Bio-Inspired Conceptual Mechanical Design and Control of a New Human Upper Limb Exoskeleton
Abstract
:1. Introduction
- Kinematic compatibility,
- Safety,
- Control strategy.
2. Conceptual Mechanical Design of the Exoskeleton
3. Design Optimization Using Differential Evolution Method
- (1)
- The total mass of the device,
- (2)
- The maximal magnitudes of cable tensions,
- (3)
- The maximal difference between magnitudes of agonist-antagonist cable tensions.
- the masses of segments of the exoskeleton (), pulleys () and electric motors (),
- positions of pulleys installation , radii of pulleys (), and cable connection angles (),
- cable tensions .
4. Control Strategy Analysis: EP Control
- mechanical compliance to accommodate interactions,
- light weight to minimize kinetic energy,
- bio-inspired control strategy.
5. Artificial Muscle Model and System
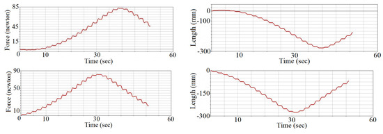
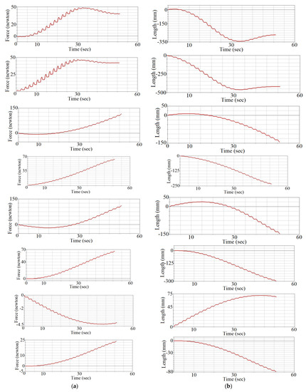
6. Experimental Validation
7. Results
8. Discussion
- A spatial model design, which will allow us to activate all degrees of freedom of upper limb, and consequently restore muscles functions.
- Nowadays, requirements of exoskeletons also include the ability to learn new skills, i.e., the creation of a so-called “smart” device is needed, which will greatly increase the efficiency of the device. This is again a good target for further follow-up studies.
Supplementary Materials
Author Contributions
Funding
Institutional Review Board Statement
Informed Consent Statement
Data Availability Statement
Conflicts of Interest
Appendix A
References
- Gull, M.A.; Bai, S.; Bak, T. A Review on Design of Upper Limb Exoskeletons. Robotics 2020, 9, 16. [Google Scholar] [CrossRef] [Green Version]
- Maciejasz, P.; Eschweiler, J.; GerlachHahn, K.; Jansen-Troy, A.; Leonhardt, S. A survey on robotic devices for upper limb rehabilitation. J. NeuroEngineering Rehabil. 2014, 11, 1–29. [Google Scholar] [CrossRef] [PubMed] [Green Version]
- Birouaș, F.I.; Țarcă, R.C.; Dzitac, S.; Dzitac, I. Preliminary Results in Testing of a Novel Asymmetric Underactuated Robotic Hand Exoskeleton for Motor Impairment Rehabilitation. Symmetry 2020, 12, 1470. [Google Scholar] [CrossRef]
- VélezGuerrero, M.A.; CallejasCuervo, M.; Mazzoleni, S. Design, Development, and Testing of an Intelligent Wearable Robotic Exoskeleton Prototype for Upper Limb Rehabilitation. Sensors 2021, 21, 5411. [Google Scholar] [CrossRef] [PubMed]
- Gull, M.A.; Thoegersen, M.; Bengtson, S.H.; Mohammadi, M.; Andreasen Struijk, L.N.S.; Moeslund, T.B.; Bak, T.; Bai, S. A 4−DOF Upper Limb Exoskeleton for Physical Assistance: Design, Modeling, Control and Performance Evaluation. Appl. Sci. 2021, 11, 5865. [Google Scholar] [CrossRef]
- Li, N.; Yu, P.; Zhao, L.; Yang, T. Bioinspired wearable soft upperlimb exoskeleton robot for stroke survivors. In Proceedings of the 2017 IEEE International Conference on Robotics and Biomimetics (ROBIO), Macau, China, 5–8 December 2017; pp. 2693–2698. [Google Scholar] [CrossRef] [Green Version]
