Coumarin-Based Triapine Derivatives and Their Copper(II) Complexes: Synthesis, Cytotoxicity and mR2 RNR Inhibition Activity
Abstract
1. Introduction
2. Experimental Part
2.1. Chemicals
2.2. Synthesis of TSCs
2.3. Synthesis of the Copper(II) Complexes
2.4. Physical Measurements
2.5. Crystallographic Structure Determination
2.6. Electrochemistry and Spectroelectrochemistry
2.7. Cell Lines and Culture Conditions
2.8. Inhibition of Cell Viability Assay
2.9. Tyrosyl Radical Reduction in Mouse R2 RNR Protein
2.10. Redox Activity of [FeII(L1)2]
3. Results and Discussion
3.1. Synthesis and Characterisation of HL1-HL3 and H2L4, Their Copper(II) Complexes 1–4 and 1′
3.1.1. Synthesis of 3-(4-((2-(Dimethoxymethyl)pyridin-4-yl)methyl)piperazine-1-carbonyl)-7-hydroxy-2H-chromen-2-one (I1) and 7-((2-(Dimethoxymethyl)pyridin-4-yl)methoxy)-3-(4-((2-(dimethoxymethyl)pyridin-4-yl)methyl)piperazine-1-carbonyl)-2H-chromen-2-one (I2)
3.1.2. Synthesis of 4-((4-(7-Hydroxy-2-oxo-2H-chromene-3-carbonyl)piperazin-1-yl)methyl)picolinaldehyde (J1), Accompanied by Generation of 7-Hydroxy-3-(4-((2-(hydroxy(methoxy)methyl)pyridin-4-yl)methyl)piperazine-1-carbonyl)-2H-chromen-2-one (J1h)
3.1.3. Synthesis of 4-((4-(7-((2-Formylpyridin-4-yl)methoxy)-2-oxo-2H-chromene-3-carbonyl)piperazin-1-yl)methyl)picolinaldehyde (J2)
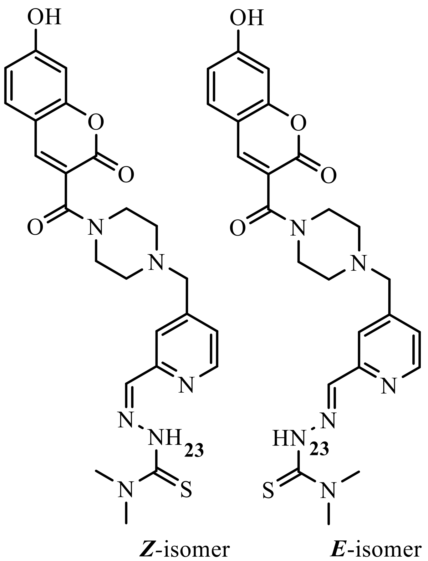
3.1.4. Synthesis of HL1-HL3 and H2L4
3.1.5. Synthesis of Complexes
3.2. X-ray Crystallography
3.3. Electrochemistry and Spectroelectrochemistry
3.4. Anticancer Activity
3.5. Redox Activity of [FeII(L1)2]
3.6. Tyrosyl Radical Reduction in Mouse R2 RNR Protein
4. Conclusions
Supplementary Materials
Author Contributions
Funding
Acknowledgments
Conflicts of Interest
References
- Velo-Gala, I.; Barceló-Oliver, M.; Gil, D.M.; González-Pérez, J.M.; Castiñeiras, A.; Domínguez-Martín, A. Deciphering the H-Bonding Preference on Nucleoside Molecular Recognition through Model Copper(II) Compounds. Pharmaceuticals 2021, 14, 244. [Google Scholar] [CrossRef]
- Padnya, P.; Shibaeva, K.; Arsenyev, M.; Baryshnikova, S.; Terenteva, O.; Shiabiev, I.; Khannanov, A.; Boldyrev, A.; Gerasimov, A.; Grishaev, D.; et al. Catechol-Containing Schiff Bases on Thiacalixarene: Synthesis, Copper(II) Recognition, and Formation of Organic-Inorganic Copper-Based Materials. Molecules 2021, 26, 2334. [Google Scholar] [CrossRef] [PubMed]
- Jamal, S.E.; Iqbal, A.; Abdul Rahman, K.; Tahmeena, K. Thiosemicarbazone Complexes as Versatile Medicinal Chemistry Agents. J. Drug Deliv. Ther. 2019, 9, 689–703. [Google Scholar]
- Prajapati, N.P.; Patel, H.D. Novel Thiosemicarbazone Derivatives and their Metal Complexes: Recent Development. Synth. Commun. 2019, 49, 2767–2804. [Google Scholar] [CrossRef]
- U.S. National Institutes of Health Search of: Triapine—List Results—ClinicalTrials.gov. Available online: https://clinicaltrials.gov/ct2/results?term=Triapine&Search=Search. (accessed on 11 November 2020).
