Identification of Metropolitan Area Boundaries Based on Comprehensive Spatial Linkages of Cities: A Case Study of the Beijing–Tianjin–Hebei Region
Abstract
:1. Introduction
- (1)
- Construction of urban spatial linkage networks (USLNs). Based on the actual state of comprehensive urban development in each district and county in the study area, we measure inter-city linkages and construct an urban spatial connection network.
- (2)
- Metropolitan area boundary delineation. We delineate urban spatial linkage networks into multiple clusters and map them to geospatial units using community detection algorithms.
- (3)
- Assessment of delineated results. We conduct qualitative and quantitative assessment of the reliability of the boundary delineation results in terms of spatial structure rationality and isochrone map overlay analysis and then appraise the development status of each metropolitan area.
2. Materials and Methods
2.1. Study Area
2.2. Data Sources
- (1)
- Statistical data. We collected socioeconomic and demographic data from each district and county in the Beijing–Tianjin–Hebei region in 2019 to construct GDP, population density, and other indicators to quantitatively evaluate the level of urban economic development, with data from the Beijing Regional Statistics Yearbook, Tianjin Statistical Yearbook, and Hebei Statistical Yearbook, as well as district statistical bulletins to supplement some of the missing data.
- (2)
- Geographic information data. We used “Basic Geographic Country Monitoring Data” to represent the research area’s surface cover, which included forest and grass cover, buildings, roads, waterways, and other types of surface cover elements that reflect the natural properties or conditions of natural and artificial structures on the ground [53]. These data provide higher resolution than other land cover data, allowing them to more precisely reflect the real land-use situation in the study area and improve the accuracy and credibility of analysis and research.
- (3)
- Remote sensing data. In this study, nighttime lighting data were utilized to evaluate the regional socio-economic condition, and the CHAP dataset was used to characterize the atmospheric environment. Nighttime lighting data were sourced from the Colorado School of Mines EOG group website (https://eogdata.mines.edu/products/vnl/, accessed on 29 July 2021). The data source was version2 of the 2019 annual product. Compared to the initial version of the annual synthesis data, the version2 data can more accurately reflect the urban economy [54]. The CHAP dataset is generated from the perspective of spatial and temporal heterogeneous characteristics of atmospheric pollution, combining rich ground-based observation data, satellite remote sensing products, atmospheric reanalysis, and model simulation [55]. In our research, the air quality conditions in the Beijing–Tianjin–Hebei region were described using 1 km-scale PM2.5 data from 2019.
3. Methods
3.1. Method for the Construction of an Urban Spatial Linkages Network
3.1.1. Measurement of Urban Quality
3.1.2. Measurement of Urban Linkages
3.2. Community Detection
3.3. Validation of the Results
3.3.1. Isochrone Map Method
- Transportation accessibility evaluation
- Accuracy evaluation method
3.3.2. Rationality of the “Central-Peripheral” Structure
