Context-Aware Matrix Factorization for the Identification of Urban Functional Regions with POI and Taxi OD Data
Abstract
:1. Introduction
- (1)
- The CCMF method was proposed to fuse data to achieve a higher identification accuracy. The contextual relationships among the data sources were considered in order to mine the shared information for data fusion.
- (2)
- Empirical work was conducted to validate the usability of the proposed method in the study area. POI and taxi OD trajectory data were fused for use in UFR identification. Comparing the accuracy between fused data and single data, the results demonstrate that the proposed method achieved a higher accuracy in the identification of UFRs.
2. Related Work
2.1. The Urban Functional Region Identification Approach
2.2. Data Fusion Methods for Urban Functional Region Identification
3. Study Area and Datasets
3.1. Study Area
3.2. Datasets and Processioning
4. Methodology
4.1. Feature Information Extraction Workflow
- (1)
- The number of a particular type of POI in a spatial unit can partly reflect the functional type to some extent. The overlay spatial operation was carried out on POI data and the spatial units in order to generate a spatial unit POI matrix, P. The rows of matrix P represent a POI type in this region, and the columns represent the unit location. Finally, powerful semantic information is provided to the annotating function type.
- (2)
- The location information of the OD data reflects intersections between regions. That is, the origin and destination points falling into some spatial unit denote their interaction. Calculating the sum of OD points within each spatial unit, an OD interaction matrix, Q, is obtained. Rows of matrix Q represent passenger pick-up origin points, and columns denote drop-off destination points. The matrix element value represents the frequency of travel from origin to destination points. It is used as original data, mainly using the frequency of travel interactions of residents within each unit to explore the potential functions of the region.
- (3)
- The time-frequency sequences extracted from taxi OD data represent taxi flows or residents’ travel patterns for the time period in this region. The ordinary statistical method was employed to calculate the time-frequency sequences. The similarity of spatial units is crucial to UFR identification. The dynamic time warping (DTW) algorithm is a widely used time regularization method to measure the similarity of two sets of time series data [49], and this algorithm was also adopted in our work to obtain the time–frequency similarity matrix, R. In the same time, there may be a situation in which the number of OD interactions is the same but the functions are different. For example, if the peak region is at 6–8 a.m. and 6–8 p.m. during weekdays, it is likely to be an Industrial or Residential region, while at weekends it is likely to be a Commercial or a Green region. Therefore, the hourly features are extracted in order to compensate that shortcoming.
4.2. Context-Coupled Matrix Factorization for Data Fusion
| Algorithm 1: Context-coupled matrix factorization algorithm. | |
| Input: OD interaction matrix Q, POI matrix P, OD time–frequency matrix R, error threshold ε, iteration number T | |
| Output: Q’= MNT, the strength of association between user travel and POI | |
| 1 | Random initialization H, gradient descent rate |
| 2 | set t = 1 |
| 3 | if (t < T and Lt − Lt + 1 > ) |
| 4 | use SGD method to calculate |
| 5 | set = 1 |
| 6 | while ((L (Mt, UtVt) > L (H, M, N)) do |
| 7 | set = |
| 8 | Mt + 1 = Mt Ut + 1 = Ut Vt + 1 = Vt |
| 9 | set t = t + 1 |
| 10 | end loop |
| 11 | end if |
| 12 | Return Q’= MNT |
4.3. Spectral Clustering to Identify Urban Functional Regions
- (1)
- Calculate diagonal matrix T. The values of matrix T on the diagonal are the sums of the corresponding rows or columns of matrix W.
- (2)
- Compute the Laplacian matrix L. This is a symmetric matrix formed by subtracting similarity matrix W from diagonal matrix T.
