Next Article in Journal
Digitalization and Classification of Cesare Battisti’s Atlas of 1915
Previous Article in Journal
Hydrological Web Services for Operational Flood Risk Monitoring and Forecasting at Local Scale in Niger
 
 
Font Type:
Arial Georgia Verdana
Font Size:
Aa Aa Aa
Line Spacing:
Column Width:
Background:
Article

Revealing Dynamic Spatial Structures of Urban Mobility Networks and the Underlying Evolutionary Patterns

1
Urban Mobility Institute, Tongji University, Shanghai 200092, China
2
College of Surveying and Geo-Informatics, Tongji University, Shanghai 200092, China
3
College of Transportation Engineering, Tongji University, Shanghai 200092, China
4
Department of Civil Engineering, Ryerson University, Toronto, ON M5B 2K3, Canada
*
Author to whom correspondence should be addressed.
ISPRS Int. J. Geo-Inf. 2022, 11(4), 237; https://doi.org/10.3390/ijgi11040237
Submission received: 28 January 2022 / Revised: 1 April 2022 / Accepted: 3 April 2022 / Published: 5 April 2022

Abstract

:
Urban space exhibits rich and diverse organizational structures, which is difficult to characterize and interpret. Modelling urban spatial structures in the context of mobility and revealing their underlying patterns in dynamic networks are key to understanding urban spatial structures and how urban systems work. Most existing methods overlook its temporal dimension and oversimplify its spatial heterogeneity, and it is challenging to address these complex properties using one single method. Therefore, we propose a framework based on temporal networks for modeling dynamic urban mobility structures. First, we cast aggregated traffic flows into a compact and informative temporal network for structure representation. Then, we explore spatial cluster substructures and temporal evolution patterns to acquire evolution regularities. Last, the capability of the proposed framework is examined by an empirical analysis based on taxi mobility networks. The experiment results enable to quantitatively depict urban space dynamics and effectively detect spatiotemporal heterogeneity in mobility networks.

1. Introduction

Recently, the influx of massive population to urban areas has boosted urban spatial development to accommodate citizens’ diverse needs, including various social activities, consumer behaviors, etc., where mobility is an essential way of accessing such opportunities [1,2,3]. Particularly, in metropolitan areas, there is an exponential increase in terms of cross-regional mobilities owing to their vast and complicated spatial layout and big populations [4,5]. This has resulted in a more pronounced heterogeneity of urban space and more structured inter- and intro-city interactions [6,7,8]. With the advancement of ubiquitous computing technologies and the widespread availability of geo-tagged data, researchers have attempted to explore the spatial structures of cities by identifying the movement patterns of massive travels, further enhancing the understanding of the operational mechanisms of urban mega-systems [7,9,10,11].
For urban space, a considerable amount of research has shown that urban form presents a high irregularity [12,13] and self-organization [14]. For example, the layout of cities has a distinct clustering pattern as seen in remote sensing images [12,15,16]. To capture this characteristic of urban spatial structure, both land use data and census data have been used in traditional measurement to directly define and classify urban spaces [17,18]. However, the static dimension of urban built-up areas neglects the influence of human activities on the shaping of urban spaces [14]. Mobility, as a measure of activities in a city, is often used to perceive the organization of urban spaces by exploring the interactions between various movement behaviors in urban spaces [7,11]. Spatial clustering algorithms were usually applied to explore the spatial structure of cities by analyzing the spatial characteristics of mobility data [18,19]. For instance, Zhou and Zhang et al. extracted the spatial distribution of six types of urban functions based on the spatial aggregation distribution of travel hotspots [20]. Although the point density-based cluster analysis tool was used to capture a static distribution pattern of urban spatial structure, it is difficult to establish actual connections between urban areas.
Exploring the interactions between urban areas is key to the analysis of the operational drivers of urban systems [21,22]. Research in this area, such as Wu’s study on the spatial mismatch of occupational and residential separation common in the spatial structure of cities, has been achieved by identifying the commuting flows between different functional areas in the city [23]. As the focus of some urban studies has shifted to the interactions between different urban areas, mobility data with continuous spatio-temporal information is being widely used to quantify these interactions [8]. At the same time, the graph theory has been introduced into urban spatial studies to represent spatial structures of real phenomena and to explore complex interactions in urban spaces [24]. Specifically, the representation of urban complex spatial systems was achieved using the network conceptual framework, where its components were denoted as geo-referenced nodes and the interactions between the components are denoted as links. Meanwhile, the relationships between different urban areas are quantitatively portrayed as a series of topological indicators, including degree [25], betweenness centrality [26], PageRank [27], etc. [28]. These studies shed light on the way urban space is organized and hierarchically structured and served as an effective tool for the development and assessment of regional spatial structures. Inspired by them, we propose a workflow that can explore the process of spatial interactions between urban areas using spatio-temporal mobility data. Comparing to the aforementioned studies, in addition to probing spatial regional connections in single temporal cross-sections, we focus on tracing the evolution of such interactions between urban areas by exploring the interactions in successive time periods.
Therefore, this study intends to explore how mobility networks can be employed to explore the processes of spatio-temporal interaction between different urban areas. Specifically, using mobility data to characterize the dynamic spatio-temporal organization of urban clusters over geographic space and adopting valid measures to describe the dynamic evolutionary processes. We propose a method for extracting spatial clusters of urban neighboring spatial units using a temporal network structure constructed from continuous trajectory data. Moreover, a method for quantitatively describing the evolution patterns of urban clusters over time is developed. A case study of Shanghai, China is conducted to validate the methods and to uncover the dynamic spatial structure of the city. This study provides an innovative perspective for understanding the organization of urban space and capturing urban dynamics, which can be utilized for decision-making in the dynamic management of transport demand and urban spatial renewal as well as for better understanding the process of urban spatial development.
The remainder of this paper is organized as follows. Section 2 reviews related work. Section 3 introduces our proposed conceptual framework of temporal mobility networks for revealing dynamic processes in urban spatial structures, where we detail all the components of the framework and describe their formal representations, as well as the computational methods for quantifying the dynamic processes. Section 4 presents study areas of the experimental work and the results of our proposed methods. Section 5 presents conclusions and future work.

2. Related Work

We first describe the concept of urban spatial structure, which is the focus of this study. Then, an introduction to the necessity of investigating its dynamism and the current research progress is reviewed, and how its structural characteristics and evolution can be measured using mobility data is given. The relevant researches that provide the theoretical and methodological basis for the workflow we proposed are discussed.

2.1. Concept of Urban Spatial Structure and Its Dynamics

In the process of rapid urbanization, the spatial structure of cities has undergone significant changes, for instance from a simple single-center form to a complex polycentric agglomeration of urban areas [29,30,31]. In this context, the term spatial structure refers to the urban form that is exhibited by the interaction amongst spatial elements [29,32]. It may serve as an indicator of regional development, reflecting the way in which the city is organized regarding its scale, function, and location within a given region. In traditional urban studies, the measurement of urban spatial structure is usually characterized by static indexes, such as the extent of the geographical landscape [33], the concentration or dispersion of built-up areas [34,35], or the aggregated distribution of population [36]. The description of spatial structure is usually global spatial characteristics such as single-center or multi-center, centralized or decentralized, etc. [29]. These studies of urban spatial structure have assisted planners and policy makers in determining the spatial scale of cities, which has contributed to understanding the process of shaping and monitoring the development of urban space [37]. However, as the spatial interactions amongst the urban elements are constantly changing, the spatial structure is not limited to a static view of the spatial layout, but also requires a dynamic perspective.
With easy access to transport infrastructures and the increased diversity of human activities, a growing body of research has argued that spatial structure greatly depends on spatial interaction flows, manifested as traffic flows [38,39,40]. It promotes the shift of various resources within urban spaces and enhances the interactivity of urban spaces [41]. Batty suggests that “to understand urban space, we must understand flows and networks of relationships” [42]. Moreover, Schmitt suggests that “cities increasingly evolved into a dynamic relational urban system” [43]. These theories have inspired researchers to explore the organization of urban spatial structures in the context of urban mobility including static spatial layout and dynamic spatial interactions. From a methodological perspective, most studies adopted mathematical statistical methods or a simple spatial clustering [17,19,21]. For example, Hu et al. used commuting data from travel surveys to identify the dispersed employment subcenters with a statistical method of geographically weighted regression, revealing commuting patterns in different urban regions [44]. Zhu et al. applied the density-based spatial clustering by application with noise (DBSCAN) algorithm to identify urban regional clusters based on OD points of trajectory data, achieving a multi-level characterization of spatial structure [45]. These studies have demonstrated that urban spatial structures are in general characterized by dynamic layouts and blurred boundaries, as well as various manifestations of human activity within urban sub-regions. Nevertheless, urban space is more than a simple collection of urban sub-regions [41]. We should explore the dynamics behind their formation, such as those areas that have denser internal spatial interactions and how urban sub-regions interact dynamically with each other.

