Lipid-siRNA Conjugates Targeting High PD-L1 Expression as Potential Novel Immune Checkpoint Inhibitors
Abstract
1. Introduction
2. Materials and Methods
2.1. Cell Culture
2.2. RT-qPCR
2.3. Western Blotting Analysis
2.4. Design and Synthesis of Lipid-siRNAs
2.5. Lipid-siPDL1s-Induced Suppression of Immune Checkpoint Gene Expression
2.6. Lipid-siPDL1s-Induced Inhibition of Immune Checkpoint Protein Expression
2.7. Statistical Analysis
3. Results
3.1. Synthesis of Lipid-siRNAs
3.2. Differential Expression of Immune Checkpoints in Cancer Cells
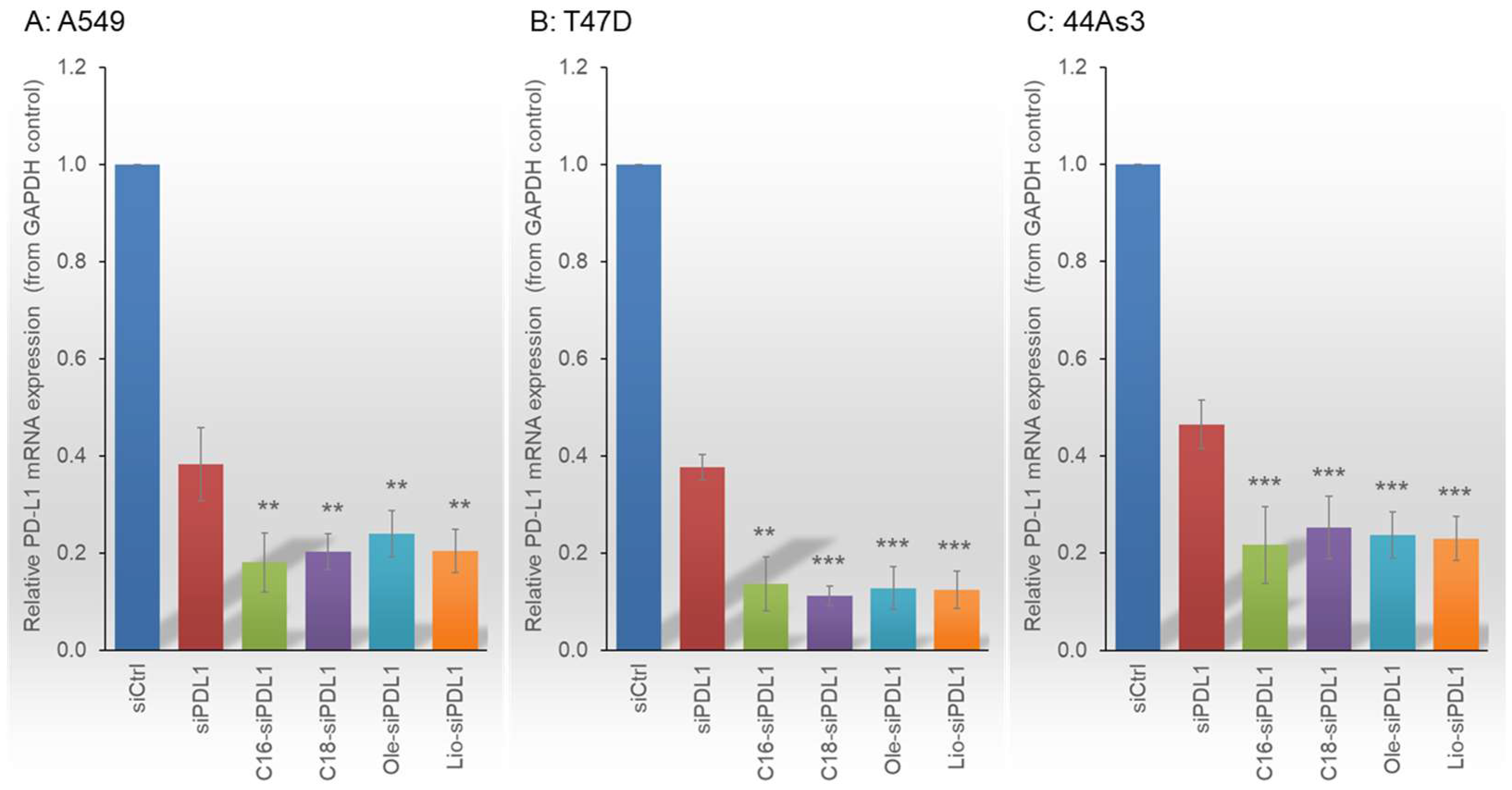
3.3. RNAi Efficacy of Lipid-siRNAs Targeting PD-L1 and B7-H4 in Cancer Cells
3.4. IFNγ Stimulation Induces Increased PD-L1 Expression in Cancer Cells
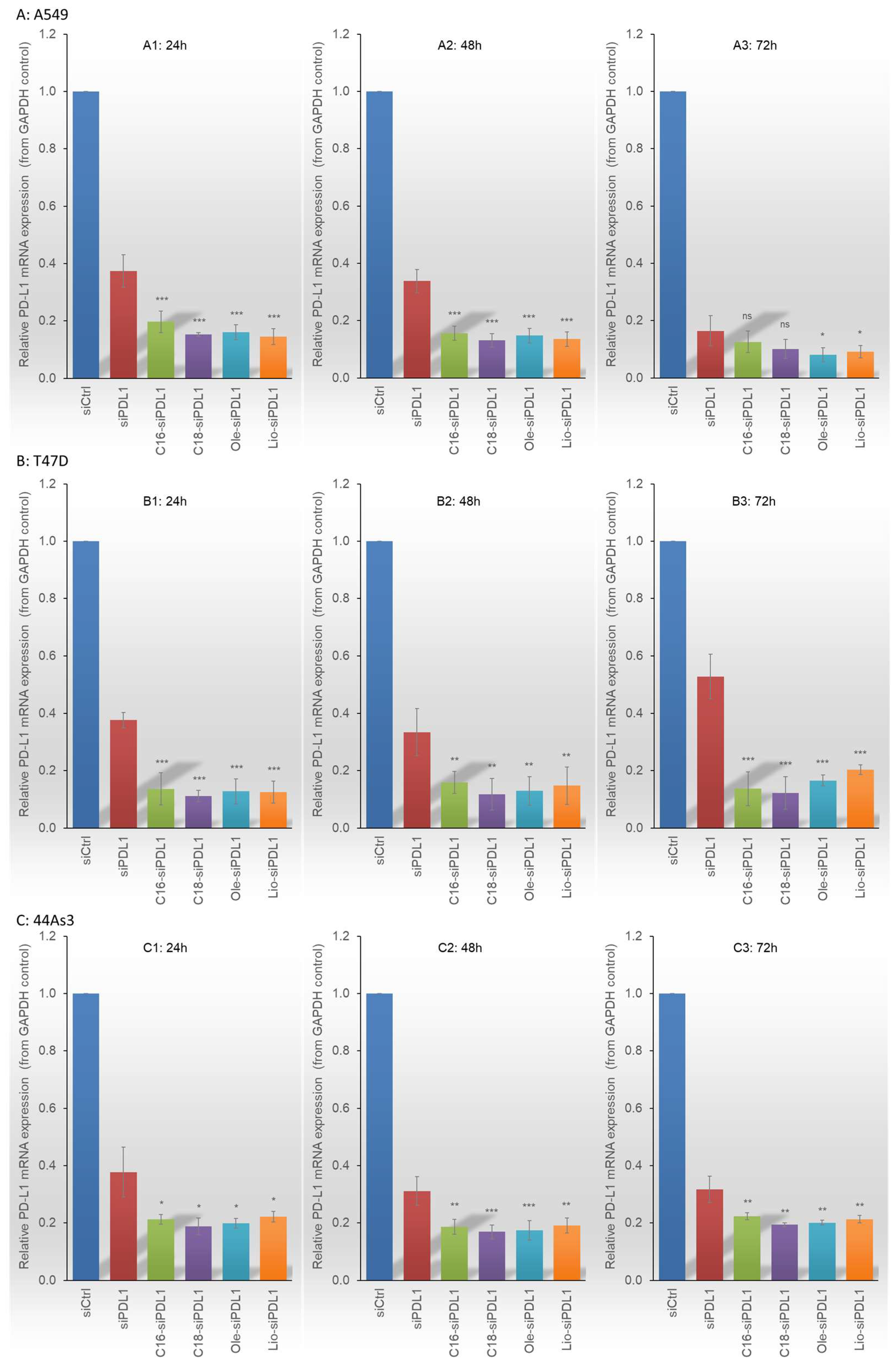
3.5. Inhibition of PD-L1 mRNA Expression Using Lipid-siPDL1s Under Upregulated PD-L1 Conditions
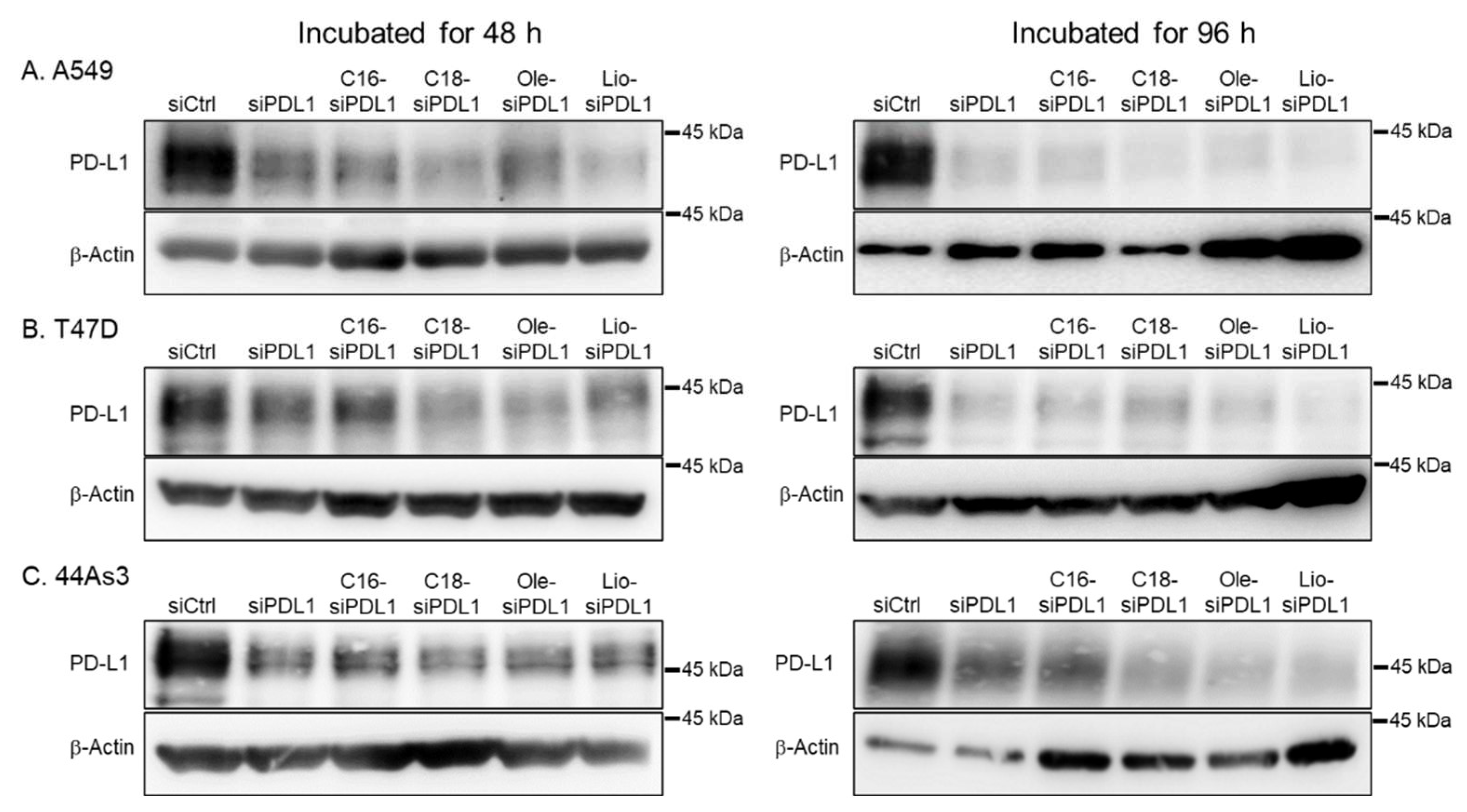
3.6. Suppression of Elevated Cell Surface PD-L1 Protein Expression by Lipid-siPDL1s
4. Discussion
5. Conclusions
Supplementary Materials
Author Contributions
Funding
Institutional Review Board Statement
Informed Consent Statement
Data Availability Statement
Conflicts of Interest
Abbreviations
| AHP | Acute hepatic porphyria |
| ASGPR | Asialoglycoprotein receptor |
| asRNA | Single-antisense stranded RNA |
| BSA | Bovine serum albumin |
| C16 | Palmitic acid |
| C18 | Stearic acid |
| Chol-siRNA | Cholesterol-siRNA |
| CPP | Cell-penetrating peptide |
| FBS | Fetal bovine serum |
| GalNAc | N-acetylgalactosamine |
| GAPDH | Glyceraldehyde-3-phosphate dehydrogenase |
| IFNγ | Interferon gamma |
| LFRNA | Lipofectamine RNAiMAX |
| Lio | Linoleic acid |
| Lipid-siRNAs | Lipid-siRNA conjugates |
| MALDI-TOF MS | Matrix-assisted laser desorption/ionization-time of flight mass spectrometry |
| NHS | N-hydroxysuccinimide |
| Ole | Oleic acid |
| PAGE | Polyacrylamide gel electrophoresis |
| PD-1 | Programmed cell death 1 |
| PD-L1 | Programmed death 1 ligand |
| RNAi | RNA interference |
| RP-HPLC | Reverse-phase high-performance liquid chromatography |
| RT-qPCR | Reverse transcription-quantitative polymerase chain reaction |
| SDS | Sodium dodecyl sulfate |
