Characterizing Production–Living–Ecological Space Evolution and Its Driving Factors: A Case Study of the Chaohu Lake Basin in China from 2000 to 2020
Abstract
:1. Introduction
2. Overview of the Research Area and Research Methods
2.1. Study Area
2.2. Data Source and Preprocessing
2.3. Research Methods
2.3.1. Production–Living–Ecological Space Classification Method
2.3.2. Transition Matrix
2.3.3. Selection and Calculation of Landscape Pattern Index
2.3.4. Principal Component Analysis
2.3.5. Grey Relational Analysis
3. Results
3.1. The Spatiotemporal Evolution Characteristics of the Production–Living–Ecological Space in the Chaohu Lake Basin
3.1.1. Analysis of Structural Changes of Production–Living–Ecological Space
3.1.2. Production–Living–Ecological Space Type Conversion
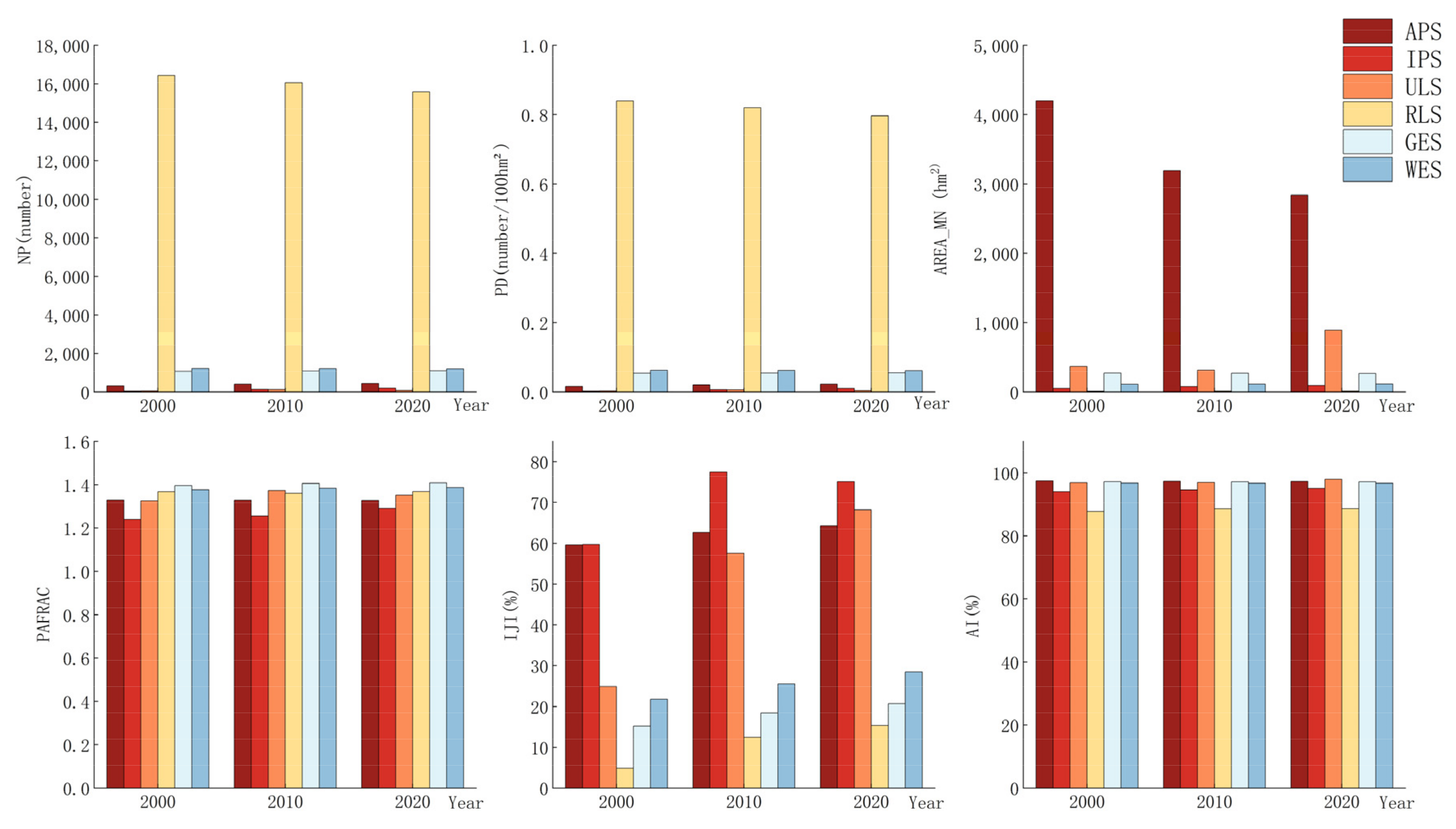
3.2. Temporal and Spatial Changes of Landscape Pattern in Chaohu Lake Basin
3.3. The Driving Force of Temporal and Spatial Evolution of Landscape Pattern in Chaohu Lake Basin
3.3.1. Driving Factors of Production–Living–Ecological Space in Chaohu Lake Basin
3.3.2. The Correlation between the Evolution and Driving Mechanism of the Production–Living–Ecological Space in the Chaohu Lake Basin
4. Discussion
4.1. The Characteristics of the PLES Evolution in the Chaohu Lake Basin
4.2. The Driving Mechanism of Production–Living–Ecological Space Evolution in Chaohu Lake Basin
4.3. Implication on the Optimization of Landscape Space Pattern
4.4. Strengths and Limitations
5. Conclusions
Author Contributions
Funding
Data Availability Statement
Conflicts of Interest
References
- Wang, J.; Lin, Y.F.; Glendinning, A.; Xu, Y.Q. Land-use changes and land policies evolution in China’s urbanization processes. Land Use Policy 2018, 75, 375–387. [Google Scholar] [CrossRef]
- Yao, Z.H.; Wang, B.; Huang, J.; Zhang, Y.; Yang, J.C.; Deng, R.X.; Yang, Q.K.; Li, Y. Analysis of Land Use Changes and Driving Forces in the Yanhe River Basin from 1980 to 2015. J. Sens. 2021, 2021, 6692333. [Google Scholar] [CrossRef]
- Qin, F.; Fukamachi, K.; Shibata, S. Land-Use/Landscape Pattern Changes and Related Environmental Driving Forces in a Dong Ethnic Minority Village in Southwestern China. Land 2022, 11, 349. [Google Scholar] [CrossRef]
- Zhang, B.F.; Zhang, J.; Miao, C.H. Urbanization Level in Chinese Counties: Imbalance Pattern and Driving Force. Remote Sens. 2022, 14, 2268. [Google Scholar] [CrossRef]
- Deng, S.L. Exploring the relationship between new-type urbanization and sustainable urban land use: Evidence from prefecture-level cities in China. Sustain. Comput. Inform. Syst. 2021, 30, 100446. [Google Scholar] [CrossRef]
- Cui, X.F.; Liu, C.C.; Shan, L.; Lin, J.Q.; Zhang, J.; Jiang, Y.H.; Zhang, G.H. Spatial-Temporal Responses of Ecosystem Services to Land Use Transformation Driven by Rapid Urbanization: A Case Study of Hubei Province, China. Int. J. Environ. Res. Public Health 2021, 19, 178. [Google Scholar] [CrossRef] [PubMed]
