Next Issue
Volume 15, April
Previous Issue
Volume 15, February
 
 

Robotics, Volume 15, Issue 3 (March 2026) – 18 articles

Cover Story (view full-size image): Robotics (ISSN 2218-6581) aims to provide an international forum with which to report the latest developments on robotic systems in theory, design, and applications with special attention to autonomous behaviors, multi-sensor fusion, learning algorithms, system modelling, control software, smart actuators, service applications, and human–machine interaction. There is no restriction on the maximum length of the papers. Special emphasis is given to technological innovations and real-world applications.
  • Issues are regarded as officially published after their release is announced to the table of contents alert mailing list.
  • You may sign up for e-mail alerts to receive table of contents of newly released issues.
  • PDF is the official format for papers published in both, html and pdf forms. To view the papers in pdf format, click on the "PDF Full-text" link, and use the free Adobe Reader to open them.
Order results
Result details
Section
Select all
Export citation of selected articles as:
21 pages, 508 KB  
Article
What Makes a Space Traversable? A Formal Definition and On-Policy Certificate for Contact-Rich Egress in Confined Environments
by Adam Mark Mazurick and Alex Ferworn
Robotics 2026, 15(3), 65; https://doi.org/10.3390/robotics15030065 - 22 Mar 2026
Viewed by 271
Abstract
When is an unknown, confined environment traversable for a specific ground robot using only touch? We answer by (i) giving an environment-anchored definition of traversability, expressed through the max-min value [...] Read more.
When is an unknown, confined environment traversable for a specific ground robot using only touch? We answer by (i) giving an environment-anchored definition of traversability, expressed through the max-min value T(E;A)=supπΠSGinfs[0,1]ϕ(π(s)), where the bottleneck margin ϕ aggregates the clearance, curvature (ρRmin), slope/step, and friction constraints, and (ii) introducing an on-policy, tactile certificate (TC) that maintains a conservative, monotone lower bound Tt using partial contact histories. The TC fuses pessimistic free-space from contacts and the body envelope, the M3 decaying contact memory as a risk prior, and local bend/FSR proxies; a certificate is issued when Tt>0 and the explored corridor graph connects S to G. Relative to Papers 1–2 (tactile traversal; offline software assurance), this work formalizes traversability itself and provides a tactile-only, online certificate computable during runs. In a retrospective analysis of 660 trials across Indoor/Outdoor/Dark lighting environments, (H1) the early TC margin predicts success and traversal time better than contact/dwell heuristics (higher AUC/R2), (H2) the TC predictivity is lighting-invariant, and (H3) speed-gating M3 by a TC margin recovers part of the CB-V speed gap without degrading success. Artifacts include the TC implementation, explored-corridor graphs, and per-trial TC time series added to the Paper-1 log bundle; these materials are available from the corresponding author upon reasonable request. Full article
(This article belongs to the Section Sensors and Control in Robotics)
Show Figures

Figure 1

16 pages, 3213 KB  
Article
Novel Design of a Soft–Rigid Hybrid Pneumatic Actuator Incorporating a Spine-like Internal Structure
by Yuanzhong Li and Hiroyuki Ishii
Robotics 2026, 15(3), 64; https://doi.org/10.3390/robotics15030064 - 20 Mar 2026
Viewed by 334
Abstract
Soft pneumatic actuators (SPAs) are widely used in robotic systems due to their inherent compliance and safety during human–robot interaction. However, their intrinsic softness often leads to insufficient stiffness and a low load-bearing capacity, which limit their applicability. In this work, a novel [...] Read more.
Soft pneumatic actuators (SPAs) are widely used in robotic systems due to their inherent compliance and safety during human–robot interaction. However, their intrinsic softness often leads to insufficient stiffness and a low load-bearing capacity, which limit their applicability. In this work, a novel soft–rigid hybrid pneumatic actuator incorporating a spine-like internal structure is proposed to enhance the effective stiffness while preserving bending flexibility. Inspired by the biomechanical structure of the human spine, the embedded spine-like structure consists of interconnected rigid vertebrae integrated along the central axis of a soft pneumatic actuator. Static bending experiments under different base orientations and external loads are conducted to evaluate the actuator’s performance. The experimental results demonstrate that the proposed actuator exhibits improved posture retention, enhanced load-bearing capacity, and higher robustness against gravitational loading compared to a soft pneumatic actuator without a spine-like structure. These results confirm that the spine-like internal structure effectively increases the actuator’s effective stiffness, enabling stable bending behavior under various working conditions. Full article
(This article belongs to the Special Issue Soft Robotic Actuation and Locomotion: The State of the Art)
Show Figures