- Ong, A.P.; Bugtaib, N.T. A Bioinspired Design of a Hand Robotic Exoskeleton for Rehabilitation. AIP Conf. Proc. 2018, 1933, 1–8. [Google Scholar]
- Lenzi, T.; de Rossi, S. The neurorobotics paradigm: NEURARM, NEUROExos, HANDEXOS. In Proceedings of the 2009 Annual International Conference of the IEEE Engineering in Medicine and Biology Society, Minneapolis, MN, USA, 3–6 September 2009; pp. 2430–2433. [Google Scholar]
- Dinha, B.; Xiloyannis, M. Adaptive backlash compensation in upper limb soft wearable exoskeletons. Robot. Auton. Syst. 2017, 92, 173–186. [Google Scholar] [CrossRef]
- Cui, X.; Chen, W.; Jin, X.; Argawal, S.K. Design of a 7DOF CableDriven Arm Exoskeleton 11 (CAREX7) and a Controller for Dexterous Motion Training or Assistance. IEEE/ASME Trans. Mechatron. 2017, 22, 161–172. [Google Scholar] [CrossRef]
- Mao, Y.; Agrawal, S.K. A cable driven upper arm exoskeleton for upper extremity rehabilitation. In Proceedings of the 2011 IEEE International Conference on Robotics and Automation, Shanghai, China, 9–13 May 2011; pp. 4163–4168. [Google Scholar] [CrossRef]
- Sanjuan, J.D.; Castillo, A.D. Cable driven exoskeleton for upperlimb rehabilitation: A design review. Robot. Auton. Syst. 2020, 126, 1–25. [Google Scholar] [CrossRef]
- Lessard, S.; Pansodtee, P.; Robbins, A.; BaltaxeAdmony, L. A compliant robotic upperextremity exosuit for lightweight, portable, multi−joint muscular augmentation. In Proceedings of the 2017 International Conference on Rehabilitation Robotics (ICORR), London, UK, 17–20 July 2017; pp. 1633–1638. [Google Scholar] [CrossRef]
- Xiao, F.; Gao, Y.; Wang, Y.; Zhu, Y.; Zhao, J. Design and evaluation of a 7DOF cabledriven upper limb exoskeleton. J. Mech. Sci. Technol. 2018, 32, 855–864. [Google Scholar] [CrossRef]
- Li, Z.; Li, W.; Chen, W.; Zhang, J.; Wang, J.; Fang, Z.; Yang, G. Mechatronics design and testing of a cabledriven upper limb rehabilitation exoskeleton with variable stiffness. Rev. Sci. Instrum. 2021, 92, 024101. [Google Scholar] [CrossRef]
- Folgheraiter, M.; de Gea, J.; Bongardt, B.; Albiez, J.; Kirchner, F. Bioinspired control of an arm exoskeleton joint with active−compliant actuation system. Appl. Bionics Biomech. 2009, 6, 193–204. [Google Scholar] [CrossRef] [Green Version]
- Elizabeth, A.B.; Mao, Y.; Agrawal, S.K.; Annapragada, M.; Venkatesh, N.D. Dynamics and Control of a 4dof Wearable CableDriven Upper Arm Exoskeleton. In Proceedings of the 2009 IEEE International Conference on Robotics and Automation, Kobe, Japan, 12–17 May 2009; pp. 2300–2305. [Google Scholar] [CrossRef] [Green Version]
- Bizzi, E.; Hogan, N.; MussaIvaldi, F.A.; Giszter, S.F. Does the nervous system use equilibriumpoint control to guide single and multiple joint movements? Behav. Brain. Sci. 1992, 15, 603–613. [Google Scholar] [CrossRef]
- Bernstein, N. The CoOrdination and Regulation of Movement, 1st ed.; Pergamon Press: Oxford, UK, 1967; pp. 159–196. [Google Scholar]