- (3)
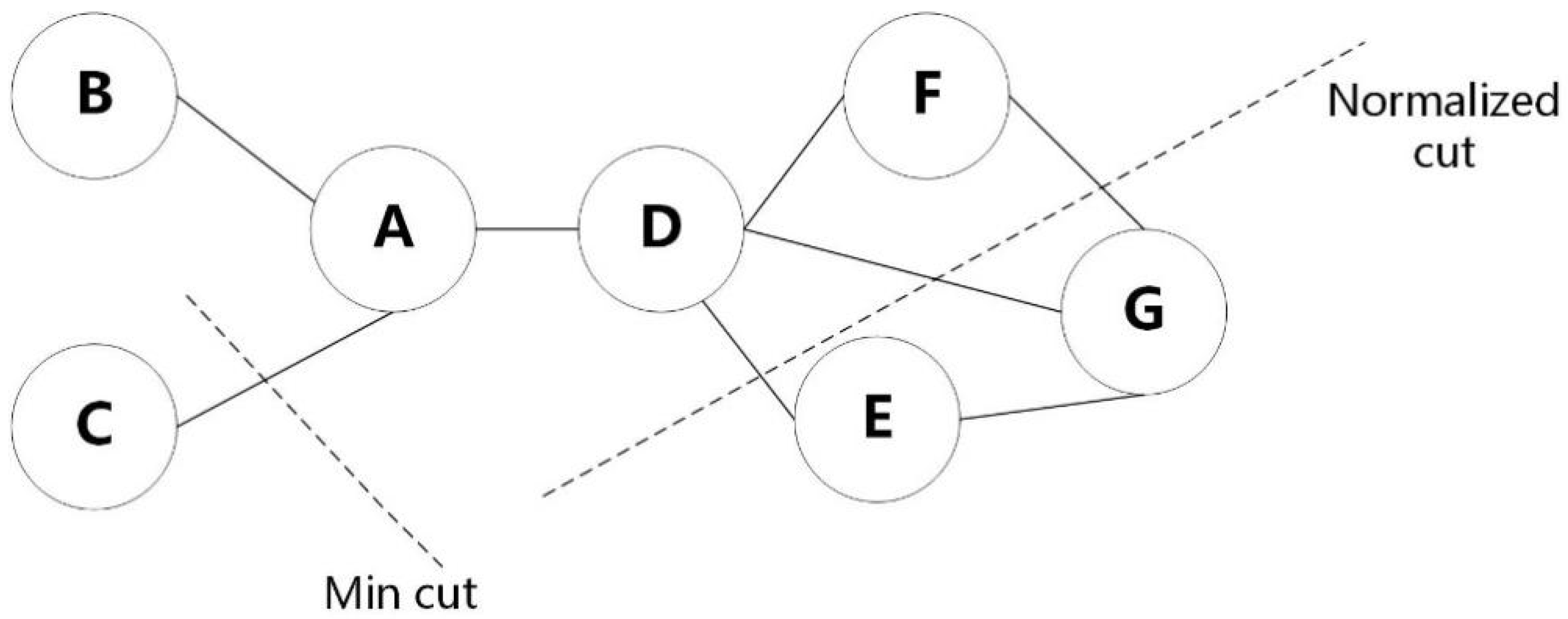
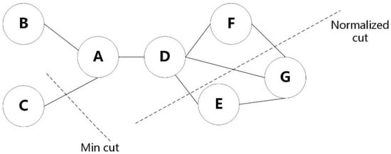
- Perform undirected graph division. The matrix is first transformed into the form of a graph by considering regions as objects of the graph, and considering similarity as weights to connect them (Figure 4). In the figure, “Min cut” denotes the segmentation with the smallest cut edge, and “Normalized cut” denotes the segmentation of approximately the same size with the smallest cut edge. According to the graph cut idea, the first K eigenvalues of the similarity matrix are found, and then the corresponding eigenvectors are found.
- (4)
- Apply the k-means clustering method for cluster feature vectors. Many studies have employed spatial-based clustering methods to determine regions, such as k-means and DBSCAN. These methods focus on the spatial proximity of entities, and ignore the similarities and semantic information among entities. However, the spectral clustering method can address this gap. In addition, spectral clustering is better for sparse data because it only focuses on a similarity matrix.
4.4. Evaluation Metrics
5. Results
5.1. Data Fusion with the Proposed CCMF Method
5.2. Results of the UFR Identification
5.3. Accuracy Comparison Analysis Results
5.3.1. Accuracy Analysis with the Proposed CCMF Method
- (1)
- One reason is the multi-functionality of the region. Firstly, there are usually very rich POI data of commercial and financial near-residential regions. Likewise, there are usually parks or squares near high-end neighborhoods, which may be misclassified, resulting in a much smaller number of residential areas than the real data. Second, based on the current situation in Beijing, there are large shopping malls in many subway stations, such that the purpose of people is not well determined by POI data and OD data.