2.2. Mobility Networks and Network Community Detection

In the context of mobility, to further explore the interactions of urban spatial structures, many researchers suggested to construct networks by embedding collective flows into geographical spaces [4,24]. Based on the architecture of networks, the relationships between interactions of urban areas are described by active traffic flows [46]. A range of network approaches, such as both topological properties from a global perspective and community detection of networks, have been widely used to describe the spatial structure of cities. Specifically, Lee et al. constructed an urban mobility network using OD data on commuting traffic flows across the city, achieving a classification of the hierarchy of centers of work areas in the Seoul metropolitan areas through centrality indicators [5]. In a further way, many studies demonstrated that detected mobility communities, which are distinct regions with dense internal connections and sparse external connections, are able to better describe pre-unknown mobility structures [6,47,48]. For example, Yildirimoglu et al. used a data set on multiple modes of transport to investigate the structure of consistent mobile communities in urban spaces, where each mobile community has similar travel characteristics [49]. Owing to its good performance, mobility community detection has been widely applied to describe the complete urban spatial structure beyond the traditional morphological structure [6,38]. However, most of current studies still focus on the aggregated flows as a frozen view on a time scale, and few discuss the dynamic evolution process of interactions within mobility networks [1,50]. We argue that a shift from descriptive measurements of urban spatial network structure to the study of evolving spatial networks will foster a long-term interest in the investigation of the associations between urban spatial structures and spatio-temporal dynamics [51].
On the other hand, for the construction of mobility networks, most studies focused on topologies of nodes in a ‘network’ or ‘feature’ space, for example, by directly connecting the origin and destination of a trip [52,53]. Such topological connections ignore the constraints of geographic Euclidean spaces. According to the Tobler’s First Law, the analysis of interactions between urban spaces through mobility networks should be based on the premise that neighboring entities interact more frequently [38,40]. Further, these metrics defined in network spaces are non-spatial and entirely non-geographic to a certain extent. Indicators, such as the network diameter [28], which indicates the two most distant social relations, are difficult to correspond to phenomena on real geographic spaces [4]. In addition to the mapping relationship between the network space and geospatial space in which the nodes are located, we also have to consider the interaction relationship between the nodes. For example, in some studies of freight traffic network among cities, the interaction relationship is represented as a function of the pairwise freight traffic volumes between two cities without the routing information [54,55]. This direct conversion is referred to a first-order dependency [56]. However, transportation routes, as typical spatial sequence data, usually involve more than two transportation nodes. Singer et al. [57] explored the implications of applying routing information in transportation networks. Lambiotte et al. [56] further emphasized the dependency exhibited in spatial sequence data, where the interactions between transportation nodes are not only related to the current one, but also to non-contiguous surrounding nodes [58]. Such dependencies are described in complex network theory as higher-order topological interactions [59]. Consequently, when considering mobility networks embedded in geographic spaces, a reasonable representation in the network cannot be ignored.

3. The Proposed Framework

In this section, we describe the proposed spatiotemporal framework for exploring the structure of time-varying traffic flows and their evolutionary patterns over geographical spaces. The detailed workflow is shown in Figure 1. Specifically, we first introduce the notations and definitions used to formulate a dynamic representation of the mobility network. We then extract the sub-structures in the time-varying network of the mobility networks. Further, a dynamic graph-based quantification method to numerically extract and understand the dynamics of the mobility network structure is developed.

3.1. Formulation of Temporal Mobility Network

Large-scale travel trajectory data involve rich spatiotemporal information. To explore the meaningful spatiotemporal substructure of mobility, we abstract the traffic flows represented by the trajectory data to a temporal network over geographic space. Specifically, in this study, we define a mobility network as a directed weighted temporal graph, of which nodes denote the smallest geographical units and edges denote the amount of travels between each pair of geographical units. The temporal mobility network is formulated as below:
G = { g t V , E t   |   t = 1 ,   2 ,   ,   T }
V = v 1 ,     v 2 ,   , v n
E = { E t   |   t = 1 ,   2 ,   ,   T }  
where G represents the temporal mobility network constructed by trajectory data, and g t V , E t , where V denotes the set of n nodes and E   R n × n is the set of edges, is a time slice from the entire network. The detailed definitions of this formulation are:
  • Centers of geographical units in subdivisions of a city are extracted as nodes set V in the mobility network;
  • For the construction of edges between graph nodes, a large connectivity matrix is often used to denote the number of trips between each pair of geographical units. Considering that the flows between geographical units of a city vary over time means that the magnitude of connectivity from a node to a node is dynamic. We use a time series of the connectivity matrices E to describe the topological structure of time-varying mobility within T time slices according to a specific temporal resolution;
  • We use trajectories to measure the connectivity relationship E t i j from the nodes v i to v j in the graph at the time slice t . Specifically, instead of using only origin and destination locations of a particular trajectory, we consider the geographical spaces crossed by a trajectory. Like many generative models for human mobility [60,61], we simplify the recording of a single trajectory into a set of geographical units and the sequence of visiting them in a chronological order. This data can be described as:
T r a j = L i s t s = u i d ,   C 1 ,   C 2 ,   ,   C s ,
C s =   v s ,     A r r T i m e s ,
E = { E t   |   t = 1 ,   2 ,   ,   T } ,
where T r a j represents a simplified sequence for a trajectory, u i d denotes a valid trajectory id, and C s consists of the nodes in the graph represented by the geographical units passed and the arrival time.
By aggregating the total number of flows passing between nodes to nodes at time slice t , we can obtain the edge weight matrix E t of the dynamic interactions of the mobility network.

3.2. Extraction of Spatial Substructures

After obtaining the dynamic mobility network, we investigate the travel interactions between geographical units to obtain mobility features. Based on the features derived, we use spatial partitioning to further identify patterns of travel behavior on the dynamic mobility network.

3.2.1. Topological Motifs of Mobility Network

More information is retained in the higher-order structure of the network, considering the above-mentioned edge connectivity relationships of the mobility network. In other words, a simplified sequence of trajectories may cover more than two adjacent spatial geographic units, implying that connectivity also exists between higher-order neighboring nodes in the network. In other words, a simplified spatial sequence of trajectories may cover more than two continuous spatial geographic units, implying that the interaction still exists on the geographical units through which the trajectory passes, even though they are not directly connected. For example, a trajectory that follows the route 1→2→3 is described as a pairwise interaction pattern containing 1→2 and 2→3 in our construction way. In order to preserve the second-order interactions between geographic units 1 and 3, we attempted to capture the characteristic of such multi-hop spatial proximity using the higher-order model proposed in complex network theory [58].
A number of studies have used network motifs, a concept derived from the network theory, represented as network subgraphs, to investigate how to describe and characterize the higher-order structure of a network [62,63]. If these network subgraphs occur more frequently than random samples of the whole network, then these network subgraphs of the significant importance are called motifs. In the context of mobility research, network scientists have demonstrated that motifs can help to understand higher-order organizations, for example, by identifying important hub cities in an airline network, or by discovering the themes of travel in a travel chain [62].
In this research, we employ motifs to capture multi-hop spatial connectivity patterns and to uncover local structural interaction features of geospatial units. Particularly, we adopt the topological motifs proposed by Benson et al. to deal with multi-order connectivity relations for directed graphs [63]. Conceptually, a network motif is formed by
M p q = V m , E m ,
where V m =   v 1 ,   v 2 ,   ,     v m     V is a set of p nodes, and E m   R q × q is a weight matrix consisting of q edges. For example, Figure 2 depicts some examples of 3-vertex topological motifs, which represent certain meaningful connectivity structures.
It is notable that motifs are characterized as building blocks of the mobility network topology, but not all of them are significant. We capture the higher-order proximity by mining the frequent occurrence of motifs in mobility networks. For a given collection of motifs M =   M 1 ,   M 2 ,   ,     M k and a static mobility network snapshot g t ,
  • We first calculate the number of occurrences of motif graph M k in the mobility network g t by means of an enumeration method. For the enumeration algorithm, by traversing each node in network g t , a motif is considered to occur once if the sub-structure is formed by this node and its higher order neighbors is the same as the topological structure of the given motif M k ;
  • Based on the previous step, we obtain the number of occurrences of all motifs in the temporal mobility network G and further select the most frequent mobility motifs. Like most studies, we filter motifs collections M with a high average number of occurrences across all static mobility network snapshots by setting a threshold E m , which serves as typical higher-order organizations in mobility network G .
We capture the local neighborhood-level directed connectivity of the nodes of mobility networks through frequent topological motif structures. Further, we use theses higher-order structures to detect densely connected communities in mobility networks.

