Chemical Characterization, Free Radical Scavenging, and Cellular Antioxidant Properties of the Egadi Island Endemic Brassica macrocarpa Guss Leaf Extract
Abstract
1. Introduction
2. Materials and Methods
2.1. Plants Materials
2.2. Extraction of Plant Materials
2.3. Determination of Phytochemicals in Brassica macrocarpa Methanolic Extract by UPLC-MS/MS
2.3.1. Analysis of Glucosinolates
2.3.2. Analysis of Flavonoids
2.4. DPPH Radical Scavenging Activity
2.5. Cell Culture
2.6. Cell Viability Assay
2.7. Nitric Oxide Production
2.8. Total RNA Extraction and cDNA Synthesis and Real-Time PCR Analyses for NOS2 mRNA Expression
2.9. ROS Production
2.10. Statistical Analysis
3. Results
3.1. Chemical Composition of B. macrocarpa Extract
3.2. Antioxidant Activity of B. macrocarpa Methanolic Extract
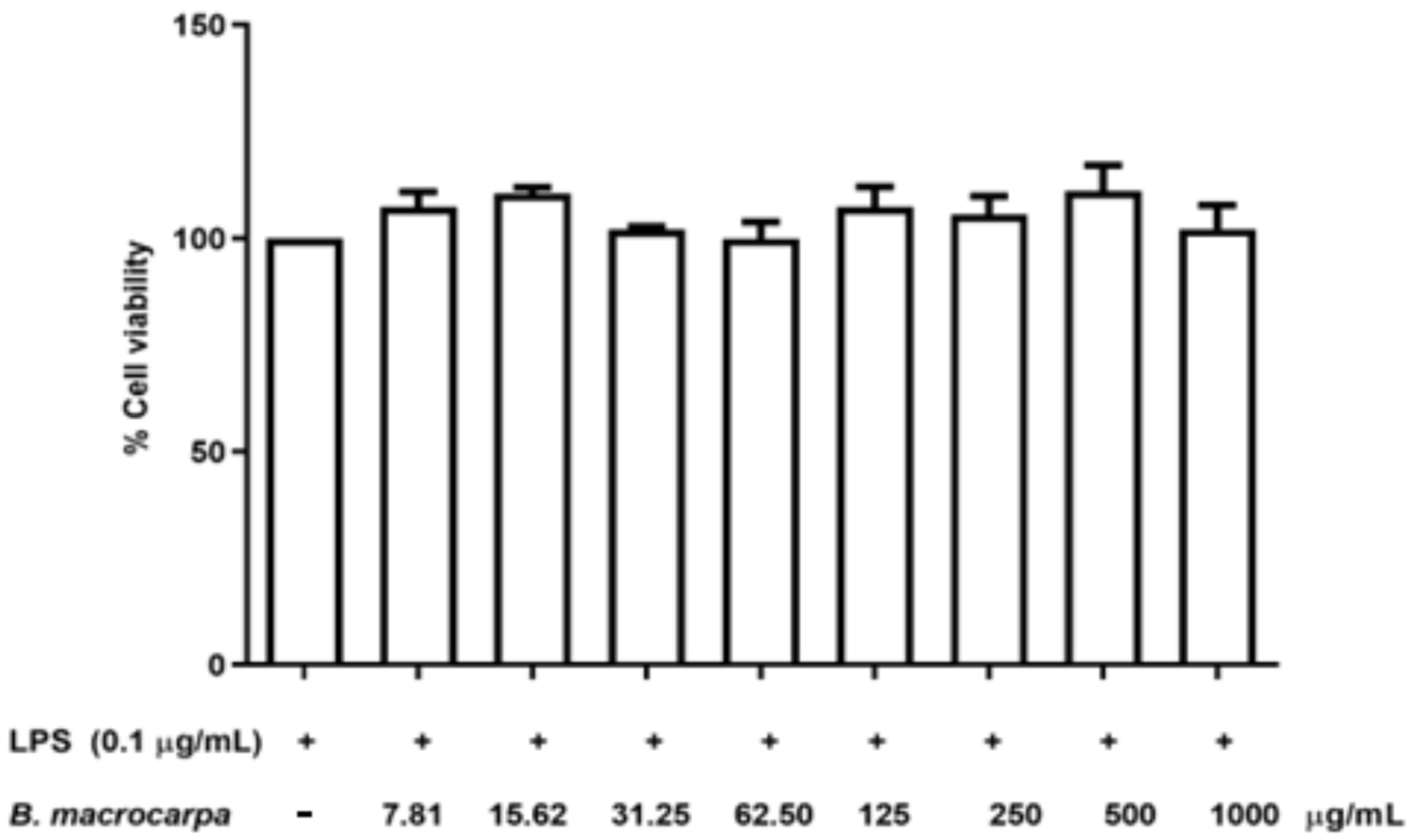
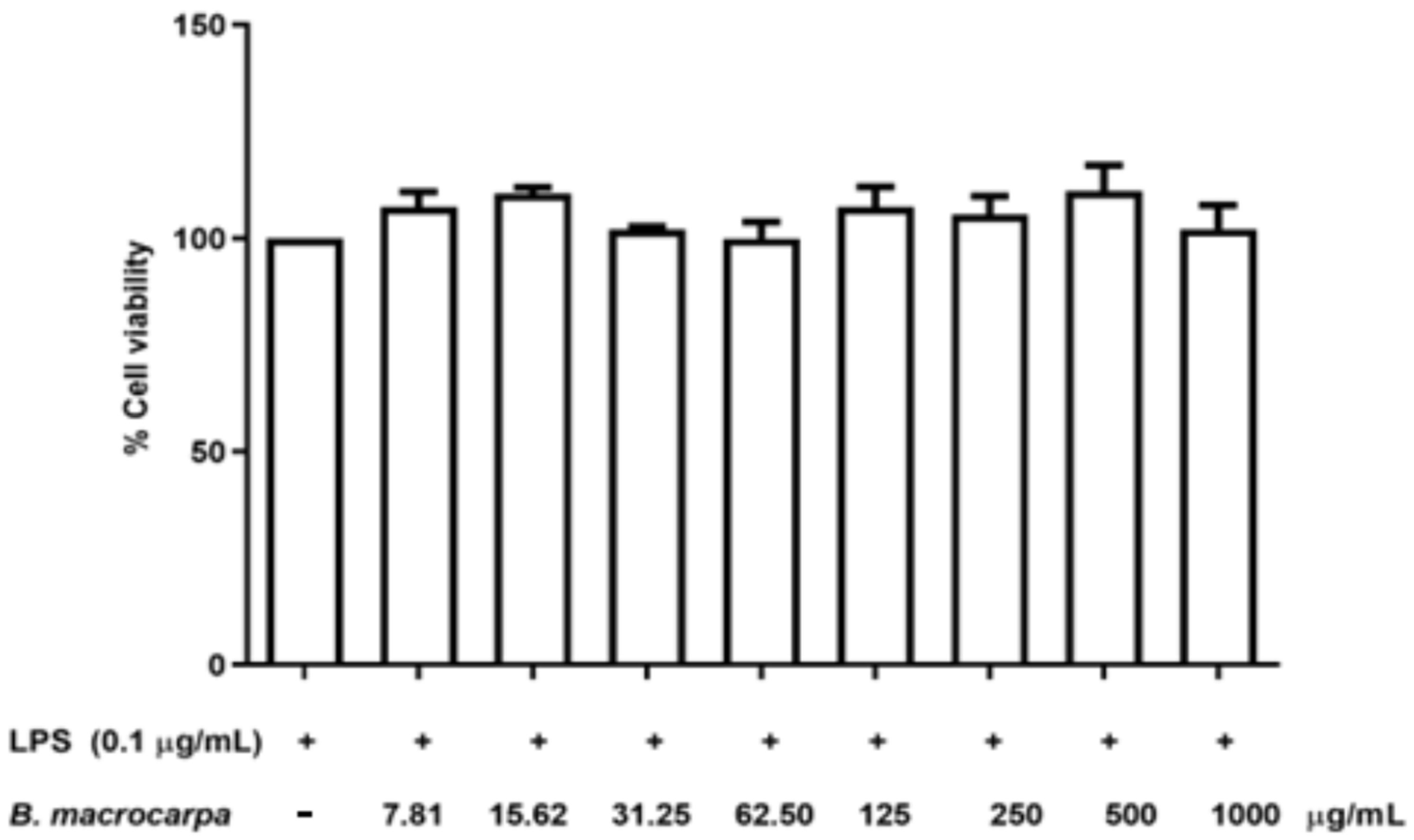
3.3. Cytotoxicity of B. macrocarpa Methanolic Extract
3.4. Effect of the B. macrocarpa Methanolic Extract on Nitric Oxide Production in LPS-Stimulated RAW 264.7 Cells
3.5. Effect of the B. macrocarpa Methanolic Extract on NOS2 mRNA Expression in LPS-Stimulated RAW 264.7 Cells
3.6. Effects of B. macrocarpa Methanolic Extract on ROS Production in RAW 264.7 Cells
4. Discussion
5. Conclusions
Author Contributions
Funding
Institutional Review Board Statement
Informed Consent Statement
Data Availability Statement
Conflicts of Interest
References
- Pistollato, F.; Battino, M. Role of Plant-Based Diets in the Prevention and Regression of Metabolic Syndrome and Neurodegenerative Diseases. Trends Food Sci. Technol. 2014, 40, 62–81. [Google Scholar] [CrossRef]
- Aune, D. Plant Foods, Antioxidant Biomarkers, and the Risk of Cardiovascular Disease, Cancer, and Mortality: A Review of the Evidence. Adv. Nutr. 2019, 10, S404. [Google Scholar] [CrossRef] [PubMed]
- Amir Aslani, B.; Ghobadi, S. Studies on Oxidants and Antioxidants with a Brief Glance at Their Relevance to the Immune System. Life Sci. 2016, 146, 163–173. [Google Scholar] [CrossRef] [PubMed]
- Vona, R.; Pallotta, L.; Cappelletti, M.; Severi, C.; Matarrese, P. The Impact of Oxidative Stress in Human Pathology: Focus on Gastrointestinal Disorders. Antioxidants 2021, 10, 201. [Google Scholar] [CrossRef] [PubMed]
- Sehgal, P.; Colombel, J.F.; Narula, N. Adverse Events during Anti-TNFα Therapies in IBD (Excluding Infections and Malignancies): When to Stop, Continue, or Switch Therapies. Inflamm. Bowel Dis. 2016, 22, 1239–1245. [Google Scholar] [CrossRef]
- Scribano, M.L. Adverse Events of IBD Therapies. Inflamm. Bowel Dis. 2008, 14, S210–S211. [Google Scholar] [CrossRef] [PubMed]
- Recio, M.C.; Andujar, I.; Rios, J.L. Anti-Inflammatory Agents from Plants: Progress and Potential. Curr. Med. Chem. 2012, 19, 2088–2103. [Google Scholar] [CrossRef]
