Mobile Robots for Environment-Aware Navigation: A Code-Free Approach with Topometric Maps for Non-Expert Users
Abstract
1. Introduction
- Development of a code-free programming framework: We propose an intuitive approach for robot navigation that eliminates the need for traditional coding, making programming accessible to non-expert users.
- Optimization of the topometric map: We introduce an algorithm that refines the topometric map by avoiding redundancies in the topological graph, minimizing the amount of information stored, and ensuring a compact and efficient representation of the environment.
- Adaptability to environmental changes: We demonstrate that, with our approach, the robot can adapt its behavior to small changes in the environment, leveraging the information acquired during the instruction phase and encoded in the topometric map.
2. Related Work
3. Problem Definition
4. Instruction Phase
- Robot’s movement throughout the task’s demonstration , ;
- The set of times of interest ;
- The set of measurements from exteroceptive sensors .
5. Topometric Map
5.1. Topological Map Description
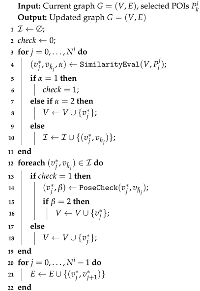
5.2. Topological Map Update
| Algorithm 1: Map update after task instruction. |
![]() |
6. Autonomous Navigation
7. Implementation
7.1. Map Update
7.2. Localization and Path Planning
- Localization in the topological graph: The robot first identifies the node in the topological graph corresponding to its current location. This is achieved by comparing the current measurements from the camera with those previously stored and associated with each node, employing the same approach already described in Section 5.2. The result of this process is an index () corresponding to the measurement at which the distance between the two images is minimized. It is worth noting that this step does not involve ORB-SLAM, as we do not estimate the robot’s pose at this stage but focus instead on image comparison.
- Localization within the local metric map: Once the node has been identified, the robot must localize itself within the local metric map associated with that node. In particular, it determines its current position with respect to a specific frame (e.g., the robot’s base link frame during the instruction phase). To this end, the robot acquires the point cloud of the current scene using its 2-D laser scanner. This point cloud is then compared to the one previously stored using the Iterative Closest Point (ICP) algorithm [25].
- base_link, indicated with base in Figure 4, which is attached to the base of the robot and moves with it;
- odom that coincides with the base_link frame at the robot’s starting point;
- map, which matches with the base_link frame when the robot acquires the point cloud of the scene during the instruction phase, so it is associated with each node of the graph (we refer to the map frame connected to a generic node as ).
7.3. Low-Level Paths
8. Experimental Validation
8.1. Validation in Simulation
- from to ;
- from to ;
- from to ;
- from to .
- from to ;
- from to .
8.2. Validation in a Real-World Scenario
9. Discussion
9.1. Discussion on Simulation Experiments
9.1.1. Failure Cases
9.2. Discussion on Real-World Experiments
9.3. Discussion on the Role of the Topometric Map
Error Handling Between Topological and Metric Levels
10. Conclusions and Future Work
Supplementary Materials
Author Contributions
Funding
Institutional Review Board Statement
Informed Consent Statement
Data Availability Statement
Conflicts of Interest
References
- Rubio, F.; Valero, F.; Llopis-Albert, C. A review of mobile robots: Concepts, methods, theoretical framework, and applications. Int. J. Adv. Robot. Syst. 2019, 16, 1729881419839596. [Google Scholar] [CrossRef]
- Dragule, S.; Berger, T.; Menghi, C.; Pelliccione, P. A survey on the design space of end-user-oriented languages for specifying robotic missions. Softw. Syst. Model. 2021, 20, 1123–1158. [Google Scholar] [CrossRef]
- Ajaykumar, G.; Steele, M.; Huang, C.M. A survey on end-user robot programming. ACM Comput. Surv. (CSUR) 2021, 54, 1–36. [Google Scholar] [CrossRef]