- Weighted Degree Centrality
- Closeness Centrality
- Betweenness Centrality
- Eigenvector Centrality
- PageRank
- Comprehensive evaluation of urban centrality
4. Results
4.1. Urban Spatial Linkages Networks Construction
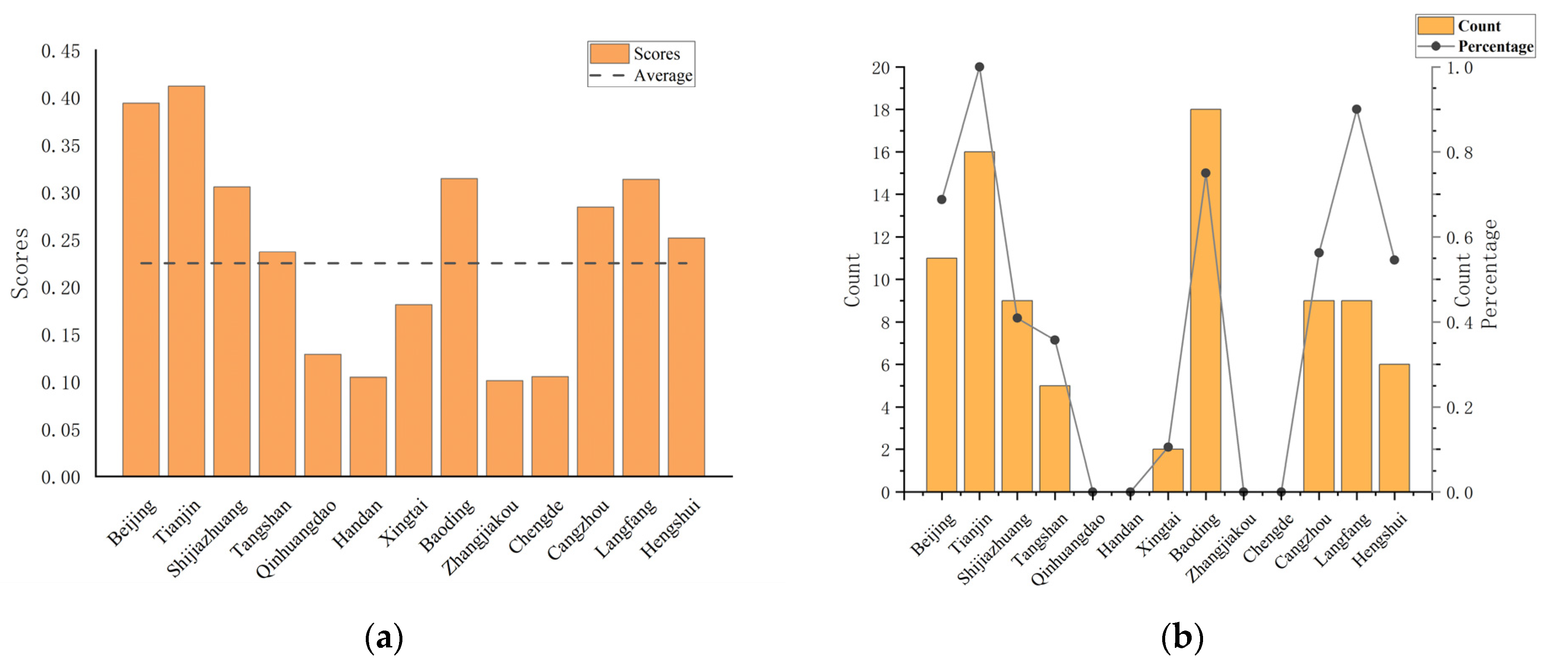
4.1.1. Urban Quality of the BTH Region
4.1.2. Analysis of the Connection Linkage of USLNs
4.2. The BTH Metropolitan Area Identification Results
4.2.1. The Overall Visualized Identification Results
4.2.2. Linkages within Each Metropolitan Area
4.3. Validation of Results
4.3.1. Transportation Accessibility Evaluation
4.3.2. Accuracy Evaluation Method
4.3.3. Spatial Structure of the Metropolitan Area
5. Discussion
5.1. Factors Influencing Metropolitan Area Boundaries
5.2. The Status of the BTH Coordinated Development
5.3. Limits and Prospects
6. Conclusions
Author Contributions
Funding
Institutional Review Board Statement
Informed Consent Statement
Data Availability Statement
Conflicts of Interest
References
- Antrop, M. Landscape change and the urbanization process in Europe. Landsc. Urban Plan. 2004, 67, 9–26. [Google Scholar] [CrossRef]
- Kuang, W.; Liu, J.; Dong, J.; Chi, W.; Zhang, C. The rapid and massive urban and industrial land expansions in China between 1990 and 2010: A CLUD-based analysis of their trajectories, patterns, and drivers. Landsc. Urban Plan. 2016, 145, 21–33. [Google Scholar] [CrossRef]
- Xu, H.; Jiao, M. City size, industrial structure and urbanization quality—A case study of the Yangtze River Delta urban agglomeration in China. Land Use Policy 2021, 111, 105735. [Google Scholar] [CrossRef]
- Zou, L.; Liu, Y.; Wang, J.; Yang, Y.; Wang, Y. Land use conflict identification and sustainable development scenario simulation on China’s southeast coast. J. Clean. Prod. 2019, 238, 117899. [Google Scholar] [CrossRef]
- Ma, W.; Jiang, G.; Chen, Y.; Qu, Y.; Zhou, T.; Li, W. How feasible is regional integration for reconciling land use conflicts across the urban–rural interface? Evidence from Beijing–Tianjin–Hebei metropolitan region in China. Land Use Policy 2020, 92, 104433. [Google Scholar] [CrossRef]
- McDonald, R.I.; Green, P.; Balk, D.; Fekete, B.M.; Revenga, C.; Todd, M.; Montgomery, M. Urban growth, climate change, and freshwater availability. Proc. Natl. Acad. Sci. USA 2011, 108, 6312–6317. [Google Scholar] [CrossRef] [PubMed] [Green Version]
- Brezzi, M. Redefining “Urban”: A New Way to Measure Metropolitan Areas; OECD: Paris, France, 2012. [Google Scholar]
- Klove, R.C. The definition of standard metropolitan areas. Econ. Geogr. 1952, 28, 95–104. [Google Scholar] [CrossRef]
- Tan, Z. The Formation, Problems and its Countermeasure of Tokyo Megalopolis: A Lesson to Beijing. Urban Plan. Overseas 2000, 2, 8–11+43. [Google Scholar]
- Zhou, Y. Urban Geography; The Commercial Press: Beijing, China, 1995. [Google Scholar]
- Ning, Y. Definition of Chinese Metropolitan Areas and Large Urban Agglomerations:Role of Large Urban Agglomerations in Regional Development. Sci. Geogr. Sin. 2011, 31, 257–263. [Google Scholar] [CrossRef]
- Gao, X.; Xu, Z.; Niu, F. Delineating the scope of urban agglomerations based upon the Pole-Axis theory. Prog. Geogr. 2015, 34, 280–289. [Google Scholar] [CrossRef]
- Chen, S.; Huang, J. Review of range recognition research on urban agglomerations. Prog. Geogr. 2015, 34, 313–320. [Google Scholar] [CrossRef]