- Kunos, C.A.; Chu, E.; Beumer, J.H.; Sznol, M.; Ivy, S.P. Phase I Trial of Daily Triapine in Combination with Cisplatin Chemotherapy for Advanced-Stage Malignancies. Cancer Chemother. Pharmacol. 2017, 79, 201–207. [Google Scholar] [CrossRef]
- Schelman, W.R.; Morgan-Meadows, S.; Marnocha, R.; Lee, F.; Eickhoff, J.; Huang, W.; Pomplun, M.; Jiang, Z.; Alberti, D.; Kolesar, J.M.; et al. A Phase I Study of Triapine in Combination with Doxorubicin in Patients with Advanced Solid Tumors. Cancer Chemother. Pharmacol. 2009, 63, 1147–1156. [Google Scholar] [CrossRef]
- Choi, B.S.; Alberti, D.B.; Schelman, W.R.; Kolesar, J.M.; Thomas, J.P.; Marnocha, R.; Eickhoff, J.C.; Ivy, S.P.; Wilding, G.; Holen, K.D. The Maximum Tolerated Dose and Biologic Effects of 3-Aminopyridine-2-Carboxaldehyde Thiosemicarbazone (3-AP) in Combination with Irinotecan for Patients with Refractory Solid Tumors. Cancer Chemother. Pharmacol. 2010, 66, 973–980. [Google Scholar] [CrossRef]
- Martin, L.K.; Grecula, J.; Jia, G.; Wei, L.; Yang, X.; Otterson, G.A.; Wu, X.; Harper, E.; Kefauver, C.; Zhou, B.-S.; et al. A Dose Escalation and Pharmacodynamic Study of Triapine and Radiation in Patients with Locally Advanced Pancreas Cancer. Int. J. Radiat. Oncol. Biol. Phys. 2012, 84, e475–e481. [Google Scholar] [CrossRef]
- Mortazavi, A.; Ling, Y.; Martin, L.K.; Wei, L.; Phelps, M.A.; Liu, Z.; Harper, E.J.; Ivy, S.P.; Wu, X.; Zhou, B.-S.; et al. A Phase I Study of Prolonged Infusion of Triapine in Combination with Fixed Dose Rate Gemcitabine in Patients with Advanced Solid Tumors. Invest. New Drugs 2013, 31, 685–695. [Google Scholar] [CrossRef]
- Heffeter, P.; Pape, V.F.S.; Enyedy, E.A.; Keppler, B.K.; Szakacs, G.; Kowol, C.R. Anticancer Thiosemicarbazones: Chemical Properties, Interaction with Iron Metabolism, and Resistance Development. Antioxid. Redox Signal. 2019, 30, 1062–1082. [Google Scholar] [CrossRef]
- Aye, Y.; Long, M.J.C.; Stubbe, J. Mechanistic Studies of Semicarbazone Triapine Targeting Human Ribonucleotide Reductase in Vitro and in Mammalian Cells. J. Biol. Chem. 2012, 287, 35768–35778. [Google Scholar] [CrossRef]
- Popovic-Bijelic, A.; Kowol, C.R.; Lind, M.E.S.; Luo, J.; Himo, F.; Enyedy, A.; Arion, V.B.; Graeslund, A. Ribonucleotide Reductase Inhibition by Metal Complexes of Triapine (3-Aminopyridine-2-Carboxaldehyde Thiosemicarbazone): A Combined Experimental and Theoretical Study. J. Inorg. Biochem. 2011, 105, 1422–1431. [Google Scholar] [CrossRef]
- Yu, Y.; Wong, J.; Lovejoy, D.B.; Kalinowski, D.S.; Richardson, D.R. Chelators at the Cancer Coalface: Desferrioxamine to Triapine and beyond. Clin. Cancer Res. 2006, 12, 6876–6883. [Google Scholar] [CrossRef]
- Shao, J.; Zhou, B.; Di Bilio, A.J.; Zhu, L.; Wang, T.; Qi, C.; Shih, J.; Yen, Y. A Ferrous-Triapine Complex Mediates Formation of Reactive Oxygen Species that Inactivate Human Ribonucleotide Reductase. Mol. Cancer Ther. 2006, 5, 586–592. [Google Scholar] [CrossRef] [PubMed]
- Kaur, H.; Gupta, M. Recent Advances in Thiosemicarbazones as Anticancer Agents. Int. J. Pharm. Chem. Biol. Sci. 2018, 8, 259–265. [Google Scholar]