| siRNAs | Small interfering RNA |
| ssRNAs | Single-stranded RNAs |
References
- Borkner, L.; Kaiser, A.; van de Kasteele, W.; Andreesen, R.; Mackensen, A.; Haanen, J.B.; Schumacher, T.N.; Blank, C. RNA interference targeting programmed death receptor-1 improves immune functions of tumor-specific T cells. Cancer Immunol. Immunother. 2010, 59, 1173–1183. [Google Scholar] [CrossRef]
- Lian, S.; Xie, R.; Ye, Y.; Lu, Y.; Cheng, Y.; Xie, X.; Li, S.; Jia, L. Dual blockage of both PD-L1 and CD47 enhances immunotherapy against circulating tumor cells. Sci. Rep. 2019, 9, 4532. [Google Scholar] [CrossRef] [PubMed]
- Sanmamed, M.F.; Chen, L. A Paradigm Shift in Cancer Immunotherapy: From Enhancement to Normalization. Cell 2018, 175, 313–326. [Google Scholar] [CrossRef]
- Bolandi, N.; Derakhshani, A.; Hemmat, N.; Baghbanzadeh, A.; Asadzadeh, Z.; Afrashteh Nour, M.; Brunetti, O.; Bernardini, R.; Silvestris, N.; Baradaran, B. The Positive and Negative Immunoregulatory Role of B7 Family: Promising Novel Targets in Gastric Cancer Treatment. Int. J. Mol. Sci. 2021, 22, 10719. [Google Scholar] [CrossRef] [PubMed]
- Blank, C.; Brown, I.; Peterson, A.C.; Spiotto, M.; Iwai, Y.; Honjo, T.; Gajewski, T.F. PD-L1/B7H-1 inhibits the effector phase of tumor rejection by T cell receptor (TCR) transgenic CD8+ T cells. Cancer Res. 2004, 64, 1140–1145. [Google Scholar] [CrossRef] [PubMed]
- Garcia-Diaz, A.; Shin, D.S.; Moreno, B.H.; Saco, J.; Escuin-Ordinas, H.; Rodriguez, G.A.; Zaretsky, J.M.; Sun, L.; Hugo, W.; Wang, X.; et al. Interferon Receptor Signaling Pathways Regulating PD-L1 and PD-L2 Expression. Cell Rep. 2017, 19, 1189–1201. [Google Scholar] [CrossRef]
- Nong, Y.; Qin, H.; Wei, L.; Wei, X.; Lv, J.; Huang, X.; Wu, B. Oxymatrine Inhibits PD-L1 by Downregulating IFN-gamma to Promote Ferroptosis and Enhance Anti-PD-L1 Efficacy in Liver Cancer. J. Hepatocell. Carcinoma 2024, 11, 2427–2440. [Google Scholar] [CrossRef] [PubMed]
- Fife, B.T.; Pauken, K.E.; Eagar, T.N.; Obu, T.; Wu, J.; Tang, Q.; Azuma, M.; Krummel, M.F.; Bluestone, J.A. Interactions between PD-1 and PD-L1 promote tolerance by blocking the TCR–induced stop signal. Nature Immunol. 2009, 10, 1185–1192. [Google Scholar] [CrossRef] [PubMed]