- (2)
- Another reason is that the area cannot be acquired. POI data tend to abstract spatial entities as area-free points, whereas in real life, the area of entities is also one of the important factors of the identification of urban functional regions.
5.3.2. Accuracy Analysis of Single Data without Fusing
5.3.3. Accuracy Analysis of Different Clustering Methods
6. Discussion
6.1. Identification Accuracy Comparison
6.2. Comparison with Other Fusion Methods
6.3. Influence of the Parameters on the Accuracy
7. Conclusions
Author Contributions
Funding
Institutional Review Board Statement
Informed Consent Statement
Data Availability Statement
Acknowledgments
Conflicts of Interest
References
- Liu, Y.; Wang, F.; Xiao, Y.; Gao, S. Urban land uses and traffic “source-sink areas”: Evidence from GPS-enabled taxi data in Shanghai. Landsc. Urban Plan. 2012, 106, 73–87. [Google Scholar] [CrossRef]
- Hu, Y.; Han, Y. Identification of urban functional areas based on POI Data: A case study of the guangzhou economic and technological development zone. Sustainability 2019, 11, 1385. [Google Scholar] [CrossRef] [Green Version]
- Frias-Martinez, V.; Frias-Martinez, E. Spectral clustering for sensing urban land use using Twitter activity. Eng. Appl. Artif. Intell. 2014, 35, 237–245. [Google Scholar] [CrossRef] [Green Version]
- Ge, P.; He, J.; Zhang, S.; Zhang, L.; She, J. An Integrated Framework Combining Multiple Human Activity Features for Land Use Classification. ISPRS Int. J. Geo-Inf. 2019, 8, 90. [Google Scholar] [CrossRef] [Green Version]
- Gao, Q.; Fu, J.; Yu, Y.; Tang, X. Identification of urban regions’ functions in Chengdu, China, based on vehicle trajectory data. PLoS ONE 2019, 14, e0215656. [Google Scholar] [CrossRef] [Green Version]
- Xiao, D.; Zhang, X.; Hu, Y. Urban Functional Area Identification Method Based on Mobile Big Data. Xitong Fangzhen Xuebao/J. Syst. Simul. 2019, 31, 2281–2288. [Google Scholar] [CrossRef]
- Ye, C.; Zhang, F.; Mu, L.; Gao, Y.; Liu, Y. Urban function recognition by integrating social media and street-level imagery. Environ. Plan. B Urban Anal. City Sci. 2021, 48, 1430–1444. [Google Scholar] [CrossRef]
- Yuan, J.; Zheng, Y.; Xie, X. Discovering regions of different functions in a city using human mobility and POIs. In Proceedings of the 18th ACM SIGKDD International Conference on Knowledge Discovery and Data Mining, Beijing, China, 12–16 August 2012; pp. 186–194. [Google Scholar] [CrossRef]
- Yu, M.; Li, J.; Lv, Y.; Xing, H.; Wang, H. Functional Area Recognition and Use-Intensity Analysis Based on Multi-Source Data: A Case Study of Jinan, China. ISPRS Int. J. Geo-Inf. 2021, 10, 640. [Google Scholar] [CrossRef]
- Dai, P.; Jing, C.; Du, M.; Zhou, W. A method based on spatial analyst to detect hot spot of urban component management events. In Proceedings of the 2015 2nd IEEE International Conference on Spatial Data Mining and Geographical Knowledge Services (ICSDM), Fuzhou, China, 8–10 July 2015; pp. 55–59. [Google Scholar] [CrossRef]
- Qian, Z.; Liu, X.; Tao, F.; Zhou, T. Identification of Urban Functional Areas by Coupling Satellite Images and Taxi GPS Trajectories. Remote Sens. 2020, 12, 2449. [Google Scholar] [CrossRef]
- Meng, T.; Jing, X.; Yan, Z.; Pedrycz, W. A survey on machine learning for data fusion. Inf. Fusion 2020, 57, 115–129. [Google Scholar] [CrossRef]