Figure 1

25 pages, 36715 KB  
Article
Development of an Autonomous UAV for Multi-Modal Mapping of Underground Mines
by Luis Escobar, David Akhihiero, Jason N. Gross and Guilherme A. S. Pereira
Robotics 2026, 15(3), 63; https://doi.org/10.3390/robotics15030063 - 19 Mar 2026
Viewed by 462
Abstract
Underground mine inspection is a critical operation for safety and resource management. It presents unique challenges, including confined spaces, harsh environments, and the lack of reliable positioning systems. This paper presents the design, development, and evaluation of an Unmanned Aerial Vehicle (UAV) specifically [...] Read more.
Underground mine inspection is a critical operation for safety and resource management. It presents unique challenges, including confined spaces, harsh environments, and the lack of reliable positioning systems. This paper presents the design, development, and evaluation of an Unmanned Aerial Vehicle (UAV) specifically engineered for supervised autonomous inspection in subterranean scenarios. Key technical contributions include mechanical adaptations for collision tolerance, an optimized sensor-actuator selection for navigation, and the deployment of a mission-governing state machine for seamless autonomous acquisition. Furthermore, we detail the data treatment workflow, employing a multi-modal point cloud registration technique that successfully integrates high-resolution visual-depth scans of critical mine pillars into a comprehensive, globally referenced map derived from Light Detection and Ranging (LiDAR) data of the entire workspace. We show experiments that illustrate and validate our approach in two real-world scenarios, a simulated coal mine used to train mine rescue teams and an operating Limestone mine. Full article
(This article belongs to the Special Issue Localization and 3D Mapping of Intelligent Robotics)
Show Figures

Figure 1

25 pages, 1126 KB  
Article
Energy-Efficient Path Planning for AMR Using Modified A* Algorithm with Machine Learning Integration
by Mishell Cadena-Yanez, Danel Rico-Melgosa, Ekaitz Zulueta, Angela Bernardini and Jorge Rodriguez-Guerra
Robotics 2026, 15(3), 62; https://doi.org/10.3390/robotics15030062 - 18 Mar 2026
Viewed by 326
Abstract
Energy consumption optimisation has emerged as a critical need in Autonomous Mobile Robots (AMRs). Conventional A* implementations typically minimise path distance, neglecting energy-relevant factors such as directional changes and trajectory smoothness that significantly impact battery life and operational costs. This work proposes two [...] Read more.
Energy consumption optimisation has emerged as a critical need in Autonomous Mobile Robots (AMRs). Conventional A* implementations typically minimise path distance, neglecting energy-relevant factors such as directional changes and trajectory smoothness that significantly impact battery life and operational costs. This work proposes two energy-aware A* variants trained on empirical data from the KUKA KMP 1500 platform, where energy consumption is measured as battery SoC depletion: A*-RF, which integrates a Random Forest (RF) model directly into the cost function, and A*-MOD, which approximates the energy model through RF feature importance weights, achieving linear computational complexity O(nf). The RF model predicted energy consumption with an RMSE below 1.5% relative error, identifying travel distance and rotation angle as the dominant energy factors. Experimental validation across 42 path planning scenarios on a real industrial factory floor demonstrates that A*-MOD reduces energy consumption by up to 58.91% and improves operational autonomy by 2.21 times, with statistically significant improvements (p < 0.01) across all evaluated metrics. Full article
(This article belongs to the Section Sensors and Control in Robotics)
Show Figures