- Wang, C.; Hao, Z.; Yao, S.; Ding, Q. Study on the hinterland area of center cities in urban agglomerations era—A case study of jinan. Hum. Geogr. 2012, 27, 78–82. [Google Scholar] [CrossRef]
- Gottmann, J. Megalopolis or the Urbanization of the Northeastern Seaboard. Urban Plan. Int. 1957, 33, 189–200. [Google Scholar] [CrossRef]
- Yu, T.; Wu, Z. Boundary analysis of the Yangtze delta megalopolis region. Resour. Environ. Yangtze Basin 2005, 14, 397–403. [Google Scholar]
- Bode, E. Delineating metropolitan areas using land prices. J. Reg. Sci. 2010, 48, 131–163. [Google Scholar] [CrossRef]
- Bedessem, B.; Gawrońska-Nowak, B.; Lis, P. Can citizen science increase trust in research? A case study of delineating Polish metropolitan areas. J. Contemp. Eur. Res. 2021, 17, 304–325. [Google Scholar] [CrossRef]
- Huff, D.L.; Lutz, J.M. Change and Continuity in the Irish Urban System, 1966–1981. Urban Stud. 1995, 32, 155–174. [Google Scholar] [CrossRef]
- Huff, D.L.; Lutz, J.M. Urban spheres influence in Ghana. J. Dev. Areas 1989, 23, 201–220. [Google Scholar]
- Abedini, A.; Ebrahimkhani, H.; Abedini, B. Mixed Method Approach to Delineation of Functional Urban Regions: Shiraz Metropolitan Region. J. Urban Plan. Dev. 2016, 142, 04016001. [Google Scholar] [CrossRef]
- Mu, L.; Wang, X. Population landscape: A geometric approach to studying spatial patterns of the US urban hierarchy. Int. J. Geogr. Inf. Sci. 2006, 20, 649–667. [Google Scholar] [CrossRef]
- Liang, S. Research on the Urban Influence Domains in China. Int. J. Geogr. Inf. Sci. 2009, 23, 1527–1539. [Google Scholar] [CrossRef]
- Li, K.; Niu, X. Delineation of the Shanghai Megacity Region of China from a Commuting Perspective: Study Based on Cell Phone Network Data in the Yangtze River Delta. J. Urban Plan. Dev. 2021, 147, 04021022. [Google Scholar] [CrossRef]
- Duranton, G. Delineating Metropolitan Areas: Measuring Spatial Labour Market Networks through Commuting Patterns. Econ. Interfirm Netw. 2015, 127, 107–133. [Google Scholar] [CrossRef]
- Bosker, M.; Park, J.; Roberts, M. Definition matters. Metropolitan areas and agglomeration economies in a large-developing country. J. Urban Econ. 2021, 125, 103275. [Google Scholar] [CrossRef]
- Wang, D.; Gu, J.; Yan, L. Delimiting the Shanghai metropolitan area using mobile phone data. Acta Geogr. Sin. 2018, 73, 1896–1909. [Google Scholar]
- Wu, J.; Feng, Z.; Zhang, X.; Xu, Y.; Peng, J. Delineating urban hinterland boundaries in the Pearl River Delta: An approach integrating toponym co-occurrence with field strength model. Cities 2020, 96, 102457. [Google Scholar] [CrossRef]
- Lv, Y.; Zhou, L.; Yao, G.; Zheng, X. Detecting the true urban polycentric pattern of Chinese cities in morphological dimensions: A multiscale analysis based on geospatial big data. Cities 2021, 116, 103298. [Google Scholar] [CrossRef]
- Zhen, F.; Cao, Y.; Qin, X.; Wang, B. Delineation of an urban agglomeration boundary based on Sina Weibo microblog ‘check-in’ data: A case study of the Yangtze River Delta. Cities 2017, 60, 180–191. [Google Scholar] [CrossRef]
- Dingel, J.I.; Miscio, A.; Davis, D.R. Cities, lights, and skills in developing economies. J. Urban Econ. 2021, 125, 103174. [Google Scholar] [CrossRef]