- Jia, Y.; Ge, Y.; Ling, F.; Guo, X.; Wang, J.; Wang, L.; Chen, Y.; Li, X. Urban land use mapping by combining remote sensing imagery and mobile phone positioning data. Remote Sens. 2018, 10, 446. [Google Scholar] [CrossRef] [Green Version]
- Xing, H.; Meng, Y. Integrating landscape metrics and socioeconomic features for urban functional region classification. Comput. Environ. Urban Syst. 2018, 72, 134–145. [Google Scholar] [CrossRef]
- Zhu, J.; Tao, C.; Lin, X.; Peng, J.; Huang, H.; Chen, L.; Wang, Q. A multiple subspaces-based model: Interpreting urban functional regions with big geospatial data. ISPRS Int. J. Geo-Inf. 2021, 10, 66. [Google Scholar] [CrossRef]
- Jing, C.; Dong, M.; Du, M.; Zhu, Y.; Fu, J. Fine-Grained Spatiotemporal Dynamics of Inbound Tourists Based on Geotagged Photos: A Case Study in Beijing, China. IEEE Access 2020, 8, 28735–28745. [Google Scholar] [CrossRef]
- Herold, M.; Liu, X.H.; Clarke, K.C. Spatial metrics and image texture for mapping urban land use. Photogramm. Eng. Remote Sens. 2003, 69, 991–1001. [Google Scholar] [CrossRef] [Green Version]
- Wang, Y.; Wang, T.; Tsou, M.H.; Li, H.; Jiang, W.; Guo, F. Mapping dynamic urban land use patterns with crowdsourced geo-tagged social media (Sina-Weibo) and commercial points of interest collections in Beijing, China. Sustainability 2016, 8, 1202. [Google Scholar] [CrossRef] [Green Version]
- Papadakis, E.; Gao, S.; Baryannis, G. Combining design patterns and topic modeling to discover regions that support particular functionality. ISPRS Int. J. Geo-Inf. 2019, 8, 385. [Google Scholar] [CrossRef] [Green Version]
- Zhang, X.; Du, S.; Wang, Q. Hierarchical semantic cognition for urban functional zones with VHR satellite images and POI data. ISPRS J. Photogramm. Remote Sens. 2017, 132, 170–184. [Google Scholar] [CrossRef]
- Cao, R.; Tu, W.; Yang, C.; Li, Q.; Liu, J.; Zhu, J.; Zhang, Q.; Li, Q.; Qiu, G. Deep learning-based remote and social sensing data fusion for urban region function recognition. ISPRS J. Photogramm. Remote Sens. 2020, 163, 82–97. [Google Scholar] [CrossRef]
- Bao, H.; Ming, D.; Guo, Y.; Zhang, K.; Zhou, K.; Du, S. DFCNN-based semantic recognition of urban functional zones by integrating remote sensing data and POI data. Remote Sens. 2020, 12, 1088. [Google Scholar] [CrossRef] [Green Version]
- Zhang, C.; Sargent, I.; Pan, X.; Li, H.; Gardiner, A.; Hare, J.; Atkinson, P.M. An object-based convolutional neural network (OCNN) for urban land use classification. Remote Sens. Environ. 2018, 216, 57–70. [Google Scholar] [CrossRef] [Green Version]
- Pei, T.; Sobolevsky, S.; Ratti, C.; Shaw, S.L.; Li, T.; Zhou, C. A new insight into land use classification based on aggregated mobile phone data. Int. J. Geogr. Inf. Sci. 2014, 28, 1988–2007. [Google Scholar] [CrossRef] [Green Version]
- Toole, J.L.; Ulm, M.; González, M.C.; Bauer, D. Inferring land use from mobile phone activity. In Proceedings of the ACM SIGKDD International Workshop on Urban Computing, Beijing, China, 12 August 2012; pp. 1–8. [Google Scholar] [CrossRef] [Green Version]
- Kang, C.; Shi, L.; Wang, F.; Liu, Y. How urban places are visited by social groups? Evidence from matrix factorization on mobile phone data. Trans. GIS 2020, 24, 1504–1525. [Google Scholar] [CrossRef]