- Hata, K.; Nakamura, K.; Maeda, S.; Maeda, M.; Fujio, Y.; Hirobe, S. Infusion-Related Reactions Subsequent to Avelumab, Durvalumab, and Atezolizumab Administration: A Retrospective Observational Study. Clin. Pract. 2024, 14, 377–387. [Google Scholar] [CrossRef] [PubMed]
- Baxi, S.; Yang, A.; Gennarelli, R.L.; Khan, N.; Wang, Z.; Boyce, L.; Korenstein, D. Immune-related adverse events for anti-PD-1 and anti-PD-L1 drugs: Systematic review and meta-analysis. BMJ 2018, 360, k793. [Google Scholar] [CrossRef]
- Hargadon, K.M.; Johnson, C.E.; Williams, C.J. Immune checkpoint blockade therapy for cancer: An overview of FDA-approved immune checkpoint inhibitors. Int. Immunopharmacol. 2018, 62, 29–39. [Google Scholar] [CrossRef] [PubMed]
- Herbst, R.S.; Giaccone, G.; de Marinis, F.; Reinmuth, N.; Vergnenegre, A.; Barrios, C.H.; Morise, M.; Felip, E.; Andric, Z.; Geater, S.; et al. Atezolizumab for First-Line Treatment of PD-L1-Selected Patients with NSCLC. N. Engl. J. Med. 2020, 383, 1328–1339. [Google Scholar] [CrossRef] [PubMed]
- Powles, T.; Park, S.H.; Voog, E.; Caserta, C.; Valderrama, B.P.; Gurney, H.; Kalofonos, H.; Radulovic, S.; Demey, W.; Ullen, A.; et al. Avelumab Maintenance Therapy for Advanced or Metastatic Urothelial Carcinoma. N. Engl. J. Med. 2020, 383, 1218–1230. [Google Scholar] [CrossRef]
- Kaufman, H.L.; Russell, J.; Hamid, O.; Bhatia, S.; Terheyden, P.; D’Angelo, S.P.; Shih, K.C.; Lebbe, C.; Linette, G.P.; Milella, M.; et al. Avelumab in patients with chemotherapy-refractory metastatic Merkel cell carcinoma: A multicentre, single-group, open-label, phase 2 trial. Lancet Oncol. 2016, 17, 1374–1385. [Google Scholar] [CrossRef] [PubMed]
- Antonia, S.J.; Villegas, A.; Daniel, D.; Vicente, D.; Murakami, S.; Hui, R.; Yokoi, T.; Chiappori, A.; Lee, K.H.; de Wit, M.; et al. Durvalumab after Chemoradiotherapy in Stage III Non-Small-Cell Lung Cancer. N. Engl. J. Med. 2017, 377, 1919–1929. [Google Scholar] [CrossRef] [PubMed]
- Robert, C.; Long, G.V.; Brady, B.; Dutriaux, C.; Maio, M.; Mortier, L.; Hassel, J.C.; Rutkowski, P.; McNeil, C.; Kalinka-Warzocha, E.; et al. Nivolumab in previously untreated melanoma without BRAF mutation. N. Engl. J. Med. 2015, 372, 320–330. [Google Scholar] [CrossRef]