- de Almeida, S.M.V.; Ribeiro, A.G.; de Lima Silva, G.C.; Ferreira Alves, J.E.; Beltrao, E.I.C.; de Oliveira, J.F.; de Carvalho, L.B.J.; Alves de Lima, M.C. DNA Binding and Topoisomerase Inhibition: How can these Mechanisms be Explored to Design more Specific Anticancer Agents? Biomed. Pharmacother. 2017, 96, 1538–1556. [Google Scholar] [CrossRef]
- Haldys, K.; Latajka, R. Thiosemicarbazones with Tyrosinase Inhibitory Activity. MedChemComm 2019, 10, 378–389. [Google Scholar] [CrossRef]
- Park, K.C.; Fouani, L.; Jansson, P.J.; Wooi, D.; Sahni, S.; Lane, D.J.R.; Palanimuthu, D.; Lok, H.C.; Kovacevic, Z.; Huang, M.L.H.; et al. Copper and Conquer: Copper Complexes of Di-2-Pyridylketone Thiosemicarbazones as Novel Anti-Cancer Therapeutics. Metallomics 2016, 8, 874–886. [Google Scholar] [CrossRef]
- Vareki, S.M.; Salim, K.Y.; Danter, W.R.; Koropatnick, J. Novel Anti-Cancer Drug COTI-2 Synergizes with Therapeutic Agents and does not Induce Resistance or Exhibit Cross-Resistance in Human Cancer Cell Lines. PLoS ONE 2018, 13, e0191766. [Google Scholar] [CrossRef] [PubMed]
- Lindemann, A.; Patel, A.A.; Tang, L.; Liu, Z.; Wang, L.; Silver, N.L.; Tanaka, N.; Rao, X.; Takahashi, H.; Maduka, N.K.; et al. COTI-2, a Novel Thiosemicarbazone Derivative, Exhibits Antitumor Activity in HNSCC through P53-Dependent and -Independent Mechanisms. Clin. Cancer Res. 2019, 25, 5650–5662. [Google Scholar] [CrossRef] [PubMed]
- Guo, Z.-L.; Richardson, D.R.; Kalinowski, D.S.; Kovacevic, Z.; Tan-Un, K.C.; Chan, G.C.-F. The Novel Thiosemicarbazone, Di-2- Pyridylketone 4-Cyclohexyl-4-Methyl-3- Thiosemicarbazone (Dpc), Inhibits Neuroblastoma Growth in Vitro and in Vivo via Multiple Mechanisms. J. Hematol. Oncol. 2016, 9, 98/1–98/16. [Google Scholar] [CrossRef]
- Bacher, F.; Doemoetoer, O.; Chugunova, A.; Nagy, N.V.; Filipovic, L.; Radulovic, S.; Enyedy, E.A.; Arion, V.B. Strong Effect of Copper(II) Coordination on Antiproliferative Activity of Thiosemicarbazone–Piperazine and Thiosemicarbazone–Morpholine Hybrids. Dalton Trans. 2015, 44, 9071–9090. [Google Scholar] [CrossRef] [PubMed]
- Chao, J.; Synold, T.W.; Morgan, R.J., Jr.; Kunos, C.; Longmate, J.; Lenz, H.-J.; Lim, D.; Shibata, S.; Chung, V.; Stoller, R.G.; et al. A Phase I and Pharmacokinetic Study of Oral 3-Aminopyridine-2-Carboxaldehyde Thiosemicarbazone (3-AP, NSC #663249) in the Treatment of Advanced-Stage Solid Cancers: A California Cancer Consortium Study. Cancer Chemother. Pharmacol. 2012, 69, 835–843. [Google Scholar]
- Knox, J.J.; Hotte, S.J.; Kollmannsberger, C.; Winquist, E.; Fisher, B.; Eisenhauer, E.A. Phase II Study of Triapine® in Patients with Metastatic Renal Cell Carcinoma: A Trial of the National Cancer Institute of Canada Clinical Trials Group (NCIC IND.161). Invest. New Drugs 2007, 25, 471–477. [Google Scholar] [CrossRef]
- Ohui, K.; Afanasenko, E.; Bacher, F.; Ting, R.L.X.; Zafar, A.; Blanco-Cabra, N.; Torrents, E.; Dömötör, O.; May, N.V.; Darvasiova, D.; et al. New Water-Soluble Copper(II) Complexes with Morpholine–Thiosemicarbazone Hybrids: Insights into the Anticancer and Antibacterial Mode of Action. J. Med. Chem. 2019, 62, 512–530. [Google Scholar] [CrossRef]