- Shi, Z.Q.; Deng, W.; Zhang, S.Y. Spatio-temporal pattern changes of land space in Hengduan Mountains during 1990–2015. J. Geogr. Sci. 2018, 28, 529–542. [Google Scholar] [CrossRef]
- Chen, Y.; Zhu, M.K. Spatiotemporal Evolution and Driving Mechanism of “Production-Living-Ecology” Functions in China: A Case of Both Sides of Hu Line. Int. J. Environ. Res. Public Health 2022, 19, 3488. [Google Scholar] [CrossRef] [PubMed]
- Rojas Quezada, C.; Jorquera, F. Urban Fabrics to Eco-Friendly Blue–Green for Urban Wetland Development. Sustainability 2021, 13, 13745. [Google Scholar] [CrossRef]
- Paracchini, M.L.; Pacini, C.; Jones, M.L.M.; Pérez-Soba, M. An aggregation framework to link indicators associated with multifunctional land use to the stakeholder evaluation of policy options. Ecol. Indic. 2011, 11, 71–80. [Google Scholar] [CrossRef]
- Tomlinson, S.J.; Dragosits, U.; Levy, P.E.; Thomson, A.M.; Moxley, J. Quantifying gross vs. net agricultural land use change in Great Britain using the Integrated Administration and Control System. Sci. Total Environ. 2018, 628–629, 1234–1248. [Google Scholar] [CrossRef] [PubMed]
- Wang, T.; Kazak, J.; Han, Q.; de Vries, B. A framework for path-dependent industrial land transition analysis using vector data. Eur. Plan. Stud. 2019, 27, 1391–1412. [Google Scholar] [CrossRef]
- Xie, X.T.; Li, X.S.; Fan, H.P.; He, W.K. Spatial analysis of production-living-ecological functions and zoning method under symbiosis theory of Henan, China. Environ. Sci. Pollut. Res. Int. 2021, 28, 69093–69110. [Google Scholar] [CrossRef] [PubMed]
- Fu, C.; Tu, X.Q.; Huang, A. Identification and Characterization of Production–Living–Ecological Space in a Central Urban Area Based on POI Data: A Case Study for Wuhan, China. Sustainability 2021, 13, 7691. [Google Scholar] [CrossRef]
- Tu, X.Q.; Fu, C.; Huang, A.; Chen, H.L.; Ding, X. DBSCAN Spatial Clustering Analysis of Urban “Production-Living-Ecological” Space Based on POI Data: A Case Study of Central Urban Wuhan, China. Int. J. Environ. Res. Public Health 2022, 19, 5153. [Google Scholar] [CrossRef]
- Tian, F.H.; Li, M.Y.; Han, X.L.; Liu, H.; Mo, B.X. A Production–Living–Ecological Space Model for Land-Use Optimisation: A case study of the core Tumen River region in China. Ecol. Model. 2020, 437, 109310. [Google Scholar] [CrossRef]
- Xiao, X.Y.; Huang, X.; Jiang, L.L.; Jin, C.X. Empirical study on comparative analysis of dynamic degree differences of land use based on the optimization model. Geocarto Int. 2022, 2025919, 1–18. [Google Scholar] [CrossRef]
- Wang, D.; Jiang, D.; Fu, J.Y.; Lin, G.; Zhang, J.L. Comprehensive Assessment of Production–Living–Ecological Space Based on the Coupling Coordination Degree Model. Sustainability 2020, 12, 2009. [Google Scholar] [CrossRef]
- Dong, Z.H.; Zhang, J.Q.; Si, A.; Tong, Z.J.; Na, L. Multidimensional Analysis of the Spatiotemporal Variations in Ecological, Production and Living Spaces of Inner Mongolia and an Identification of Driving Forces. Sustainability 2020, 12, 7964. [Google Scholar] [CrossRef]