- Larkin, J.; Chiarion-Sileni, V.; Gonzalez, R.; Grob, J.J.; Rutkowski, P.; Lao, C.D.; Cowey, C.L.; Schadendorf, D.; Wagstaff, J.; Dummer, R.; et al. Five-Year Survival with Combined Nivolumab and Ipilimumab in Advanced Melanoma. N. Engl. J. Med. 2019, 381, 1535–1546. [Google Scholar] [CrossRef]
- Huang, A.C.; Postow, M.A.; Orlowski, R.J.; Mick, R.; Bengsch, B.; Manne, S.; Xu, W.; Harmon, S.; Giles, J.R.; Wenz, B.; et al. T-cell invigoration to tumour burden ratio associated with anti-PD-1 response. Nature 2017, 545, 60–65. [Google Scholar] [CrossRef] [PubMed]
- Wang, T.; Ma, W.; Zou, Z.; Zhong, J.; Lin, X.; Liu, W.; Sun, W.; Hu, T.; Xu, Y.; Chen, Y. PD-1 blockade treatment in melanoma: Mechanism of response and tumor-intrinsic resistance. Cancer Sci. 2024, 116, 329–337. [Google Scholar] [CrossRef] [PubMed]
- Truong, A.S.; Zhou, M.; Krishnan, B.; Utsumi, T.; Manocha, U.; Stewart, K.G.; Beck, W.; Rose, T.L.; Milowsky, M.I.; He, X.; et al. Entinostat induces antitumor immune responses through immune editing of tumor neoantigens. J. Clin. Investig. 2021, 131, e138560. [Google Scholar] [CrossRef] [PubMed]
- Tang, Q.; Chen, Y.; Li, X.; Long, S.; Shi, Y.; Yu, Y.; Wu, W.; Han, L.; Wang, S. The role of PD-1/PD-L1 and application of immune-checkpoint inhibitors in human cancers. Front. Immunol. 2022, 13, 964442. [Google Scholar] [CrossRef]
- Molenda, S.; Sikorska, A.; Florczak, A.; Lorenc, P.; Dams-Kozlowska, H. Oligonucleotide-Based Therapeutics for STAT3 Targeting in Cancer-Drug Carriers Matter. Cancers 2023, 15, 5647. [Google Scholar] [CrossRef] [PubMed]
- Wang, T.; Tang, Y.; Tao, Y.; Zhou, H.; Ding, D. Nucleic acid drug and delivery techniques for disease therapy: Present situation and future prospect. Interdiscip. Med. 2024, 2, e20230041. [Google Scholar] [CrossRef]
- Zhang, C.; Zhang, B. RNA therapeutics: Updates and future potential. Sci. China Life Sci. 2023, 66, 12–30. [Google Scholar] [CrossRef]
- Hu, B.; Zhong, L.; Weng, Y.; Peng, L.; Huang, Y.; Zhao, Y.; Liang, X.J. Therapeutic siRNA: State of the art. Signal Transduct. Target. Ther. 2020, 5, 101. [Google Scholar] [CrossRef] [PubMed]