Figure 1

21 pages, 3613 KB  
Article
Integrating Convolutional Neural Networks with Finite-State Machines for Fault Detection in Mobile Robots
by Nilachakra Dash, Bandita Sahu, Kakita Murali Gopal, Indrajeet Kumar and Ramesh Kumar Sahoo
Robotics 2026, 15(3), 61; https://doi.org/10.3390/robotics15030061 - 16 Mar 2026
Viewed by 367
Abstract
This paper highlights a communal fault detection and isolation framework integrating a convolutional neural network (CNN) with a finite-state machine (FSM). The proposed concepts ensure state-based controlled discriminate pattern recognition and enable the diagnosis of different anomalies in the mobile robot in a [...] Read more.
This paper highlights a communal fault detection and isolation framework integrating a convolutional neural network (CNN) with a finite-state machine (FSM). The proposed concepts ensure state-based controlled discriminate pattern recognition and enable the diagnosis of different anomalies in the mobile robot in a multi-robot environment. The framework processes the time-series sensor data through the convolution layer upon experiencing different types of fault and governs different states based on fault diagnosis and recovery. The proposed concept has been validated using a Python 3.11 and Webot environment featuring the shrimp robot in a multi-robot arena. The model obtained an accuracy of 97% in identifying and classifying faults, enabling automated recovery of faulty robots in the multi-robot environment. Experiments conducted on different simulators demonstrate that effective fault management can be achieved with low training loss. Full article
(This article belongs to the Section Industrial Robots and Automation)
Show Figures

Figure 1

28 pages, 1081 KB  
Review
Robotic Disassembly of Electrical Cable Connectors: A Critical Review
by Matteo Dall’Olio, Edoardo Ida’ and Marco Carricato
Robotics 2026, 15(3), 60; https://doi.org/10.3390/robotics15030060 - 13 Mar 2026
Viewed by 550
Abstract
The rapid increase in the production of Waste Electrical and Electronic Equipment (WEEE) and batteries requires advanced automated disassembly solutions. While disassembly automation has progressed, the non-destructive removal of electrical cable connectors (ECCs) remains a critical unresolved challenge, particularly for battery packs where [...] Read more.
The rapid increase in the production of Waste Electrical and Electronic Equipment (WEEE) and batteries requires advanced automated disassembly solutions. While disassembly automation has progressed, the non-destructive removal of electrical cable connectors (ECCs) remains a critical unresolved challenge, particularly for battery packs where safety is paramount. This paper presents a critical review of the state-of-the-art in robotic ECC disassembly. To systematically assess the technological maturity of the field, the authors introduce a functional decomposition of the process into six fundamental tasks: detection, pose estimation, accessibility, motion planning, manipulation, and extraction. While detection, pose estimation, and manipulation are more advanced due to contributions from adjacent fields like assembly and inspection, accessibility, motion planning, and extraction are still at an early stage. Based on the identified gaps, the authors suggest that future developments could follow two main directions: leveraging comprehensive databases for applications with limited variability, or shifting the disassembly approach from the connector housing to the locking mechanism to achieve broader applicability. Full article
(This article belongs to the Section Industrial Robots and Automation)
Show Figures