- Triantafillidis, J.K.; Triantafyllidi, A.; Vagianos, C.; Papalois, A. Favorable Results from the Use of Herbal and Plant Products in Inflammatory Bowel Disease: Evidence from Experimental Animal Studies. Ann. Gastroenterol. 2016, 29, 268–281. [Google Scholar] [CrossRef] [PubMed]
- Li, J.; Luo, T.; Wang, D.; Zhao, Y.; Jin, Y.; Yang, G.; Zhang, X. Therapeutic Application and Potential Mechanism of Plant-Derived Extracellular Vesicles in Inflammatory Bowel Disease. J. Adv. Res. 2024. [Google Scholar] [CrossRef]
- Polkinghorne, I.; Hamerli, D.; Cowan, P.; Duckworth, J. Plant-Based Immunocontraceptive Control of Wildlife—”Potentials, Limitations, and Possums”. Vaccine 2005, 23, 1847–1850. [Google Scholar] [CrossRef]
- Tlais, A.Z.A.; Fiorino, G.M.; Polo, A.; Filannino, P.; Cagno, R. Di High-Value Compounds in Fruit, Vegetable and Cereal Byproducts: An Overview of Potential Sustainable Reuse and Exploitation. Molecules 2020, 25, 2987. [Google Scholar] [CrossRef] [PubMed]
- Kamal, R.M.; Razis, A.F.A.; Sukri, N.S.M.; Perimal, E.K.; Ahmad, H.; Patrick, R.; Djedaini-Pilard, F.; Mazzon, E.; Rigaud, S. Beneficial Health Effects of Glucosinolates-Derived Isothiocyanates on Cardiovascular and Neurodegenerative Diseases. Molecules 2022, 27, 624. [Google Scholar] [CrossRef] [PubMed]
- Al-Bakheit, A.; Abu-Qatouseh, L. Sulforaphane from Broccoli Attenuates Inflammatory Hepcidin by Reducing IL-6 Secretion in Human HepG2 Cells. J. Funct. Foods 2020, 75, 104210. [Google Scholar] [CrossRef]
- Mandrich, L.; Caputo, E. Brassicaceae-Derived Anticancer Agents: Towards a Green Approach to Beat Cancer. Nutrients 2020, 12, 868. [Google Scholar] [CrossRef] [PubMed]
- Avato, P.; Argentieri, M.P. Brassicaceae: A Rich Source of Health Improving Phytochemicals. Phytochem. Rev. 2015, 6, 1019–1033. [Google Scholar] [CrossRef]
- Kataya, H.A.H.; Hamza, A.E.A. Red Cabbage (Brassica Oleracea) Ameliorates Diabetic Nephropathy in Rats. Evid.-Based Complement. Altern. Med. 2008, 5, 281–287. [Google Scholar] [CrossRef]
- Davì, F.; Taviano, M.F.; Acquaviva, R.; Malfa, G.A.; Cavò, E.; Arena, P.; Ragusa, S.; Cacciola, F.; El Majdoub, Y.O.; Mondello, L.; et al. Chemical Profile, Antioxidant and Cytotoxic Activity of a Phenolic-Rich Fraction from the Leaves of Brassica Fruticulosa Subsp. Fruticulosa (Brassicaceae) Growing Wild in Sicily (Italy). Molecules 2023, 28, 2281. [Google Scholar] [CrossRef] [PubMed]
- Pieroni, A.; Morini, G.; Piochi, M.; Sulaiman, N.; Kalle, R.; Haq, S.M.; Devecchi, A.; Franceschini, C.; Zocchi, D.M.; Migliavada, R.; et al. Bitter Is Better: Wild Greens Used in the Blue Zone of Ikaria, Greece. Nutrients 2023, 15, 3242. [Google Scholar] [CrossRef] [PubMed]