- Tang, Q.; Khvorova, A. RNAi-based drug design: Considerations and future directions. Nat. Rev. Drug Discov. 2024, 23, 341–364. [Google Scholar] [CrossRef] [PubMed]
- Sneller, L.; Lin, C.; Price, A.; Kottilil, S.; Chua, J.V. RNA Interference Therapeutics for Chronic Hepatitis B: Progress, Challenges, and Future Prospects. Microorganisms 2024, 12, 599. [Google Scholar] [CrossRef] [PubMed]
- Li, M.; Zhu, J.; Lv, Z.; Qin, H.; Wang, X.; Shi, H. Recent Advances in RNA-Targeted Cancer Therapy. Chembiochem 2024, 25, e202300633. [Google Scholar] [CrossRef] [PubMed]
- Fire, A.; Xu, S.; Montgomery, M.K.; Kostas, S.A.; Driver, S.E.; Mello, C.C. Potent and specific genetic interference by double-stranded RNA in Caenorhabditis elegans. Nature 1998, 391, 806–811. [Google Scholar] [CrossRef]
- Chiu, Y.L.; Rana, T.M. RNAi in human cells: Basic structural and functional features of small interfering RNA. Mol. Cell 2002, 10, 549–561. [Google Scholar] [CrossRef] [PubMed]
- Kristen, A.V.; Ajroud-Driss, S.; Conceicao, I.; Gorevic, P.; Kyriakides, T.; Obici, L. Patisiran, an RNAi therapeutic for the treatment of hereditary transthyretin-mediated amyloidosis. Neurodegener. Dis. Manag. 2019, 9, 5–23. [Google Scholar] [CrossRef]
- Agarwal, S.; Simon, A.R.; Goel, V.; Habtemariam, B.A.; Clausen, V.A.; Kim, J.B.; Robbie, G.J. Pharmacokinetics and Pharmacodynamics of the Small Interfering Ribonucleic Acid, Givosiran, in Patients With Acute Hepatic Porphyria. Clin. Pharmacol. Ther. 2020, 108, 63–72. [Google Scholar] [CrossRef] [PubMed]
- Garrelfs, S.F.; Frishberg, Y.; Hulton, S.A.; Koren, M.J.; O’Riordan, W.D.; Cochat, P.; Deschenes, G.; Shasha-Lavsky, H.; Saland, J.M.; Van’t Hoff, W.G.; et al. Lumasiran, an RNAi Therapeutic for Primary Hyperoxaluria Type 1. N. Engl. J. Med. 2021, 384, 1216–1226. [Google Scholar] [CrossRef]
- Iqbal, S.; Sabbour, H.M.; Ashraf, T.; Santos, R.D.; Buckley, A. First Report of Inclisiran Utilization for Hypercholesterolemia Treatment in Real-world Clinical Settings in a Middle East Population. Clin. Ther. 2024, 46, 186–193. [Google Scholar] [CrossRef]