- Singh, H.; Singh, J.V.; Bhagat, K.; Gulati, H.K.; Sanduja, M.; Kumar, N.; Kinarivala, N.; Sharma, S. Rational Approaches, Design Strategies, Structure Activity Relationship and Mechanistic Insights for Therapeutic Coumarin Hybrids. Bioorg. Med. Chem. 2019, 27, 3477–3510. [Google Scholar] [CrossRef]
- Balcioglu, S.; Olgun Karatas, M.; Ates, B.; Alici, B.; Ozdemir, I. Therapeutic Potential of Coumarin Bearing Metal Complexes: Where are We Headed? Bioorg. Med. Chem. Lett. 2020, 30, 126805. [Google Scholar] [CrossRef]
- Gupta, M.K.; Kumar, S.; Chaudhary, S. Coumarins: A Unique Scaffold with Versatile Biological Behavior. Asian J. Pharm. Clin. Res. 2019, 12, 27–38. [Google Scholar] [CrossRef]
- Pereira, T.M.; Franco, D.P.; Vitorio, F.; Kummerle, A.E. Coumarin Compounds in Medicinal Chemistry: Some Important Examples from the Last Years. Curr. Top. Med. Chem. 2018, 18, 124–148. [Google Scholar] [CrossRef] [PubMed]
- Barot, K.P.; Jain, S.V.; Kremer, L.; Singh, S.; Ghate, M.D. Recent Advances and Therapeutic Journey of Coumarins: Current Status and Perspectives. Med. Chem. Res. 2015, 24, 2771–2798. [Google Scholar] [CrossRef]
- Sandhu, S.; Bansal, Y.; Silakari, O.; Bansal, G. Coumarin Hybrids as Novel Therapeutic Agents. Bioorg. Med. Chem. 2014, 22, 3806–3814. [Google Scholar] [CrossRef] [PubMed]
- Song, X.-F.; Fan, J.; Liu, L.; Liu, X.-F.; Gao, F. Coumarin Derivatives with Anticancer Activities: An Update. Arch. Pharm. 2020, 353, 2000025. [Google Scholar] [CrossRef] [PubMed]
- Zhang, L.; Xu, Z. Coumarin-Containing Hybrids and their Anticancer Activities. Eur. J. Med. Chem. 2019, 181, 111587. [Google Scholar] [CrossRef] [PubMed]
- Pangal, A.A.; Shaikh, J.A.; Khan, E.M. Current Developments of C3-Substituted Coumarin Hybrids as Anti-Cancer Agents. Int. J. Pharm. Sci. Rev. Res. 2017, 42, 161–168. [Google Scholar]
- Dandriyal, J.; Singla, R.; Kumar, M.; Jaitak, V. Recent Developments of C-4 Substituted Coumarin Derivatives as Anticancer Agents. Eur. J. Med. Chem. 2016, 119, 141–168. [Google Scholar] [CrossRef]
- Sairam, K.V.; Gurupadayya, B.M.; Chandan, R.S.; Nagesha, D.K.; Vishwanathan, B. A Review on Chemical Profile of Coumarins and their Therapeutic Role in the Treatment of Cancer. Curr. Drug Deliv. 2016, 13, 186–201. [Google Scholar] [CrossRef] [PubMed]
- Klenkar, J.; Molnar, M. Natural and Synthetic Coumarins as Potential Anticancer Agents. J. Chem. Pharm. Res. 2015, 7, 1223–1238. [Google Scholar]
- Pennington, L.D.; Moustakas, D.T. The Necessary Nitrogen Atom: A Versatile High-Impact Design Element for Multiparameter Optimization. J. Med. Chem. 2017, 60, 3552–3579. [Google Scholar] [CrossRef]
- Moamen, S.; El-Deen, I.M.; Anwer, Z.M.; El-Ghol, S. Bivalent Transition Metal Complexes of Coumarin-3-yl Thiosemicarbazone Derivatives: Spectroscopic, Antibacterial Activity and Thermogravimetric Studies. J. Mol. Struct. 2009, 920, 149–162. [Google Scholar]
