crucial step towards improving and modernizing the country’s economic system. China’s coastal areas play a crucial role in promoting new, high-quality productive forces as they serve as the main zone for marine-based economic activity. Thus, it is crucial to analyze the link between the digital economy and energy-related carbon emissions in these places must be examined. Additionally, it is important to investigate the potential intermediate effects and variations in strategies for reducing emissions. This research is essential for promoting the strong growth of new productive forces and achieving the “double carbon” target at an earlier stage.
The purpose of this paper is to explore the relationship between the digital economy and carbon emission reduction in China’s eastern coastal region through theoretical and empirical analyses so as to promote the green and low-carbon development of the region and other regions and to contribute to the realization of the “dual-carbon goal”.
2. Literature Review
Owing to its unique functioning and potential, the digital economy has increased economic progress and rejuvenated the global economy. The current research primarily examines the economic impacts of the digital economy, with a particular emphasis on five key areas: economic growth [2,3,4], high-quality development [5,6,7], improvement of technological innovation [8,9], total factor productivity enhancement [10,11,12,13], and industrial structure upgrading [14,15]. Certain researchers also prioritize examining the motivating impact of the digital economy on the environment, such as network information through the dissemination of digital media, which may encourage public adoption of a green environmental preservation mindset that boosts environmental pollution control research [16,17]. Furthermore, the digital economy sector directly improves environmental circumstances. For instance, the digital economy has proven effective in reducing industrial pollutant emissions [18,19]. This has greatly strengthened the efficacy of governmental environmental management and elevated the caliber of urban settings [20,21,22]. Li, M. G. et al. [23] empirically analyzed the significant effect of DE on carbon pollution reduction using the quasi-natural experiment in the National Comprehensive Experimental Zone for Big Data (NCTZ), using the DID model and the mediated effects model.
The increase in carbon emissions resulting from energy consumption has worsened the problem of urban climate change in recent years. Previous literature has primarily focused on studying the digital economy and energy carbon reduction separately. Nevertheless, there is a scarcity of studies on the convergence of these two disciplines specifically examining the effects of informatization [24], information technology [25,26], and Internet development [27,28] on energy carbon emissions. Some experts suggest that the digital economy reduces carbon emissions and pollution, whereas others worry that it may increase carbon emissions. For instance, a study by Wu et al. found that the construction of smart cities (SCC) effectively reduces urban environmental pollution [29]. Additionally, there is evidence of a significant U-shaped relationship between the digital economy and the intensity of carbon emissions [30,31].
In summary, past studies on the digital economy and energy carbon emissions offer useful insights for this study. However, further exploration is required to further explore these topics. First, there is little existing literature on carbon emissions associated with energy consumption in the digital economy, and there is a lack of empirical literature examining the link between the digital economy and carbon emission reduction. In addition, most of the existing studies have been conducted at the level of all provinces and cities or individual provinces and cities, and there is a lack of in-depth studies on eastern coastal cities, for which studies are necessary in the eastern coastal region of China as a national pioneer zone for digital economy development. Secondly, the current research explored the correlation between the digital economy and carbon emission reduction from both theoretical and empirical perspectives. However, little attention has been paid to how the development of the digital economy has had different impacts in different places. Finally, most studies have primarily investigated the influence of the two and their endogenous mechanisms, overlooking the spatial spillover effect caused by the development of the digital economy.
In view of this, by examining the relationship between policies and carbon emission reduction in the National Digital Economy Development Pilot Zone in East China’s coastal cities, this study draws findings consistent with existing studies that digital economy development promotes urban carbon emission reduction and complements current research on the environmental impacts of the digital economy in coastal city regions based on existing studies. Secondly, this study investigates how the digital economy affects carbon emission reduction in different regions, focusing on analyzing and combining the different characteristics of different zones and the city’s own characteristics along the eastern coast. Finally, it analyzes the spillover effects of digital economy policies on these cities, providing theoretical support and practical guidance for understanding the relationship between the digital economy, carbon emissions reduction, and global warming.
The paper is organized as follows. Section 2 presents relevant research, outlining applications of the digital economy in various fields and research on the relationship between the digital economy and carbon emissions. Section 3 briefly describes the policy and analyzes the mechanisms of the digital economy and energy carbon emissions. Section 4 briefly describes the estimation methodology and data used in the study. Section 5 presents the empirical results and a discussion. Section 6 further analyzes heterogeneity and spatial spillover effects. Section 7 concludes the paper. Finally, Section 8 contains a discussion of the article and policy recommendations.
3. Policy Proposals and Research Hypotheses
3.1. Policy Proposal
In the current era of the digital economy, data are crucial production components that contribute significantly to the advancement of consumption, investment, and employment. Nevertheless, the progress of China’s digital economy is limited by fundamental technological limitations. To further advance the growth of the digital economy, China released the ‘Implementation Program of the National Pilot Zone for the Innovative Development of the Digital Economy’ in 2019 (hereafter referred to as the Pilot Zone Policy). This program specifically suggests the creation of pilot zones in Hebei (Xiong’an New Area), Zhejiang, Fujian, Guangdong, Chongqing, and Sichuan, among other regions, to foster innovative development in the digital economy. The government will implement a set of policies on the digital economy in conjunction with pilot zones to facilitate seamless integration of digital industrialization and industrial digitization. Simultaneously, enterprises will be guided by these policies to actively engage in digital transformation, establish clear objectives for transformation, and collectively drive the prosperous growth of the digital economy. Consequently, the pilot-zone policy node used in this study was 2019.
3.2. Research Hypothesis
According to the content of the national digital economy innovation and development policy and carbon emission factor-related literature research, the development of the digital economy improves digital governance capacity by upgrading technological innovation, adjusting industrial structure, and optimizing factor allocation, which is also an important focus point for reducing energy and carbon emissions. As a result, the logical analytical framework for digital economy development impacting carbon emission reduction in China’s eastern coastal cities is built around three components: the industrial upgrading effect, the technology innovation effect, and the resource allocation effect.