- Asabere, S.B.; Acheampong, R.A.; Ashiagbor, G.; Beckers, S.C.; Keck, M.; Erasmi, S.; Schanze, J.; Sauer, D. Urbanization, land use transformation and spatio-environmental impacts: Analyses of trends and implications in major metropolitan regions of Ghana. Land Use Policy 2020, 96, 104707. [Google Scholar] [CrossRef]
- Liu, L.W.; Chen, X.R.; Chen, W.X.; Ye, X.Y. Identifying the Impact of Landscape Pattern on Ecosystem Services in the Middle Reaches of the Yangtze River Urban Agglomerations, China. Int. J. Environ. Res. Public Health 2020, 17, 5063. [Google Scholar] [CrossRef] [PubMed]
- Hao, R.; Yu, D.; Liu, Y.; Liu, Y.; Qiao, J.; Wang, X.; Du, J. Impacts of changes in climate and landscape pattern on ecosystem services. Sci. Total Environ. 2017, 579, 718–728. [Google Scholar] [CrossRef] [PubMed]
- Yohannes, H.; Soromessa, T.; Argaw, M.; Dewan, A. Impact of landscape pattern changes on hydrological ecosystem services in the Beressa watershed of the Blue Nile Basin in Ethiopia. Sci. Total Environ. 2021, 793, 148559. [Google Scholar] [CrossRef] [PubMed]
- Chen, Z.H.; Zhang, Q.X.; Li, F.; Shi, J.L. Comprehensive Evaluation of Land Use Benefit in the Yellow River Basin from 1995 to 2018. Land 2021, 10, 643. [Google Scholar] [CrossRef]
- Ren, Y.; Li, Z.H.; Li, J.N.; Ding, Y.; Miao, X.R. Analysis of Land Use/Cover Change and Driving Forces in the Selenga River Basin. Sensors 2022, 22, 1041. [Google Scholar] [CrossRef]
- Wei, L.Y.; Zhang, Y.J.; Wang, L.Z.; Mi, X.Y.; Wu, X.Y.; Cheng, Z.L. Spatiotemporal Evolution Patterns of “Production-Living-Ecological” Spaces and the Coordination Level and Optimization of the Functions in Jilin Province. Sustainability 2021, 13, 13192. [Google Scholar] [CrossRef]
- Zhao, Y.Q.; Cheng, J.H.; Zhu, Y.G.; Zhao, Y.P. Spatiotemporal Evolution and Regional Differences in the Production-Living-Ecological Space of the Urban Agglomeration in the Middle Reaches of the Yangtze River. Int. J. Environ. Res. Public Health 2021, 18, 12497. [Google Scholar] [CrossRef]
- Wei, C.; Lin, Q.W.; Yu, L.; Zhang, H.W.; Ye, S.; Zhang, D. Research on Sustainable Land Use Based on Production–Living–Ecological Function: A Case Study of Hubei Province, China. Sustainability 2021, 13, 996. [Google Scholar] [CrossRef]
- Zhang, Z.M.; Gao, J.F.; Gao, Y.N. The influences of land use changes on the value of ecosystem services in Chaohu Lake Basin, China. Environ. Earth Sci. 2015, 74, 385–395. [Google Scholar] [CrossRef]
- Fan, S.P.; Liu, Y.Z.; Chen, C.K.; Zhang, H.M.; Yu, R.; Lv, J. Land Use Change and Driving Mechanism in Rapid Urbanization Region-A Case Study at Chaohu River Basin. Bu. Soil Water Conserv. 2017, 37, 253–260. [Google Scholar]
- Zhang, L.; Fang, Y.; Cai, H.; Zhang, S.Q. Spatio-temporal heterogeneities in water quality and their potential drivers in Lake Chaohu (China) from 2001 to 2017. Ecohydrology 2021, 14, 2333. [Google Scholar] [CrossRef]
