Mechanisms of Fibroblast Growth Factor 21 Adsorption on Macroion Layers: Molecular Dynamics Modeling and Kinetic Measurements
Abstract
:1. Introduction
2. Materials and Methods
2.1. Materials
2.2. Molecular Dynamics Modeling
2.3. Experimental Methods
2.3.1. Multi-Angle Dynamic Light Scattering (MADLS)
2.3.2. Atomic Force Microscopy (AFM)
2.3.3. Streaming Potential Measurements (SPM)
2.3.4. Optical Waveguide Lightmode Spectroscopy (OWLS)
2.3.5. Gravimetric Measurements (QCM-D)
2.4. Cell Viability Study
2.4.1. Preparation of Coatings for In Vitro Studies
2.4.2. Cell Viability
2.4.3. Statistical Analysis
3. Theoretical Modeling Results—Molecule Structure and Charge
4. Experimental Results
4.1. FGF 21 Molecule and the Substrate Characteristics
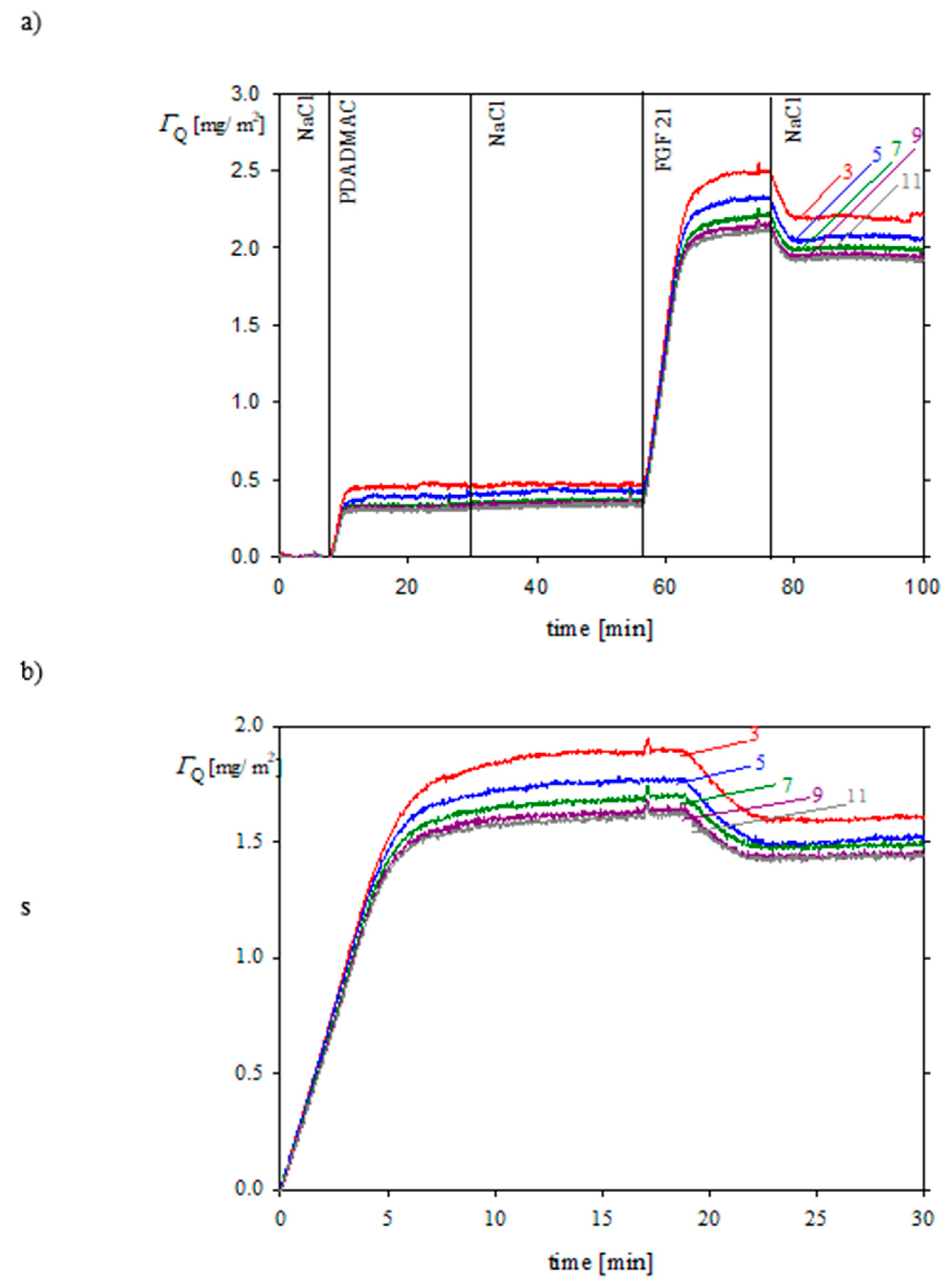
4.2. Adsorption Kinetics of FGF 21 Molecules—OWLS and QCM Measurements
4.3. Cell (L-929) Viability
5. Conclusions
Supplementary Materials
Author Contributions
Funding
Institutional Review Board Statement
Informed Consent Statement
Data Availability Statement
Acknowledgments
Conflicts of Interest
References
- Yun, Y.R.; Won, J.E.; Jeon, E.; Lee, S.; Kang, W.; Jo, H.; Jang, J.H.; Shin, U.S.; Kim, H.W. Fibroblast Growth Factors: Biology, Function, and Application for Tissue Regeneration. J. Tissue Eng. 2010, 1, 218142. [Google Scholar] [CrossRef]
 - Itoh, N.; Ornitz, D.M. Fibroblast Growth Factors: From Molecular Evolution to Roles in Development, Metabolism and Disease. J. Biochem. 2011, 149, 121–130. [Google Scholar] [CrossRef] [PubMed]
 - Pan, Q.; Lin, S.; Li, Y.; Liu, L.; Li, X.; Gao, X.; Yan, J.; Gu, B.; Chen, X.; Li, W.; et al. A Novel GLP-1 and FGF21 Dual Agonist Has Therapeutic Potential for Diabetes and Non-Alcoholic Steatohepatitis. EBioMedicine 2021, 63, 103202. [Google Scholar] [CrossRef]
 - Hecht, R.; Li, Y.S.; Sun, J.; Belouski, E.; Hall, M.; Hager, T.; Yie, J.; Wang, W.; Winters, D.; Smith, S.; et al. Rationale-Based Engineering of a Potent Long-Acting FGF21 Analog for the Treatment of Type 2 Diabetes. PLoS ONE 2012, 7, e49345. [Google Scholar] [CrossRef]
 - Zhu, L.; Zhao, H.; Liu, J.; Cai, H.; Wu, B.; Liu, Z.; Zhou, S.; Liu, Q.; Li, X.; Bao, B.; et al. Dynamic Folding Modulation Generates FGF21 Variant against Diabetes. EMBO Rep. 2021, 22, e51352. [Google Scholar] [CrossRef]
 - Kharitonenkov, A.; Beals, J.M.; Micanovic, R.; Strifler, B.A.; Rathnachalam, R.; Wroblewski, V.J.; Li, S.; Koester, A.; Ford, A.M.; Coskun, T.; et al. Rational Design of a Fibroblast Growth Factor 21-Based Clinical Candidate, LY2405319. PLoS ONE 2013, 8, e58575. [Google Scholar] [CrossRef]
 - Geng, L.; Lam, K.S.L.; Xu, A. The Therapeutic Potential of FGF21 in Metabolic Diseases: From Bench to Clinic. Nat. Rev. Endocrinol. 2020, 16, 654–667. [Google Scholar] [CrossRef] [PubMed]