- Lacirignola, C.; Capone, R.; Debs, P.; El Bilali, H.; Bottalico, F. Natural Resources—Food Nexus: Food-Related Environmental Footprints in the Mediterranean Countries. Front. Nutr. 2014, 1, 98205. [Google Scholar] [CrossRef]
- Aurelle, D.; Thomas, S.; Albert, C.; Bally, M.; Bondeau, A.; Boudouresque, C.F.; Cahill, A.E.; Carlotti, F.; Chenuil, A.; Cramer, W.; et al. Biodiversity, Climate Change, and Adaptation in the Mediterranean. Ecosphere 2022, 13, e3915. [Google Scholar] [CrossRef]
- Licata, M.; Tuttolomondo, T.; Leto, C.; Virga, G.; Bonsangue, G.; Cammalleri, I.; Gennaro, M.C.; La Bella, S. A Survey of Wild Plant Species for Food Use in Sicily (Italy)—Results of a 3-Year Study in Four Regional Parks. J. Ethnobiol. Ethnomed. 2016, 12, 12. [Google Scholar] [CrossRef]
- Berni, R.; Cantini, C.; Romi, M.; Hausman, J.F.; Guerriero, G.; Cai, G. Agrobiotechnology Goes Wild: Ancient Local Varieties as Sources of Bioactives. Int. J. Mol. Sci. 2018, 19, 2248. [Google Scholar] [CrossRef] [PubMed]
- Euro+Med PlantBase Home. Available online: https://www.emplantbase.org/home.html (accessed on 27 March 2024).
- Miceli, N.; Cavò, E.; Ragusa, M.; Cacciola, F.; Mondello, L.; Dugo, L.; Acquaviva, R.; Malfa, G.A.; Marino, A.; D’Arrigo, M.; et al. Brassica Incana Ten. (Brassicaceae): Phenolic Constituents, Antioxidant and Cytotoxic Properties of the Leaf and Flowering Top Extracts. Molecules 2020, 25, 1461. [Google Scholar] [CrossRef]
- Cavò, E.; Taviano, M.F.; Davì, F.; Cacciola, F.; El Majdoub, Y.O.; Mondello, L.; Ragusa, M.; Condurso, C.; Merlino, M.; Verzera, A.; et al. Phenolic and Volatile Composition and Antioxidant Properties of the Leaf Extract of Brassica Fruticulosa Subsp. Fruticulosa (Brassicaceae) Growing Wild in Sicily (Italy). Molecules 2022, 27, 2768. [Google Scholar] [CrossRef] [PubMed]
- Malfa, G.A.; Pappalardo, F.; Miceli, N.; Taviano, M.F.; Ronsisvalle, S.; Tomasello, B.; Bianchi, S.; Davì, F.; Spadaro, V.; Acquaviva, R. Chemical, Antioxidant and Biological Studies of Brassica Incana Subsp. Raimondoi (Brassicaceae) Leaf Extract. Molecules 2023, 28, 1254. [Google Scholar] [CrossRef]
- Malfa, G.A.; De Leo, M.; Tundis, R.; Braca, A.; Loizzo, M.R.; Di Giacomo, C.; Raimondo, F.M.; Bucchini, A.E.A.; Acquaviva, R. Biological Investigation and Chemical Study of Brassica Villosa Subsp. Drepanensis (Brassicaeae) Leaves. Molecules 2022, 27, 8447. [Google Scholar] [CrossRef]
- Raimondo, F.; Mazzola, P.; Ottonello, D. On the Taxonomy and Distribution of Brassica Sect. Brassica (Cruciferae) in Sicily. Flora Mediterr. 1991, 1, 63–86. [Google Scholar]