- Tang, Y.S.; Zhao, X.Y.; Jiao, J.L. Ecological security assessment of Chaohu Lake Basin of China in the context of River Chief System reform. Environ. Sci. Pollut. Res. Int. 2020, 27, 2773–2785. [Google Scholar] [CrossRef] [PubMed]
- Guo, B.B.; Jin, X.B.; Fang, Y.L.; Zhou, Y.K. Evaluation of Sustainable Regional Development Combining Remote Sensing Data and Ecological Constraints: A Case Study of Chaohu Basin, China. Sustainability 2020, 12, 9836. [Google Scholar] [CrossRef]
- Li, S.C.; Zhao, Y.L.; Xiao, W.; Zhang, H.Y. Spatial and Temporal Differentiation of Landscape Ecological Quality in Chaohu River Basin. Trans. Chin. Soc. Agric. Mach. 2020, 51, 203–213. [Google Scholar]
- Deng, Y.X.; Yang, R. Influence Mechanism of Production-Living-Ecological Space Changes in the Urbanization Process of Guangdong Province, China. Land 2021, 10, 1357. [Google Scholar] [CrossRef]
- Yang, Y.; Bao, W.; Li, Y.; Wang, Y.; Chen, Z. Land Use Transition and Its Eco-Environmental Effects in the Beijing–Tianjin–Hebei Urban Agglomeration: A Production–Living–Ecological Perspective. Land 2020, 9, 285. [Google Scholar] [CrossRef]
- Wen, M.X.; Zhang, T.; Li, L.; Chen, L.Q.; Hu, S.; Wang, J.; Liu, W.Q.; Zhang, Y.; Yuan, L.N. Assessment of Land Ecological Security and Analysis of Influencing Factors in Chaohu Lake Basin, China from 1998–2018. Sustainability 2021, 13, 358. [Google Scholar] [CrossRef]
- Li, H.; Hong, L. Spatio-temporal land use/land cover dynamics and its driving forces in the Mekong Basin using Landsat imageries from 1988 to 2017. Geocarto Int. 2022, 2089736, 1–23. [Google Scholar] [CrossRef]
- Zhang, S.L.; Guan, Z.L.; Liu, Y.; Zheng, F.M. Land Use/Cover Change and Its Relationship with Regional Development in Xixian New Area, China. Sustainability 2022, 14, 6889. [Google Scholar] [CrossRef]
- Zou, L.L.; Wang, J.Y.; Bai, M.D. Assessing spatial–temporal heterogeneity of China’s landscape fragmentation in 1980–2020. Ecol. Indic. 2022, 136, 108654. [Google Scholar] [CrossRef]
- Yang, H.F.; Zhong, X.N.; Deng, S.Q.; Nie, S.N. Impact of LUCC on landscape pattern in the Yangtze River Basin during 2001–2019. Ecol. Inform. 2022, 69, 101631. [Google Scholar] [CrossRef]
- Guo, X.; Ye, J.Z.; Hu, Y.F. Analysis of Land Use Change and Driving Mechanisms in Vietnam during the Period 2000–2020. Remote Sens. 2022, 14, 1600. [Google Scholar] [CrossRef]
- Liao, Q.H.; Zhang, X.P.; Zhao, H.; Liao, Y.L.; Li, P.; Liao, Y.C. Built Environment Factors (BEF) and Residential Land Carbon Emissions (RLCE). Buildings 2022, 12, 508. [Google Scholar] [CrossRef]
- Zhu, L.H.; Zhao, C.; Dai, J. Prediction of compressive strength of recycled aggregate concrete based on gray correlation analysis. Constr. Build. Mater. 2021, 273, 121750. [Google Scholar] [CrossRef]
- Cui, J.; Zhu, M.S.; Liang, Y.; Qin, G.J.; Li, J.; Liu, Y.H. Land Use/Land Cover Change and Their Driving Factors in the Yellow River Basin of Shandong Province Based on Google Earth Engine from 2000 to 2020. ISPRS Int. J. Geo-Inf. 2022, 11, 163. [Google Scholar] [CrossRef]