3.2.2. Motif-Based Communities of Mobility Network

Network communities are used as a common type of densely connected organization to extract agglomerative patterns of networks. Meanwhile, some complex network scientists have discussed the performance of motifs applied to community detection algorithms. For example, Gao et al. proposed an asymmetric triangle enhancement method for network clustering that addressed the fragmentation problem of networks [64]. Shang et al. proposed a motif-based modularity function to extend local communities and achieved better results on six real networks compared to five state-of-the-art algorithms [65]. Specifically, we perceive the spatial agglomerative structures of urban clusters through the mobility networks constructed by trajectories and the frequent motifs detected. In this subsection, we elaborate on how to incorporate frequent higher-order motifs organization into the original mobility network to better encode mobility communities.
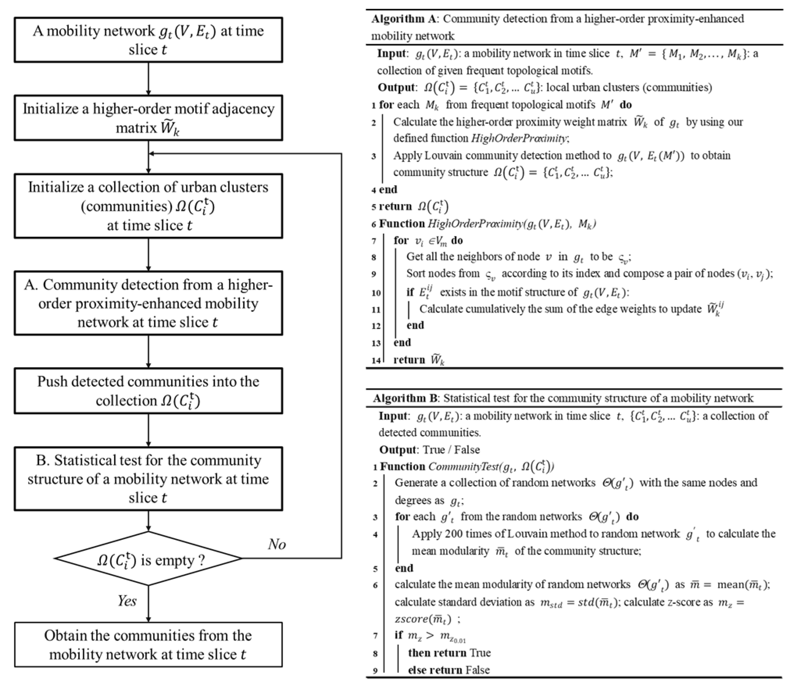
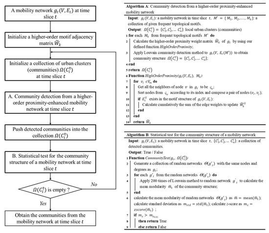
Our approach involves three steps. First, the spatial proximity among nodes is redefined. Then, a community detection is performed for the higher-order proximity-enhanced mobility networks. Third, statistical tests are conducted for the detected mobility community structure. The algorithm flowchart is shown in Figure 3.
First, we follow the definition of weight matrix W ˜ k or the higher-order topic adjacency proposed by Benson et al. [63]. For a given frequent topological motifs M k and mobility network g t , we define the set of all occurrences of motif graph in the network as o c c _ g t M k , where all nodes in the subgraph set compose the nodes V m we mentioned before. For each E m i j   E m , their higher-order adjacency, denoted by θ k i j , is defined as the number of occurrences in the subgraph set o c c _ g t M k . Thus, we obtain a higher-order motif adjacency matrix W ˜ k based on motif M k .
W ˜ k i j = θ k i j + θ k j i ,
After the higher-order proximity calculation, the mobility network can be augmented as
g t = V ,     E t M k ,
E t M = E t     E t W ˜ 1         E t W ˜ k ,
In the second step, we perform statistical tests on the obtained higher-order proximity-enhanced mobility network, checking whether the reconstructed network structure has a significant community structure. We generate a set of random networks with the same nodes and degrees as the mobility networks. Subsequently, the average modularity of the random networks in the set and the reconstructed mobility networks are calculated several times by employing the Louvain method. According to the central limit theorem, the average modularity generated by random networks should follow a normal distribution. We compare the obtained Z-score of the mean modularity of the enhanced mobility network with a threshold at the 1% significance level, thus implementing a test of significance of the community structure.
The third step is to apply the Leuven community detection method to the higher-order proximity-enhanced mobility network g t with significant community structure features. To reduce the randomness of the community structure, we perform multiple calculations on this mobility network to obtain robust mobility network communities, that is, urban clusters.

3.3. Quantification of Spatiotemporal Evolutionary Patterns

As traffic demand for each geographical location can be different and varies over time for a location, the spatial structure of the urban clusters perceived by movements may also vary. It implies that the structure of communities in a temporal mobility network evolves over time. In addition to detecting urban spatial clusters at different times, we focus on the process of how urban spatial clusters evolves over time––evolutionary tracking.
Benefiting from the network format of spatial clusters, we are able to quantify this evolutionary process by employing a series of network measures. Specifically, we compare communities between consecutive time snapshots and introduce a metric to describe this evolving behavior. Mathematically, for a pair of successive network snapshots g t and g t 1 in temporal network G , let C i t and C j t 1 be the communities of the corresponding network, respectively.
Here, we compare similarities between communities by considering both qualitative and quantitative indicators of community membership, and the community similarity between C t i and C j t 1 is defined as I C i t , C j t 1 :
I C i t , C j t 1 = C i t C j t 1 C i t v C i C j t 1 N I C i t v v C i C j t 1 N I C i t v ,
where C i t is the quantity of network nodes in community C t i , and C i t C j t 1 represents the quantify of the overlapping network nodes in the two communities; N I C i t v is a node indicator in a statistical matrix, including centrality, degree, betweenness, etc., that accesses the importance of node v in community C i t . In this research, we select N I as the betweenness of a node, which is a global metric that calculates the average shortest distance between a node to all other nodes.
Further, to clarify this pattern of evolution, we employ an overarching concept proposed by the GED (group evolution discovery) for representing the evolutionary behavior of communities in a temporal network [66]. Specifically, this evolutionary behavior is defined as a series of events, including birth, death, contraction, expansion, merging, and splitting (see Figure 4). For the determination of events, there are two hyperparameters α and β employed to formulate the classification rules for events, as shown in Table 1, where the hyperparameters are used to adjust the number of event observations.
Thus, for mobility network communities in each temporal snapshot, except the first one, we can obtain the evolutionary events between the current community and its corresponding community in the previous temporal snapshot. Finally, the dynamic spatio-temporal processes of urban clusters are described by the type and number of evolutionary events varying in time and space.

4. Experiment and Results

In this section, the proposed framework is applied for a case study, evaluating the applicability of capturing and quantifying the dynamic structure and evolutionary patterns of mobility networks. First, we map the aggregated trajectories onto the geographic space, and then construct a temporal mobility network in a chronological order. Second, we conduct community detection for the higher-order proximity-enhanced temporal snapshot network, acquiring heterogeneous urban spatial clusters. Third, we extract the interactions between urban spatial clusters on continuous temporal snapshots, quantifying the urban spatial evolution patterns in the context of mobility.