- He, X.; Yuan, X.; Zhang, D.; Zhang, R.; Li, M.; Zhou, C. Delineation of Urban Agglomeration Boundary Based on Multisource Big Data Fusion—A Case Study of Guangdong–Hong Kong–Macao Greater Bay Area (GBA). Remote Sens. 2021, 13, 1801. [Google Scholar] [CrossRef]
- Moreno-Monroy, A.I.; Schiavina, M.; Veneri, P. Metropolitan areas in the world. Delineation and population trends. J. Urban Econ. 2021, 125, 103242. [Google Scholar] [CrossRef]
- Fragkias, M.; Seto, K.C. Evolving rank-size distributions of intra-metropolitan urban clusters in South China. Comput. Environ. Urban Syst. 2009, 33, 189–199. [Google Scholar] [CrossRef]
- Khalili, A.; Besselaar, P.; Graaf, K. Using Linked Open Geo Boundaries for Adaptive Delineation of Functional Urban Areas. In Proceedings of the ESWC 2018 Satellite Events, Heraklion, Greece, 3–7 June 2018; Revised Selected Papers. Springer: Cham, Switzerland, 2018; Volume 11155, pp. 327–341. [Google Scholar] [CrossRef]
- Veneri, P. The identification of sub-centres in two Italian metropolitan areas: A functional approach. Cities 2013, 31, 177–185. [Google Scholar] [CrossRef] [Green Version]
- Batty, M. The New Science of Cities; MIT Press: Cambridge, MA, USA, 2013. [Google Scholar]
- Pflieger, G.; Rozenblat, C. Introduction. Urban Networks and Network Theory: The City as the Connector of Multiple Networks. Urban Stud. 2010, 47, 2723–2735. [Google Scholar] [CrossRef] [Green Version]
- Jin, R.; Gong, J.; Deng, M.; Wan, Y.; Yang, X. A Framework for Spatiotemporal Analysis of Regional Economic Agglomeration Patterns. Sustainability 2018, 10, 2800. [Google Scholar] [CrossRef] [Green Version]
- Sun, Q.; Tang, F.; Tang, Y. An economic tie network-structure analysis of urban agglomeration in the middle reaches of Changjiang River based on SNA. J. Geogr. Sci. 2015, 25, 739–755. [Google Scholar] [CrossRef] [Green Version]
- Liu, Y.; Liao, W. Spatial Characteristics of the Tourism Flows in China: A Study Based on the Baidu Index. ISPRS Int. J. Geo-Inf. 2021, 10, 378. [Google Scholar] [CrossRef]
- Yang, Z.; Gao, W.; Zhao, X.; Hao, C.; Xie, X. Spatiotemporal Patterns of Population Mobility and Its Determinants in Chinese Cities Based on Travel Big Data. Sustainability 2020, 12, 4012. [Google Scholar] [CrossRef]
- Ren, M.; Xiao, Z.; Wang, J. Spatial pattern of intercity less-than-truckload logistics networks in China. Acta Geogr. Sin. 2020, 75, 820–832. [Google Scholar]
- Sarkar, S.; Wu, H.; Levinson, D. Measuring polycentricity via network flows, spatial interaction and percolation. Urban Stud. 2020, 57, 2402–2422. [Google Scholar] [CrossRef]
- Liu, Y.; Sui, Z.; Kang, C.; Gao, Y. Uncovering patterns of inter-urban trip and spatial interaction from social media check-in data. PLoS ONE 2014, 9, e86026. [Google Scholar] [CrossRef] [PubMed]
- Zhang, Y.; Marshall, S.; Cao, M.; Manley, E.; Chen, H. Discovering the evolution of urban structure using smart card data: The case of London. Cities 2021, 112, 103157. [Google Scholar] [CrossRef]
- Zhou, M.; Yue, Y.; Li, Q.; Wang, D. Portraying Temporal Dynamics of Urban Spatial Divisions with Mobile Phone Positioning Data: A Complex Network Approach. ISPRS Int. J. Geo-Inf. 2016, 5, 240. [Google Scholar] [CrossRef] [Green Version]
- Wu, C.; Smith, D.; Wang, M. Simulating the urban spatial structure with spatial interaction: A case study of urban polycentricity under different scenarios. Comput. Environ. Urban Syst. 2021, 89, 101677. [Google Scholar] [CrossRef]