- Navarro Cerrillo, R.M.; Palacios Rodríguez, G.; Clavero Rumbao, I.; Lara, M.Á.; Bonet, F.J.; Mesas-Carrascosa, F.-J. Modeling Major Rural Land-Use Changes Using the GIS-Based Cellular Automata Metronamica Model: The Case of Andalusia (Southern Spain). ISPRS Int. J. Geo-Inf. 2020, 9, 458. [Google Scholar] [CrossRef]
- Sharma, G.; Sharma, L.K.; Sharma, K.C. Assessment of land use change and its effect on soil carbon stock using multitemporal satellite data in semiarid region of Rajasthan, India. Ecol. Processes 2019, 8, 42. [Google Scholar] [CrossRef]
- García-Ayllón, S. Predictive Diagnosis of Agricultural Periurban Areas Based on Territorial Indicators: Comparative Landscape Trends of the So-Called “Orchard of Europe”. Sustainability 2018, 10, 1820. [Google Scholar] [CrossRef]
- Haque, M.I.; Basak, R. Land cover change detection using GIS and remote sensing techniques: A spatio-temporal study on Tanguar Haor, Sunamganj, Bangladesh. Egypt. J. Remote Sens. Space Sci. 2017, 20, 251–263. [Google Scholar] [CrossRef]
- Bufebo, B.; Elias, E. Land Use/Land Cover Change and Its Driving Forces in Shenkolla Watershed, South Central Ethiopia. Sci. World J. 2021, 2021, 9470918. [Google Scholar] [CrossRef]
- Wu, J.S.; Zhang, D.N.; Wang, H.; Li, X.C. What is the future for production-living-ecological spaces in the Greater Bay Area? A multi-scenario perspective based on DEE. Ecol. Indic. 2021, 131, 108171. [Google Scholar] [CrossRef]
- Liu, H.Y.; Xiao, W.F.; Li, Q.; Tian, Y.; Zhu, J.H. Spatio-Temporal Change of Multiple Ecosystem Services and Their Driving Factors: A Case Study in Beijing, China. Forests 2022, 13, 260. [Google Scholar] [CrossRef]
- Liu, J.; Xu, Q.L.; Yi, J.H.; Huang, X. Analysis of the heterogeneity of urban expansion landscape patterns and driving factors based on a combined Multi-Order Adjacency Index and Geodetector model. Ecol. Indic. 2022, 136, 108655. [Google Scholar] [CrossRef]
- Li, H.Y.; Wang, J.Y.; Zhang, J.C.; Qin, F.; Hu, J.Y.; Zhou, Z. Analysis of Characteristics and Driving Factors of Wetland Landscape Pattern Change in Henan Province from 1980 to 2015. Land 2021, 10, 564. [Google Scholar] [CrossRef]
- Chen, X.H.; Xu, X.Q.; Liu, Y.J.; Wang, Y.; Zhang, M.X.; Ma, L.Y.; Liu, S. Patterns and Driving Forces of the Temporal-Spatial Evolution of Urban Vulnerability in Harbin-Changchun Urban Agglomeration based on the production-living-ecological Spatial Quality. Acta Ecol. Sin. 2022, 42, 1–11. [Google Scholar]
- Jia, Q. Pattern evolution and eco-environmental effects of “production, life and ecology” space in mountainous counties: Taking Dengfeng City in western Henan Province as an example. J. China Agric. Univ. 2021, 26, 191–203. [Google Scholar]











| Data Type | Data Name | Native Resolution | Year | Data Source | Note |
|---|---|---|---|---|---|
| Basic data | Chaohu Lake Basin Boundary | - | 2020 | Refer to previous literature | - |