4.1. Study Areas and Datasets

The study area is the inner city of Shanghai, China, located within the Outer Ring Road, with a population of over 12 million people, which gathers the majority of traffic flows in the metropolitan area. This area is a typical case of mixed-use development with 263 Traffic Analysis Zones (TAZs) covering an area of approximately 680 square kilometers (Figure 5). The TAZs were chosen as the analysis units to examine urban geospatial interactions, and each unit is referred to a neighborhood with a spatial resolution of approximately 1.4 km. The TAZ dataset is defined by the Shanghai transportation agency as the administrative units for transportation management and planning.
Like most cities, taxis are seen as an important component of the transport system in the city center of Shanghai, and they are used as a proxy for studying human mobility patterns. The de-identified taxi GPS trajectory dataset used for this analysis was collected from 1 September to 28 September 2016. The total number of regularly operating taxis was 16,032, covering approximately 70% of all taxi trips in Shanghai. GPS data points recorded detailed information including device ID, longitude, latitude, status (empty and heavy load), timestamp, speed, etc., where the data were sampled at a frequency of approximately 10–20 s. In order to obtain valid trajectories of trips for further data analysis, the following processing procedure was developed to preprocess the raw dataset. We first filtered the trajectory data within the study area and then identified valid trips based on the passenger load signs in the original records. We also eliminated GPS point data noise for speed over 100 km/h based on the real-time speed record. Then, the outlier trajectory data was removed according to the calculated travel time and distance based on the three-sigma rule. After data pre-processing, we obtained a dataset of taxi trajectories for the construction of urban mobility. The data consist of an average of 85,000 valid loading trips per day, with an average of approximately 5.3 km per trip. Figure 5c plots the spatial distribution of the trajectory data recorded over five minutes, covering most of the roads in the study area. These trips form a representative sample of intra-urban mobilities, which reflect the connectivity in the urban space. It is noted that the proposed framework is applicable to other mobility datasets.

4.2. Overall Mobility Networks Description

Based on detailed trajectory records and spatial units from the TAZs, we constructed a temporal mobility network. We first mapped the trajectories to a numbered sequence of time-stamped traversed TAZs, and then these sequences were aggregated for network construction. In a mobility network, the set of nodes is composed of 263 TAZs spatial units; the edges are made up of the direction of flows between spatial units and the amount of passing traffic. We divided all trip data into three-hour intervals based on their start timestamps. Then, the trip data were aggregated within each time slice as a snapshot of the entire temporal mobility network.
After processing the mobility data, we obtained a profile of the entire mobility network, as shown in Figure 6. It contains 263 nodes and 2083 edges. Further, we calculated two commonly used metrics of each node, namely degree and strength, for a quantitative global description of the network structure. We also calculated these two metrics for higher-order nodes. In the context of mobility, degree and strength, respectively, represent the extent (mobility geographic coverage by taxi service) and intensity (mobility concentration of trips) of the interactions between neighboring nodes.
In terms of overall spatial linkages, as shown in Figure 6a, on the one hand, there is a strong spatial interaction between the core urban area and the peripheral urban areas, while the interaction between the suburbs is relatively weak. On the other hand, the network shows a noticeable distribution of clustering. As for the multi-order hierarchy of connectivity based on statistical indicators, it can be seen that the two metrics show significantly different distributions. For degree, its multi-orders show an approximately bell-shaped normal distribution, implying a distinct randomly distributed geospatial structure of the mobility network. For strength, the overall trend looks like a hump with a thick tail, implying obvious heterogeneity that a small number of nodes tend to involve more traffic volume.
Overall, the statistics show that the spatial units in the mobility network have more intensive interactions with the proximal area, exhibiting a spatial cluster. Additionally, the higher-order connectivity preserves both the lower-order geographical proximity and the preferential connectivity in the mobility network.

4.3. Communities of Temporal Mobility Network

The above exploratory analysis focuses on describing the overall spatial structural characteristics of the mobility network. To further explore the characteristics of the aggregated distribution of urban spatial organizations, we extend the analysis by applying our proposed approach to introduce a temporal dimension on top of it.
First, in our mobility network, we chose three motifs as the fundamental organization, which is a common generalization of neighboring information. The statistical characteristics of these higher-order connectivity was discussed above. By counting the number of occurrences of three different motifs on each time slice, we obtained the most frequent of these triad graphs in the mobility network, covering M1, M2, and M6 in Figure 2. In our proposed approach, they represent the recurring mobility patterns of taxi trips between neighboring regions in geographic spaces as well as the typical connectivity features in network communities.
The mobility communities derived from the enhancement of higher-order features of traffic flows, also referred to as urban clusters, reveal the aggregation forms of the urban spatial structure. As the network connectivity is indicated by traffic volumes from aggregated trajectory sequences, the geographical units with roughly similar spatial coverage of mobility activities are closely clustered together. Meanwhile, geospatial units with comparable vibrancy of transport interactions are considered as the same mobility community in the same time slice. We uncovered the evolution of the spatial structure of urban clusters for each day of the week by aggregating the data from nearly a month by week. In Figure 7 (more detailed results can be found in Appendix A), by dividing every three hours as a time slice, it shows a spatial visualization of the community division of the mobility network within each time slice, where clusters in the same color belong to the mobility community on the same space. It is worth noting that most of the community structures are statistically significant at the 1% level, indicating that our acquired communities are relatively stable. To a certain extent, the spatial visualization results reveal the rhythm of daily mobilities at the mesoscopic scale within urban spaces. These results encompass both the spatial hierarchy within the same time slice and the trends for the same neighbors over time.
To show the general conviction of our approach, we explored the similarities and differences in the urban spatial structure of a typical weekday and weekends. Specifically, among the communities we obtained, we selected the results of peak hours on Thursdays and weekends, as shown in Figure 7, where peak hours include the morning peak (7 am to 9 am) and evening peak (5 pm to 7 pm) periods as defined by the Shanghai government. In terms of the spatial distribution, the closer to the city center, the smaller the size of the community, and bigger scale mobility communities surround the city at the periphery. It is most likely that there are more accessible infrastructures in the central area resulting in a relatively dense short trip. In contrast, there are more dispersed traffic demands in the surrounding areas leading to more long trips. Further, perhaps there is a match between the mixed land uses and the urban clusters in different geographical locations during the planning period, which, to a certain extent, influences the size of the communities. A second important finding is that the spatial boundaries of urban clusters are partly distinguished from the administrative boundaries but are constrained by natural geographical boundaries. Obviously, the Huangpu River forms a part of the spatial boundary of the community. This finding can also confirm that the resulting urban clusters have meaningful geographical boundaries and, thus, address spatial heterogeneity.
In terms of different time periods, the spatial structure of urban spaces on weekdays and weekends differs relatively distinctly over space. Specifically, it seems that the spatial clusters are smaller in spatial coverage and more numerous on weekends compared to weekdays. Moreover, comparing the peak and off-peak hours, a similar pattern is captured, where mobility communities during off-peaks are also relatively spatially dispersed and small-scale concentrated. In a way, this dynamic change in spatial structure in time also reveals that the structure of mobility space exhibits certain spatial scaling patterns at different times.
Additionally, we adopted two widely used community quality metrics as measures of community detection performance, without previously knowing the ground-truth of communities. One of the metrics used in this paper is modularity, which measures the density of edges in an intra-community compared to the edges in extra-communities. The greater its value, the better the quality of the community. The other is the average cluster coefficient, measuring the local connectivity, which is also related to the robustness of a network’s partitioned structure. The results of the two metrics are shown in Figure 8. It yields that the modularity remains a relatively high level over 0.68, and the average cluster coefficient appears to be on the uptrend in the peak hours and reaches its lowest point in the late night. With these commonly used community detection evaluation indicators, our proposed approach is validated as stable and robust, in terms of partitioning mobility networks into compact spatial clusters to reflect the spatial layout of urban areas in the context of mobility.