- Merkel, M.; Danese, D.; Chen, C.; Wang, J.; Wu, A.; Yang, H.; Lin, H. Indirect treatment comparison (ITC) of the efficacy of vutrisiran and tafamidis for hereditary transthyretin-mediated amyloidosis with polyneuropathy. Expert. Opin. Pharmacother. 2023, 24, 1205–1214. [Google Scholar] [CrossRef] [PubMed]
- Amrite, A.; Fuentes, E.; Marbury, T.C.; Zhang, S. Safety, Pharmacokinetics, and Exposure-Response Modeling of Nedosiran in Participants With Severe Chronic Kidney Disease. Clin. Pharmacol. Drug Dev. 2023, 12, 1164–1177. [Google Scholar] [CrossRef] [PubMed]
- Springer, A.D.; Dowdy, S.F. GalNAc-siRNA Conjugates: Leading the Way for Delivery of RNAi Therapeutics. Nucleic Acid. Ther. 2018, 28, 109–118. [Google Scholar] [CrossRef]
- Jeong, J.H.; Mok, H.; Oh, Y.K.; Park, T.G. siRNA conjugate delivery systems. Bioconjug. Chem. 2009, 20, 5–14. [Google Scholar] [CrossRef]
- Haraszti, R.A.; Miller, R.; Didiot, M.C.; Biscans, A.; Alterman, J.F.; Hassler, M.R.; Roux, L.; Echeverria, D.; Sapp, E.; DiFiglia, M.; et al. Optimized Cholesterol-siRNA Chemistry Improves Productive Loading onto Extracellular Vesicles. Mol. Ther. 2018, 26, 1973–1982. [Google Scholar] [CrossRef] [PubMed]
- Wolfrum, C.; Shi, S.; Jayaprakash, K.N.; Jayaraman, M.; Wang, G.; Pandey, R.K.; Rajeev, K.G.; Nakayama, T.; Charrise, K.; Ndungo, E.M.; et al. Mechanisms and optimization of in vivo delivery of lipophilic siRNAs. Nat. Biotechnol. 2007, 25, 1149–1157. [Google Scholar] [CrossRef]
- Osborn, M.F.; Coles, A.H.; Biscans, A.; Haraszti, R.A.; Roux, L.; Davis, S.; Ly, S.; Echeverria, D.; Hassler, M.R.; Godinho, B.; et al. Hydrophobicity drives the systemic distribution of lipid-conjugated siRNAs via lipid transport pathways. Nucleic Acids Res. 2019, 47, 1070–1081. [Google Scholar] [CrossRef] [PubMed]
- Chernikov, I.V.; Gladkikh, D.V.; Meschaninova, M.I.; Ven’yaminova, A.G.; Zenkova, M.A.; Vlassov, V.V.; Chernolovskaya, E.L. Cholesterol-Containing Nuclease-Resistant siRNA Accumulates in Tumors in a Carrier-free Mode and Silences MDR1 Gene. Mol. Ther. Nucleic Acids 2017, 6, 209–220. [Google Scholar] [CrossRef]
- Kubo, T.; Nishimura, Y.; Sato, Y.; Yanagihara, K.; Seyama, T. Sixteen Different Types of Lipid-Conjugated siRNAs Containing Saturated and Unsaturated Fatty Acids and Exhibiting Enhanced RNAi Potency. ACS Chem. Biol. 2021, 16, 150–164. [Google Scholar] [CrossRef] [PubMed]