- Kang, C.; Qin, K. Understanding operation behaviors of taxicabs in cities by matrix factorization. Comput. Environ. Urban Syst. 2016, 60, 79–88. [Google Scholar] [CrossRef]
- Zhang, P.; Li, T.; Wang, G.; Luo, C.; Chen, H.; Zhang, J.; Wang, D.; Yu, Z. Multi-source information fusion based on rough set theory: A review. Inf. Fusion 2021, 68, 85–117. [Google Scholar] [CrossRef]
- Bayoudh, K.; Knani, R.; Hamdaoui, F.; Mtibaa, A. A survey on deep multimodal learning for computer vision: Advances, trends, applications, and datasets. Vis. Comput. 2021, 1–32. [Google Scholar] [CrossRef]
- Esteban, J.; Starr, A.; Willetts, R.; Hannah, P.; Bryanston-Cross, P. A review of data fusion models and architectures: Towards engineering guidelines. Neural Comput. Appl. 2005, 14, 273–281. [Google Scholar] [CrossRef] [Green Version]
- Xiao, J.; Shen, Y.; Ge, J.; Tateishi, R.; Tang, C.; Liang, Y.; Huang, Z. Evaluating urban expansion and land use change in Shijiazhuang, China, by using GIS and remote sensing. Landsc. Urban Plan. 2006, 75, 69–80. [Google Scholar] [CrossRef]
- Assem, H.; Xu, L.; Buda, T.S.; O’Sullivan, D. Spatio-Temporal clustering approach for detecting functional regions in cities. In Proceedings of the 2016 IEEE 28th International Conference on Tools with Artificial Intelligence (ICTAI), San Jose, CA, USA, 6–8 November 2016; pp. 370–377. [Google Scholar] [CrossRef]
- Song, J.; Lin, T.; Li, X.; Prishchepov, A.V. Mapping Urban Functional Zones by Integrating Very High Spatial Resolution Remote Sensing Imagery and Points of Interest: A Case Study of Xiamen, China. Remote Sens. 2018, 10, 1737. [Google Scholar] [CrossRef] [Green Version]
- Zheng, Y. Methodologies for Cross-Domain Data Fusion: An Overview. IEEE Trans. Big Data 2015, 1, 16–34. [Google Scholar] [CrossRef]
- Tu, W.; Hu, Z.; Li, L.; Cao, J.; Jiang, J.; Li, Q.; Li, Q. Portraying urban functional zones by coupling remote sensing imagery and human sensing data. Remote Sens. 2018, 10, 141. [Google Scholar] [CrossRef] [Green Version]
- Zhou, W.; Ming, D.; Lv, X.; Zhou, K.; Bao, H.; Hong, Z. SO–CNN based urban functional zone fine division with VHR remote sensing image. Remote Sens. Environ. 2020, 236, 111458. [Google Scholar] [CrossRef]
- Zhai, Y.; Yao, Y.; Guan, Q.; Liang, X.; Li, X.; Pan, Y.; Yue, H.; Yuan, Z.; Zhou, J. Simulating urban land use change by integrating a convolutional neural network with vector-based cellular automata. Int. J. Geogr. Inf. Sci. 2020, 34, 1475–1499. [Google Scholar] [CrossRef]
- Cao, K.; Guo, H.; Zhang, Y. Comparison of approaches for urban functional zones classification based on multi-source geospatial data: A case study in Yuzhong District, Chongqing, China. Sustainability 2019, 11, 660. [Google Scholar] [CrossRef] [Green Version]
- Yu, B.; Wang, Z.; Mu, H.; Sun, L.; Hu, F. Identification of Urban Functional Regions Based on Floating Car Track Data and POI Data. Sustainability 2019, 11, 6541. [Google Scholar] [CrossRef] [Green Version]
- Feng, Y.; Huang, Z.; Wang, Y.; Wan, L.; Liu, Y.; Zhang, Y.; Shan, X. An SOE-Based Learning Framework Using Multisource Big Data for Identifying Urban Functional Zones. IEEE J. Sel. Top. Appl. Earth Obs. Remote Sens. 2021, 14, 7336–7348. [Google Scholar] [CrossRef]