- Rahman, K.N.A.; Haribabu, J.; Balachandran, C.; Bhuvanesh, N.S.P.; Karvembu, R.; Sreekanth, A. Copper, Nickel and Zinc Complexes of 3-Acetylcoumarin Thiosemicarbazone: Synthesis, Characterization and in Vitro Evaluation of Cytotoxicity and DNA/Protein Binding Properties. Polyhedron 2017, 135, 26–35. [Google Scholar] [CrossRef]
- Ma, L.; Leng, T.; Wang, K.; Wang, C.; Shen, Y.; Zhu, W. A Coumarin-Based Fluorescent and Colorimetric Chemosensor for Rapid Detection of Fluoride Ion. Tetrahedron 2017, 73, 1306–1310. [Google Scholar] [CrossRef]
- Yang, G.; Jin, Q.; Fan, S.; Wang, C.; Xie, P.; Xu, C. Synthesis, Characterization and Antifungal Activity of Coumarin-Functionalized Chitosan Derivatives. Int. J. Biol. Macromol. 2018, 106, 179–184. [Google Scholar] [CrossRef] [PubMed]
- Ranade, D.S.; Bapat, A.M.; Ramteke, S.N.; Joshi, B.N.; Roussel, P.; Tomas, A.; Deschamps, P.; Kulkarni, P.P. Thiosemicarbazone Modification of 3-Acetyl Coumarin Inhibits Aβ Peptide Aggregation and Protect Against Aβ-Induced Cytotoxicity. Eur. J. Med. Chem. 2016, 121, 803–809. [Google Scholar] [CrossRef]
- Dawood, D.H.; Batran, R.Z.; Farghaly, T.A.; Khedr, M.A.; Abdulla, M.M. New Coumarin Derivatives as Potent Selective COX-2 Inhibitors: Synthesis, Anti-Inflammatory, QSAR, and Molecular Modeling Studies. Arch. Pharm. 2015, 348, 875–888. [Google Scholar] [CrossRef]
- Iqbal, P.F.; Bhat, A.R.; Azam, A. Antiamoebic Coumarins from the Root Bark of Adina Cordifolia and their New Thiosemicarbazone Derivatives. Eur. J. Med. Chem. 2009, 44, 2252–2259. [Google Scholar] [CrossRef] [PubMed]
- Patil, S.A.; Naik, V.H.; Kulkarni, A.D.; Badami, P.S. DNA Cleavage, Antimicrobial, Spectroscopic and Fluorescence Studies of Co(II), Ni(II) and Cu(II) Complexes with SNO Donor Coumarin Schiff Bases. Spectrochim. Acta 2010, 75A, 347–354. [Google Scholar] [CrossRef] [PubMed]
- Patil, S.A.; Unki, S.N.; Kulkarni, A.D.; Naik, V.H.; Badami, P.S. Co(II), Ni(II) and Cu(II) Complexes with Coumarin-8-yl Schiff-Bases: Spectroscopic, in Vitro Antimicrobial, DNA Cleavage and Fluorescence Studies. Spectrochim. Acta A 2011, 79, 1128–1136. [Google Scholar] [CrossRef]
- Thanh, N.D.; Toan, V.N. Synthesis of Some Peracetylated Glucopyranosyl Thiosemicarbazones of Substituted 4-Formylcoumarins. Asian J. Chem. 2013, 25, 6609–6611. [Google Scholar] [CrossRef]
- Youssif, B.G.M. Synthesis and Biological Evaluation of Some New Coumarin Derivatives as Antimicrobial Agents. Bull. Pharm. Sci. Assiut Univ. 2013, 36, 105–116. [Google Scholar] [CrossRef][Green Version]
- Kettenmann, S.D.; Nossol, Y.; Louka, F.R.; Legrande, J.R.; Marine, E.; Fischer, R.C.; Mautner, F.A.; Hergl, V.; Kulak, N.; Massoud, S.S. Copper(II) Complexes with Tetradentate Piperazine-Based Ligands: DNA Cleavage and Cytotoxicity. Inorganics 2021, 9, 12. [Google Scholar] [CrossRef]
- Lungu, L.; Ciocarlan, A.; Barba, A.; Shova, S.; Pogrebnoi, S.; Mangalagiu, I.; Moldoveanu, C.; Vornicu, N.; D’Ambrosio, M.; Babak, M.V.; et al. Synthesis and Evaluation of Biological Activity of Homodrimane Sesquiterpenoids Bearing Hydrazinecarbothioamide or 1,2,4-Triazole Unit. Chem. Heterocycl. Compd. 2019, 55, 716–724. [Google Scholar] [CrossRef]
- Sheldrick, G.M. A Short History of SHELX. Acta Crystallogr. 2008, A64, 112–122. [Google Scholar] [CrossRef]