Figure 1

19 pages, 2660 KB  
Article
A Shallow-Torque Haptic Device for Wrist Postural Guidance: Design and System Evaluation in a Virtual Rehabilitation Task
by Federica Serra, Cristian Camardella, Antonio Frisoli and Daniele Leonardis
Robotics 2026, 15(3), 59; https://doi.org/10.3390/robotics15030059 - 13 Mar 2026
Viewed by 353
Abstract
This research presents a new glove-shaped wearable device, designed to deliver torsional cues on the wrist as a tactile guidance tool. The device integrates four tactile modules that apply modulated shallow torque to the anatomical wrist articulation, providing torsional hints for both ulnar–radial [...] Read more.
This research presents a new glove-shaped wearable device, designed to deliver torsional cues on the wrist as a tactile guidance tool. The device integrates four tactile modules that apply modulated shallow torque to the anatomical wrist articulation, providing torsional hints for both ulnar–radial deviation and flexion–extension degrees of freedom (DOF). The aim of this research is to evaluate whether this new type of stimulation can convey accurate directional cues on 2-DOF wrist movements, with the main target application as a guidance and support tool in virtual motor rehabilitation. Effectiveness was tested in virtual reality (VR) serious games designed to exercise wrist movements through a virtual navigation task. The glove-shaped haptic device was introduced to guide the user by directional cues provided through the shallow-torques approach. Results showed that the tactile sensations were effective in conveying accurate directional cues, reliably guiding subjects’ wrist movements on 2-DOF. This research highlights the potential of a compact, non-bulky glove-shaped device for providing clear directional cues at the wrist across 2-DOF. The shallow-torque approach, combining the natural interaction of force feedback with hardware simplicity and lightness closer to vibrotactile devices, has the potential of scalability on other body segments, and shows promise for applications in rehabilitation, postural guidance, and virtual interaction. Full article
(This article belongs to the Section Neurorobotics)
Show Figures

Figure 1

32 pages, 2223 KB  
Article
From Large Language Models to Agentic AI in Industry 5.0 and the Post-ChatGPT Era: A Socio-Technical Framework and Review on Human–Robot Collaboration
by Enrique Coronado
Robotics 2026, 15(3), 58; https://doi.org/10.3390/robotics15030058 - 12 Mar 2026
Viewed by 904
Abstract
Generative Artificial Intelligence (GenAI), particularly Foundation Models (FMs), has recently become a key component of Industry 5.0. Despite growing interest in integrating these technologies into industrial environments, comprehensive analyses of the socio-technical opportunities and challenges of deploying these emerging AI systems in real-world [...] Read more.
Generative Artificial Intelligence (GenAI), particularly Foundation Models (FMs), has recently become a key component of Industry 5.0. Despite growing interest in integrating these technologies into industrial environments, comprehensive analyses of the socio-technical opportunities and challenges of deploying these emerging AI systems in real-world settings remain limited. This article proposes a socio-technical conceptual perspective, termed Responsible Agentic Robotics (RAR), which structures the lifecycle deployment of agentic AI-enabled robotic systems around three core layers: context, design, and value. Additionally, this article presents a brief review of 21 peer-reviewed studies published between 2023 and 2025 (post-ChatGPT era) on FMs and agentic AI-enabled Human–Robot Collaboration (HRC) in industrial assembly/disassembly environments. The results indicate that existing research remains predominantly technology-centric, with a strong emphasis on enhancing robot autonomy, while comparatively limited attention is devoted to human-centered and responsible practices. Moreover, empirical evaluations of human, social, and sustainability dimensions, such as worker empowerment, human factors, well-being, inclusivity, resource utilization, and environmental impact, are rarely conducted and poorly discussed. This article concludes by identifying key socio-technical gaps, outlining future research directions. Full article
(This article belongs to the Special Issue Human-Centered Robotics: The Transition to Industry 5.0)
Show Figures