- Facchin, B.M.; dos Reis, G.O.; Vieira, G.N.; Mohr, E.T.B.; da Rosa, J.S.; Kretzer, I.F.; Demarchi, I.G.; Dalmarco, E.M. Inflammatory Biomarkers on an LPS-Induced RAW 264.7 Cell Model: A Systematic Review and Meta-Analysis. Inflamm. Res. 2022, 71, 741–758. [Google Scholar] [CrossRef] [PubMed]
- Fabre, N.; Poinsot, V.; Debrauwer, L.; Vigor, C.; Tulliez, J.; Fourasté, I.; Moulis, C. Characterisation of Glucosinolates Using Electrospray Ion Trap and Electrospray Quadrupole Time-of-Flight Mass Spectrometry. Phytochem. Anal. 2007, 18, 306–319. [Google Scholar] [CrossRef] [PubMed]
- Picchi, V.; Lo Scalzo, R.; Tava, A.; Doria, F.; Argento, S.; Toscano, S.; Treccarichi, S.; Branca, F. Phytochemical Characterization and In Vitro Antioxidant Properties of Four Brassica Wild Species from Italy. Molecules 2020, 25, 3495. [Google Scholar] [CrossRef]
- Terracina, F.; Saletti, M.; Paolino, M.; Venditti, J.; Giuliani, G.; Bonechi, C.; Licciardi, M.; Cappelli, A. Cross-Linked Hyaluronan Derivatives in the Delivery of Phycocyanin. Gels 2024, 10, 91. [Google Scholar] [CrossRef] [PubMed]
- Bialecki, J.B.; Ruzicka, J.; Weisbecker, C.S.; Haribal, M.; Attygalle, A.B. Collision-Induced Dissociation Mass Spectra of Glucosinolate Anions. J. Mass Spectrom. 2010, 45, 272–283. [Google Scholar] [CrossRef]
- Cicio, A.; Serio, R.; Zizzo, M.G. Anti-Inflammatory Potential of Brassicaceae-Derived Phytochemicals: In Vitro and In Vivo Evidence for a Putative Role in the Prevention and Treatment of IBD. Nutrients 2023, 15, 31. [Google Scholar] [CrossRef]
- Aguinagalde, I.; Gomez-Campo, C.; Sanchez-Yelamo, M.D. A Chemosystematic Survey on Wild Relatives of Brassica oleracea L. Bot. J. Linn. Soc. 1992, 109, 57–67. [Google Scholar] [CrossRef]
- Branca, F.; Ragusa, L.; Tribulato, A.; Bagatta, M.; Lo Scalzo, R.; Picchi, V. Evaluation of Sicilian Wild Brassica Species (N = 9) for Glucosinolate Profile and Antioxidant Compounds. Acta Hortic. 2013, 1005, 181–188. [Google Scholar] [CrossRef]
- Slámová, K.; Kapešová, J.; Valentová, K. ‘Sweet Flavonoids’: Glycosidase-Catalyzed Modifications. Int. J. Mol. Sci. 2018, 19, 2126. [Google Scholar] [CrossRef]
- Argento, S.; Melilli, M.G.; Branca, F. Enhancing Greenhouse Tomato-Crop Productivity by Using Brassica macrocarpa Guss. Leaves for Controlling Root-Knot Nematodes. Agronomy 2019, 9, 820. [Google Scholar] [CrossRef]
- Mazumder, A.; Dwivedi, A.; Plessis, J. Du Sinigrin and Its Therapeutic Benefits. Molecules 2016, 21, 416. [Google Scholar] [CrossRef]
- Lee, H.; Lee, C.; Kim, J.; Pyo, S. The Inhibitory Effect of Sinigrin on the Production of Inflammatory Mediators Induced by Lipopolysaccharide in RAW 264.7 Macrophages. FASEB J. 2014, 28, 1056.5. [Google Scholar] [CrossRef]