3.2.1. Technological Innovation Effect
Digital technology is a significant catalyst for innovation in green technology [13]. Firstly, combining the digital economy with energy-saving and low-carbon technologies allows established businesses to become knowledge- and technology-intensive, reducing carbon emissions and enhancing efficiency. Secondly, technological innovation can enhance the utilization of renewable energy sources, gradually replacing conventional energy sources such as coal and petroleum and driving the transition towards a diversified, cleaner, and lower-carbon energy structure. Thirdly, digital technology in industry optimizes pollution management measures and connects equipment and real-time collection of sewage data, thereby promoting environmentally friendly development of the industry and facilitating adjustments to the energy structure and utilization efficiency. Accordingly, the derivation of hypothesis 1 is as follows:
Hypothesis 1.
The digital economy delivers fresh kinetic energy to lower carbon emissions by enhancing technological innovation.
3.2.2. Industrial Upgrading Effect
The digital economy is spearheading the shift in industrial structure from being reliant on capital and labor to being focused on digital and technological advancements [32]. From the perspective of industrial digitization, the rise of industries that rely on data as a fundamental component is accelerating the digital economy, enhancing the efficient allocation of resources, decreasing overall carbon emissions in the production chain, and facilitating the enhancement of carbon emission performance. At the level of digital industrialization, digital technology has significantly improved production efficiency in various industries and strengthened the market competition mechanism, which promotes industry integration and development. The streamlining of industrial structures has resulted in efficient allocation of resources in the production sector, leading to a decrease in carbon emissions [33]. Accordingly, derivation of hypothesis 2:
Hypothesis 2.
The digital economy presents new prospects for decreasing energy carbon emissions by altering the industrial structure.
3.2.3. Factor Allocation Effect
Currently, China’s coal consumption accounts for a significant proportion of the energy structure, and energy-consuming enterprises often rely on traditional production technologies and models to obtain economic benefits through large inputs of production factors. The digital economy uses data as a production component and has the benefits of replicability, scalability, and low cost. These advantages enable the optimization of resource flow, thereby improving the resource utilization efficiency and compensating for the limitations of traditional production factors [20]. The digital economy successfully integrates data elements into conventional production factors, generating a high-quality combination of production factors, boosting energy conservation, and minimizing carbon emissions. From a production standpoint, digital elements are seamlessly integrated into the production process to achieve efficient resource utilization, reduce excessive energy consumption in traditional industries, and enhance resource utilization efficiency. These digital elements are characterized as being green, sustainable, and of high quality, contributing to a more environmentally friendly and economically efficient production process. Accordingly, the derivation of hypothesis 3 is as follows:
Hypothesis 3.
The digital economy presents a new way of minimizing energy carbon emissions by optimizing component allocation.
4. Research Design
4.1. Model Construction
Regarding the impact of the establishment of the National Pilot Zone for Innovative Development of the Digital Economy on China’s eastern coastal cities, double-difference modeling is one of the methods used to effectively identify its causal effects. This study employs a double difference model to analyze the influence of pilot area policies on energy carbon emissions in eastern coastal cities to evaluate their carbon reduction effect:
where Equation (1) is a double fixed-effects model that considers the city and year. The explanatory variable is the cumulative amount of carbon emissions from energy use in city i during time t. is the major independent variable in this study, which is the cross term between the time of policy enactment and whether it is a treatment group or not; is the coefficient that this study focuses on, as the true effect of the policy in eastern coastal cities; denotes the individual fixed effect; denotes the time fixed effect; and denotes the random error term.
4.2. Variable Description and Data Sources
4.2.1. Explained Variable: Energy Carbon Emissions (C)
Using the approach of the Wang X. M. et al. [34], CO2 emissions from 31 types of energy sources in oversized industries were measured in 81 cities above the prefecture level on the east coast using the carbon emission factor approach.
4.2.2. Explanatory Variables
Pilot zone policy (DID = treat × post), treat × post is the dummy variable interaction term between each city and the time of policy implementation.
4.2.3. Mediating Variables
Technological innovation (Pat) is reflected by the number of patents granted per capita; industrial upgrading (Ris) is measured by the ratio of value-added of the third industry to the second industry, in which the secondary sector is industry (including extractive industries, manufacturing, water, electricity, steam, hot water, and gas) and construction; the tertiary sector is all industries other than those mentioned above, and mainly includes the distribution sector, the sector that serves production and living, and the sector that serves to improve the level of science and culture as well as the quality of the population; and resource allocation efficiency (Tfp) is reflected by the city’s total factor productivity, in which the inputs are the fixed capital stock and the number of people in the workforce, and the output is the real GDP.
4.2.4. Control Variables
The impact of the digital economy on carbon emissions reduction does not necessarily work only through the national digital economy innovation and development pilot zone policy, but non-pilot zones can also utilize the digital economy to reduce carbon emission levels in their regions in other ways. Based on relevant literature, the following control variables were selected in this study: The level of economic development (Pgdp) is defined by the logarithm of urban per capita GDP; population density (Pop) is characterized by the total population divided by the land area at the end of the year; the degree of openness to the outside world (Fdi) is defined by the ratio of real foreign direct investment to GDP; the degree of urban construction (H) is defined by the area of land utilized for urban building; the intensity of environmental regulation (Er) is characterized by the ratio of the amount of environmental pollution investment completed to GDP; the relative share of energy consumption in overall energy consumption of each city is the defining characteristic of energy consumption structure (Ec); and the intensity of energy consumption (Ei) is characterized by the GDP per unit of energy consumption.