- Srivastava, S.; Vargas-Muñoz, J.E.; Tuia, D. Understanding urban landuse from the above and ground perspectives: A deep learning, multimodal solution. Remote Sens. Environ. 2019, 228, 129–143. [Google Scholar] [CrossRef] [Green Version]
- Gauvin, L.; Panisson, A.; Cattuto, C. Detecting the community structure and activity patterns of temporal networks: A non-negative tensor factorization approach. PLoS ONE 2014, 9, e86028. [Google Scholar] [CrossRef] [Green Version]
- Zhang, W.; Ji, C.; Yu, H.; Zhao, Y.; Chai, Y. Interpersonal and intrapersonal variabilities in daily activity-travel patterns: A Networked spatiotemporal analysis. ISPRS Int. J. Geo-Inf. 2021, 10, 148. [Google Scholar] [CrossRef]
- Zhang, Y.; Li, Q.; Tu, W.; Mai, K.; Yao, Y.; Chen, Y. Functional urban land use recognition integrating multi-source geospatial data and cross-correlations. Comput. Environ. Urban Syst. 2019, 78, 101374. [Google Scholar] [CrossRef]
- Wang, J.; Ye, Y.; Fang, F. Study of Urban Functional Zoning Based on Nuclear Density and Fusion Data. Geogr. Geo-Inf. Sci. 2019, 35, 66–71. [Google Scholar] [CrossRef]
- Xue, B.; Zhao, B.; Xiao, X.; Li, J.; Xie, X.; Ren, W. A Poi Data-Based Study on Urban Functional Areas of the Resourcesbased City: A Case Study of Benxi, Liaoning. Hum. Geogr. 2020, 35, 81–90. [Google Scholar] [CrossRef]
- Kim, K.; Lee, K. Handling points of interest (POIs) on a mobile web map service linked to indoor geospatial objects: A case study. ISPRS Int. J. Geo-Inf. 2018, 7, 216. [Google Scholar] [CrossRef] [Green Version]
- Yi, B.; Shen, X.; Liu, H.; Zhang, Z.; Zhang, W.; Liu, S.; Xiong, N. Deep Matrix Factorization with Implicit Feedback Embedding for Recommendation System. IEEE Trans. Ind. Inform. 2019, 15, 4591–4601. [Google Scholar] [CrossRef]
- Shokoohi-Yekta, M.; Hu, B.; Jin, H.; Wang, J.; Keogh, E. Generalizing DTW to the multi-dimensional case requires an adaptive approach. Data Min. Knowl. Discov. 2016, 31, 1–31. [Google Scholar] [CrossRef] [Green Version]
- Ma, H.; Yang, H.; Lyu, M.R.; King, I. SoRec: Social recommendation using probabilistic matrix factorization. In Proceedings of the 17th ACM Conference on Information and Knowledge Management, Napa Valley, CA, USA, 26–30 October 2008; pp. 931–940. [Google Scholar] [CrossRef]
- Du, R.; Lu, J.; Cai, H. Double Regularization Matrix Factorization Recommendation Algorithm. IEEE Access 2019, 7, 139668–139677. [Google Scholar] [CrossRef]
- Fiedler, M. Algebraic connectivity of graphs. Czechoslov. Math. J. 1973, 23, 298–305. [Google Scholar] [CrossRef]
- Shi, J.; Malik, J. Normalized cuts and image segmentation. IEEE Trans. Pattern Anal. Mach. Intell. 2000, 22, 888–905. [Google Scholar] [CrossRef] [Green Version]
- Zhou, M.; Lu, L.; Guo, H.; Weng, Q.; Cao, S.; Zhang, S.; Li, Q. Urban sprawl and changes in land-use efficiency in the beijing–tianjin–hebei region, china from 2000 to 2020: A spatiotemporal analysis using earth observation data. Remote Sens. 2021, 13, 2850. [Google Scholar] [CrossRef]
- Sun, Z.; Jiao, H.; Wu, H.; Peng, Z.; Liu, L. Block2vec: An approach for identifying urban functional regions by integrating sentence embedding model and points of interest. ISPRS Int. J. Geo-Inf. 2021, 10, 339. [Google Scholar] [CrossRef]
- He, X.; Yuan, X.; Zhang, D.; Zhang, R.; Li, M.; Zhou, C. Delineation of Urban Agglomeration Boundary Based on Multisource Big Data Fusion—A Case Study of Guangdong–Hong Kong–Macao Greater Bay Area (GBA). Remote Sens. 2021, 13, 1801. [Google Scholar] [CrossRef]