4.4. Evolutionary Patterns of Urban Clusters

The evolution of urban clusters in space is captured by tracking changes in the structure of mobility communities. Based on the spatial distribution of the dynamic mobility communities, their evolutions over time are discovered. As shown in Figure 9, there is an intuitive demonstration of how the communities interact with each other and the evolving trends of this interaction.
We further analyzed the evolution patterns of the network communities from the perspective of dynamic community structure changing. First, we plotted a Sankey diagram from 6 am to 12 pm on Thursday, which demonstrates how communities in the study area interact with each other and how the interaction alters from one entity at snapshots. Such changes are reflected in the affiliation of spatial units as members in different communities. In Figure 9, with the geospatial distribution of mobility communities as a reference, the width of the links between communities in continuous time indicates the number of overlapping members in space.
As seen from Figure 9, in terms of the specific communities, the structural characteristic of different communities presents different patterns: some communities have a steady trend which gradually scales up or down. For example, the communities in the three darkest colors in the bars gradually decrease in size, while they also happen to be concentrated in the upper central part of the city. Contrastingly, the others tend to show frequent interactions with each other, thus, generating transition events. This finding confirms the instability of the internal mobility structure of certain urban regions and further characterizes the spatially heterogeneous traffic patterns. Meanwhile, in terms of the specific time periods, through the overlapping flow curves in the figure, the flow of spatial units within each spatial agglomeration is shown to be more diverse. During the off-peak hours, the flow is relatively stable. Such a pattern is also indicative to the frequent changes in the urban spatial structure because of the more active activities in the city during the peak hours. Further, the overall trend is that urban space gradually consolidates from loose and small-scale clusters to large-scale clusters. In later periods, the integrated clusters are gradually split into small-scale communities dispersed in the study area.
In addition, we applied the GED method introduced in the Section 3.3 and set the commonly used parameter α = β = 20% to calculate the evolution events. After the calculation, we obtained a series of consecutive community events as characteristic measures of dynamic mobility network evolution and demonstrate them in a thermal diagram in Figure 10. In this figure, the value is the number of events occurring in every two adjacent snapshots. Additionally, it is interesting to note that no clusters died or grew up. It is presumably because the study area was fixed with no parcel changes, and, therefore, the events detected do not include births and deaths.
In the evolutionary process shown in Figure 10, the dynamic patterns of urban spatial structures are depicted as specific spatial events. It is observed that contraction and expansion events usually occur at the same time, and there are slightly more contraction events than expansion events during both weekday and weekend peaks. These events reflect the dramatic changes in the activities that occur over urban spaces during this period. In addition, comparing the evolutionary events in the morning peaks with that of in the evening peaks on the same day, i.e., 2→ and 5→7 in the figure, it shows a relatively similar distribution of the number of events. Contrasting weekdays and weekends side-by-side, the slight difference is in the number of event types during off-peaks. In general, active mobility generates dynamic changes in the spatial organization of urban spaces. The spatio-temporal regularities in dynamic networks are, thus, verified and further described in the evolutionary process, which also suggests that intermediate structures with spatio-temporal properties (network communities) are an appropriate way to study dynamic urban spatial structures.

5. Discussion and Conclusions

5.1. Methodological Discussion for Revealing the Dynamics of Urban Spatial Structures

Taking the spatial organizations and temporal associations of urban spatial structure into consideration simultaneously, this paper proposes a novel framework for revealing the dynamics of urban spatial structure by the three steps of modelling the urban spatial network, identifying urban spatial sub-regions and characterizing the evolution of urban spatial structure. The highlights of our study are threefold. First, we construct the urban spatial network using continuous trajectory data as a proxy for human activity. The spatially embedded network constructed based on continuous trajectory data takes into account geospatial constraints and retains more detailed routing information. Different from networks constructed with trajectory OD data, the network nodes in our proposed method measure the through traffic between adjacent TAZ rather than direct traffic demand spanning geographic space. Similar to the gravity model in the travel distribution model, it takes explicit geospatial proximity into consideration and achieves a characterization of the strength of spatial interactions between adjacent TAZ. Second, we integrate the higher-order structure of the network in identifying urban mobility communities. A number of studies have demonstrated that motifs can reveal the frequent connectivity patterns of networks, thus we enhance the spatial connectivity of mobility networks by computing the motif co-occurrence matrix. Further, for the identification of urban sub-regions, relative to other unsupervised spatial clustering algorithms, the network community detection algorithm focuses on the closeness of the connections among objects rather than the sparseness of the distribution of individual objects. The obtained urban sub-areas are rich in metrics (e.g., degree centrality) and retain the original connections in geospatial terms. As a result, the mobility communities obtained are spatially heterogeneous urban sub-regions with high intensity of internal interactions. Third, we propose indicators to quantify changes in urban spatial structure and describe them as specific spatial events. Distinguishing from other dynamic studies of urban spatial structure, we obtain not only simple statistical characteristics, such as size, topology, and identified boundaries of urban clusters over different time periods, but a more intuitive and comprehensive pattern of evolution.

5.2. Implication of Urban Spatial Structure Dynamics and Its Evolutionary Patterns

This study explores dynamic spatial interactions at the mesoscopic scale, providing a tool to verify spatio-temporal properties of spatial structure dynamics from the lens of traffic flows. From a spatial perspective, we obtained urban sub-regions as highly heterogeneous spatial clusters with dense internal connectivity and sparse external connections, which shows the concentrated distribution of traffic flows. On the one hand, the clear boundaries and divergent spatial extents exhibited by the sub-regional clusters can inform the zoning of fine-grained urban management. Existing regional jurisdictional boundaries are mostly fixed administrative or geographic boundaries, which, to a certain extent, limit implementing reasonable and flexible solutions benefiting intra-city travels and land uses, especially in highly dynamic and compact metropolitan areas such as Shanghai. On the other hand, the detected mobility clusters still retain a network structure with interactions. Network metrics such as clustering coefficients characterize the divergent geographical cohesion of the concentrated activity space, with intra-cluster interactions being more intensive during daytime relative to late night.
From a temporal perspective, the empirical study based on the one-month mobility data of Shanghai explores the fine-grained dynamics of the urban spatial structure, including inter-regional interactions and changes in the regions themselves. Firstly, the change of members in a cluster specifies the size and direction of dynamic mobility demand, which can assist decision makers in coordinating regional resource allocation and in dynamic traffic control. Further, this quantified interactions between sub-regions can be used to validate some urban planning policies, for example regarding the delineation of commuting circles for the separation of jobs and housing. Secondly, we obtained the time-series structural characteristics of urban sub-regions. Their statistical characteristics are able to illustrate the spatial stability of urban organizations and reveal the spatial vitality. Moreover, the urban spatial dynamics are described as specific spatial evolutionary events (e.g., expansion and contraction), providing a consistent assessment tool for theories that examine the coupling of urban patterns and processes. By continuously identifying and tracking significant changes in urban structure, short-term rhythms of life within urban space are revealed, and the urban development can be further explored.

5.3. Innovations, Limitations, and Prospects

Our research renews knowledge about the dynamics of urban structure from the perspective of mobility. Theoretically, it enriches the insights into the complex spatio-temporal dynamics and the evolution of urban spatial layout by taking advantage of mobility data, which combine both temporal and spatial attribute information. With mobility data, two layers of associations of urban structure are constructed, including spatial interactions among urban areas and temporal linkage of the urban areas on their own. Methodologically, we propose an analytical framework for quantifying the dynamics of urban spatial structure, including a method for urban spatial clusters extraction based on continuous trajectory sequences and a quantitative measure for spatial clusters evolution. Specifically, we constructed a temporal network of interactions among urban areas using a spatial sequence of trajectories, which considered the mapping of network space to geographic space as well as geographical proximity. Meanwhile, we extracted statistically significant urban spatial regions with a modified community detection method based on complex networks, and we preserved more connected relationships among sub-regions, as distinguished from data distribution-based spatial clustering algorithms. Further, we propose a quantitative measure to track changes in the structure and size of network communities, enabling a dynamic assessment of the evolutionary process of urban spatial clusters. Based on an extensive evaluation, the empirical study in Shanghai shows that our analytical framework is novel and valid, which could be applied to urban spatial planning and mobility management.
However, there exist limitations in this study. First, our experimental findings were derived from taxi travel modes, which is one of the transport modes. Therefore, the observed mobility patterns in our analysis cannot be overgeneralized. To fully reveal the evolution of urban spatial clusters in the context of mobility, the subsequent study will construct dynamic mobility networks by taking into account multiple modes of transport. Second, our study duration spanned only one month owing to mobility data availability constraints. An analysis of longer time series is preferable for understanding the dynamics of spatial structure in the urbanization process. Third, we focused on the passing flow between geospatial units as a proxy for inter-regional connections when constructing mobility networks. However, trajectory also contains much valuable information, such as the purpose of travel and traffic state, which can be further integrated into the framework to provide insights into urban functions. For future work, we will combine the integration of additional data, such as socio-demographic information and built environment data, to further integrate this structural change characterization and evolutionary quantification framework into a predictive system for long time series urban development. Finally, the proposed framework could be applied to a comparative analysis of several cities to explore contextual differences at different levels of development.

Author Contributions

Conceptualization, Chun Liu and Li Chen; methodology, Chun Liu, Wei Huang and Li Chen; formal analysis, Li Chen, Quan Yuan and Wei Huang; resources, Hangbin Wu; writing—original draft preparation, Li Chen; writing—review and editing, Wei Huang and Chun Liu; supervision, Chun Liu. All authors have read and agreed to the published version of the manuscript.

Funding

This research was supported by the National Key R&D Program of China (2021YFB2501101), the National Science Foundation of China (42171452), the “Science and Technology Innovation Action Plan” project of the Science and Technology Commission of Shanghai Municipality (20XD1403800), and the Fundamental Research Funds for the Central Universities (22120210196/22120210197).