 - Muñoz, E.M.; Linhardt, R.J. Heparin-Binding Domains in Vascular Biology. Arterioscler. Thromb. Vasc. Biol. 2004, 24, 1549–1557. [Google Scholar] [CrossRef] [PubMed]
 - Wandrey, C.; Hernández-Barajas, J.; Hunkeler, D. Diallyldimethylammonium Chloride and Its Polymers. Radic. Polym. Polyelectrolytes 1999, 145, 123–183. [Google Scholar] [CrossRef]
 - Dos Santos, R.L.O.; Gamarra, J.G.A.; Lincopan, N.; Petri, D.F.S.; Paula, C.R.; Coto, N.P.; Dias, R.B. Production of Medical Grade Silicone for Facial Prosthesis with Bactericidal Properties from the Inclusion of Poly (Diallyldimethylammonium Chloride): An in Vitro Study. Pesqui. Bras. Odontopediatr. Clin. Integr. 2019, 19, e3962. [Google Scholar] [CrossRef]
 - Zhang, Z.; Yang, M.; Hu, C.; Liu, B.; Hu, M.; Zhang, X.; Wang, W.; Zhou, Y.; Wang, H. Correlation between Gel-Forming Ability, Supramolecular Aggregates and Main-Chain Conformation of Dendronized Polymer Gelators. New J. Chem. 2011, 35, 103–110. [Google Scholar] [CrossRef]
 - Maurer, S.A.; Bedbrook, C.N.; Radke, C.J. Cellulase Adsorption and Reactivity on a Cellulose Surface from Flow Ellipsometry. Ind. Eng. Chem. Res. 2012, 51, 11389–11400. [Google Scholar] [CrossRef]
 - Yaiwong, P.; Lertvachirapaiboon, C.; Shinbo, K.; Kato, K.; Ounnunkad, K.; Baba, A. Surface Plasmon Resonance Field-Enhanced Fluorescence Properties of Gold Quantum Dots on Polyelectrolyte Multilayers and Their H2O2 Sensor Application. Plasmonics 2021, 16, 1195–1202. [Google Scholar] [CrossRef]
 - Junker, M.A.; Regenspurg, J.A.; Valdes Rivera, C.I.; te Brinke, E.; De Vos, W.M. Effects of Feed Solution PH on Polyelectrolyte Multilayer Nanofiltration Membranes. ACS Appl. Polym. Mater. 2022, 5, 355–369. [Google Scholar] [CrossRef] [PubMed]
 - Berendsen, H.J.C.; van der Spoel, D.; van Drunen, R. GROMACS: A Message-Passing Parallel Molecular Dynamics Implementation. Comput. Phys. Commun. 1995, 91, 43–56. [Google Scholar] [CrossRef]
 - Lindahl, E.; Hess, B.; van der Spoel, D. GROMACS 3.0: A Package for Molecular Simulation and Trajectory Analysis. J. Mol. Model. 2001, 7, 306–317. [Google Scholar] [CrossRef]
 - Duan, Y.; Wu, C.; Chowdhury, S.; Lee, M.C.; Xiong, G.; Zhang, W.; Yang, R.; Cieplak, P.; Luo, R.; Lee, T.; et al. A Point-Charge Force Field for Molecular Mechanics Simulations of Proteins Based on Condensed-Phase Quantum Mechanical Calculations. J. Comput. Chem. 2003, 24, 1999–2012. [Google Scholar] [CrossRef]
 - Jorgensen, W.L.; Chandrasekhar, J.; Madura, J.D.; Impey, R.W.; Klein, M.L. Comparison of Simple Potential Functions for Simulating Liquid Water. J. Chem. Phys. 1983, 79, 926–935. [Google Scholar] [CrossRef]