Figure 1

1 pages, 149 KB  
Correction
Correction: Greve, D.; Kreischer, C. Methodology for Integrated Design Optimization of Actuation Systems for Exoskeletons. Robotics 2024, 13, 158
by Daniel Greve and Christian Kreischer
Robotics 2026, 15(3), 57; https://doi.org/10.3390/robotics15030057 - 11 Mar 2026
Viewed by 174
Abstract
There was an error in the original publication [...] Full article
(This article belongs to the Section Neurorobotics)
2 pages, 122 KB  
Editorial
Adaptive and Nonlinear Control of Robotics
by Aman Behal
Robotics 2026, 15(3), 56; https://doi.org/10.3390/robotics15030056 - 6 Mar 2026
Viewed by 368
Abstract
It is my pleasure to present the Special Issue “Adaptive and Nonlinear Control of Robotics”, which brings together nine original research contributions exploring state-of-the-art control strategies for robotic systems operating under nonlinear dynamics, uncertain parameters, reconfiguration, or complex physical constraints [...] Full article
(This article belongs to the Special Issue Adaptive and Nonlinear Control of Robotics)
53 pages, 5533 KB  
Systematic Review
Embodied AI with Foundation Models for Mobile Service Robots: A Systematic Review
by Matthew Lisondra, Beno Benhabib and Goldie Nejat
Robotics 2026, 15(3), 55; https://doi.org/10.3390/robotics15030055 - 4 Mar 2026
Cited by 1 | Viewed by 2186
Abstract
Rapid advancements in foundation models, including Large Language Models, Vision-Language Models, Multimodal Large Language Models, and Vision-Language-Action models, have opened new avenues for embodied AI in mobile service robotics. By combining foundation models with the principles of embodied AI, where intelligent systems perceive, [...] Read more.
Rapid advancements in foundation models, including Large Language Models, Vision-Language Models, Multimodal Large Language Models, and Vision-Language-Action models, have opened new avenues for embodied AI in mobile service robotics. By combining foundation models with the principles of embodied AI, where intelligent systems perceive, reason, and act through physical interaction, mobile service robots can achieve more flexible understanding, adaptive behavior, and robust task execution in dynamic real-world environments. Despite this progress, embodied AI for mobile service robots continues to face fundamental challenges related to the translation of natural language instructions into executable robot actions, multimodal perception in human-centered environments, uncertainty estimation for safe decision-making, and computational constraints for real-time onboard deployment. In this paper, we present the first systematic review of foundation models in mobile service robotics, following the preferred reporting items for systematic reviews and meta-analysis (PRISMA) guidelines. Using an OpenAlex literature search, we considered 7506 papers for the years spanning 1968–2025. Our detailed analysis identified four main challenges and how recent advances in foundation models, related to the translation of natural language instructions into executable robot actions, multimodal perception in human-centered environments, uncertainty estimation for safe decision-making, and computational constraints for real-time onboard deployment, have addressed these challenges. We further examine real-world applications in domestic assistance, healthcare, and service automation, highlighting how foundation models enable context-aware, socially responsive, and generalizable robot behaviors. Beyond technical considerations, we discuss ethical, societal, human-interaction, and physical design and ergonomic implications associated with deploying foundation-model-enabled service robots in human environments. Finally, we outline future research directions emphasizing reliability and lifelong adaptation, privacy-aware and resource-constrained deployment, as well as the governance and human-in-the-loop frameworks required for safe, scalable, and trustworthy mobile service robotics. Full article
(This article belongs to the Special Issue Embodied Intelligence: Physical Human–Robot Interaction)
Show Figures