Institutional Review Board Statement

Not applicable.

Informed Consent Statement

Not applicable.

Data Availability Statement

The experimental data after data masking and the code of the algorithms that are needed to replicate the experiments are available at https://figshare.com/ (accessed on 25 January 2022), which can be accessed via the link: https://doi.org/10.6084/m9.figshare.19386527.v1 (accessed on 25 January 2022).

Acknowledgments

The authors thank the editors and reviewers for their comments with which its quality was improved.

Conflicts of Interest

The authors declare no conflict of interest.

Appendix A

Figure A1. Results of spatial visualization of urban clusters distribution within each three-hour time slice during the week.
Figure A1. Results of spatial visualization of urban clusters distribution within each three-hour time slice during the week.
Ijgi 11 00237 g0a1

References

  1. Barbosa, H.; Barthelemy, M.; Ghoshal, G.; James, C.R.; Lenormand, M.; Louail, T.; Menezes, R.; Ramasco, J.J.; Simini, F.; Tomasini, M. Human mobility: Models and applications. Phys. Rep. Rev. Sect. Phys. Lett. 2018, 734, 1–74. [Google Scholar] [CrossRef] [Green Version]
  2. Chetty, R.; Hendren, N.; Kline, P.; Saez, E. Where is the Land of Opportunity? The Geography of Intergenerational Mobility in the United States. Q. J. Econ. 2014, 129, 1553–1623. [Google Scholar] [CrossRef] [Green Version]
  3. Simini, F.; Gonzalez, M.C.; Maritan, A.; Barabasi, A.L. A universal model for mobility and migration patterns. Nature 2012, 484, 96–100. [Google Scholar] [CrossRef] [PubMed]
  4. Wang, Y.; Cullinane, K. Traffic consolidation in East Asian container ports: A network flow analysis. Transp. Res. Part A Policy Pract. 2014, 61, 152–163. [Google Scholar] [CrossRef]
  5. Lee, J.; Seo, D. Accuracy of Regional Centrality Using Social Network Analysis: Evidence from Commuter Flow in South Korea. ISPRS Int. J. Geo-Inf. 2021, 10, 642. [Google Scholar] [CrossRef]
  6. Hawelka, B.; Sitko, I.; Beinat, E.; Sobolevsky, S.; Kazakopoulos, P.; Ratti, C. Geo-located Twitter as proxy for global mobility patterns. Cartogr. Geogr. Inf. Sci. 2014, 41, 260–271. [Google Scholar] [CrossRef] [PubMed] [Green Version]
  7. Liu, X.; Gong, L.; Gong, Y.X.; Liu, Y. Revealing travel patterns and city structure with taxi trip data. J. Transp. Geogr. 2015, 43, 78–90. [Google Scholar] [CrossRef] [Green Version]
  8. Chaix, B.; Kestens, Y.; Perchoux, C.; Karusisi, N.; Merlo, J.; Labadi, K. An Interactive Mapping Tool to Assess Individual Mobility Patterns in Neighborhood Studies. Am. J. Prev. Med. 2012, 43, 440–450. [Google Scholar] [CrossRef] [Green Version]
  9. Xu, Y.; Chen, D.C.; Zhang, X.H.; Tu, W.; Chen, Y.Y.; Shen, Y.; Ratti, C. Unravel the landscape and pulses of cycling activities from a dockless bike-sharing system. Comput. Environ. Urban Syst. 2019, 75, 184–203. [Google Scholar] [CrossRef]
  10. Kang, K.; Xie, S.E.; Huang, L.J.; Han, Y.M.; Huang, P.Y.; Mak, K.F.; Kim, C.J.; Muller, D.; Park, J. High-mobility three-atom-thick semiconducting films with wafer-scale homogeneity. Nature 2015, 520, 656–660. [Google Scholar] [CrossRef]
  11. Guzman, L.A.; Oviedo, D.; Rivera, C. Assessing equity in transport accessibility to work and study: The Bogota region. J. Transp. Geogr. 2017, 58, 236–246. [Google Scholar] [CrossRef]
  12. Fleischmann, M.; Romice, O.; Porta, S.J.E. Measuring urban form: Overcoming terminological inconsistencies for a quantitative and comprehensive morphologic analysis of cities. Environ. Plan. B Urban Anal. City Sci. 2020, 48, 2133–2150. [Google Scholar] [CrossRef] [Green Version]
  13. Yang, T.; Jin, Y.; Yan, L.; Pei, P.J.E.; Analytics, P.B.U.; Science, C. Aspirations and realities of polycentric development: Insights from multi-source data into the emerging urban form of Shanghai. Plan. B Urban Anal. City Sci. 2019, 46, 1264–1280. [Google Scholar] [CrossRef]
  14. Long, Y.; Ye, Y.J.L.; Planning, U. Measuring human-scale urban form and its performance. Landsc. Urban Plan. 2019, 191, 103612. [Google Scholar] [CrossRef]
  15. Benguigui, L.; Czamanski, D. Simulation Analysis of the Fractality of Cities. Geogr. Anal. 2003, 36, 69–84. [Google Scholar] [CrossRef]
  16. Frankhauser, P. Comparing the morphology of urban patterns in Europe—A fractal approach. Eur. Cities–Insights Outskirts Rep. COST Action 2004, 10, 79–105. [Google Scholar]
  17. Mashhoodi, B.; Pont, M.Y.B. Studying Land-Use Distribution and Mixed-Use Patterns in Relation to Density, Accessibility and Urban Form. In Proceedings of the ISUF 2011: 18th International Seminar on Urban Form: Urban Morphology and the Post-Carbon City, Montreal, QC, Canada, 26–29 August 2011. [Google Scholar]
  18. Dembski, S.; Sykes, O.; Couch, C.; Desjardins, X.; Evers, D.; Osterhage, F.; Siedentop, S.; Zimmermann, K. Reurbanisation and suburbia in Northwest Europe: A comparative perspective on spatial trends and policy approaches. Progress Plan. 2021, 150, 100462. [Google Scholar] [CrossRef]
  19. Kim, K. Identifying the Structure of Cities by Clustering Using a New Similarity Measure Based on Smart Card Data. IEEE Trans. Intell. Transp. Syst. 2020, 21, 2002–2011. [Google Scholar] [CrossRef]
  20. Zhou, X.; Zhang, L. Crowdsourcing functions of the living city from Twitter and Foursquare data. Cartogr. Geogr. Inf. Sci. 2016, 43, 393–404. [Google Scholar] [CrossRef]
  21. Hu, Y.; Gao, S.; Janowicz, K.; Yu, B.; Li, W.; Prasad, S. Extracting and understanding urban areas of interest using geotagged photos. Comput. Environ. Urban Syst. 2015, 54, 240–254. [Google Scholar] [CrossRef]
  22. Hackl, J.; Dubernet, T.J. Epidemic Spreading in Urban Areas Using Agent-Based Transportation Models. Future Internet 2019, 11, 92. [Google Scholar] [CrossRef] [Green Version]
  23. Wu, C.; Smith, D.A.; Wang, M.J. Simulating the urban spatial structure with spatial interaction: A case study of urban polycentricity under different scenarios. Comput. Environ. Urban Syst. 2021, 89, 101677. [Google Scholar] [CrossRef]
  24. Barthelemy, M. Spatial networks. Phys. Rep.-Rev. Sect. Phys. Lett. 2011, 499, 1–101. [Google Scholar] [CrossRef] [Green Version]
  25. Kang, C.; Jiang, Z.; Liu, Y. Measuring hub locations in time-evolving spatial interaction networks based on explicit spatiotemporal coupling and group centrality. Int. J. Geogr. Inf. Sci. 2022, 36, 360–381. [Google Scholar] [CrossRef]
  26. Curado, M.; Tortosa, L.; Vicent, J.F. Identifying mobility patterns by means of centrality algorithms in multiplex networks. Appl. Math. Comput. 2021, 406, 126269. [Google Scholar] [CrossRef]
  27. Wang, G.; Zhong, Y.; Teo, C.-P.; Liu, Q.J. Flow-based accessibility measurement: The Place Rank approach. Transp. Res. Part C Emerg. Technol. 2015, 56, 335–345. [Google Scholar] [CrossRef]
  28. Newman, M.E.J. Mathematics of networks. New Palgrave Encycl. Econ. 2008, 2, 1–12. [Google Scholar]
  29. Anas, A.; Arnott, R.; Small, K.A. Urban spatial structure. J. Econ. Lit. 1997, 36, 1426–1464. [Google Scholar]
  30. Zhong, C.; Schläpfer, M.; Arisona, S.M.; Ratti, C.; Batty, M.; Schmitt, G. Revealing centrality in the spatial structure of cities from human activity patterns. Urban Stud. 2015, 54, 437–455. [Google Scholar] [CrossRef] [Green Version]
  31. Krehl, A.J.R.S. Regional Science. Urban spatial structure: An interaction between employment and built-up volumes. Reg. Stud. Reg. Sci. 2015, 2, 290–308. [Google Scholar]
  32. Bertaud, A. The Spatial Organization of Cities: Deliberate Outcome or Unforeseen Consequence? Institute of Urban and Regional Development University of California at Berkeley: Berkeley, CA, USA, 2004. [Google Scholar]
  33. Cegielska, K.; Piotrowski, P.; Kukulska, A.; Szylar, M. Analysis of the spatial structure of urban antropogenic areas. Acta Sci. Pol. Circumiectus 2018, 3, 39–54. [Google Scholar] [CrossRef]
  34. Zhang, T.; Sun, B.; Li, W.J.C. The economic performance of urban structure: From the perspective of Polycentricity and Monocentricity. Cities 2017, 68, 18–24. [Google Scholar] [CrossRef]
  35. Grosvenor, M.; O’Neill, P.J. The Density Debate in Urban Research: An Alternative Approach to Representing Urban Structure and Form. Geogr. Res. 2014, 52, 442–458. [Google Scholar] [CrossRef]
  36. Li, Y.J. Towards concentration and decentralization: The evolution of urban spatial structure of Chinese cities, 2001–2016. Comput. Environ. Urban Syst. 2020, 80, 101425. [Google Scholar] [CrossRef]
  37. Sarkar, S.; Phibbs, P.; Simpson, R.; Wasnik, S.J. The scaling of income distribution in Australia: Possible relationships between urban allometry, city size, and economic inequality. Environ. Plan. B Urban Anal. City Sci. 2018, 45, 603–622. [Google Scholar] [CrossRef] [Green Version]
  38. Pinho, P.; Silva, C. Mobility Patterns and Urban Structure; Ashgate Publishing, Ltd.: Farnham, UK, 2015. [Google Scholar]
  39. Sarkar, S.; Chawla, S.; Ahmad, S.; Srivastava, J.; Hammady, H.M.; Filali, F.; Znaidi, W.; Borge-Holthoefer, J. Effective Urban Structure Inference from Traffic Flow Dynamics. IEEE Trans. Big Data 2017, 3, 181–193. [Google Scholar] [CrossRef]
  40. Zhu, H. Multilevel understanding dynamic changes in inbound tourist flow network (ITFN) structure: Topology, collaboration, and competitiveness. Curr. Issues Tour. 2020, 24, 2059–2077. [Google Scholar] [CrossRef]
  41. Crecine, J.P. A Dynamic Model of Urban Structure; Rand Corp: Santa Monica, CA, USA, 1968. [Google Scholar]
  42. Batty, M. The New Science of Cities; The MIT Press: Cambridge, MA, USA, 2013. [Google Scholar]
  43. Schmitt, G. Spatial modeling issues in future smart cities. Geo-Spatial Inf. Sci. 2013, 16, 12–17. [Google Scholar] [CrossRef]
  44. Hu, L.; Sun, T.; Wang, L. Evolving urban spatial structure and commuting patterns: A case study of Beijing, China. Transp. Res. Part D Transp. Environ. 2018, 59, 11–22. [Google Scholar] [CrossRef]
  45. Liu, X.; Yan, X.; Wang, W.; Titheridge, H.; Wang, R.; Liu, Y. Characterizing the polycentric spatial structure of Beijing Metropolitan Region using carpooling big data. Cities 2021, 109, 103040. [Google Scholar] [CrossRef]
  46. Zhong, C.; Arisona, S.M.; Huang, X.; Batty, M.; Schmitt, G. Detecting the dynamics of urban structure through spatial network analysis. Int. J. Geogr. Inf. Sci. 2014, 28, 2178–2199. [Google Scholar] [CrossRef]
  47. Girvan, M.; Newman, M.E.J. Community structure in social and biological networks. Proc. Natl. Acad. Sci. USA 2002, 99, 7821–7826. [Google Scholar] [CrossRef] [PubMed] [Green Version]
  48. Newman, M.E.J.; Girvan, M.J. Finding and evaluating community structure in networks. Phys. Rev. E 2004, 69, 026113. [Google Scholar] [CrossRef] [PubMed] [Green Version]
  49. Yildirimoglu, M.; Kim, J. Identification of communities in urban mobility networks using multi-layer graphs of network traffic. Transp. Res. Procedia 2017, 27, 1034–1041. [Google Scholar] [CrossRef]
  50. Charu, V.; Zeger, S.L.; Gog, J.R.; Bjørnstad, O.N.; Kissler, S.M.; Simonsen, L.; Grenfell, B.T.; Viboud, C. Human mobility and the spatial transmission of influenza in the United States. PLoS Comput. Biol. 2017, 13, e1005382. [Google Scholar] [CrossRef] [PubMed] [Green Version]