| Land use data | 30 m | 2000 2010 2020 | Resource and Environmental Science Data Center, Chinese Academy of Sciences, http://www.resdc.cn (accessed on 05 December 2021) | Cropped with Chao Lake Basin vector border | |
| Natural Factors | Annual precipitation (X1) | - | 2000 2010 2020 | Data Summary of China’s Surface Climate Data (V3.0), https://data.cma.cn/ (accessed on 05 December 2021) | Meteorological stations were collected and 30 m spatial raster data were Generated using IDW interpolation in GIS |
| Average temperature (X2) | |||||
| DEM (X3) | 30 m | - | Geospatial Data Cloud http://www.gscloud.cn/ (accessed on 05 December 2021) | Cropped with Chao Lake Basin vector border | |
| Slope (X4) | 30 m | - | - | Slope Analysis in GIS Based on DEM Data | |
| Socioeconomic Data | GDP (X5), GDP per capita (X6), Primary industry value (X7), Secondary industry value (X8), Tertiary industry value (X9), urban population (X10), total population (X11), urbanization rate (X12), Gross output value of agriculture, forestry, animal husbandry and fishery (X13) | - | 2000 2010 2020 | Statistical Yearbook of counties and cities in Chaohu Lake Basin from 2001 to 2021 | Due to the lack of some statistical yearbook data in Jin’an District, Lu’an City, the driving factor data discussed in this study did not include Jin’an District. |
| Primary Classification | Secondary Classification | Corresponding Land Use Type |
|---|---|---|
| Production space | Agricultural Production Space (APS) | Paddy field, dry land |
| Industrial Production Space (IPS) | Other construction land | |
| Living space | Urban Living Space (ULS) | Urban land |
| Rural Living Space (RLS) | Rural settlement | |
| Ecological space | Green Ecological Space (GES) | Woodland, shrub forest, sparse woodland, other woodland, (high, medium, low) coverage grassland, bare land, bare rock texture |
| Water Ecological Space (WES) | Canals, lakes, reservoirs, ponds, beaches |
| Level | Landscape Pattern Index | Abbreviation/Unit | Ecological Significance |
|---|---|---|---|
| Class | number of patches | NP/number | Used to describe the heterogeneity of the whole landscape, and its value has a good positive correlation with the fragmentation of the landscape. |
| patch density | PD/(per 100 hm2) | Indicating the degree of fragmentation of a certain type, reflecting the heterogeneity in the unit area of the landscape. | |
| perimeter area fractal dimension | PAFRAC | To a certain extent, it reflects the interference degree of human activities. When the index value is smaller, that is, it tends to 1, indicating that the shape of the patches in the landscape is relatively simple, and the degree of interference by human activities is small. The greater tending to 2, the more complicated and the higher degree of interference by human activities. | |
| patch area mean | AREA_MN/hm2 | Indicating the fragmentation degree of the landscape, and the smaller value the more fragmented, which is the key to reflect the heterogeneity of the landscape. | |