- Burnett, M.N.; Johnson, G.K. ORTEPIII; Report ORNL-6895; OAK Ridge National Laboratory: Oak Ridge, TN, USA, 1996. [Google Scholar]
- Voevodskaya, N.; Lendzian, F.; Gräslund, A. A Stable FeIII–FeIV Replacement of Tyrosyl Radical in A Class I Ribonucleotide Reductase. Biochem. Biophys. Res. Commun. 2005, 330, 1213–1216. [Google Scholar] [CrossRef]
- Zaltariov, M.F.; Hammerstad, M.; Arabshahi, H.J.; Jovanović, K.; Richter, K.W.; Cazacu, M.; Shova, S.; Balan, M.; Andersen, N.H.; Radulović, S.; et al. New Iminodiacetate–Thiosemicarbazone Hybrids and Their Copper(II) Complexes Are Potential Ribonucleotide Reductase R2 Inhibitors with High Antiproliferative Activity. Inorg. Chem. 2017, 56, 3532–3549. [Google Scholar] [CrossRef]
- Coppola, G.M. Amberlyst-15, A Superior Acid Catalyst for the Cleavage of Acetals. Synthesis 1984, 12, 1021–1023. [Google Scholar] [CrossRef]
- Kowol, C.R.; Trondl, R.; Arion, V.B.; Jakupec, M.A.; Lichtscheidl, I.; Keppler, B.K. Fluorescence Properties and Cellular Distribution of the Investigational Anticancer Drug Triapine (3-Aminopyridine-2-Carboxaldehyde Thiosemicarbazone) and its Zinc(II) Complex. Dalton Trans. 2010, 39, 704–706. [Google Scholar] [CrossRef]
- Manevich, Y.; Held, K.D.; Biaglow, J.E. Coumarin-3-Carboxylic Acid as a Detector for Hydroxyl Radicals Generated Chemically and by Gamma Radiation. Radiat. Res. 1997, 148, 580–591. [Google Scholar] [CrossRef]
- Enyedy, É.A.; Nagy, N.V.; Zsigó, É.; Kowol, C.R.; Arion, V.B.; Keppler, B.K.; Kiss, T. Comparative solution equilibrium study of the interactions of copper(II), iron(II) and zinc(II) with Triapine (3-aminopyridine-2-carboxaldehyde thiosemicarbazone) and related ligands. Eur. J. Inorg. Chem. 2010, 1717–1728. [Google Scholar] [CrossRef]
- Basu, A.; Thiyagarajan, D.; Kar, C.; Ramesh, A.; Das, G. Synthesis, Crystal Structure and Bio-Macromolecular Interaction Studies of Pyridine-Based Thiosemicarbazone and its Ni(II) and Cu(II) Complexes. RSC Adv. 2013, 3, 14088–14098. [Google Scholar] [CrossRef]
- Gil-Garcia, R.; Fraile, R.; Donnadieu, B.; Madariaga, G.; Januskaitis, V.; Rovira, J.; Gonzalez, L.; Borras, J.; Arnaiz, F.J.; Garcia-Tojal, J. Desulfurization Processes of Thiosemicarbazonecopper(II) Derivatives in Acidic and Basic Aqueous Media. New J. Chem. 2013, 37, 3568–3580. [Google Scholar] [CrossRef]
- Ilies, D.-C.; Shova, S.; Radulescu, V.; Pahontu, E.; Rosu, T. Synthesis, Characterization, Crystal Structure and Antioxidant Activity of Ni(II) and Cu(II) Complexes with 2-Formilpyridine N(4)-Phenylthiosemicarbazone. Polyhedron 2015, 97, 157–166. [Google Scholar] [CrossRef]
- Ohui, K.; Stepanenko, I.; Besleaga, I.; Babak, M.V.; Stafi, R.; Darvasiova, D.; Giester, G.; Posa, V.; Enyedy, E.A.; Vegh, D.; et al. Triapine Derivatives Act as Copper Delivery Vehicles to Induce Deadly Metal Overload in Cancer Cells. Biomolecules 2020, 10, 1336. [Google Scholar] [CrossRef] [PubMed]
- Francke, R.; Quell, T.; Wiebe, A.; Waldvogel, S.R. Oxygen-Containing Compounds. In Organic Electrochemistry; Hammerich, O., Speiser, B., Eds.; CRC Press: Boca Raton, FL, USA, 2016; pp. 1003–1010. [Google Scholar]