Figure 1

20 pages, 7825 KB  
Article
STAG-Net: A Lightweight Spatial–Temporal Attention GCN for Real-Time 6D Human Pose Estimation in Human–Robot Collaboration Scenarios
by Chunxin Yang, Ruoyu Jia, Qitong Guo, Xiaohang Shi, Masahiro Hirano and Yuji Yamakawa
Robotics 2026, 15(3), 54; https://doi.org/10.3390/robotics15030054 - 4 Mar 2026
Viewed by 499
Abstract
Most existing research in human pose estimation focuses on predicting joint positions, paying limited attention to recovering the full 6D human pose, which comprises both 3D joint positions and bone orientations. Position-only methods treat joints as independent points, often resulting in structurally implausible [...] Read more.
Most existing research in human pose estimation focuses on predicting joint positions, paying limited attention to recovering the full 6D human pose, which comprises both 3D joint positions and bone orientations. Position-only methods treat joints as independent points, often resulting in structurally implausible poses and increased sensitivity to depth ambiguities—cases where poses share nearly identical joint positions but differ significantly in limb orientations. Incorporating bone orientation information helps enforce geometric consistency, yielding more anatomically plausible skeletal structures. Additionally, many state-of-the-art methods rely on large, computationally expensive models, which limit their applicability in real-time scenarios, such as human–robot collaboration. In this work, we propose STAG-Net, a novel 2D-to-6D lifting network that integrates Graph Convolutional Networks (GCNs), attention mechanisms, and Temporal Convolutional Networks (TCNs). By simultaneously learning joint positions and bone orientations, STAG-Net promotes geometrically consistent skeletal structures while remaining lightweight and computationally efficient. On the Human3.6M benchmark, STAG-Net achieves an MPJPE of 41.8 mm using 243 input frames. In addition, we introduce a lightweight single-frame variant, STG-Net, which achieves 50.8 mm MPJPE while operating in real time at 60 FPS using a single RGB camera. Extensive experiments on multiple large-scale datasets demonstrate the effectiveness and efficiency of the proposed approach. Full article
(This article belongs to the Special Issue Human–Robot Collaboration in Industry 5.0)
Show Figures

Figure 1

22 pages, 5149 KB  
Article
Proof of Concept of an Occupational Machine for Biomechanical Load Reduction: Interpreting the User’s Intent
by Francesco Durante
Robotics 2026, 15(3), 53; https://doi.org/10.3390/robotics15030053 - 28 Feb 2026
Viewed by 440
Abstract
This paper presents a bench-top occupational power-assist robot aimed at reducing biomechanical effort during repetitive material handling. The prototype adopts a SCARA-like structure with three degrees of freedom and provides assistance on the vertical (z) axis through a three-phase brushless DC (BLDC) motor [...] Read more.
This paper presents a bench-top occupational power-assist robot aimed at reducing biomechanical effort during repetitive material handling. The prototype adopts a SCARA-like structure with three degrees of freedom and provides assistance on the vertical (z) axis through a three-phase brushless DC (BLDC) motor driven in field-oriented control with inner-loop current regulation. The user interacts with the robot through a single handle-mounted load cell. The measured interaction force is converted, via a calibration-based mapping, into a motor current reference that enforces a prescribed force-sharing ratio. In this way, the drive’s embedded current loop acts as the low-level torque regulator, and the system can share gravitational and inertial loads without additional environment force sensing or explicit high-level impedance/admittance dynamics. A coupled electro-mechanical model is derived and used to select the assistance gain and to verify feasibility in simulation. A pilot experimental campaign with eight participants and two payloads (0.5 kg and 1.5 kg) was carried out on sinusoidal and random tracking tasks. With assistance enabled, the operator contribution was reduced to about 15% of the total load, and the mean bicep brachii EMG amplitude decreased by about 60%, while tracking accuracy was generally preserved and often improved. Full article
Show Figures

Figure 1

24 pages, 1561 KB  
Article
Rough Sets Meta-Heuristic Schema for Inverse Kinematics and Path Planning of Surgical Robotic Arms
by Nizar Rokbani
Robotics 2026, 15(3), 52; https://doi.org/10.3390/robotics15030052 - 28 Feb 2026
Viewed by 281
Abstract
Surgical robots require sub-millimeter accuracy and reliable inverse kinematics across anatomies. Population-based metaheuristics address this, but static parameters may limit achieving the needed precision for clinical use. This study introduces the Rough Sets Meta-Heuristic Schema (RSMS) for dynamic, context-aware control. RSMS categorizes agents [...] Read more.
Surgical robots require sub-millimeter accuracy and reliable inverse kinematics across anatomies. Population-based metaheuristics address this, but static parameters may limit achieving the needed precision for clinical use. This study introduces the Rough Sets Meta-Heuristic Schema (RSMS) for dynamic, context-aware control. RSMS categorizes agents (Elite, Boundary, Poor) via Rough Set discretization based on fitness and distribution, allocating resources accordingly without problem-specific heuristics. To demonstrate the approach’s effectiveness, RSMS was implemented within Particle Swarm Optimization and evaluated as a surgical robotics inverse kinematics solver and path planner. In simulations using three surgical problems, RS-PSO allowed upgrading of the performance of the standard PSO in terms of consistent convergence and success in tight search spaces. Statistical tests confirmed these improvements. Using a 7-DOF KUKA LBR iiwa robot and surgical benchmarks of landmark acquisition, spiral trajectory tracking, and constrained path, RS-PSO achieved success rates of 100%, 67%, and 100%, respectively, meeting surgical requirements. The results demonstrate clinical gains in accuracy, consistency, and reproducibility for minimally invasive surgery. These findings support the practical advantages of RS-PSO and, more importantly, show that the RS-MH framework can be used as a general, reusable tool to improve the robustness, precision, and reproducibility of many swarm-based meta-heuristics for surgical robotics and other applications. Full article
(This article belongs to the Section AI in Robotics)
Show Figures