| aggregation index | AI/% | The connectivity between the patches of landscape type, the smaller the value, the more discrete the landscape. | |
| interspersion juxtaposition index | IJI/% | A small value indicating that the patch type is only adjacent to a few other types; IJI = 100 indicates that the adjacent side lengths between each patch are equal, that is, the adjacent probability between each patch is equal. | |
| Landscape | number of patches | NP/number | Used to describe the heterogeneity of the whole landscape, and its value has a good positive correlation with the fragmentation of the landscape. |
| splitting index | SPLIT | The larger the value, the more fragmented the landscape and the scattered distribution. | |
| largest patch index | LPI/% | Helping to determine the pattern or dominant type of the landscape, etc. Its value determines ecological characteristics such as the abundance of dominant species and internal species in the landscape; the change of its value can reflect the intensity and frequency of disturbance, and the direction and strength of human activities. | |
| contiguity index | CONTAG/% | Indicates the degree of aggregation or extension of different patch types. A high value indicates that a certain dominant patch type in the landscape is well connected; otherwise, it indicates that the landscape is a dense pattern with multiple elements, and the landscape has a high degree of fragmentation. | |
| Shannon’s diversity index | SHDI | Indicating that the richer the land use types, and the higher the degree of fragmentation, and the greater the information content of its uncertainty. | |
| Shannon’s evenness index | SHEI | When the value is small, the dominance degree is generally high, which can reflect that the landscape is dominated by one or a few dominant patch types; when the value approaches 1, the dominance degree is low, indicating that the landscape has no obvious dominant type and the patch types are uniform distributed.in the landscape. |
| Initial Eigenvalues | Extraction Sums of Squared Loadings | Rotation Sums of Squared Loadings | ||||
|---|---|---|---|---|---|---|
| Percentage of Variance | Cumulative Contribution Rate % | Percentage of Variance | Cumulative Contribution Rate % | Percentage of Variance | Cumulative Contribution Rate % | |
| 2000 | 57.911 | 57.911 | 57.911 | 57.911 | 54.589 | 54.589 |
| 18.806 | 76.717 | 18.806 | 76.717 | 20.359 | 74.948 | |
| 13.690 | 90.407 | 13.690 | 90.407 | 15.459 | 90.407 | |
| 2010 | 64.759 | 64.759 | 64.759 | 64.759 | 62.719 | 62.719 |
| 16.053 | 80.812 | 16.053 | 80.812 | 16.582 | 79.301 | |
| 14.460 | 95.272 | 14.460 | 95.272 | 15.971 | 95.272 | |
| 2020 | 67.301 | 67.301 | 67.301 | 67.301 | 63.262 | 63.262 |
| 18.988 | 86.290 | 18.988 | 86.290 | 16.617 | 79.879 | |
| 9.076 | 95.365 | 9.076 | 95.365 | 15.487 | 95.365 | |
| Serial Number | Indicating Factors | 2000 | 2010 | 2020 | ||||||
|---|---|---|---|---|---|---|---|---|---|---|