- Lee, H.W.; Lee, C.G.; Rhee, D.K.; Um, S.H.; Pyo, S. Sinigrin Inhibits Production of Inflammatory Mediators by Suppressing NF-ΚB/MAPK Pathways or NLRP3 Inflammasome Activation in Macrophages. Int. Immunopharmacol. 2017, 45, 163–173. [Google Scholar] [CrossRef]
- Ippoushi, K.; Takeuchi, A.; Azuma, K. Sinigrin Suppresses Nitric Oxide Production in Rats Administered Intraperitoneally with Lipopolysaccharide. Food Chem. 2010, 120, 1119–1121. [Google Scholar] [CrossRef]
- Fusari, C.M.; Nazareno, M.A.; Locatelli, D.A.; Fontana, A.; Beretta, V.; Camargo, A.B. Phytochemical Profile and Functionality of Brassicaceae Species. Food Biosci. 2020, 36, 100606. [Google Scholar] [CrossRef]
- Khalil, N.; Gad, H.A.; Al Musayeib, N.M.; Bishr, M.; Ashour, M.L. Correlation of Glucosinolates and Volatile Constituents of Six Brassicaceae Seeds with Their Antioxidant Activities Based on Partial Least Squares Regression. Plants 2022, 11, 1116. [Google Scholar] [CrossRef] [PubMed]
- Choi, H.; Kim, H.; Han, S.; Park, H.W.; Ha, I.J.; Kim, J.S.; Lee, S.G. Antioxidant and Anti-Inflammatory Activities of High-Glucosinolate-Synthesis Lines of Brassica Rapa. Antioxidants 2023, 12, 1693. [Google Scholar] [CrossRef] [PubMed]
- Yan, S.; Wei, J.; Chen, R. Evaluation of the Biological Activity of Glucosinolates and Their Enzymolysis Products Obtained from Lepidium Meyenii Walp. (Maca). Int. J. Mol. Sci. 2022, 23, 14756. [Google Scholar] [CrossRef] [PubMed]
- Lanďer, H.M.; Mllbank, A.J.; Tauras, J.M.; Hajjar, D.P.; Hempstead, B.L.; Schwartz, G.D.; Kraemer, R.T.; Mirza, U.A.; Chait, B.T.; Burk, S.C.; et al. Redox Regulation of Cell Signalling. Nature 1996, 381, 380–381. [Google Scholar] [CrossRef] [PubMed]
- Dickson, K.B.; Zhou, J. Role of Reactive Oxygen Species and Iron in Host Defense against Infection. Front. Biosci.-Landmark 2020, 25, 1600–1616. [Google Scholar] [CrossRef]
- Jomova, K.; Raptova, R.; Alomar, S.Y.; Alwasel, S.H.; Nepovimova, E.; Kuca, K.; Valko, M. Reactive Oxygen Species, Toxicity, Oxidative Stress, and Antioxidants: Chronic Diseases and Aging. Arch. Toxicol. 2023, 97, 2499–2574. [Google Scholar] [CrossRef] [PubMed]
- Udenigwe, C.C.; Lu, Y.L.; Han, C.H.; Hou, W.C.; Aluko, R.E. Flaxseed Protein-Derived Peptide Fractions: Antioxidant Properties and Inhibition of Lipopolysaccharide-Induced Nitric Oxide Production in Murine Macrophages. Food Chem. 2009, 116, 277–284. [Google Scholar] [CrossRef]
- Sheu, F.; Lai, H.H.; Yen, G.C. Suppression Effect of Soy Isoflavones on Nitric Oxide Production in RAW 264.7 Macrophages. J. Agric. Food Chem. 2001, 49, 1767–1772. [Google Scholar] [CrossRef]
- Valko, M.; Leibfritz, D.; Moncol, J.; Cronin, M.T.D.; Mazur, M.; Telser, J. Free Radicals and Antioxidants in Normal Physiological Functions and Human Disease. Int. J. Biochem. Cell Biol. 2007, 39, 44–84. [Google Scholar] [CrossRef] [PubMed]