- Clapa, D.J.; Croft, E.A.; Hodgson, A.J. Equilibrium Point Control of a 2DOF Manipulator. ASME J. Dyn. Sys. Meas. Control 2006, 128, 134–141. [Google Scholar] [CrossRef]
- Kim, B.S.; Park, S.; Song, J.B.; Kim, B. Equilibrium point control of a robot manipulator using biologicallyinspired redundant actuation system. Adv. Robot. 2013, 27, 567–579. [Google Scholar] [CrossRef]
- Mukaibo, Y.; Park, S.; Maeno, T. Equilibrium Point Control of a Robot Arm with a Double Actuator Joint. In Proceedings of the International Simposium on Robotics and Automation, Querétaro, México, 25–27 August 2004; pp. 1–7. [Google Scholar] [CrossRef]
- Feldman, A.G.; Levin, M.F. The EquilibriumPoint Hypothesis—Past, Present and Future. In Progress in Motor Control. Advances in Experimental Medicine and Biology; Sternad, D., Ed.; Springer: Boston, MA, USA, 2009; Volume 629, pp. 699–726. [Google Scholar] [CrossRef]
- Spiers, A.; Khan, S.G.; Herrmann, G. Biologically Inspired Control of Humanoid Robot Arms, 1st ed.; Springer International Publishing: Cham, Switzerland, 2016; p. 276. [Google Scholar]
- Hill, A.V. The possible effects of the aggregation of the molecules of haemoglobin on its dissociation curves. J. Physiol. 1910, 40, 1–7. [Google Scholar]
- Hall, S. Basic Biomechanics, 4th ed.; McGrawHill: New York, NY, USA, 2003; p. 556. [Google Scholar]
- Zajac, F. Muscle and tendon: Properties, models, scaling and application to biomechanics and motor control. Crit. Rev. Biomed. 1989, 17, 359–411. [Google Scholar]
- Zakaryan, N.B.; Ghazaryan, S.D.; Harutyunyan, M.G.; Sargsyan, Y.L. Dynamic modeling of a new overactuated compliant joint mechanism for human limb rehabilitation. In Proceedings of the 15th IFToMM 2019 World Congress, Krakow, Poland, 1–4 July 2019; pp. 1781–1788. [Google Scholar] [CrossRef]
- Bin Hj Shukor, A.Z.; bin Ali Ibrahim, F.; bin Miskon, M.F.; bin Md Saat, M.S. Musculoskeletal Robotics Modeling and Simulation. In Proceedings of the 8th International Conference on Robotic, Vision, Signal Processing & Power Applications, Singapore, 27 February 2014; Mat Sakim, H., Mustaffa, M., Eds.; Springer: Cham, Switzerland; pp. 15–21. [CrossRef]
- Hirai, H.; Miyazaki, F.; Naritomi, H. On the Origin of Muscle synergies: Invariant Balance in the coactivation of agonist and antagonist Muscle Pairs. Front. Bioeng. Biotechnol. 2015, 3, 1–16. [Google Scholar] [CrossRef] [PubMed] [Green Version]
- Tahara, K.; Arimoto, S.; Sekimoto, M.; Luo, Z.W. On Control of Reaching Movements for MusculoSkeletal Redundant Arm Model. Appl. Bionics Biomech. 2009, 6, 11–26. [Google Scholar] [CrossRef] [Green Version]
- Storn, R.; Price, K. Differential Evolution—A Simple and Efficient Heuristic for global Optimization over Continuous Spaces. J. Glob. Optim. 1997, 11, 341–359. [Google Scholar] [CrossRef]
- Fan, Z.; You, Y.; Zheng, H.; Zhu, G.; Li, W.; Chen, S.; Deb, K.; Goodman, E. Modeling and MultiObjective Optimization of a Kind of Teaching Manipulator. arXiv 2018, arXiv:abs/1801.10599. [Google Scholar]