  51. Anderson, T.; Dragi evj, S.J. Representing Complex Evolving Spatial Networks: Geographic Network Automata. ISPRS Int. J. Geo-Inf. 2020, 9, 270. [Google Scholar] [CrossRef] [Green Version]
  52. Sarkar, D.; Andris, C.; Chapman, C.A.; Sengupta, R.R.J. Metrics for characterizing network structure and node importance in Spatial Social Networks. Int. J. Geogr. Inf. Sci. 2019, 33, 1017–1039. [Google Scholar] [CrossRef]
  53. Shaw, S.-L.; Sui, D. Editorial: GIScience for human dynamics research in a changing world. Trans. GIS 2018, 22, 891–899. [Google Scholar] [CrossRef]
  54. Kaluza, P.; Kölzsch, A.; Gastner, M.T.; Blasius, B. The complex network of global cargo ship movements. J. R. Soc. Interface 2010, 7, 1093–1103. [Google Scholar] [CrossRef]
  55. Behiri, W.; Belmokhtar-Berraf, S.; Chu, C. Urban freight transport using passenger rail network: Scientific issues and quantitative analysis. Transp. Res. Part E Logist. Transp. Rev. 2018, 115, 227–245. [Google Scholar] [CrossRef]
  56. Lambiotte, R.; Rosvall, M.; Scholtes, I. From networks to optimal higher-order models of complex systems. Nat. Phys. 2019, 15, 313–320. [Google Scholar] [CrossRef] [PubMed]
  57. Singer, P.; Helic, D.; Taraghi, B.; Strohmaier, M. Detecting Memory and Structure in Human Navigation Patterns Using Markov Chain Models of Varying Order. PLoS ONE 2014, 9, e102070. [Google Scholar] [CrossRef] [PubMed] [Green Version]
  58. Xu, J.; Wickramarathne, T.L.; Chawla, N.V. Representing Higher Order Dependencies in Networks. Sci. Adv. 2016, 2, e1600028. [Google Scholar] [CrossRef] [PubMed] [Green Version]
  59. Battiston, F.; Cencetti, G.; Iacopini, I.; Latora, V.; Lucas, M.; Patania, A.; Young, J.-G.; Petri, G. Networks beyond pairwise interactions: Structure and dynamics. Phys. Rep. 2020, 874, 1–92. [Google Scholar] [CrossRef]
  60. Kulkarni, V.; Tagasovska, N.; Vatter, T.; Garbinato, B.J.A. Generative Models for Simulating Mobility Trajectories. arXiv 2018, arXiv:1811.12801. [Google Scholar]
  61. Pappalardo, L.; Simini, F. Data-driven generation of spatio-temporal routines in human mobility. Data Min. Knowl. Disc. 2018, 32, 787–829. [Google Scholar] [CrossRef] [Green Version]
  62. Milo, R.; Shen-Orr, S.S.; Itzkovitz, S.; Kashtan, N.; Chklovskii, D.B.; Alon, U.J.S. Network motifs: Simple building blocks of complex networks. Science 2002, 298, 824–827. [Google Scholar] [CrossRef] [Green Version]
  63. Benson, A.R.; Gleich, D.F.; Leskovec, J.J.S. Higher-order organization of complex networks. Science 2016, 353, 163–166. [Google Scholar] [CrossRef] [Green Version]
  64. Gao, Y.; Yu, X.; Zhang, H. Graph clustering using triangle-aware measures in large networks. Inf. Sci. 2022, 584, 618–632. [Google Scholar] [CrossRef]
  65. Shang, R.; Zhang, W.; Zhang, J.; Feng, J.; Jiao, L. Local community detection based on higher-order structure and edge information. Phys. A Stat. Mech. Its Appl. 2022, 587, 126513. [Google Scholar] [CrossRef]
  66. Bródka, P.; Saganowski, S.; Kazienko, P.J. GED: The method for group evolution discovery in social networks. Soc. Netw. Anal. Min. 2012, 3, 1–14. [Google Scholar] [CrossRef] [Green Version]
Figure 1. An illustration of the analytical framework.
Figure 1. An illustration of the analytical framework.
Ijgi 11 00237 g001
Figure 2. M1-8 are candidates for the 3-vertex topological motifs used in our study.
Figure 2. M1-8 are candidates for the 3-vertex topological motifs used in our study.
Ijgi 11 00237 g002
Figure 3. Flowchart of the motif-based community detection algorithm for mobility networks.
Figure 3. Flowchart of the motif-based community detection algorithm for mobility networks.
Ijgi 11 00237 g003
Figure 4. An illustration of the six types of defined community evolution events that may occur in a temporal network.
Figure 4. An illustration of the six types of defined community evolution events that may occur in a temporal network.
Ijgi 11 00237 g004
Figure 5. Datasets used in our case study: (a) The geographical location of the study area and its extent. (b) The traffic analysis cell serves as the basic spatial units of our study area. (c) The sample of taxi trajectory data we used is located on continuous urban roads.
Figure 5. Datasets used in our case study: (a) The geographical location of the study area and its extent. (b) The traffic analysis cell serves as the basic spatial units of our study area. (c) The sample of taxi trajectory data we used is located on continuous urban roads.
Ijgi 11 00237 g005
Figure 6. Mobility network constructed from trajectory data located both in geographic space and in cyberspace and its statistical characteristics: (a) Geographic visualization of a mobility network constructed from the traffic passing between adjacent geographical units, where the thickness and color of the edges are according to the weights of the network edges; (b) Topological visualization of the mobility network in cyberspace; (ce) log–log scatter plots of the frequency distribution of the node degrees from first-order to third-order; (fh) log–log scatter plots of the frequency distribution of the node strengths from first-order to third-order, where the node strengths are divided by 3000 for simplicity of visualization.
Figure 6. Mobility network constructed from trajectory data located both in geographic space and in cyberspace and its statistical characteristics: (a) Geographic visualization of a mobility network constructed from the traffic passing between adjacent geographical units, where the thickness and color of the edges are according to the weights of the network edges; (b) Topological visualization of the mobility network in cyberspace; (ce) log–log scatter plots of the frequency distribution of the node degrees from first-order to third-order; (fh) log–log scatter plots of the frequency distribution of the node strengths from first-order to third-order, where the node strengths are divided by 3000 for simplicity of visualization.
Ijgi 11 00237 g006
Figure 7. A spatial visualization of urban clusters distributions within each time slice, where each colored block indicates an urban cluster. The color is used to specify the clusters and does not have a specific meaning. It is noted that a very small proportion of color-blank spatial units are not attached with any color, because they do not belong to any community.
Figure 7. A spatial visualization of urban clusters distributions within each time slice, where each colored block indicates an urban cluster. The color is used to specify the clusters and does not have a specific meaning. It is noted that a very small proportion of color-blank spatial units are not attached with any color, because they do not belong to any community.
Ijgi 11 00237 g007
Figure 8. Plots of the modularity (a) and average clustering coefficients (b) of the results of the community detection over time, where the results are calculated from communities that include a full day (eight time slices) on Thursday, Friday, and Saturday.
Figure 8. Plots of the modularity (a) and average clustering coefficients (b) of the results of the community detection over time, where the results are calculated from communities that include a full day (eight time slices) on Thursday, Friday, and Saturday.
Ijgi 11 00237 g008
Figure 9. The process of spatial evolution of urban spatial clusters over time in different time slices. In the diagram, the mobility community on each time slice is represented as a color block; the length of the block indicates the number of its spatial units, and its color corresponds to the color of the spatial clusters in Figure 7; the curves attached to the mobility community connect the corresponding communities in the next time slice at the spatial locations, and the width of the curve indicates the number of changing spatial units.
Figure 9. The process of spatial evolution of urban spatial clusters over time in different time slices. In the diagram, the mobility community on each time slice is represented as a color block; the length of the block indicates the number of its spatial units, and its color corresponds to the color of the spatial clusters in Figure 7; the curves attached to the mobility community connect the corresponding communities in the next time slice at the spatial locations, and the width of the curve indicates the number of changing spatial units.
Ijgi 11 00237 g009
Figure 10. Spatial evolutionary events of community structure between successive time slices, including the detected results from 6 am to 12 pm on Thursdays (a) and Saturdays (b). The number in each square indicates the occurrence of the corresponding evolutionary event in the adjacent time slice, where the darker colors indicate a higher frequency.
Figure 10. Spatial evolutionary events of community structure between successive time slices, including the detected results from 6 am to 12 pm on Thursdays (a) and Saturdays (b). The number in each square indicates the occurrence of the corresponding evolutionary event in the adjacent time slice, where the darker colors indicate a higher frequency.
Ijgi 11 00237 g010
Table 1. A summary table of definitions and judgement conditions for the evolutionary events of the network community in a temporal network.
Table 1. A summary table of definitions and judgement conditions for the evolutionary events of the network community in a temporal network.
Community Evolution EventsDefinitionConditional Tags
birtha community occurs in t and does not exist in t 1 for C i in t and each community C j in t 1 , I C j t 1 , C i t   <   α , I C i t , C j t 1   <   β
deatha community appears in t 1 and does not occur in t for C j in t 1 and each community C i in t , I C j t 1 , C i t   <   α , I C i t , C j t 1   <   β
expansionadditional members join the community with initial members unchanged I C j t 1 , C i t     α and I C i t , C j t 1   <   β and C j t 1     | C i t | and there is only one matching event between C j t 1 and all communities in t , or I C j t 1 , C i t     α and I C i t , C j t 1     β and C j t 1     | C i t |
contractioninitial members leave the community I C j t 1 , C i t   <   α and I C i t , C j t 1     β and C j t 1     | C i t | and there is only one matching event between C i t and all communities in t 1 , or I C j t 1 , C i t     α and I C i t , C j t 1     β and C j t 1     | C i t |
merginga community is formed by multiple other community members I C j t 1 , C i t     α and I C i t , C j t 1 < β and C j t 1     | C i t | and there is more than one matching event between C j t 1 and all communities in t
splittinga community is divided into two or more communities I C j t 1 , C i t   <   α and I C i t , C j t 1     β and C j t 1     | C i t | and there is more than one matching event between C i t and all communities in t 1
continuingno significant differences of the community between two adjacent snapshots I C j t 1 , C i t     α and I C i t , C j t 1     β and C j t 1     | C i t |
Publisher’s Note: MDPI stays neutral with regard to jurisdictional claims in published maps and institutional affiliations.