- Morris, C.R.; Harvey, I.M.; Stebbings, W.S.L.; Speakman, C.T.M.; Kennedy, H.J.; Hart, A.R. Do Calcium Channel Blockers and Antimuscarinics Protect against Perforated Colonic Diverticular Disease? A Case Control Study. Gut 2003, 52, 1734–1737. [Google Scholar] [CrossRef] [PubMed]
- Klran, T.R.; Otlu, O.; Karabulut, A.B. Oxidative Stress and Antioxidants in Health and Disease. J. Lab. Med. 2023, 47, 1–11. [Google Scholar] [CrossRef]
- Muralidharan, S.; Mandrekar, P. Cellular Stress Response and Innate Immune Signaling: Integrating Pathways in Host Defense and Inflammation. J. Leukoc. Biol. 2013, 94, 1167–1184. [Google Scholar] [CrossRef]
- Rigoglou, S.; Papavassiliou, A.G. The NF-ΚB Signalling Pathway in Osteoarthritis. Int. J. Biochem. Cell Biol. 2013, 45, 2580–2584. [Google Scholar] [CrossRef] [PubMed]
- Kaminska, B. MAPK Signalling Pathways as Molecular Targets for Anti-Inflammatory Therapy—From Molecular Mechanisms to Therapeutic Benefits. Biochim. Biophys. Acta 2005, 1754, 253–262. [Google Scholar] [CrossRef] [PubMed]
- McDaniel, M.L.; Kwon, G.; Hill, J.R.; Marshall, C.A.; Corbett, J.A. Cytokines and Nitric Oxide in Islet Inflammation and Diabetes. Proc. Soc. Exp. Biol. Med. 1996, 211, 24–32. [Google Scholar] [CrossRef] [PubMed]
- Cunha, T.M.; Verri, W.A.; Schivo, I.R.; Napimoga, M.H.; Parada, C.A.; Poole, S.; Teixeira, M.M.; Ferreira, S.H.; Cunha, F.Q. Crucial Role of Neutrophils in the Development of Mechanical Inflammatory Hypernociception. J. Leukoc. Biol. 2008, 83, 824–832. [Google Scholar] [CrossRef]
- Zhang, L.; Wang, C.C. Inflammatory Response of Macrophages in Infection. Hepatobiliary Pancreat. Dis. Int. 2014, 13, 138–152. [Google Scholar] [CrossRef]









| Compound | [M − H]− m/z | Fragment Ion | Dwell Time | Cone | Collision Energy |
|---|---|---|---|---|---|
| sinigrin | 358.0957 | 96.8426 | 0.050 | 36 | 16 |
| gluconapin | 372.0432 | 96.755 | 0.050 | 46 | 25 |
| glucoibeverin | 406.0306 | 69.8426 | 0.050 | 40 | 20 |
| glucotropaeonin | 408.0853 | 96.9037 | 0.050 | 38 | 16 |
| glucoerucin | 420.0853 | 96.9033 | 0.050 | 44 | 16 |
| gluconasturtiin/iberin | 422.0853 | 96.7476 | 0.050 | 46 | 22 |
| glucoraphanin | 436.0411 | 96.755 | 0.050 | 48 | 22 |
| glucobrassicin | 447.0865 | 96.7555 | 0.050 | 46 | 22 |
| glucoalyssin | 450.0555 | 96.755 | 0.050 | 48 | 22 |
| Compound | [M − H]− m/z | Fragment Ion | Dwell Time | Cone | Collision Energy |
|---|---|---|---|---|---|
| kaempferol-3-O-glucoside | 447.092 | 285 | 0.050 | 20 | 20 |
| quercetin-3-O-glucoside | 463.087 | 301 | 0.050 | 22 | 20 |
| kaempferol-7-O-glucoside | 447.092 | 285 | 0.050 | 20 | 20 |
| isorhamnetin-3-O-glucoside | 477.1072 | 299 | 0.050 | 35 | 25 |