- Rodriguez, E.; Saha, B.N.; RomeroHdz, J.; Ortega, D. A Multiobjective Differential Evolution Algorithm for Robot Inverse Kinematics. SSRG Int. J. Comput. Sci. Eng. 2016, 3, 61–69. [Google Scholar] [CrossRef]
- Mohamed, A.W. Solving largescale global optimization problems using enhanced adaptive differential evolution algorithm. Complex Intell. Syst. 2017, 3, 205–231. [Google Scholar] [CrossRef] [Green Version]
- AbdulAdheem, W.; Ibraheem, I. Decoupled control scheme for output tracking of a general industrial6 nonlinear MIMO system using improved active disturbance rejection scheme. Alex. Eng. J. 2019, 58, 1145–1156. [Google Scholar] [CrossRef]
- Hill, A. The Heat of Shortening and the Dynamic Constant of Muscle. Proc. R. Soc. Lond. Ser. B. Biol. Sci. 1938, 126, 136–195. [Google Scholar] [CrossRef]
- Jäntsch, M. Non−Linear Control Strategies for Musculoskeletal Robots. Ph.D. Thesis, Technical University of Munich, Munich, Germany, 2013. [Google Scholar]
- Togashi, J.; Mitobe, K.; Capi, G. Control of LowCost Customizable Robot Arm Actuated by Elastic Tendons. J. Robot. Mechatron. 2016, 28, 509–522. [Google Scholar] [CrossRef]












| Variables | Range | Units |
|---|---|---|
| [1, 5] | kg | |
| [0.5, 4] | kg | |
| [0.1, 0.5] | kg | |
| [0.1, 0.5] | kg | |
| [0.5, 1] | kg | |
| [0.01, 0.1] | m | |
| [5, 90] | deg | |
| [1, 50] | N |
| Stiffness, | ||||||||||
| 300 | 300 | 140 | 100 | 800 | 270 | 750 | 220 | 70 | 80 | |
| Damping, | ||||||||||
| 95 | 95 | 95 | 95 | 40 | 40 | 40 | 40 | 17 | 17 |
| 44.2 | 33.8 | 27.9 | 24.5 | 27.8 | 25.1 | 25.5 | 24.9 | 12.5 | 13.1 |
| 0.08 | 0.6 | 0.18 | 0.8 | 0.3 | 0.5 | 0.2 | 0.5 | 0.6 | 0.5 |
| 353 | 353 | 138 | 138 | 251 | 251 | 60 | 60 | 52 | 52 |
| 150 | 150 | 67 | 67 | 75 | 75 | 41 | 41 | 32 | 32 |
Publisher’s Note: MDPI stays neutral with regard to jurisdictional claims in published maps and institutional affiliations. |
© 2021 by the authors. Licensee MDPI, Basel, Switzerland. This article is an open access article distributed under the terms and conditions of the Creative Commons Attribution (CC BY) license (https://creativecommons.org/licenses/by/4.0/).
Share and Cite
Zakaryan, N.; Harutyunyan, M.; Sargsyan, Y. Bio-Inspired Conceptual Mechanical Design and Control of a New Human Upper Limb Exoskeleton. Robotics 2021, 10, 123. https://doi.org/10.3390/robotics10040123
Zakaryan N, Harutyunyan M, Sargsyan Y. Bio-Inspired Conceptual Mechanical Design and Control of a New Human Upper Limb Exoskeleton. Robotics. 2021; 10(4):123. https://doi.org/10.3390/robotics10040123
Chicago/Turabian StyleZakaryan, Narek, Mikayel Harutyunyan, and Yuri Sargsyan. 2021. "Bio-Inspired Conceptual Mechanical Design and Control of a New Human Upper Limb Exoskeleton" Robotics 10, no. 4: 123. https://doi.org/10.3390/robotics10040123
APA StyleZakaryan, N., Harutyunyan, M., & Sargsyan, Y. (2021). Bio-Inspired Conceptual Mechanical Design and Control of a New Human Upper Limb Exoskeleton. Robotics, 10(4), 123. https://doi.org/10.3390/robotics10040123