- Liu, X.; Tian, Y.; Zhang, X.; Wan, Z. Identification of urban functional regions in Chengdu based on taxi trajectory time series data. ISPRS Int. J. Geo-Inf. 2020, 9, 158. [Google Scholar] [CrossRef] [Green Version]
- Du, S.; Du, S.; Liu, B.; Zhang, X.; Zheng, Z. Large-scale urban functional zone mapping by integrating remote sensing images and open social data. GIScience Remote Sens. 2020, 57, 411–430. [Google Scholar] [CrossRef]
- Zhong, Y.; Su, Y.; Wu, S.; Zheng, Z.; Zhao, J.; Ma, A.; Zhu, Q.; Ye, R.; Li, X.; Pellikka, P.; et al. Open-source data-driven urban land-use mapping integrating point-line-polygon semantic objects: A case study of Chinese cities. Remote Sens. Environ. 2020, 247, 111838. [Google Scholar] [CrossRef]









| ID | Time | Lon | Lat | Speed | Direction | Status |
|---|---|---|---|---|---|---|
| 577745 | 20181115001526 | 116.0343475 | 39.7697029 | 0 | 44 | 1 |
| 77451 | 20181115001524 | 116.2787704 | 39.9216766 | 0 | 142 | 1 |
| … | … | … | … | … | … | … |
| 164881 | 20181115001522 | 116.5705872 | 39.8961868 | 0 | 0 | 1 |
| 77420 | 20181115001527 | 116.4042664 | 39.9476395 | 60 | 88 | 1 |
| Category | Sub-Categories |
|---|---|
| Residential | Hotel, guesthouse, community, dormitory, house |
| Public service | Government, museum, hospital, school, library, post office |
| Commercial and financial | Movie theater, entertainment, bank, restaurant, supermarket, cafe |
| Industrial | company, enterprise, building |
| Green square | Scenic spot, park, natural scenery |
| Transportation | Subway station, bus station, airport, railway station |
| Cluster 1 | Cluster 2 | Cluster 3 | Cluster 4 | Cluster 5 | Cluster 6 | |
|---|---|---|---|---|---|---|
| Residential | 0.143812 | 0.177729 | 0.181027 | 0.202814 | 0.167457 | 0.187726 |
| Public service | 0.149206 | 0.193115 | 0.168945 | 0.170677 | 0.160588 | 0.173410 |
| Commercial and financial | 0.144601 | 0.163830 | 0.213594 | 0.196002 | 0.172417 | 0.198671 |
| Industrial | 0.177717 | 0.160707 | 0.140391 | 0.174287 | 0.175169 | 0.175980 |
| Green square | 0.219440 | 0.150754 | 0.078140 | 0.079752 | 0.170572 | 0.091786 |
| Transportation | 0.165223 | 0.174866 | 0.217904 | 0.176468 | 0.153796 | 0.181427 |
| Res. | Ind. | Pub. | Comm. | Trans. | Green | UA | ||
|---|---|---|---|---|---|---|---|---|
| Classification Result | Res. | 27 | 0 | 1 | 0 | 1 | 1 | 0.90 |
| Ind. | 1 | 26 | 1 | 0 | 0 | 2 | 0.87 | |
| Pub. | 2 | 0 | 27 | 0 | 0 | 1 | 0.90 | |
| Comm. | 0 | 0 | 1 | 28 | 0 | 1 | 0.93 | |
| Trans. | 2 | 1 | 1 | 0 | 26 | 0 | 0.87 | |
| Green | 1 | 0 | 1 | 0 | 0 | 28 | 0.93 | |
| PA | 0.82 | 0.96 | 0.84 | 0.97 | 0.96 | 0.85 |
| Functional Area | Place | Identification Results | Gaode Image | Gaode Map |
|---|---|---|---|---|
| Green Square | Palace Museum (Lat: 39.9237871 Lon:116.4034318) | ![]() | ![]() | ![]() |
| Temple of Heaven Park (Lat: 39.888243 Lon: 116.417246) | ![]() | ![]() | ![]() | |
| Public Service | Peking University (Lat: 39.998877 Lon: 116.316833) | ![]() | ![]() | ![]() |
| Great Hall of the People (Lat: 39.911394 Lon: 116.400238) | ![]() | ![]() | ![]() | |
| Transportation | Beijing Train Station (Lat: 39.909462 Lon: 116.433547) | ![]() | ![]() | ![]() |
| Beijingnan Railway Station (Lat:39.871232 Lon: 116.384901) | ![]() | ![]() | ![]() | |