- Huang, G.; Rao, P.S.; Wu, M.H.; Qian, X.; Nof, S.Y.; Ramani, K.; Quinn, A.J. Vipo: Spatial-visual programming with functions for robot-IoT workflows. In Proceedings of the 2020 CHI Conference on Human Factors in Computing Systems, Honolulu, HI, USA, 25–30 April 2020; pp. 1–13. [Google Scholar]
- Alexandrova, S.; Tatlock, Z.; Cakmak, M. RoboFlow: A flow-based visual programming language for mobile manipulation tasks. In Proceedings of the 2015 IEEE International Conference on Robotics and Automation (ICRA), Seattle, WA, USA, 26–30 May 2015; IEEE: Piscataway, NJ, USA, 2015; pp. 5537–5544. [Google Scholar]
- Kapinus, M.; Beran, V.; Materna, Z.; Bambušek, D. Spatially situated end-user robot programming in augmented reality. In Proceedings of the 2019 28th IEEE International Conference on Robot and Human Interactive Communication (RO-MAN), New Delhi, India, 14–18 October 2019; IEEE: Piscataway, NJ, USA, 2019; pp. 1–8. [Google Scholar]
- Liang, Y.S.; Pellier, D.; Fiorino, H.; Pesty, S. End-user programming of low-and high-level actions for robotic task planning. In Proceedings of the 2019 28th IEEE International Conference on Robot and Human Interactive Communication (RO-MAN), New Delhi, India, 14–18 October 2019; IEEE: Piscataway, NJ, USA, 2019; pp. 1–8. [Google Scholar]
- Lentini, G.; Grioli, G.; Catalano, M.G.; Bicchi, A. Robot Programming without Coding. In Proceedings of the 2020 IEEE International Conference on Robotics and Automation (ICRA), Paris, France, 31 May–31 August 2020; pp. 7576–7582. [Google Scholar]
- Buchina, N.G.; Sterkenburg, P.; Lourens, T.; Barakova, E.I. Natural language interface for programming sensory-enabled scenarios for human-robot interaction. In Proceedings of the 2019 28th IEEE International Conference on Robot and Human Interactive Communication (RO-MAN), New Delhi, India, 14–18 October 2019; pp. 1–8. [Google Scholar]
- Huang, J.; Lau, T.; Cakmak, M. Design and evaluation of a rapid programming system for service robots. In Proceedings of the 2016 11th ACM/IEEE International Conference on Human-Robot Interaction (HRI), Christchurch, New Zealand, 7–10 March 2016; pp. 295–302. [Google Scholar]
- Young, J.E.; Igarashi, T.; Sharlin, E.; Sakamoto, D.; Allen, J. Design and evaluation techniques for authoring interactive and stylistic behaviors. ACM Trans. Interact. Intell. Syst. (TiiS) 2014, 3, 1–36. [Google Scholar] [CrossRef]
- Ravichandar, H.; Polydoros, A.S.; Chernova, S.; Billard, A. Recent advances in robot learning from demonstration. Annu. Rev. Control. Robot. Auton. Syst. 2020, 3, 297–330. [Google Scholar] [CrossRef]
- Kuderer, M.; Gulati, S.; Burgard, W. Learning driving styles for autonomous vehicles from demonstration. In Proceedings of the 2015 IEEE International Conference on Robotics and Automation (ICRA), Seattle, WA, USA, 26–30 May 2015; IEEE: Piscataway, NJ, USA, 2015; pp. 2641–2646. [Google Scholar]
- Codevilla, F.; Müller, M.; López, A.; Koltun, V.; Dosovitskiy, A. End-to-end driving via conditional imitation learning. In Proceedings of the 2018 IEEE International Conference on Robotics and Automation (ICRA), Brisbane, Australia, 21–25 May 2018; IEEE: Piscataway, NJ, USA, 2018; pp. 4693–4700. [Google Scholar]
- Pan, Y.; Cheng, C.A.; Saigol, K.; Lee, K.; Yan, X.; Theodorou, E.; Boots, B. Agile Autonomous Driving using End-to-End Deep Imitation Learning. arXiv 2018, arXiv:1709.07174. [Google Scholar]
- Li, J.; Wang, J.; Wang, S.; Yang, C. Human–robot skill transmission for mobile robot via learning by demonstration. Neural Comput. Appl. 2021, 35, 23441–23451. [Google Scholar] [CrossRef] [PubMed]
- Vuković, N.; Mitić, M.; Miljković, Z. Trajectory learning and reproduction for differential drive mobile robots based on GMM/HMM and dynamic time warping using learning from demonstration framework. Eng. Appl. Artif. Intell. 2015, 45, 388–404. [Google Scholar] [CrossRef]
- Dall’Osto, D.; Fischer, T.; Milford, M. Fast and robust bio-inspired teach and repeat navigation. In Proceedings of the 2021 IEEE/RSJ International Conference on Intelligent Robots and Systems (IROS), Prague, Czech Republic, 27 September–1 October 2021; IEEE: Piscataway, NJ, USA, 2021; pp. 500–507. [Google Scholar]