 - Mcguffin, L.J.; Adiyaman, R.; Maghrabi, A.H.A.; Shuid, A.N.; Brackenridge, D.A.; Nealon, J.O.; Philomina, L.S. IntFOLD: An Integrated Web Resource for High Performance Protein Structure and Function Prediction. Nucleic Acids Res. 2019, 47, W408–W413. [Google Scholar] [CrossRef]
 - McGuffin, L.J.; Edmunds, N.S.; Genc, A.G.; Alharbi, S.M.A.; Salehe, B.R.; Adiyaman, R. Prediction of Protein Structures, Functions and Interactions Using the IntFOLD7, MultiFOLD and ModFOLDdock Servers. Nucleic Acids Res. 2023, 51, W274–W280. [Google Scholar] [CrossRef]
 - Hess, B.; Bekker, H.; Berendsen, H.J.C.; Fraaije, J.G.E.M. LINCS: A Linear Constraint Solver for Molecular Simulations. J. Comput. Chem. 1997, 18, 1463–1472. [Google Scholar] [CrossRef]
 - Miyamoto, S.; Kollman, P.A. Settle: An Analytical Version of the SHAKE and RATTLE Algorithm for Rigid Water Models. J. Comput. Chem. 1992, 13, 952–962. [Google Scholar] [CrossRef]
 - Bussi, G.; Donadio, D.; Parrinello, M. Canonical Sampling through Velocity Rescaling. J. Chem. Phys. 2007, 126, 014101. [Google Scholar] [CrossRef] [PubMed]
 - Parrinello, M. Polymorphic Transitions in Single Crystals: A New Molecular Dynamics Method. J. Appl. Phys. 1981, 52, 7182. [Google Scholar] [CrossRef]
 - Essmann, U.; Perera, L.; Berkowitz, M.L.; Darden, T.; Lee, H.; Pedersen, L.G. A Smooth Particle Mesh Ewald Method. J. Chem. Phys. 1995, 103, 8577–8593. [Google Scholar] [CrossRef]
 - Humphrey, W.; Dalke, A.; Schulten, K. VMD: Visual Molecular Dynamics. J. Mol. Graph. 1996, 14, 33–38. [Google Scholar] [CrossRef] [PubMed]
 - Li, H.; Robertson, A.D.; Jensen, J.H. Very Fast Empirical Prediction and Rationalization of Protein PK a Values. Proteins Struct. Funct. Genet. 2005, 61, 704–721. [Google Scholar] [CrossRef] [PubMed]
 - Olsson, M.H.M.; SØndergaard, C.R.; Rostkowski, M.; Jensen, J.H. PROPKA3: Consistent Treatment of Internal and Surface Residues in Empirical p K a Predictions. J. Chem. Theory Comput. 2011, 7, 525–537. [Google Scholar] [CrossRef]
 - Søndergaard, C.R.; Olsson, M.H.M.; Rostkowski, M.; Jensen, J.H. Improved Treatment of Ligands and Coupling Effects in Empirical Calculation and Rationalization of pKa Values. J. Chem. Theory Comput. 2011, 7, 2284–2295. [Google Scholar] [CrossRef]
 - Von Smoluchowski, M. Contribution to the Theory of Electro- Osmosis and Related Phenomena. Bull. Int. Acad. Sci. Crac. 1903, 3, 182–199. [Google Scholar]
 - Wasilewska, M.; Adamczyk, Z.; Pomorska, A.; Nattich-Rak, M.; Sadowska, M. Human Serum Albumin Adsorption Kinetics on Silica: Influence of Protein Solution Stability. Langmuir 2019, 35, 2639–2648. [Google Scholar] [CrossRef]
 - Sauerbrey, G. Verwendung von Schwingquarzen Zur Wägung Dünner Schichten Und Zur Mikrowägung. Z. Phys. 1959, 155, 206–222. [Google Scholar] [CrossRef]