- Kubo, T.; Yanagihara, K.; Takei, Y.; Mihara, K.; Morita, Y.; Seyama, T. Palmitic acid-conjugated 21-nucleotide siRNA enhances gene-silencing activity. Mol. Pharm. 2011, 8, 2193–2203. [Google Scholar] [CrossRef]
- Kubo, T.; Yanagihara, K.; Takei, Y.; Mihara, K.; Sato, Y.; Seyama, T. Lipid-conjugated 27-nucleotide double-stranded RNAs with dicer-substrate potency enhance RNAi-mediated gene silencing. Mol. Pharm. 2012, 9, 1374–1383. [Google Scholar] [CrossRef] [PubMed]
- Kubo, T.; Yanagihara, K.; Seyama, T. In Vivo RNAi Efficacy of Palmitic Acid-Conjugated Dicer-Substrate siRNA in a Subcutaneous Tumor Mouse Model. Chem. Biol. Drug Des. 2016, 87, 811–823. [Google Scholar] [CrossRef]
- Kubo, T.; Nishimura, Y.; Hatori, Y.; Akagi, R.; Mihara, K.; Yanagihara, K.; Seyama, T. Antitumor effect of palmitic acid-conjugated DsiRNA for colon cancer in a mouse subcutaneous tumor model. Chem. Biol. Drug Des. 2019, 93, 570–581. [Google Scholar] [CrossRef] [PubMed]
- Kubo, T.; Yanagihara, K.; Nishimura, Y.; Iino, Y.; Komatsu, T.; Tansou, R.; Mihara, K.; Seyama, T. Antitumor Effect of Oleoyl-siRNA against Pancreatic Cancer Using a Portal Vein Infusion Liver-Metastatic Mouse Model. Mol. Pharm. 2024, 21, 5115–5125. [Google Scholar] [CrossRef] [PubMed]
- Yanagihara, K.; Tanaka, H.; Takigahira, M.; Ino, Y.; Yamaguchi, Y.; Toge, T.; Sugano, K.; Hirohashi, S. Establishment of two cell lines from human gastric scirrhous carcinoma that possess the potential to metastasize spontaneously in nude mice. Cancer Sci. 2004, 95, 575–582. [Google Scholar] [CrossRef] [PubMed]
- Yanagihara, K.; Takigahira, M.; Tanaka, H.; Komatsu, T.; Fukumoto, H.; Koizumi, F.; Nishio, K.; Ochiya, T.; Ino, Y.; Hirohashi, S. Development and biological analysis of peritoneal metastasis mouse models for human scirrhous stomach cancer. Cancer Sci. 2005, 96, 323–332. [Google Scholar] [CrossRef]
- Ganesh, S.; Kim, M.J.; Lee, J.; Feng, X.; Ule, K.; Mahan, A.; Krishnan, H.S.; Wang, Z.; Anzahaee, M.Y.; Singhal, G.; et al. RNAi mediated silencing of STAT3/PD-L1 in tumor-associated immune cells induces robust anti-tumor effects in immunotherapy resistant tumors. Mol. Ther. 2024, 32, 1895–1916. [Google Scholar] [CrossRef] [PubMed]