| rutin | 609.1520 | 301 | 0.050 | 18 | 16 |
| Sinapic acid | 223.063 | 208 | 0.050 | 10 | 20 |
| Gene | Primer Forward | Primer Reverse |
|---|---|---|
| GAPDH | 5′-GGCCTTCCGTGTTCCTAC-3′ | 5′-TGTCATCATATCTGGCAGGTT-3′ |
| NOS2 | 5′-CAGGAGGAGAGAGATCCGATTTA-3′ | 5′-GCATTAGCATGGAAGCAAAGA-3′ |
| Glucosinolates | [M − H]− |
|---|---|
| Sinigrin * | 358.0957 |
| Gluconapin * | 372.0432 |
| Glucoibeverin * | 406.0306 |
| Glucotropaeonin * | 408.0853 |
| Glucoerucin * | 420.0853 |
| Gluconasturtiin */Iberin | 422.0853 |
| Glucoraphanin * | 436.0411 |
| Glucobrassicin * | 447.0865 |
| Glucoalyssin * | 450.0555 |
| Phenolics and flavonoids | [M − H]− and fragments |
| Quercetin-3-O-hexoside-7-O-hexoside | 625.13, 301.1 |
| Quercetin-3-O-hexoside-7-O-hexoside | 625.13, 301.2 |
| Quercetin-3-O-hexoside-7-O-hexoside | 625.13, 301.2 |
| Quercetin-3-O-dihexoside-7-O-hexoside | 787.13, 601.0, 301.1 |
| Quercetin-3-O-dihexoside-7-O-hexoside | 787.13, 601.1, 447.1, 301.2 |
| Quercetin-3-O-trihexoside-7-O-hexoside | 949.23, 447.2, 301.1 |
| Quercetin-3-O-trihexoside-7-O-hexoside | 949.23, 447.1, 301.1 |
| Kaempferol-3-O-glucoside * | 447.2, 285.2 |
| Kaempferol-3-O-dihexoside-7-O-hexoside | 771.2, 285.1 |
| Kaempferol-3-O-dihexoside-7-O-hexoside | 771.2, 285.1 |
| Kaempferol-3-O-trihexoside-7-O-hexoside | 933.25, 285.1 |
| Kaempferol-3-O-trihexoside-7-O-hexoside | 933.25, 285.1 |
| Isorhamnetin-dihexoside | 639.15, 299.1 |
| Rutin * | 609.14, 301.1 |
| Quercetin-3-O-glucoside * | 463.09, 301.1 |
| Kaempferol-7-O-glucoside * | 447.09, 315.1 |
| Isorhamnetin-3-O-glucoside * | 477.11, 315.1 |
| Sinapic acid * | 223.06 |
| Sinapic acid hexoside | 385.11, 223.1 |
| Sinapic acid hexoside | 385.11, 223.1 |
| Sinapic acid hexoside | 385.11, 223.2 |
| Disinapoyl-gentiobioside | 753.2, 529.1 |
| Disinapoyl-gentiobioside | 753.2, 529.1 |
| Sinapoyl-feruloyldiglucoside | 723.21, 223.1 |
| Trisinapoyl-diglucoside | 959.28, 223.1 |
| Disinapoyl-feruloyldiflucoside | 929.27 |
| Glucosinolates | mg/g Dried Weight |
|---|---|
| Sinigrin * | 92.80 |
| Gluconapin * | 17.26 |
| Glucoibeverin * | 0.06 |
| Glucotropaeonin * | 0.17 |
| Glucoerucin * | 0.06 |
| Gluconasturtiin */Iberin | 0.05 |
| Glucoraphanin * | 0.03 |
| Phenolics and flavonoids | mg/g |
| Quercetin-3-O-hexoside-7-O-hexoside | 15.30 |
| Quercetin-3-O-hexoside-7-O-hexoside | 15.65 |
| Quercetin-3-O-hexoside-7-O-hexoside | 18.46 |
| Quercetin-3-O-dihexoside-7-O-hexoside | 30.65 |
| Quercetin-3-O-dihexoside-7-O-hexoside | 5.52 |
| Quercetin-3-O-trihexoside-7-O-hexoside | 19.05 |
| Quercetin-3-O-trihexoside-7-O-hexoside | 7.30 |
| Kaempferol-3-O-glucoside * | 0.36 |
| Kaempferol-3-O-dihexoside-7-O-hexoside | 29.22 |
| Kaempferol-3-O-dihexoside-7-O-hexoside | 8.39 |