 - Höök, F.; Kasemo, B.; Nylander, T.; Fant, C.; Sott, K.; Elwing, H. Variations in Coupled Water, Viscoelastic Properties, and Film Thickness of a Mefp-1 Protein Film during Adsorption and Cross-Linking: A Quartz Crystal Microbalance with Dissipation Monitoring, Ellipsometry, and Surface Plasmon Resonance Study. Anal. Chem. 2001, 73, 5796–5804. [Google Scholar] [CrossRef]
 - Fischer, H.; Polikarpov, I.; Craievich, A.F. Average Protein Density Is a Molecular-Weight-Dependent Function. Protein Sci. 2009, 13, 2825–2828. [Google Scholar] [CrossRef] [PubMed]
 - Adamczyk, Z.; Sadlej, K.; Wajnryb, E.; Nattich, M.; Ekiel-Jeżewska, M.L.; Bławzdziewicz, J. Streaming Potential Studies of Colloid, Polyelectrolyte and Protein Deposition. Adv. Colloid Interface Sci. 2010, 153, 1–29. [Google Scholar] [CrossRef] [PubMed]
 - Adamczyk, Z. Particles at Interfaces: Interactions, Deposition, Structure, 2nd ed.; Hubbard, A.T., Ed.; Academic Press: Cambridge, MA, USA, 2017; ISBN 9780081012482. [Google Scholar]
 - Michna, A.; Adamczyk, Z.; Batys, P. Mapping Single Macromolecule Chains Using the Colloid Deposition Method: PDADMAC on Mica. J. Colloid Interface Sci. 2015, 450, 82–90. [Google Scholar] [CrossRef] [PubMed]
 - Żeliszewska, P.; Sadowska, M.; Morga, M.; Adamczyk, Z. Mechanism of Fibrinogen /Microparticle Complex Deposition on Solid Substrates: Role of PH. Colloids Surf. B Biointerfaces 2019, 184, 110424. [Google Scholar] [CrossRef]
 - Harmat, A.L.; Morga, M.; Lutkenhaus, J.L.; Batys, P.; Sammalkorpi, M. Molecular Mechanisms of PH-Tunable Stability and Surface Coverage of Polypeptide Films. Appl. Surf. Sci. 2023, 615, 156331. [Google Scholar] [CrossRef]
 - Lupa, D.; Płaziński, W.; Michna, A.; Wasilewska, M.; Pomastowski, P.; Gołębiowski, A.; Buszewski, B.; Adamczyk, Z. Chitosan Characteristics in Electrolyte Solutions: Combined Molecular Dynamics Modeling and Slender Body Hydrodynamics. Carbohydr. Polym. 2022, 292, 119676. [Google Scholar] [CrossRef]
 - Fischer, D.; Li, Y.; Ahlemeyer, B.; Krieglstein, J.; Kissel, T. In Vitro Cytotoxicity Testing of Polycations: Influence of Polymer Structure on Cell Viability and Hemolysis. Biomaterials 2003, 24, 1121–1131. [Google Scholar] [CrossRef]
 - Zhu, W.; Wang, C.; Liu, L.; Li, Y.; Li, X.; Cai, J.; Wang, H. Effects of Fibroblast Growth Factor 21 on Cell Damage in Vitro and Atherosclerosis in Vivo. Can. J. Physiol. Pharmacol. 2014, 92, 927–935. [Google Scholar] [CrossRef] [PubMed]
 - Mourdikoudis, S.; Pallares, R.M.; Thanh, N.T.K. Characterization Techniques for Nanoparticles: Comparison and Complementarity upon Studying Nanoparticle Properties. Nanoscale 2018, 10, 12871–12934. [Google Scholar] [CrossRef] [PubMed]
 - Naumenko, E.; Akhatova, F.; Rozhina, E.; Fakhrullin, R. Revisiting the Cytotoxicity of Cationic Polyelectrolytes as a Principal Component in Layer-by-Layer Assembly Fabrication. Pharmaceutics 2021, 13, 1230. [Google Scholar] [CrossRef] [PubMed]