- Jin, M.; Gong, L.; Cao, Y.; Zhang, P.; Gong, Y.; Liu, Y. Identifying borders of activity spaces and quantifying border effects on intra-urban travel through spatial interaction network. Comput. Environ. Urban Syst. 2021, 87, 101625. [Google Scholar] [CrossRef]
- Yin, J.; Soliman, A.; Yin, D.; Wang, S. Depicting urban boundaries from a mobility network of spatial interactions: A case study of Great Britain with geo-located Twitter data. Int. J. Geogr. Inf. Sci. 2017, 31, 1293–1313. [Google Scholar] [CrossRef] [Green Version]
- Hong, Y.; Yao, Y. Hierarchical community detection and functional area identification with OSM roads and complex graph theory. Int. J. Geogr. Inf. Sci. 2019, 33, 1569–1587. [Google Scholar] [CrossRef]
- Hu, Y.; Peng, J.; Liu, Y.; Du, Y.; Li, H.; Wu, J. Mapping Development Pattern in Beijing-Tianjin-Hebei Urban Agglomeration Using DMSP/OLS Nighttime Light Data. Remote Sens. 2017, 9, 760. [Google Scholar] [CrossRef] [Green Version]
- Mao, W.; Zhao, H.; Gao, W.; Tu, H.; Xu, Y. Research on Quality Control Method of Land Cover Classification Data Oriented to National Geographic Condition Monitoring. ISPRS Ann. Photogramm. Remote Sens. Spat. Inf. Sci. 2021, 3, 265–269. [Google Scholar] [CrossRef]
- Elvidge, C.D.; Zhizhin, M.; Ghosh, T.; Hsu, F.-C.; Taneja, J. Annual Time Series of Global VIIRS Nighttime Lights Derived from Monthly Averages: 2012 to 2019. Remote Sens. 2021, 13, 922. [Google Scholar] [CrossRef]
- Wei, J.; Li, Z.; Lyapustin, A.; Sun, L.; Peng, Y.; Xue, W.; Su, T.; Cribb, M. Reconstructing 1-km-resolution high-quality PM2.5 data records from 2000 to 2018 in China: Spatiotemporal variations and policy implications. Remote Sens. Environ. 2021, 252, 112136. [Google Scholar] [CrossRef]
- Tan, F.; Lu, Z. Interaction characteristics and development pattern of sustainability system in BHR (Bohai Rim) and YRD (Yangtze River) regions, China. Ecol. Inform. 2015, 30, 29–39. [Google Scholar] [CrossRef]
- Cui, X.; Fang, C.; Liu, H.; Liu, X. Assessing sustainability of urbanization by a coordinated development index for an Urbanization-Resources-Environment complex system: A case study of Jing-Jin-Ji region, China. Ecol. Indic. 2019, 96, 383–391. [Google Scholar] [CrossRef]
- Li, Y.; Li, Y.; Zhou, Y.; Shi, Y.; Zhu, X. Investigation of a coupling model of coordination between urbanization and the environment. J. Environ. Manag. 2012, 98, 127–133. [Google Scholar] [CrossRef] [PubMed]
- Wang, X.; Wang, J.; Wu, D. Spatial development of the Beijing-Tianjin-Hebei urban agglomeration from the perspective of traffic-industry coupling relation. Prog. Geogr. 2018, 37, 1231–1244. [Google Scholar] [CrossRef]
- Chen, Y.; Yu, J.; Khan, S. The spatial framework for weight sensitivity analysis in AHP-based multi-criteria decision making. Environ. Model. Softw. 2013, 48, 129–140. [Google Scholar] [CrossRef]
- Zipf, G.K. The P1 P2/D hypothesis: On the intercity movement of persons. Am. Sociol. Rev. 1946, 11, 677–686. [Google Scholar] [CrossRef]
- Liu, Z.; Mu, R.; Hu, S.; Li, M.; Wang, L. The Method and Application of Graphic Recognition of the Social Network Structure of Urban Agglomeration. Wirel. Per. Commun. 2018, 103, 447–480. [Google Scholar] [CrossRef]
- Ullman, E.L. American Commodity Flow; University of Washington Press: Seattle, WA, USA, 1957. [Google Scholar]