- Dvoranová, D.; Barbieriková, Z.; Dorotíková, S.; Malček, M.; Brincko, A.; Rišpanová, L.; Bučinský, L.; Staško, A.; Brezová, V.; Rapta, P. Redox Processes of 2,6-Dichlorophenolindophenolate in Different Solvents. A Combined Electrochemical, Spectroelectrochemical, Photochemical, and Theoretical Study. J. Solid State Electr. 2015, 19, 2633–2642. [Google Scholar] [CrossRef]
- El-Saied, F.; El-Aarag, B.; Salem, T.; Said, G.; Khalifa, S.A.M.; El-Seedi, H.R. Synthesis, Characterization, and In Vivo Anti-Cancer Activity of New Metal Complexes Derived from Isatin-N(4)antipyrinethiosemicarbazone Ligand Against Ehrlich Ascites Carcinoma Cells. Molecules 2019, 24, 3313. [Google Scholar] [CrossRef]
- Milunović, M.N.M.; Palamarciuc, O.; Sirbu, A.; Shova, S.; Dumitrescu, D.; Dvoranová, D.; Rapta, P.; Petrasheuskaya, T.V.; Enyedy, E.A.; Spengler, G.; et al. Insight into the Anticancer Activity of Copper(II) 5-Methylenetrimethylammonium-Thiosemicarbazonates and Their Interaction with Organic Cation Transporters. Biomolecules 2020, 10, 1213. [Google Scholar] [CrossRef]
- Carrasco-Pozo, C.; Aliaga, M.E.; Olea-Azar, C.; Speisky, H. Double Edge Redox-Implications for the Interaction between Endogenous Thiols and Copper Ions: In Vitro Studies. Bioorg. Med. Chem. 2008, 16, 9795–9803. [Google Scholar] [CrossRef]
- Kallus, S.; Uhlik, L.; van Schoonhoven, S.; Pelivan, K.; Berger, W.; Enyedy, E.A.; Hofmann, T.; Heffeter, P.; Kowol, C.R.; Keppler, B.K. Synthesis and Biological Evaluation of Biotin-Conjugated Anticancer Thiosemicarbazones and their Iron(III) and Copper(II) Complexes. J. Inorg. Biochem. 2019, 190, 85–97. [Google Scholar] [CrossRef]
- Dvoranová, D.; Barbierková, Z.; Brezová, V. Radical Intermediates in Photoinduced Reactions on TiO2 (An EPR Spin Trapping Study). Molecules 2014, 19, 17279–17304. [Google Scholar] [CrossRef] [PubMed]
- Thelander, L.; Graslund, A. Mechanism of Inhibition of Mammalian Ribonucleotide Reductase by the Iron Chelate of 1-Formylisoquinoline Thiosemicarbazone. Destruction of the Tyrosine Free Radical of the Enzyme in an Oxygen-Requiring Reaction. J. Biol. Chem. 1983, 258, 4063–4066. [Google Scholar] [CrossRef]
- Nitiss, J.L. Targeting DNA Topoisomerase II in Cancer Chemotherapy. Nat. Rev. Cancer 2009, 9, 338–350. [Google Scholar] [CrossRef]
- Easmon, J.; Puerstinger, G.; Heinisch, G.; Roth, T.; Fiebig, H.H.; Holzer, W.; Jaeger, W.; Jenny, M.; Hofmann, J. Synthesis, Cytotoxicity, and Antitumor Activity of Copper(II) and Iron(II) Complexes of 4N-Azabicyclo[3.2.2]Nonane Thiosemicarbazones Derived from Acyl Diazines. J. Med. Chem. 2001, 44, 2164–2171. [Google Scholar] [CrossRef] [PubMed]
- Huang, H.; Chen, Q.; Ku, X.; Meng, L.; Wang, X.; Zhu, C.; Wang, Y.; Chen, Z.; Li, M.; Jiang, H.; et al. A Series of α-Heterocyclic Carboxaldehyde Thiosemicarbazones Inhibit Topoisomerase IIα Catalytic Activity. J. Med. Chem. 2010, 53, 3048–3064. [Google Scholar] [CrossRef] [PubMed]