Figure 1

19 pages, 18682 KB  
Article
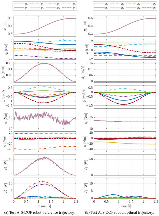
The Impact of Kinematic Redundancy on the Energetic Performance of Robotic Manipulators
by Giuliano Fabris, Lorenzo Scalera and Alessandro Gasparetto
Robotics 2026, 15(3), 51; https://doi.org/10.3390/robotics15030051 - 27 Feb 2026
Viewed by 408
Abstract
Energy efficiency is a challenging research topic in robotics, since it can reduce operating costs and increase production sustainability. In this paper, we present a strategy for energy-efficient trajectory planning in redundant robotic systems. The proposed approach aims at optimizing the solution of [...] Read more.
Energy efficiency is a challenging research topic in robotics, since it can reduce operating costs and increase production sustainability. In this paper, we present a strategy for energy-efficient trajectory planning in redundant robotic systems. The proposed approach aims at optimizing the solution of inverse kinematics at each of the waypoints that define the considered task, so as to minimize the energy consumption. The approach is validated with simulations and bespoke experiments on two different robotic systems with seven and eight degrees of freedom (DOFs). Two test cases are considered, i.e., a point-to-point motion and a pick-and-place task. The experimental results quantify the energy saving capabilities of the proposed approach up to 82.54% and 94.28% with the seven-DOF and eight-DOF robots, respectively, with respect to reference cases. Full article
Show Figures

Figure 1

32 pages, 13390 KB  
Article
Robotic Arm Control Using a Q-Learning Reinforcement Algorithm
by Afonso M. Timóteo, Ramiro S. Barbosa and Isabel S. Jesus
Robotics 2026, 15(3), 50; https://doi.org/10.3390/robotics15030050 - 27 Feb 2026
Viewed by 948
Abstract
This paper presents the design and implementation of an integrated robotic system capable of detecting objects through computer vision and making decisions based on logic strategies to perform physical tasks. For that, the system uses a robotic arm to play the Tic-Tac-Toe game [...] Read more.
This paper presents the design and implementation of an integrated robotic system capable of detecting objects through computer vision and making decisions based on logic strategies to perform physical tasks. For that, the system uses a robotic arm to play the Tic-Tac-Toe game utilizing a Q-learning algorithm to determine optimal moves. The system can be controlled using a graphical interface that enables real-time monitoring, facilitating seamless interaction between the user and the robotic arm. Three algorithms with different decision strategies were developed: a random decision algorithm, the MiniMax algorithm, and Q-learning, a reinforcement-learning algorithm. The results obtained highlight the control of the robotic arm using kinematic equations, the training of a robust YOLOv5 model, and the effective learning capability of a Q-learning algorithm. The proposed system presents practical implementation of the robotic system which can be used as a basis for further projects and for teaching robotics. Full article
(This article belongs to the Section Sensors and Control in Robotics)
Show Figures