- Dejean, S. The role of distance and social networks in the geography of crowdfunding: Evidence from France. Reg. Stud. 2019, 54, 329–339. [Google Scholar] [CrossRef]
- Girvan, M.; Newman, M.E.J. Community structure in social and biological networks. Proc. Natl. Acad. Sci. USA 2002, 99, 7821. [Google Scholar] [CrossRef] [Green Version]
- Lancichinetti, A.; Fortunato, S.; Radicchi, F. Benchmark graphs for testing community detection algorithms. Phys. Rev. E 2008, 78, 046110. [Google Scholar] [CrossRef] [PubMed] [Green Version]
- Rosvall, M.; Bergstrom, C.T. Maps of random walks on complex networks reveal community structure. Proc. Natl. Acad. Sci. USA 2008, 105, 1118. [Google Scholar] [CrossRef] [PubMed] [Green Version]
- Chen, W.; Liu, W.; Ke, W.; Wang, N. Understanding spatial structures and organizational patterns of city networks in China: A highway passenger flow perspective. J. Geogr. Sci. 2018, 28, 477–494. [Google Scholar] [CrossRef] [Green Version]
- Zhong, C.; Arisona, S.M.; Huang, X.; Batty, M.; Schmitt, G. Detecting the dynamics of urban structure through spatial network analysis. Int. J. Geogr. Inf. Sci. 2014, 28, 2178–2199. [Google Scholar] [CrossRef]
- Guidance on Fostering the Development of Modern Metropolitan Areas; National Development and Reform Commission: Beijing, China, 2019.
- Newman, M.E.J. Networks: An Introduction; Oxford University Press: Oxford, UK, 2010. [Google Scholar] [CrossRef] [Green Version]
- Freeman, L.C. Centrality in social networks conceptual clarification. Soc. Netw. 1978, 1, 215–239. [Google Scholar] [CrossRef] [Green Version]
- Freeman, L.C. A set of measures of centrality based on betweenness. Sociometry 1977, 40, 35–41. [Google Scholar] [CrossRef]
- Pan, F.; Hall, S.; Zhang, H. The spatial dynamics of financial activities in Beijing: Agglomeration economies and urban planning. Urban Geogr. 2019, 41, 849–864. [Google Scholar] [CrossRef]
- Tsekeris, T. Rank-size distribution of urban employment in labour market areas. Cities 2019, 95, 102472. [Google Scholar] [CrossRef]














| Target Layer | Guideline Layer | Indicator Layer | Unit | Indicator Meaning | Number |
|---|---|---|---|---|---|
| Integrated urban quality | Economic capability | GDP | 10,000 Yuan | Regional economic power | X1 |
| The percentage of the added value of the tertiary industry of GDP | % | Industrial and economic structure | X2 | ||
| per capita GDP | Yuan | Living levels of residents | X3 | ||
| NTL data averages | / | Level of economic development | X4 | ||
| General public budget revenues | 10,000 Yuan | Regional financial strength | X5 | ||
| General public budget expenditure | 10,000 Yuan | Regional financial strength | X6 | ||
| Population capability | Resident population | 10,000 people | Population scale | X7 | |
| Urbanization rate | % | Urban development potential | X8 | ||
| Population density | people/km2 | Population growth potential | X9 | ||
| Social capability | Science and technology expenditure in the general public budget expenditure | 10,000 Yuan | Technological development level | X10 | |
| Education expenditure in the general public budget expenditure | 10,000 Yuan | Educational development level | X11 | ||
| Disposable income per urban resident | Yuan | Living levels of residents | X12 | ||