| Kaempferol-3-O-trihexoside-7-O-hexoside | 18.12 |
| Kaempferol-3-O-trihexoside-7-O-hexoside | 8.11 |
| Isorhamnetin-dihexoside | 16.57 |
| Rutin * | 12.83 |
| Quercetin-3-O-glucoside * | 4.59 |
| Kaempferol-7-O-glucoside * | 3.83 |
| Isorhamnetin-3-O-glucoside * | 3.34 |
| Sinapic acid * | 2.34 |
| Sinapic acid hexoside | 2.97 |
| Sinapic acid hexoside | 40.82 |
| Sinapic acid hexoside | 6.82 |
| Disinapoyl-gentiobioside | 2.02 |
| Disinapoyl-gentiobioside | 1.75 |
| Sinapoyl-feruloyldiglucoside | 7.02 |
| Trisinapoyl-diglucoside | 13.28 |
| Disinapoyl-feruloyldiflucoside | 2.11 |
Disclaimer/Publisher’s Note: The statements, opinions and data contained in all publications are solely those of the individual author(s) and contributor(s) and not of MDPI and/or the editor(s). MDPI and/or the editor(s) disclaim responsibility for any injury to people or property resulting from any ideas, methods, instructions or products referred to in the content. |
© 2024 by the authors. Licensee MDPI, Basel, Switzerland. This article is an open access article distributed under the terms and conditions of the Creative Commons Attribution (CC BY) license (https://creativecommons.org/licenses/by/4.0/).
Share and Cite
Cicio, A.; Aloi, N.; Sut, S.; Longo, V.; Terracina, F.; Dall’Acqua, S.; Zizzo, M.G.; Bruno, M.; Ilardi, V.; Colombo, P.; et al. Chemical Characterization, Free Radical Scavenging, and Cellular Antioxidant Properties of the Egadi Island Endemic Brassica macrocarpa Guss Leaf Extract. Biomolecules 2024, 14, 636. https://doi.org/10.3390/biom14060636
Cicio A, Aloi N, Sut S, Longo V, Terracina F, Dall’Acqua S, Zizzo MG, Bruno M, Ilardi V, Colombo P, et al. Chemical Characterization, Free Radical Scavenging, and Cellular Antioxidant Properties of the Egadi Island Endemic Brassica macrocarpa Guss Leaf Extract. Biomolecules. 2024; 14(6):636. https://doi.org/10.3390/biom14060636
Chicago/Turabian StyleCicio, Adele, Noemi Aloi, Stefania Sut, Valeria Longo, Francesca Terracina, Stefano Dall’Acqua, Maria Grazia Zizzo, Maurizio Bruno, Vincenzo Ilardi, Paolo Colombo, and et al. 2024. "Chemical Characterization, Free Radical Scavenging, and Cellular Antioxidant Properties of the Egadi Island Endemic Brassica macrocarpa Guss Leaf Extract" Biomolecules 14, no. 6: 636. https://doi.org/10.3390/biom14060636
APA StyleCicio, A., Aloi, N., Sut, S., Longo, V., Terracina, F., Dall’Acqua, S., Zizzo, M. G., Bruno, M., Ilardi, V., Colombo, P., Luparello, C., & Serio, R. (2024). Chemical Characterization, Free Radical Scavenging, and Cellular Antioxidant Properties of the Egadi Island Endemic Brassica macrocarpa Guss Leaf Extract. Biomolecules, 14(6), 636. https://doi.org/10.3390/biom14060636