4.2.5. Data Sources
Because of the constraints on the statistical information of certain cities, this study ultimately chose the panel data of 81 cities above the prefecture level on the east coast of China (excluding Hong Kong, Macao, and Taiwan) for 2012–2021. The primary sources of data on energy carbon emissions in this study are the 2013–2022 China Energy Statistical Yearbook, the China Environmental Yearbook, and the 2013–2022 statistical yearbooks of cities above the prefecture level. Additionally, some unpublished data from the Internet were obtained from the statistical bureaus of cities above the prefecture level. The 2013–2022 China Urban Statistical Yearbook, together with the Yearbooks of cities at different levels and above and the National Economic and Social Development Statistical Bulletins from prior years, provided more pertinent economic and social statistics. Interpolation was used to address the lack of data for specific years. Using known data points, the approach creates a continuous function or model that predicts missing values. Descriptive statistics of variables are detailed in Table 1.
Table 1.
Variables defined in descriptive statistics.
5. Analysis of Empirical Results
5.1. Benchmark Regression
Table 2 shows the benchmark regression findings for energy carbon emissions of the digital economy. Column 1 controls only for city fixed effects and year fixed effects, that is, the effect of policy variables on carbon emission reductions. However, since carbon emission reductions are also affected by other factors, column 2 is an addition of seven control variables to column 1, making the net effect of the results stronger. Column (1) displays the results with only city and time fixed effects controlled for, while column (2) includes additional control variables based on column (1). The results indicate that the double-difference coefficient is significantly negative at the 5% significance level. This suggests that the pilot zone policy efficiently decreases energy carbon emissions in coastal areas and provides a strong incentive to minimize carbon emissions.
Table 2.
Benchmark regression results.
5.2. Parallel Trend Testing
The parallel trend test is the most important step in constructing the DID model and is a prerequisite for the DID model. Before using the DID model for empirical analysis, the parallel trend test must be carried out first. If the variables pass the parallel trend test, then the DID model can be constructed initially for empirical analysis, and vice versa. To verify whether this research sample meets the requirements of parallel trends, we created a model based on the methodology of Wang B.B. [35] and others:
In Equation (2), is a dummy variable and takes 1 when , such as where t represents the jth year after the introduction of the pilot zone policy, and 0 otherwise; and takes 1 when , such as when t is the jth year before the policy, and 0 otherwise. This study examines the time leading up to the 5th phase of policy implementation in the pilot zone and compares it to the 5th phase of policy implementation itself. The pre-policy treatment period served as the reference period. The remaining variables are consistent with the basic regression.
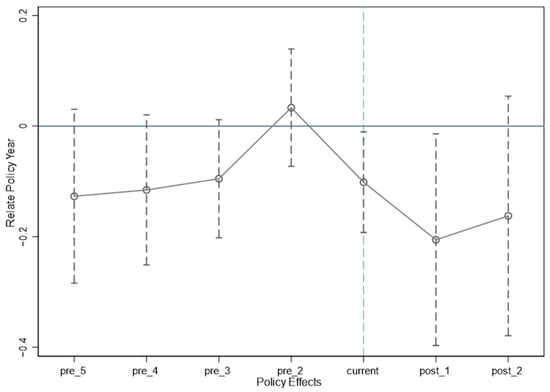
Figure 1 provides a comprehensive display of the parallel trend test outcomes. The horizontal axis represents the number of years before and after the establishment of the test area, and the vertical axis represents carbon emissions. Dashed lines represent confidence intervals. Upon examining the effects of the pilot zone policy on carbon emission reduction in eastern coastal cities, it is evident that there is no substantial disparity in energy carbon emissions between the pilot and non-pilot zones prior to the implementation of the policy. Prior to the implementation of legislation, these locations had comparable patterns of carbon emissions, meeting the prerequisite conditions of parallel trends. During the initial year following the implementation of the DID coefficients, the pilot zones’ DID coefficients exhibited a notable negative trend. This suggests that the energy and carbon emissions of coastal cities experienced a significant reduction after the policy was put into effect. This substantial change underscores the favorable impact of the digital economy on energy conservation and carbon reduction in eastern coastal cities. Furthermore, it demonstrates the considerable potential of the digital economy in environmental preservation.
Figure 1.
Parallel trend test.
5.3. Analysis of Results Based on PSM-DID Methodology
To ensure the accuracy of the first regression findings, ensure that the choice of experimental and control groups follows randomization, and remove any possible systematic errors, it is essential to conduct a thorough examination of the empirical data for their robustness. In this study, inspired by the literature of Shi D. C. [36] and others, the PSM-DID method was used for the measurement. The experimental and control groups were precisely selected through one-to-one nearest-neighbor matching to mitigate systematic estimation bias effectively. Logit regression was performed using policy dummy variables to obtain propensity matching scores, and cities with similar scores were selected as the control group. The post-matching test jointly supports this hypothesis, and the results show no significant difference between the groups, verifying the effectiveness of the PSM-DID method. Simultaneously, the probability distribution graph of the propensity score value (refer to Figure 2) visualizes the matching effect, and the distribution after matching is more convergent, proving that the matching effect is ideal and that the PSM-DID method is reliable.
Figure 2.
Density plot of probability distribution of propensity score.
Regression analysis was validated using PSM-DID. The regression results are shown in Table 3. The coefficients of the test area policy are significantly negative, indicating that the benchmark regression results are reliable. This suggests that the digital economy in eastern coastal cities has a reduction effect on energy carbon emissions, further confirming the reliability of the benchmark regression.
Table 3.
PSM-DID methodology and regression results excluding other policy effects.
5.4. Robustness Tests
5.4.1. Placebo Test
The placebo test, a key method to ensure the robustness of research findings, centers on the construction of virtual treatment groups or policy times. Inspired by the study of Ren S. G. et al. [37], this study innovatively utilizes the strategy of randomly assigning pilot cities. Of the 81 coastal cities above the prefecture level, a random selection of 30 cities was designated as the pseudo “pseudo experimental group” for the placebo test. These cities were considered to have adopted a pilot zone policy. Other cities naturally formed the control group. By iterating this procedure 500 times, we produced 500 sets of extraneous coefficients that include the regression coefficients, standard errors, and p-values of the “pseudo-policy dummy variables”. If these coefficients approach 0, the dummy variables do not substantially impact the outcomes. Figure 3 demonstrates that the spurious coefficients are closely grouped around the value of 0 and follow a normal distribution. This suggests that the establishment of the test area had a minimal impact on the formation of the randomized “pseudo-experimental group”. This strengthens the validity and dependability of the results.