| Length of road per capita | m/people | Convenience of transportation | X13 | ||
| Road network density | km/km2 | Level of infrastructure | X14 | ||
| Number of health facilities per 10,000 people | Institute/10,000 people | Level of health services | X18 | ||
| Number of schools per 10,000 people | Institute/10,000 people | Level of education | X19 | ||
| Percentage of built-up area | % | Land development intensity | X16 | ||
| Environmental capability | PM2.5 concentration in the air | μg/m3 | Air quality level | X17 | |
| Ecological space area | km2 | Environmental quality level | X15 | ||
| Open space area per capita | people/km2 | Standard of living of the population | X20 |
| Spatial Objects | Roads | Blank Area | |||
|---|---|---|---|---|---|
| National Road | Provincial Roads | County Roads | Urban Roads | Land | |
| Speed (km/h) | 90 | 60 | 60 | 60 | 10 |
| Name | Overlap Area (km2) | Isochrone Map Area (km2) | AC (%) |
|---|---|---|---|
| Baoding MA | 9216.87 | 10,836.17 | 85.06% |
| CangHeng MA | 15,440.11 | 19,715.84 | 78.31% |
| JingJinLang MA | 28,113.72 | 42,420.48 | 66.27% |
| Shijiazhuang MA | 9429.71 | 11,035.74 | 85.45% |
| TangQin MA | 12,385.44 | 14,278.10 | 86.74% |
| XingHan MA | 14,861.90 | 15,069.56 | 98.62% |
| Composition | Initial Eigenvalue | Component Score | ||||||
|---|---|---|---|---|---|---|---|---|
| Sum | Variance Percentage | Cumulative % | D | CC | BC | EC | PR | |
| 1 | 3.060 | 61.204 | 61.204 | 0.716 | 0.886 | 0.884 | 0.631 | 0.764 |
| 2 | 1.078 | 21.551 | 82.755 | −0.539 | 0.332 | 0.034 | 0.672 | −0.474 |
| 3 | 0.404 | 8.074 | 90.829 | |||||
| 4 | 0.339 | 6.782 | 97.610 | |||||
| 5 | 0.119 | 2.390 | 100.000 | |||||
Publisher’s Note: MDPI stays neutral with regard to jurisdictional claims in published maps and institutional affiliations. |
© 2022 by the authors. Licensee MDPI, Basel, Switzerland. This article is an open access article distributed under the terms and conditions of the Creative Commons Attribution (CC BY) license (https://creativecommons.org/licenses/by/4.0/).
Share and Cite
Zhang, X.; Wang, H.; Ning, X.; Zhang, X.; Liu, R.; Wang, H. Identification of Metropolitan Area Boundaries Based on Comprehensive Spatial Linkages of Cities: A Case Study of the Beijing–Tianjin–Hebei Region. ISPRS Int. J. Geo-Inf. 2022, 11, 396. https://doi.org/10.3390/ijgi11070396
Zhang X, Wang H, Ning X, Zhang X, Liu R, Wang H. Identification of Metropolitan Area Boundaries Based on Comprehensive Spatial Linkages of Cities: A Case Study of the Beijing–Tianjin–Hebei Region. ISPRS International Journal of Geo-Information. 2022; 11(7):396. https://doi.org/10.3390/ijgi11070396
Chicago/Turabian StyleZhang, Xiaoyuan, Hao Wang, Xiaogang Ning, Xiaoyu Zhang, Ruowen Liu, and Huibing Wang. 2022. "Identification of Metropolitan Area Boundaries Based on Comprehensive Spatial Linkages of Cities: A Case Study of the Beijing–Tianjin–Hebei Region" ISPRS International Journal of Geo-Information 11, no. 7: 396. https://doi.org/10.3390/ijgi11070396
APA StyleZhang, X., Wang, H., Ning, X., Zhang, X., Liu, R., & Wang, H. (2022). Identification of Metropolitan Area Boundaries Based on Comprehensive Spatial Linkages of Cities: A Case Study of the Beijing–Tianjin–Hebei Region. ISPRS International Journal of Geo-Information, 11(7), 396. https://doi.org/10.3390/ijgi11070396