| F1 | F2 | F3 | F1 | F2 | F3 | F1 | F2 | F3 | ||
| X1 | Annual precipitation | 0.947 | −0.183 | −0.165 | 0.988 | −0.078 | −0.088 | 0.952 | 0.270 | −0.064 |
| X2 | Annual temperature | 0.658 | 0.216 | −0.051 | 0.988 | −0.077 | −0.118 | −0.529 | 0.694 | 0.041 |
| X3 | Average DEM | −0.167 | −0.082 | 0.943 | −0.196 | −0.119 | 0.906 | −0.155 | −0.057 | 0.984 |
| X4 | Average slope | −0.084 | 0.026 | 0.978 | −0.151 | 0.053 | 0.974 | −0.272 | 0.355 | 0.888 |
| X5 | GDP | 0.875 | 0.456 | −0.139 | 0.969 | 0.211 | −0.105 | 0.980 | 0.095 | −0.155 |
| X6 | GDP per capita | 0.974 | −0.105 | −0.169 | 0.99 | 0.031 | −0.068 | 0.972 | 0.159 | −0.165 |
| X7 | primary industry value | −0.056 | 0.991 | −0.026 | −0.086 | 0.993 | 0.041 | −0.407 | −0.880 | −0.126 |
| X8 | secondary industry value | 0.944 | 0.283 | −0.134 | 0.97 | 0.201 | −0.111 | 0.964 | 0.001 | −0.177 |
| X9 | tertiary industry value | 0.94 | 0.278 | −0.159 | 0.986 | 0.115 | −0.105 | 0.977 | 0.141 | −0.143 |
| X10 | Urban population | 0.903 | 0.397 | −0.105 | 0.943 | 0.292 | −0.12 | 0.975 | 0.160 | −0.125 |
| X11 | Total population | 0.182 | 0.979 | −0.014 | 0.271 | 0.946 | −0.062 | 0.975 | 0.132 | −0.111 |
| X12 | urbanization rate | 0.976 | −0.154 | −0.104 | 0.991 | −0.052 | −0.111 | 0.898 | −0.040 | −0.307 |
| X13 | Gross output of agriculture, forestry, animal husbandry and fishery | −0.662 | 0.248 | −0.145 | −0.594 | −0.244 | −0.463 | −0.526 | −0.776 | −0.099 |
Publisher’s Note: MDPI stays neutral with regard to jurisdictional claims in published maps and institutional affiliations. |
© 2022 by the authors. Licensee MDPI, Basel, Switzerland. This article is an open access article distributed under the terms and conditions of the Creative Commons Attribution (CC BY) license (https://creativecommons.org/licenses/by/4.0/).
Share and Cite
Zhang, R.; Li, S.; Wei, B.; Zhou, X. Characterizing Production–Living–Ecological Space Evolution and Its Driving Factors: A Case Study of the Chaohu Lake Basin in China from 2000 to 2020. ISPRS Int. J. Geo-Inf. 2022, 11, 447. https://doi.org/10.3390/ijgi11080447
Zhang R, Li S, Wei B, Zhou X. Characterizing Production–Living–Ecological Space Evolution and Its Driving Factors: A Case Study of the Chaohu Lake Basin in China from 2000 to 2020. ISPRS International Journal of Geo-Information. 2022; 11(8):447. https://doi.org/10.3390/ijgi11080447
Chicago/Turabian StyleZhang, Ruyi, Songnian Li, Baojing Wei, and Xu Zhou. 2022. "Characterizing Production–Living–Ecological Space Evolution and Its Driving Factors: A Case Study of the Chaohu Lake Basin in China from 2000 to 2020" ISPRS International Journal of Geo-Information 11, no. 8: 447. https://doi.org/10.3390/ijgi11080447
APA StyleZhang, R., Li, S., Wei, B., & Zhou, X. (2022). Characterizing Production–Living–Ecological Space Evolution and Its Driving Factors: A Case Study of the Chaohu Lake Basin in China from 2000 to 2020. ISPRS International Journal of Geo-Information, 11(8), 447. https://doi.org/10.3390/ijgi11080447