Figure 3.
Placebo test.
5.4.2. Excluding Other Policy Effects
Considering the interference of other policies with the results, we performed a net effects test. The low-carbon city pilot strategy has gained widespread recognition for its significant contribution to lowering carbon emissions in metropolitan areas. Thus, this study integrates the policy into an analytical framework to thoroughly evaluate the policy impacts of establishing pilot zones. The policy has been implemented in stages since 2010, with the second stage of the policy being approved on 6 December 2012. Because of a delay in policy implementation, the second batch was processed in 2013. Thus, this analysis incorporates a multi-period difference model and creates the matching policy dummy variable DID (treat × post). The years 2010, 2013, and 2017 were considered key points in the implementation of this policy. This study uses a multi-period difference model and creates a policy dummy variable called DID. Additionally, a time dummy variable is established using the year of policy implementation as the reference point. Model (1) includes policy and temporal dummies for re-regression. Column (3) of Table 3 shows the regression findings. The findings indicate that the creation of the pilot zone alone has a substantial impact on decreasing energy and carbon emissions, even when considering the influence of other relevant policies. This shows the reliability of the baseline regression results.
5.4.3. Deletion of Central Cities
The data collected for this research include typical prefecture-level cities, province capital cities, sub-provincial cities, and municipalities. In view of the special characteristics of municipalities in terms of administrative mode and resource control, their common regression with other cities may introduce bias, and the sample data of municipalities are deleted in this study when conducting regression analysis. The regression coefficients in Column (1) of Table 4 indicate negative values, with a significance level of 5%. The emergence of the internet economy has had a substantial impact on decreasing energy-related carbon emissions. This further confirms the strength and dependability of previous conclusions.
Table 4.
Deletion of central cities and addition of fixed effects.
Furthermore, this study employs a high-dimensional fixed-effects model to thoroughly examine the relationships between variables. The purpose of this model is to minimize the potential influence of time-varying unobservable factors at the provincial level on the study’s findings. China’s eastern coastal cities include provincial-level municipalities; therefore, this study considers factors that exist at the provincial level but are not directly observable or measurable at the city level and that change over time. By doing so, this study aims to enhance the reliability and precision of the results. Columns (2) and (3) of Table 4 show the findings. Column (2) eliminates the influence of additional disruptive factors at the provincial level on the outcomes, while column (3) additionally eliminates the impact of unobservable factors at the provincial level caused by changes over time. Both columns yielded significantly negative results, reinforcing the reliability of the previous findings.
6. Further Analyses
6.1. Heterogeneity Test
6.1.1. Heterogeneity of City Location
In the analysis of heterogeneity, clear criteria for regional delineation are essential for a deeper understanding of the specific conditions and economic development patterns in different regions. Urban agglomeration engines driving China’s economic growth possess notable advantages in scientific and technical innovation as well as in opening up to the global market. However, they have also emerged as primary contributors to carbon emissions over time [38]. Based on the geographic scope of the three major urban agglomerations of Beijing–Tianjin–Hebei, Yangtze River Delta, and Pearl River Delta, as well as their respective geographic locations on China’s northern, central, and southern coasts, we categorize China’s eastern coastal cities into three major regions: the north coast, the central coast, and the south coast [39]. Thus, this research experimentally investigates whether there are variations in the influence of digital economy growth on carbon emission reduction on the metropolitan agglomerations of the north coast, central coast, and south coast. Table 5 demonstrates that the digital economy significantly reduces energy carbon reduction in the North Coast, indicating a strong carbon control effect. However, on the Central Coast and the South Coast, although the regression coefficient remains negative, it is not significant. This phenomenon may be attributed to the suboptimal industrial structure of northern coastal cities, particularly exemplified by the Beijing–Tianjin–Hebei urban agglomeration. This region is still predominantly reliant on the highly polluting and energy-intensive secondary industries, resulting in significant energy consumption. Consequently, the cities around the northern shore have a greater drive and desire to enhance energy efficiency and mitigate environmental pollution.
Table 5.
Urban regional heterogeneity.
6.1.2. Heterogeneity of Urban Resources
There are significant variations in economic development, social consumption, and Internet development levels among these cities. Some cities have better smart city infrastructure, which may result in different outcomes in terms of carbon emission reduction owing to the pilot zone policy. Thus, this study examines how the policy affects each coastal city.
The digital economy is growing rapidly due to data components [40]. This study measures urban Internet development by counting fixed Internet broadband users. The sample cities were divided into two groups by taking the average value of Internet development water in the corresponding year. Cities above the average value are defined as cities with high Internet development levels, and those below were defined as cities with low Internet development levels. City values above the average indicate strong Internet growth, while values below the average indicate poor Internet development. Since social consumption is closely tied to economic development, income, and employment, it is a useful indicator of a city’s economic health. Social consumption may also reflect the progress of the digital economy. This study measures coastal city social consumption using aggregate retail sales of social consumer products. Above the average value of social water consumption for the corresponding year, a city is defined as having a high social consumption level and vice versa. Cities with a social consumption water value above the average have high social consumption, whereas those below the average have low social consumption. The regression analysis Table 6 shows that, in the sub-sample test results of heterogeneity analysis, the pilot zone legislation affects weaker cities more in terms of Internet growth, indicating that higher-level cities already had a foundation for using digital technology to transform the low-carbon economic development model. However, towns with limited Internet penetration have reduced carbon emissions more due to the strategy. The sub-sample test on social consumption levels shows that the pilot zone reduces energy and carbon emissions more significantly and statistically in places with lower social consumption. However, cities with higher social consumption have a smaller influence. High social consumption is linked to strong economic development and financial support for cities. These cities are more likely to support digital economy enterprises.