 - Dubas, S.T.; Kittitheeranun, P.; Rangkupan, R.; Sanchavanakit, N.; Potiyaraj, P. Coating of Polyelectrolyte Multilayer Thin Films on Nanofibrous Scaffolds to Improve Cell Adhesion. J. Appl. Polym. Sci. 2009, 114, 1574–1579. [Google Scholar] [CrossRef]
 - Kidambi, S.; Lee, I.; Chan, C. Controlling Primary Hepatocyte Adhesion and Spreading on Protein-Free Polyelectrolyte Multilayer Films. J. Am. Chem. Soc. 2004, 126, 16286–16287. [Google Scholar] [CrossRef]
 - Muzzio, N.E.; Pasquale, M.A.; Gregurec, D.; Diamanti, E.; Kosutic, M.; Azzaroni, O.; Moya, S.E. Polyelectrolytes Multilayers to Modulate Cell Adhesion: A Study of the Influence of Film Composition and Polyelectrolyte Interdigitation on the Adhesion of the A549 Cell Line. Macromol. Biosci. 2016, 16, 482–495. [Google Scholar] [CrossRef]
 











Disclaimer/Publisher’s Note: The statements, opinions and data contained in all publications are solely those of the individual author(s) and contributor(s) and not of MDPI and/or the editor(s). MDPI and/or the editor(s) disclaim responsibility for any injury to people or property resulting from any ideas, methods, instructions or products referred to in the content.  | 
© 2023 by the authors. Licensee MDPI, Basel, Switzerland. This article is an open access article distributed under the terms and conditions of the Creative Commons Attribution (CC BY) license (https://creativecommons.org/licenses/by/4.0/).
Share and Cite
Wasilewska, M.; Dąbkowska, M.; Pomorska, A.; Batys, P.; Kowalski, B.; Michna, A.; Adamczyk, Z. Mechanisms of Fibroblast Growth Factor 21 Adsorption on Macroion Layers: Molecular Dynamics Modeling and Kinetic Measurements. Biomolecules 2023, 13, 1709. https://doi.org/10.3390/biom13121709
Wasilewska M, Dąbkowska M, Pomorska A, Batys P, Kowalski B, Michna A, Adamczyk Z. Mechanisms of Fibroblast Growth Factor 21 Adsorption on Macroion Layers: Molecular Dynamics Modeling and Kinetic Measurements. Biomolecules. 2023; 13(12):1709. https://doi.org/10.3390/biom13121709
Chicago/Turabian StyleWasilewska, Monika, Maria Dąbkowska, Agata Pomorska, Piotr Batys, Bogusław Kowalski, Aneta Michna, and Zbigniew Adamczyk. 2023. "Mechanisms of Fibroblast Growth Factor 21 Adsorption on Macroion Layers: Molecular Dynamics Modeling and Kinetic Measurements" Biomolecules 13, no. 12: 1709. https://doi.org/10.3390/biom13121709
APA StyleWasilewska, M., Dąbkowska, M., Pomorska, A., Batys, P., Kowalski, B., Michna, A., & Adamczyk, Z. (2023). Mechanisms of Fibroblast Growth Factor 21 Adsorption on Macroion Layers: Molecular Dynamics Modeling and Kinetic Measurements. Biomolecules, 13(12), 1709. https://doi.org/10.3390/biom13121709
        