Share and Cite

MDPI and ACS Style

Liu, C.; Chen, L.; Yuan, Q.; Wu, H.; Huang, W. Revealing Dynamic Spatial Structures of Urban Mobility Networks and the Underlying Evolutionary Patterns. ISPRS Int. J. Geo-Inf. 2022, 11, 237. https://doi.org/10.3390/ijgi11040237

AMA Style

Liu C, Chen L, Yuan Q, Wu H, Huang W. Revealing Dynamic Spatial Structures of Urban Mobility Networks and the Underlying Evolutionary Patterns. ISPRS International Journal of Geo-Information. 2022; 11(4):237. https://doi.org/10.3390/ijgi11040237

Chicago/Turabian Style

Liu, Chun, Li Chen, Quan Yuan, Hangbin Wu, and Wei Huang. 2022. "Revealing Dynamic Spatial Structures of Urban Mobility Networks and the Underlying Evolutionary Patterns" ISPRS International Journal of Geo-Information 11, no. 4: 237. https://doi.org/10.3390/ijgi11040237

APA Style

Liu, C., Chen, L., Yuan, Q., Wu, H., & Huang, W. (2022). Revealing Dynamic Spatial Structures of Urban Mobility Networks and the Underlying Evolutionary Patterns. ISPRS International Journal of Geo-Information, 11(4), 237. https://doi.org/10.3390/ijgi11040237

Note that from the first issue of 2016, this journal uses article numbers instead of page numbers. See further details here.

Article Metrics

Back to TopTop