Table 6.
Heterogeneity of urban characteristics.
6.2. Mediating Effect Test
The regression findings show that the digital economy reduces energy and carbon emissions in the study area. This influence interacts with technical innovation, industrial upgrading, and resource allocation. In order to explore the intrinsic mechanism of this process more deeply, we draw on the relevant practices of Jiang T. [39] to validate the influence of digital economy growth on mediating variables. Subsequently, we create the mediating effect model as outlined below:
in Equation (3) serves as a mediator, but the definitions of the other variables remain consistent with Equation (1). The results of the mediating impact examination are shown in Table 7: At a significance level of 1%, the estimated coefficient of the cross-multiplier term (treat × post) in Column (2) is considerably negative. This means that the development of the pilot region has a considerable impact on the promotion and application of technical innovation. This method facilitates the transition of the energy consumption structure towards diversity, cleanliness, and low carbonization. As a result, it enhances energy efficiency, promotes energy conservation, and reduces emissions. Thus, hypothesis 1 has been confirmed. Upon further examination of Column (3), it is evident that the calculated coefficient of the cross-multiplier component (treat × post) is significantly negative at the 5% significance level. This clearly demonstrates that the digital economy policy has a beneficial impact on promoting the progressive and efficient development of China’s industrial structure, enhancing cooperative collaboration through the clustering of manufacturing and service industries, and facilitating the transformation of coastal regional cities towards environmentally friendly and low-carbon practices. Thus, hypothesis 2 has been confirmed. Furthermore, the data in Column (4) indicate that the coefficient and factor allocation are positively correlated and significant at the 5% level. This finding suggests that the integration of data elements with traditional production factors is an important trend in the era of the digital economy, which, through technological innovation, industrial synergy, and policy guidance, has led to the formation of a high-quality combination of highly efficient, innovative, and sustainable production factors that promote the high-quality development of the economy. Consequently, this integration enhances the efficiency of resource allocation; reduces energy consumption and carbon emissions in coastal cities; and contributes to the creation of a clean, aesthetically pleasing, harmonious, and well-organized urban environment. Thus, hypothesis 3 has been confirmed.
Table 7.
Intermediation effects.
6.3. Tests for Spatial Spillover Effects
6.3.1. Spatial Autocorrelation and Durbin Model Applicability Test
The digital economy, with its notable geographical network properties, has the ability to lessen spatial correlation in the geographic dimension compared to the conventional form of economy. As a result, the spatial spillover effect is significantly enhanced [41]. All prior findings validate that cities in coastal areas see robust growth in the digital economy after the introduction of pilot zone legislation, resulting in a substantial decrease in energy-related carbon emissions. A city’s development policies are often learned and emulated by other affiliated cities, making energy consumption variables of spatially affiliated cities have obvious spatial spillover effects [42]. This study utilized the Spatial Durbin Model with Double Difference (SDM-DID) to thoroughly investigate the process by which policy affects carbon emission reduction in the region and neighboring regions. Specifically, it aims to investigate the spillover effect of emission reduction from cities during the policy implementation. In this process, this study integrates geographic and economic distances and constructs geo-economic nested spatial weights W. Specifically, spatial weight matrices W1 and W2 are established based on the geographic and economic distances of the cities, respectively, where W1 is measured by the latitudinal and longitudinal distances between the cities and W2 is characterized by the reciprocal of the square of the disparity in per-capita GDP between the cities.
The results of the Global Moran’s I index test for energy carbon emissions for various years are shown in Table 8. All the Global Moran’s I index are larger than 0 and indicate a consistent rising trend. This study also includes a scatter plot of the Local Moran’s I index in the year of the pilot zone policy (2019) (refer to Figure 4). The scatter plot and other evidence suggest that there is a strong spatial correlation in the impact of the policy implementation on carbon emission reduction in eastern coastal cities. This correlation satisfies the requirements for applying the double-difference spatial Durbin model.
Table 8.
Global Moran’s I index of energy carbon emissions.
Figure 4.
Localized Global Moran’s I Index Chart for 2019.
Additionally, this research offers a valuable understanding into the potential degeneration of into double-difference space Durbin model. The potential for it to be converted into a dual-difference spatial lag or error model was analyzed. By arranging and analyzing the collected data and presenting the findings in Table 9, it is evident that the LR test disproves the initial hypothesis, hence validating the appropriateness of selecting this model. Based on this rationale and the Hausman test results, a double-fixed model including both time and space is used to effectively predict digital economic growth by reducing pollution.
Table 9.
Model applicability test result.
6.3.2. Spatial Spillover Effects of Policies
After an in-depth analysis, this study provides a comprehensive examination of the regression findings of the double-difference spatial Durbin model. It thoroughly breaks down the data to determine the direct, indirect, and overall effects of explanatory factors. The precise outcomes are shown in Table 10. After considering both geographical distance and economic distance, it was discovered that the coefficient of the spatial lag term has a significant negative impact on urban pollution emissions caused by the policy. This directly confirms the existence of a spatial spillover effect, where the policy implemented affects the energy and carbon emissions of eastern coastal cities. The presence of digital economic growth, regardless of other factors influencing energy, has a substantial impact on reducing both energy consumption and carbon emissions in the city. Furthermore, there is evidence to suggest that the digital economy has a favorable effect on energy consumption and carbon emissions in nearby cities. This phenomenon may be ascribed to the successful promotion of the data element flow in each city via the pilot zone policy, resulting in the growth of both the city and its adjacent cities.
Table 10.
Double-difference spatial Durbin model regression results.