Figure 1

17 pages, 14849 KB  
Article
A Collaborative Robotic System for Autonomous Object Handling with Natural User Interaction
by Federico Neri, Gaetano Lettera, Giacomo Palmieri and Massimo Callegari
Robotics 2026, 15(3), 49; https://doi.org/10.3390/robotics15030049 - 27 Feb 2026
Viewed by 536
Abstract
In Industry 5.0, the transition from fixed traditional automation to flexible human–robot collaboration (HRC) needs interfaces that are both intuitive and efficient. This paper introduces a novel, multimodal control system for autonomous object handling, specifically designed to enhance natural user interaction in dynamic [...] Read more.
In Industry 5.0, the transition from fixed traditional automation to flexible human–robot collaboration (HRC) needs interfaces that are both intuitive and efficient. This paper introduces a novel, multimodal control system for autonomous object handling, specifically designed to enhance natural user interaction in dynamic work environments. The system integrates a 6-Degrees of Freedom (DoF) collaborative robot (UR5e) with a hand-eye RGB-D vision system to achieve robust autonomy. The core technical contribution lies in a vision pipeline utilizing deep learning for object detection and point cloud processing for accurate 6D pose estimation, enabling advanced tasks such as human-aware object handover directly onto the operator’s hand. Crucially, an Automatic Speech Recognition (ASR) is incorporated, providing a Natural Language Understanding (NLU) layer that allows operators to issue real-time commands for task modification, error correction and object selection. Experimental results demonstrate that this multimodal approach offers a streamlined workflow aiming to improve operational flexibility compared to traditional HMIs, while enhancing the perceived naturalness of the collaborative task. The system establishes a framework for highly responsive and intuitive human–robot workspaces, advancing the state of the art in natural interaction for collaborative object manipulation. Full article
(This article belongs to the Special Issue Human–Robot Collaboration in Industry 5.0)
Show Figures

Figure 1

44 pages, 3240 KB  
Article
Event-Triggered Distributed Variable Admittance Control for Human–Multi-Robot Collaborative Manipulation
by Mohammad Jahani Moghaddam and Filippo Arrichiello
Robotics 2026, 15(3), 48; https://doi.org/10.3390/robotics15030048 - 25 Feb 2026
Viewed by 359
Abstract
In this paper, we propose a distributed admittance control framework for joint manipulation of objects by multiple robotic arms that addresses the challenges of human–robot interaction. The system is developed to control the joint transportation of an object by N Franka Emika Panda [...] Read more.
In this paper, we propose a distributed admittance control framework for joint manipulation of objects by multiple robotic arms that addresses the challenges of human–robot interaction. The system is developed to control the joint transportation of an object by N Franka Emika Panda robots (validated with up to four in simulations) using external human force estimation in a distributed manner without relying on centralized computation or force sensors. We integrate a hybrid observer by combining a distributed force estimator with a nonlinear disturbance observer (NDOB) to achieve accurate human force estimation and minimize estimation errors in simulations. Adaptive radial basis function neural networks (RBFNNs) are employed to dynamically adjust the damping and inertia parameters, enhancing the system’s adaptability and stability. Event-based communication minimizes network bandwidth usage, while consensus protocols ensure synchronization of state estimates across robots. Unlike conventional methods, the proposed observer operates in a fully sensorless manner: no human-force measurements are required. The estimation relies solely on locally available robot states, maintaining high accuracy while reducing system complexity. The framework demonstrates scalability to multiple robots, enhancing robustness in distributed settings. Simulation results show superior performance in terms of path tracking, force estimation accuracy, and communication efficiency compared to centralized approaches. Specifically, the event-triggered strategy reduces communication messages by approximately 70% compared to always-connected mode while maintaining comparable RMSE in position (9.97×105 vs. 7.39×105) and velocity (2.52×105 vs. 3.76×105), outperforming periodic communication. Full article
(This article belongs to the Section Sensors and Control in Robotics)
Show Figures

Figure 1

Previous Issue
Next Issue
Back to TopTop