| Conjugate ssRNA | Conjugated Fatty Acid | HPLC Retention Time a (min) | MALDI-TOF MS b Found/Calcd | Yield c (%) |
|---|---|---|---|---|
| ssPDL1 | ---- | 12.9 | 6704.8/6704.1 | ---- d |
| C16-ssPDL1 | Palmitic acid | 33.9 | 7123.9/7121.3 | 80.5 |
| C18-ssPDL1 | Stearic acid | 37.6 | 7150.4/7149.8 | 49.2 |
| Ole-ssPDL1 | Oleic acid | 34.8 | 7147.2/7147.8 | 83.5 |
| Lio-ssPDL1 | Linoleic acid | 32.8 | 7146.7/7145.8 | 62.5 |
Disclaimer/Publisher’s Note: The statements, opinions and data contained in all publications are solely those of the individual author(s) and contributor(s) and not of MDPI and/or the editor(s). MDPI and/or the editor(s) disclaim responsibility for any injury to people or property resulting from any ideas, methods, instructions or products referred to in the content. |
© 2025 by the authors. Licensee MDPI, Basel, Switzerland. This article is an open access article distributed under the terms and conditions of the Creative Commons Attribution (CC BY) license (https://creativecommons.org/licenses/by/4.0/).
Share and Cite
Tansou, R.; Kubo, T.; Nishida, H.; Nishimura, Y.; Mihara, K.; Yanagihara, K.; Seyama, T. Lipid-siRNA Conjugates Targeting High PD-L1 Expression as Potential Novel Immune Checkpoint Inhibitors. Biomolecules 2025, 15, 293. https://doi.org/10.3390/biom15020293
Tansou R, Kubo T, Nishida H, Nishimura Y, Mihara K, Yanagihara K, Seyama T. Lipid-siRNA Conjugates Targeting High PD-L1 Expression as Potential Novel Immune Checkpoint Inhibitors. Biomolecules. 2025; 15(2):293. https://doi.org/10.3390/biom15020293
Chicago/Turabian StyleTansou, Rina, Takanori Kubo, Haruka Nishida, Yoshio Nishimura, Keichiro Mihara, Kazuyoshi Yanagihara, and Toshio Seyama. 2025. "Lipid-siRNA Conjugates Targeting High PD-L1 Expression as Potential Novel Immune Checkpoint Inhibitors" Biomolecules 15, no. 2: 293. https://doi.org/10.3390/biom15020293
APA StyleTansou, R., Kubo, T., Nishida, H., Nishimura, Y., Mihara, K., Yanagihara, K., & Seyama, T. (2025). Lipid-siRNA Conjugates Targeting High PD-L1 Expression as Potential Novel Immune Checkpoint Inhibitors. Biomolecules, 15(2), 293. https://doi.org/10.3390/biom15020293