7. Conclusions
This study is based on balanced panel data of 81 cities along the east coast of China from 2012 to 2021. (1) The digital economy plays a crucial role in facilitating the decrease in carbon emissions in eastern coastal cities. The National Digital Economy Innovation and Development Pilot Zone policy significantly promotes the reduction in carbon emissions in China’s eastern coastal cities. This conclusion holds true even after conducting rigorous tests to ensure the accuracy and reliability of the findings, such as PSM-DID, parallel trend, and placebo tests. (2) An examination of heterogeneity reveals that the digital economy provides a greater impact on lowering greenhouse gases in northern coastal cities compared to central and southern coastal areas. Additionally, this impact is particularly pronounced in coastal towns characterized by limited Internet infrastructure and reduced levels of social engagement. (3) The mediating effect test demonstrated that the digital economy, via technical innovation, industrial upgrading, and resource allocation, may significantly improve the digital governance capability and achieve the goal of reducing carbon emissions. (4) An additional examination using the double-difference spatial Durbin model demonstrates that the advancement of the digital economy diminishes local energy consumption and carbon emissions, while concurrently enhancing environmental conditions in adjacent areas. In terms of the spatial impact, the pilot area policy has a notable spillover effect on energy and carbon emissions in coastal cities. This suggests that the digital economy can effectively decrease energy and carbon emissions in both the pilot city and its neighboring cities. Furthermore, the development of the digital economy can facilitate inter-city collaboration and the joint governance of the urban environment in coastal regions.
Exploring the impact of the digital economy on carbon emission reduction in China’s eastern coastal cities, as a new economic form, can help clarify the relationship between the digital economy and energy carbon emissions, as well as provide recommendations for furthering China’s digital economy development strategy and the transformation and upgrading of traditional industries. For other developing countries similar to China, which are mainly industrialized and have large energy consumption, as well as developed cities with a high level of digital economy development and are committed to realizing the dual-carbon goal, the study results of the impact of the digital economy on the carbon emissions of China’s eastern coastal cities can be used as a reference to implement carbon emission reduction measures in response to carbon emission reduction.
8. Discussions
Based on the quasi-natural experiment methodology of the National Pilot Zone for the Innovative Development of Digital Economy, this study measures for the first time the impact of digital economy on carbon emission reduction in coastal cities in eastern China. This study finds that the development of the digital economy significantly reduces urban carbon emissions, which is consistent with the findings of existing related literature [23,30,31]. According to a different study, the digital economy not only encourages local carbon emission reduction, but also inspires adjacent cities to follow suit.
The main contribution of this study is to provide more theoretical and empirical support for the impact of the digital economy on carbon emission reduction in China’s eastern coastal cities, enriching the research results in this field. Based on the findings of this study, the following policy recommendations are proposed:
(1) Deepening the integration of the digital economy and green low-carbon development policies. Relying on the National Pilot Zone’s achievements to improve the statistical monitoring and decision-making system using big data, AI, and blockchain. Ensuring a clear understanding of digital economy trends and risks. Creating a link between the digital economy and green low-carbon projects; encouraging the matching of supply and demand for green products and services via the digital economy platform; and hastening the marketization and commercialization of green, low-carbon technologies.
(2) Strengthening the synergy between technological innovation and industrial upgrading. Leveraging digital technology to enhance operational efficiency in production, management, sales, etc., encourages enterprises to adopt cloud computing, big data, and AI to innovate production methods and strengthens R&D, product upgrades, and service innovations to boost the competitiveness and sustainability of traditional industries. Fostering talent with an international vision and innovation. Assisting in digital economy growth; promoting the broad use of cloud computing, industrial Internet, and big data; and improving the application levels of fundamental technology. Encouraging the growth of businesses with creative potential in the fields of carbon capture and storage, clean energy utilization, and energy efficiency enhancement.
(3) Cities with diverse endowments should distribute the economic and social benefits of the digital economy considering local conditions. The results of the heterogeneity analysis in this study demonstrate that the growth of the digital economy has varying degrees of environmental welfare effects in various geographic locations and city characteristics, making it a useful resource for fostering the sector’s development. Regional governments should develop targeted policies and plans to promote the development of the digital economy based on the size of the local city, the level of information technology, and the level of financial expenditure, rather than blindly copying the development experience of other regions to maximize the performance of the data-driven digital economy.
(4) Enhancing collaborative energy and carbon governance among cities. The combination of regional variability and phases of development has aided the rapid development of the digital economy. Eastern coastal towns continue to capitalize on their geographic advantages; expedite the upgrade of their information networks; establish digital industrial ecosystems that integrate collecting, transmission, and storage; and play a spreading role in the digital economy. Strengthening city exchanges on energy management, emission monitoring, and technology. Boosting city synergies in digital governance. Maximizing the “green” influence of the digital economy to promote sustainable urban development.
This study has made some headway in understanding how the Internet economy affects carbon emission reductions in coastal cities. However, there are still some restrictions and possibilities for future development:
- (1)
- Based on the concept of data availability, this study’s city panel data do not include all cities in China’s eastern coastline provinces, and the representativeness of the sample needs to be enhanced. Future investigations are required in order to expand this database.
- (2)
- This study has not thoroughly investigated the nonlinear relationship between national digital economy strategies and urban carbon emission reduction. In future research, we will further explore the nonlinear relationship to obtain a more exact and precise picture of the two.
- (3)
- In this study, numerous control variables were chosen to correctly estimate the influence of the digital economy on energy and carbon emission reduction in coastal cities. Several elements are complex and can interact with each other. In the future, machine learning and other technologies can be used to improve performance. Furthermore, additional issues, such as environmental rules, may be addressed in the future.
Author Contributions
Conceptualization, Juanjuan Zhong and Ye Duan; methodology, Juanjuan Zhong; software, Juanjuan Zhong; validation, Ye Duan, Caizhi Sun; formal analysis, Juanjuan Zhong; investigation, Juanjuan Zhong; resources, Ye Duan; data curation, Juanjuan Zhong; writing—original draft preparation, Juanjuan Zhong; writing—review and editing, Ye Duan, Hongye Wang; visualization, Juanjuan Zhong; supervision, Ye Duan, Caizhi Sun; project administration, Ye Duan, Caizhi Sun; funding acquisition, Ye Duan, Caizhi Sun, Hongye Wang. All authors have read and agreed to the published version of the manuscript.