- Mahdavian, M.; Yin, K.; Chen, M. Robust Visual Teach and Repeat for UGVs Using 3D Semantic Maps. IEEE Robot. Autom. Lett. 2022, 7, 8590–8597. [Google Scholar] [CrossRef]
- Sprunk, C.; Tipaldi, G.D.; Cherubini, A.; Burgard, W. Lidar-based teach-and-repeat of mobile robot trajectories. In Proceedings of the 2013 IEEE/RSJ International Conference on Intelligent Robots and Systems, Tokyo, Japan, 3–7 November 2013; IEEE: Piscataway, NJ, USA, 2013; pp. 3144–3149. [Google Scholar]
- Camara, L.G.; Pivoňka, T.; Jílek, M.; Gäbert, C.; Košnar, K.; Přeučil, L. Accurate and robust teach and repeat navigation by visual place recognition: A CNN approach. In Proceedings of the 2020 IEEE/RSJ International Conference on Intelligent Robots and Systems (IROS), Las Vegas, NV, USA, 25–29 October 2020; IEEE: Piscataway, NJ, USA, 2020; pp. 6018–6024. [Google Scholar]
- Krajník, T.; Majer, F.; Halodová, L.; Vintr, T. Navigation without localisation: Reliable teach and repeat based on the convergence theorem. In Proceedings of the 2018 IEEE/RSJ International Conference on Intelligent Robots and Systems (IROS), Madrid, Spain, 1–5 October 2018; IEEE: Piscataway, NJ, USA, 2018; pp. 1657–1664. [Google Scholar]
- Dayoub, F.; Morris, T.; Upcroft, B.; Corke, P. Vision-only autonomous navigation using topometric maps. In Proceedings of the 2013 IEEE/RSJ International Conference on Intelligent Robots and Systems, Tokyo, Japan, 3–7 November 2013; IEEE: Piscataway, NJ, USA, 2013; pp. 1923–1929. [Google Scholar]
- Rublee, E.; Rabaud, V.; Konolige, K.; Bradski, G. ORB: An efficient alternative to SIFT or SURF. In Proceedings of the 2011 International Conference on Computer Vision, Barcelona, Spain, 6–13 November 2011; pp. 2564–2571. [Google Scholar]
- Sun, G.; Wang, Y.; Gu, L.; Liu, Z. An Improved ICP Algorithm for Point Cloud Registration. In Proceedings of the 2021 6th IEEE International Conference on Advanced Robotics and Mechatronics (ICARM), Chongqing, China, 3–5 July 2021; pp. 582–585. [Google Scholar]
- Hoffmann, H.; Pastor, P.; Park, D.H.; Schaal, S. Biologically-inspired dynamical systems for movement generation: Automatic real-time goal adaptation and obstacle avoidance. In Proceedings of the 2009 IEEE International Conference on Robotics and Automation, Kobe, Japan, 12–17 May 2009; IEEE: Piscataway, NJ, USA, 2009; pp. 2587–2592. [Google Scholar]













| Parameter | Value | |
|---|---|---|
| Thresholds | ||
| 0.50 m | ||
| DMPs | ||
| k | 1 | |
| 2 | ||
Disclaimer/Publisher’s Note: The statements, opinions and data contained in all publications are solely those of the individual author(s) and contributor(s) and not of MDPI and/or the editor(s). MDPI and/or the editor(s) disclaim responsibility for any injury to people or property resulting from any ideas, methods, instructions or products referred to in the content. |
© 2025 by the authors. Licensee MDPI, Basel, Switzerland. This article is an open access article distributed under the terms and conditions of the Creative Commons Attribution (CC BY) license (https://creativecommons.org/licenses/by/4.0/).
Share and Cite
Sarno, V.; Stefanini, E.; Grioli, G.; Pallottino, L. Mobile Robots for Environment-Aware Navigation: A Code-Free Approach with Topometric Maps for Non-Expert Users. Robotics 2025, 14, 19. https://doi.org/10.3390/robotics14020019
Sarno V, Stefanini E, Grioli G, Pallottino L. Mobile Robots for Environment-Aware Navigation: A Code-Free Approach with Topometric Maps for Non-Expert Users. Robotics. 2025; 14(2):19. https://doi.org/10.3390/robotics14020019
Chicago/Turabian StyleSarno, Valeria, Elisa Stefanini, Giorgio Grioli, and Lucia Pallottino. 2025. "Mobile Robots for Environment-Aware Navigation: A Code-Free Approach with Topometric Maps for Non-Expert Users" Robotics 14, no. 2: 19. https://doi.org/10.3390/robotics14020019
APA StyleSarno, V., Stefanini, E., Grioli, G., & Pallottino, L. (2025). Mobile Robots for Environment-Aware Navigation: A Code-Free Approach with Topometric Maps for Non-Expert Users. Robotics, 14(2), 19. https://doi.org/10.3390/robotics14020019