| Residential | Ganjiakou Community (Lat: 39.926322 Lon: 116.327689) | ![]() | ![]() | ![]() |
| Fangcheng Yuan Community (Lat: 39.8733 Lon: 116.442967) | ![]() | ![]() | ![]() | |
| Industrial | Zhongguancun (Lat: 39.983633 Lon: 116.322892) | ![]() | ![]() | ![]() |
| Wangjing (Lat: 39.992024 Lon: 116.476471) | ![]() | ![]() | ![]() | |
| Commercial and Financial | Xidan (Lat: 39.91748 Lon: 116.381024) | ![]() | ![]() | ![]() |
| Xihongmen (Lat: 39.792674 Lon: 116.333765) | ![]() | ![]() | ![]() |
| Regions | POI | OD | POI + OD | Ground Truth | |||
|---|---|---|---|---|---|---|---|
| A | Res. | Pub. | Green | Green | |||
| B | Ind. | Comm. | Pub. | Pub. | |||
| C | Comm. | Comm. | Trans. | Trans. | |||
| D | Pub. | Green | Ind. | Ind. | |||
| E | Pub. | Trans. | Res. | Res. | |||
| F | Comm. | Green | Comm. | Comm. | |||
| Accuracy | OA | kappa | OA | kappa | OA | kappa | |
| 84.1% | 0.82 | 82.6% | 0.79 | 90.0% | 0.88 | ||
| Region | K-Means | DBSCAN | Spectral Clustering | Ground Truth | |||
|---|---|---|---|---|---|---|---|
| A | Ind. | Green | Green | Green | |||
| B | Green | Res. | Pub. | Pub. | |||
| C | Ind. | Res. | Trans. | Trans. | |||
| D | Comm. | Comm. | Ind. | Ind. | |||
| E | Res. | Ind. | Res. | Res. | |||
| F | Comm. | Comm. | Comm. | Comm. | |||
| Accuracy | OA | kappa | OA | kappa | OA | kappa | |
| 84.4% | 0.81 | 85.6% | 0.82 | 90.0% | 0.88 | ||
| Method | OA (%) | Kappa |
|---|---|---|
| Decision fusion strategy of RSI and MPPD [13] | 83.5 | NA |
| CC-FLU mode [44] | 85.1 | 0.81 |
| Fusion method of POI and RSI [33] | 78.5 | 0.75 |
| Fusion using spatial metrics [56] | 81.3 | NA |
| SOE-based learning framework [40] | 90.9 | 0.85 |
| Our proposed method | 90.0 | 0.88 |
Publisher’s Note: MDPI stays neutral with regard to jurisdictional claims in published maps and institutional affiliations. |
© 2022 by the authors. Licensee MDPI, Basel, Switzerland. This article is an open access article distributed under the terms and conditions of the Creative Commons Attribution (CC BY) license (https://creativecommons.org/licenses/by/4.0/).
Share and Cite
Jing, C.; Hu, Y.; Zhang, H.; Du, M.; Xu, S.; Guo, X.; Jiang, J. Context-Aware Matrix Factorization for the Identification of Urban Functional Regions with POI and Taxi OD Data. ISPRS Int. J. Geo-Inf. 2022, 11, 351. https://doi.org/10.3390/ijgi11060351
Jing C, Hu Y, Zhang H, Du M, Xu S, Guo X, Jiang J. Context-Aware Matrix Factorization for the Identification of Urban Functional Regions with POI and Taxi OD Data. ISPRS International Journal of Geo-Information. 2022; 11(6):351. https://doi.org/10.3390/ijgi11060351
Chicago/Turabian StyleJing, Changfeng, Yanru Hu, Hongyang Zhang, Mingyi Du, Shishuo Xu, Xian Guo, and Jie Jiang. 2022. "Context-Aware Matrix Factorization for the Identification of Urban Functional Regions with POI and Taxi OD Data" ISPRS International Journal of Geo-Information 11, no. 6: 351. https://doi.org/10.3390/ijgi11060351
APA StyleJing, C., Hu, Y., Zhang, H., Du, M., Xu, S., Guo, X., & Jiang, J. (2022). Context-Aware Matrix Factorization for the Identification of Urban Functional Regions with POI and Taxi OD Data. ISPRS International Journal of Geo-Information, 11(6), 351. https://doi.org/10.3390/ijgi11060351





