Funding
This study was supported by the National Natural Science Foundation of China (No. 72304056, No. 42101257), the Fundamental Research Funds for the Central Universities, China (DUT23RW405), the China Postdoctoral Science Foundation (No. 2020M670789), the National Key Fund for Social Sciences (No. 19AJY010) and Scientific Research Project of the Department of Education of Liaoning Province (No. JYTMS20231064).
Data Availability Statement
Data can be provided upon request.
Conflicts of Interest
The authors declare no conflicts of interest.
References
- Zhao, Y.; Feng, Y.; Du, M.; Fraedrich, K. Annual and Seasonal Dynamics of CO2 Emissions in Major Cities of China (2019–2022). ISPRS Int. J. Geo-Inf. 2024, 13, 181. [Google Scholar] [CrossRef]
- Salahuddin, M.; Gow, J. The Effects of Internet Usage, Financial Development and Trade Openness on Economic Growth in South Africa: A Time Series Analysis. Telemat. Inform. 2016, 33, 1141–1154. [Google Scholar] [CrossRef]
- Perez-Trujillo, M.; Lacalle-Calderon, M. The Impact of Knowledge Diffusion on Economic Growth across Countries. World Dev. 2020, 132, 104995. [Google Scholar] [CrossRef]
- Xing, Z.; Huang, J.; Wang, J. Unleashing the Potential: Exploring the Nexus between Low-Carbon Digital Economy and Regional Economic-Social Development in China. J. Clean. Prod. 2023, 413, 137552. [Google Scholar] [CrossRef]
- Jing, W.; Sun, B. Digital Economy Promotes High-Quality Economic Development: A Theoretical Analysis Framework. Economist 2019, 2, 66–73. [Google Scholar]
- Zhang, Y.; Wang, M.; Liu, T. Spatial Effect of Digital Economy on High-Quality Economic Development in China and Its Influence Path. Geogr. Res. 2022, 41, 1826–1844. [Google Scholar]
- Zhao, T.; Zhang, Z.; Liang, S. Digital Economy, Entrepreneurship, and High-Quality Economic Development: Empirical Evidence from Urban China. Manag. World 2020, 36, 65–76. [Google Scholar]
- Cao, S.; Nie, L.; Sun, H.; Sun, W.; Taghizadeh-Hesary, F. Digital Finance, Green Technological Innovation and Energy-Environmental Performance: Evidence from China’s Regional Economies. J. Clean. Prod. 2021, 327, 129458. [Google Scholar] [CrossRef]
- Heo, P.S.; Lee, D.H. Evolution of the Linkage Structure of ICT Industry and Its Role in the Economic System: The Case of Korea. Inf. Technol. Dev. 2019, 25, 424–454. [Google Scholar] [CrossRef]
- Lyu, Y.; Wang, W.; Wu, Y.; Zhang, J. How Does Digital Economy Affect Green Total Factor Productivity? Evidence from China. Sci. Total Environ. 2023, 857, 159428. [Google Scholar] [CrossRef]
- Acemoglu, D.; Restrepo, P. The Race between Man and Machine: Implications of Technology for Growth, Factor Shares, and Employment. Am. Econ. Rev. 2018, 108, 1488–1542. [Google Scholar] [CrossRef]
- Qiu, Z.; Zhou, Y. Development of Digital Economy and Regional Total Factor Productivity: An Analysis Based on National Big Data Comprehensive Pilot Zone. Financ. Res. 2021, 47, 4–17. [Google Scholar]
- Wang, K.; Wu, G.; Zhang, G. Has the Development of the Digital Economy Improved Production Efficiency? Economist 2020, 1, 24–34. [Google Scholar]
- Wu, J.; Lin, K.; Sun, J. Improving Urban Energy Efficiency: What Role Does the Digital Economy Play? J. Clean. Prod. 2023, 418, 138104. [Google Scholar] [CrossRef]
- Zuo, P.; Jiang, Q.; Chen, J. Internet Development, Urbanization and the Upgrading of China’s Industrial Structure. Res. Quant. Tech. Econ. 2020, 37, 71–91. [Google Scholar]
- Xu, Y. Whether Informal Environmental Regulation from Social Pressure Constraints on China’s Industrial Pollution? Res. Financ. Trade 2014, 25, 7–15. [Google Scholar]
- Zhang, S.; Wang, Y.; Li, Y. Does Regional Haze Opinion Affect Air Quality? Arid Zone Resour. Environ. 2018, 32, 100–106. [Google Scholar]
- Jiang, H.; Elahi, E.; Gao, M.; Huang, Y.; Liu, X. Digital Economy to Encourage Sustainable Consumption and Reduce Carbon Emissions. J. Clean. Prod. 2024, 443, 140867. [Google Scholar] [CrossRef]
- Pan, W.; Xie, T.; Wang, Z.; Ma, L. Digital Economy: An Innovation Driver for Total Factor Productivity. J. Bus. Res. 2022, 139, 303–311. [Google Scholar] [CrossRef]
- Guo, B.; Wang, Y.; Zhang, H. Will the Development of Digital Economy Improved Urban Air Quality—A Quasi-Natural Experiment Based on the National-Level Big Data Comprehensive Pilot Zone. J. Guangdong Univ. Financ. Econ. 2022, 37, 58–74. [Google Scholar]
- Liu, H.; Cui, W.; Zhang, M. Exploring the Causal Relationship between Urbanization and Air Pollution: Evidence from China. Sustain. Cities Soc. 2022, 80, 103783. [Google Scholar] [CrossRef]
- Zhang, H.; Duan, Y.; Yang, J.; Han, Z.; Wang, H. Can Green Finance Improve China’s Haze Pollution Reduction? The Role of Energy Efficiency. Environ. Dev. 2023, 45, 100833. [Google Scholar] [CrossRef]
- Liu, M.; Li, G. Research on the Impact of the Digital Economy on Carbon Pollution Based on the National Big Data Comprehensive Pilot Zone in China. Sustainability 2023, 15, 15390. [Google Scholar] [CrossRef]