- Zeglis, B.M.; Divilov, V.; Lewis, J.S. Role of Metalation in the Topoisomerase IIα Inhibition and Antiproliferation Activity of a Series of α-Heterocyclic-N4-Substituted Thiosemicarbazones and Their Cu(II) Complexes. J. Med. Chem. 2011, 54, 2391–2398. [Google Scholar] [CrossRef] [PubMed]









| Compound | Cu(L1)Cl·1.775H2O |
|---|---|
| empirical formula | C24H28.6ClCuN6O5.78S |
| fw | 624.58 |
| space group | triclinic P |
| a, Å | 8.2906(6) |
| b, Å | 15.1634(13) |
| c, Å | 43.244(4) |
| β, ° | 94.026(3) |
| V [Å3] | 5422.9(8) |
| Z | 8 |
| λ [Å] | 0.71073 |
| ρcalcd, g cm−3 | 1.530 |
| cryst size, mm3 | 0.12 × 0.08 × 0.03 |
| T [K] | 110(2) |
| µ, mm−1 | 1.031 |
| R1a | 0.0968 |
| wR2b | 0.2099 |
| GOFc | 1.084 |
| Compound | IC50 [µM] a | SF c | |||
|---|---|---|---|---|---|
| MDA-MB-231 | COLO-205 | COLO-320 | MRC-5 | ||
| HL1 | 4.8 ± 1.3 | 9.2 ± 0.1 | 6.7 ± 0.9 | 41 ± 1 | 6.1 |
| HL2 | 18 ± 4 | 89 ± 6 | 83 ± 7 | 54 ± 5 | 0.6 |
| HL3 | 11 ± 1 | 76 ± 8 | 90 ± 10 | > 100 | 1.1 |
| H2L4 | 3.0 ± 0.3 | 4.4 ± 0.7 | 4.6 ± 0.3 | 4.0 ± 0.3 | 0.9 |
| Cu(HL1)Cl2 | 25 ± 5 | 12 ± 1 | 14 ± 0 | 11 ± 1 | 0.8 |
| Cu(HL2)Cl2 | >100 | 75 ± 7 | 84 ± 8 | 11 ± 1 | 0.1 |
| Cu(HL3)Cl2 | 67 ± 18 | 58 ± 3 | 59 ± 3 | 53 ± 6 | 0.9 |
| Cu2(H2L4)Cl4 | 14 ± 1 | 11 ± 1 | 9.7 ± 1.1 | 8.7 ± 1.0 | 0.9 |
| Triapine Doxorubicin | 1.5 ± 1.1 [70] n.d. b | n.d. 3.3 ± 0.2 | n.d. 3.1 ± 0.3 | n.d. 5.2 ± 0.2 | 1.7 |
Publisher’s Note: MDPI stays neutral with regard to jurisdictional claims in published maps and institutional affiliations. |
© 2021 by the authors. Licensee MDPI, Basel, Switzerland. This article is an open access article distributed under the terms and conditions of the Creative Commons Attribution (CC BY) license (https://creativecommons.org/licenses/by/4.0/).
Share and Cite
Stepanenko, I.; Babak, M.V.; Spengler, G.; Hammerstad, M.; Popovic-Bijelic, A.; Shova, S.; Büchel, G.E.; Darvasiova, D.; Rapta, P.; Arion, V.B. Coumarin-Based Triapine Derivatives and Their Copper(II) Complexes: Synthesis, Cytotoxicity and mR2 RNR Inhibition Activity. Biomolecules 2021, 11, 862. https://doi.org/10.3390/biom11060862
Stepanenko I, Babak MV, Spengler G, Hammerstad M, Popovic-Bijelic A, Shova S, Büchel GE, Darvasiova D, Rapta P, Arion VB. Coumarin-Based Triapine Derivatives and Their Copper(II) Complexes: Synthesis, Cytotoxicity and mR2 RNR Inhibition Activity. Biomolecules. 2021; 11(6):862. https://doi.org/10.3390/biom11060862
Chicago/Turabian StyleStepanenko, Iryna, Maria V. Babak, Gabriella Spengler, Marta Hammerstad, Ana Popovic-Bijelic, Sergiu Shova, Gabriel E. Büchel, Denisa Darvasiova, Peter Rapta, and Vladimir B. Arion. 2021. "Coumarin-Based Triapine Derivatives and Their Copper(II) Complexes: Synthesis, Cytotoxicity and mR2 RNR Inhibition Activity" Biomolecules 11, no. 6: 862. https://doi.org/10.3390/biom11060862
APA StyleStepanenko, I., Babak, M. V., Spengler, G., Hammerstad, M., Popovic-Bijelic, A., Shova, S., Büchel, G. E., Darvasiova, D., Rapta, P., & Arion, V. B. (2021). Coumarin-Based Triapine Derivatives and Their Copper(II) Complexes: Synthesis, Cytotoxicity and mR2 RNR Inhibition Activity. Biomolecules, 11(6), 862. https://doi.org/10.3390/biom11060862