- Lange, S.; Pohl, J.; Santarius, T. Digitalization and Energy Consumption. Does ICT Reduce Energy Demand? Ecol. Econ. 2020, 176, 106760. [Google Scholar] [CrossRef]
- Takase, K.; Murota, Y. The Impact of IT Investment on Energy: Japan and US Comparison in 2010. Energy Policy 2004, 32, 1291–1301. [Google Scholar] [CrossRef]
- Zou, R.; Yang, J.; Feng, C. Does Informatization Alleviate Energy Poverty? A Global Perspective. Energy Econ. 2023, 126, 106971. [Google Scholar] [CrossRef]
- Hao, Y.; Li, Y.; Guo, Y.; Chai, J.; Yang, C.; Wu, H. Digitalization and Electricity Consumption: Does Internet Development Contribute to the Reduction in Electricity Intensity in China? Energy Policy 2022, 164, 112912. [Google Scholar] [CrossRef]
- Ren, S.; Hao, Y.; Xu, L.; Wu, H.; Ba, N. Digitalization and Energy: How Does Internet Development Affect China’s Energy Consumption? Energy Econ. 2021, 98, 105220. [Google Scholar] [CrossRef]
- Wu, D.; Xie, Y.; Lyu, S. Disentangling the Complex Impacts of Urban Digital Transformation and Environmental Pollution: Evidence from Smart City Pilots in China. Sustain. Cities Soc. 2023, 88, 104266. [Google Scholar] [CrossRef]
- Cheng, Y.; Zhang, Y.; Wang, J.; Jiang, J. The Impact of the Urban Digital Economy on China’s Carbon Intensity: Spatial Spillover and Mediating Effect. Resour. Conserv. Recycl. 2023, 189, 106762. [Google Scholar] [CrossRef]
- Zhu, C.; Wang, Z.; Sun, B.; Yue, Y. Urban Digital Economy, Environmental Pollution, and Resident’s Health–Empirical Evidence from China. Front. Public Health 2023, 11, 1238670. [Google Scholar] [CrossRef] [PubMed]
- Wang, Y.; Liu, J.; Zhao, Z.; Ren, J.; Chen, X. Research on Carbon Emission Reduction Effect of China’s Regional Digital Trade under the “Double Carbon” Target—Combination of the Regulatory Role of Industrial Agglomeration and Carbon Emissions Trading Mechanism. J. Clean. Prod. 2023, 405, 137049. [Google Scholar] [CrossRef]
- Zhang, F.; Deng, X.; Phillips, F.; Fang, C.; Wang, C. Impacts of Industrial Structure and Technical Progress on Carbon Emission Intensity: Evidence from 281 Cities in China. Technol. Forecast. Soc. Chang. 2020, 154, 119949. [Google Scholar] [CrossRef]
- Wang, X.; Wu, J.; Bai, B.; Wang, Z. Spatial Differentiation and Driving Factors of CO2 Emissions: Analysis Based on 198 Cities at Prefecture Level and Above in China. Econ. Geogr. 2020, 40, 29–38. [Google Scholar]
- Wang, B.; Mo, Q.; Qian, H. The Diffusion Models and Effects of the Local Environmental Policy Innovation—A Micro-Econometric Evidence from the Diffusion of River Chief Policy. China Ind. Econ. 2020, 8, 99–117. [Google Scholar]
- Shi, D.; Ding, H.; Wei, P.; Liu, J. Can Smart City Construction Reduce Environmental Pollution? China Ind. Econ. 2018, 6, 117–135. [Google Scholar]
- Ren, S.; Zheng, J.; Liu, D.; Chen, X. Does Emissions Trading System Improve Firm’s Total Factor Productivity—Evidence from Chinese Listed Companies. China Ind. Econ. 2019, 5, 5–23. [Google Scholar]
- Liu, M.; Li, S.; Li, Y.; Shi, J.; Bai, J. Evaluating the Synergistic Effects of Digital Economy and Government Governance on Urban Low-Carbon Transition. Sustain. Cities Soc. 2024, 105, 105337. [Google Scholar] [CrossRef]
- Duan, Y.; Zhong, J.; Wang, H.; Sun, C. Analysis of the Spatial and Temporal Evolution of Energy-Related CO2 Emissions in China’s Coastal Areas and the Drivers of Industrial Enterprises above Designated Size—The Case of 82 Cities. Sustainability 2023, 15, 13374. [Google Scholar] [CrossRef]
- Xie, F.; Zhang, S.; Zhang, Q.; Zhao, S.; Lai, M. Research on the Geographical Pattern, Evolution Model, and Driving Mechanism of Carbon Emission Density from Urban Industrial Land in the Yangtze River Economic Belt of China. ISPRS Int. J. Geo-Inf. 2024, 13, 192. [Google Scholar] [CrossRef]
- Zhao, B. Impact of Digital Economy on Regional Innovation Performance and Its Spatial Spill over Effect. Sci. Technol. Prog. Countermeas. 2021, 38, 37–44. [Google Scholar]
- Shao, S.; Fan, M.; Yang, L. Economic Restructuring, Green Technical Progress, and Low-Carbon Transition Development in China: An Empirical Investigation Based on the Overall Technology Frontier and Spatial Spillover Effect. Manag. World 2022, 38, 46–69+4–10. [Google Scholar]
Disclaimer/Publisher’s Note: The statements, opinions and data contained in all publications are solely those of the individual author(s) and contributor(s) and not of MDPI and/or the editor(s). MDPI and/or the editor(s) disclaim responsibility for any injury to people or property resulting from any ideas, methods, instructions or products referred to in the content. |
© 2024 by the authors. Licensee MDPI, Basel, Switzerland. This article is an open access article distributed under the terms and conditions of the Creative Commons Attribution (CC BY) license (https://creativecommons.org/licenses/by/4.0/).



