Unlocking Potential: Low Bovine Serum Albumin Enhances the Chondrogenicity of Human Adipose-Derived Stromal Cells in Pellet Cultures
Abstract
1. Introduction
2. Materials and Methods
2.1. Cells and Media
2.2. Pellet Formation
2.3. Pellet Size Measurement
2.4. (Immuno-)histochemistry
2.5. Biochemical Assays
2.6. mRNA Isolation and qRT-PCR
2.7. Statistical Analysis
3. Results
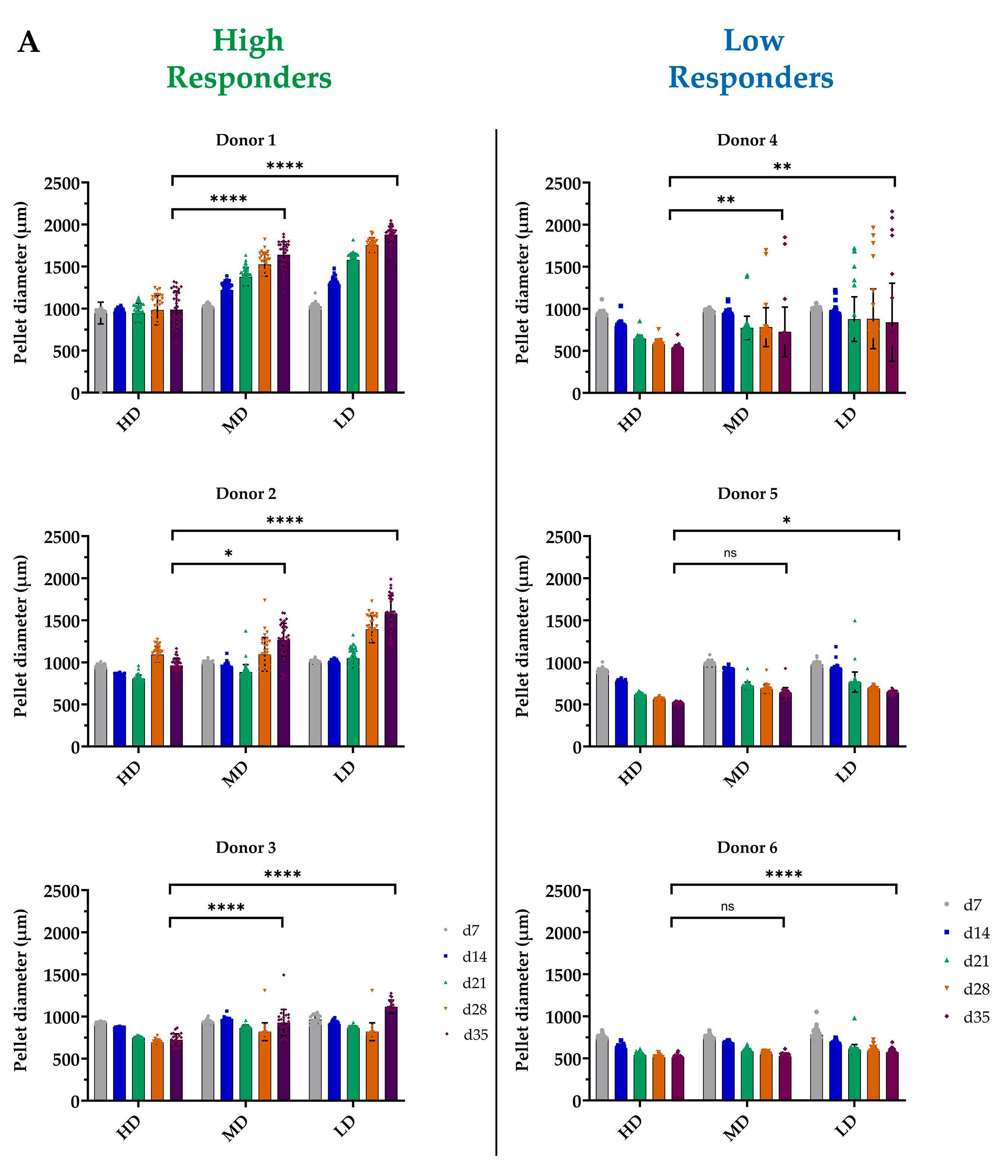
3.1. BSA Influences hASC Pellet Size in a Concentration- and Donor-Dependent Manner
3.2. BSA Modulates Matrix Formation in a Concentration- and Donor-Dependent Manner
3.3. Reduced Concentration of BSA Supports Osteogenic Differentiation
3.4. Glycosaminoglycan Content Correlates with Histology and Is BSA- and Donor-Dependent
3.5. Gene Expression of Matrix Marker Does Not Show the BSA-Dependency Found at the Protein Level
4. Discussion
5. Conclusions
Supplementary Materials
Author Contributions
Funding
Institutional Review Board Statement
Informed Consent Statement
Data Availability Statement
Acknowledgments
Conflicts of Interest
References
- Boldt, J. Use of Albumin: An Update. Br. J. Anaesth. 2010, 104, 276–284. [Google Scholar] [CrossRef]
- Evans, T.W. Review Article: Albumin as a Drug—Biological Effects of Albumin Unrelated to Oncotic Pressure. Aliment. Pharmacol. Ther. Suppl. 2002, 16, 6–11. [Google Scholar] [CrossRef] [PubMed]
- Garcia-Martinez, R.; Andreola, F.; Mehta, G.; Poulton, K.; Oria, M.; Jover, M.; Soeda, J.; MacNaughtan, J.; De Chiara, F.; Habtesion, A.; et al. Immunomodulatory and Antioxidant Function of Albumin Stabilises the Endothelium and Improves Survival in a Rodent Model of Chronic Liver Failure. J. Hepatol. 2015, 62, 799–806. [Google Scholar] [CrossRef] [PubMed]
- Rossing, N. Intra- and Extravascular Distribution of Albumin and Immunoglobulin in Man. Lymphology 1978, 11, 138–142. [Google Scholar]
- Quinlan, G.J.; Martin, G.S.; Evans, T.W. Albumin: Biochemical Properties and Therapeutic Potential. Hepatology 2005, 41, 1211–1219. [Google Scholar] [CrossRef] [PubMed]
- Ng, E.S.; Davis, R.; Stanley, E.G.; Elefanty, A.G. A Protocol Describing the Use of a Recombinant Protein-Based, Animal Product-Free Medium (APEL) for Human Embryonic Stem Cell Differentiation as Spin Embryoid Bodies. Nat. Protoc. 2008, 3, 768–776. [Google Scholar] [CrossRef] [PubMed]
- Neumann, E.; Frei, E.; Funk, D.; Becker, M.D.; Schrenk, H.H.; Mller-Ladner, U.; Fiehn, C. Native Albumin for Targeted Drug Delivery. Expert. Opin. Drug Deliv. 2010, 7, 915–925. [Google Scholar] [CrossRef] [PubMed]
- Sun, L.; Yin, H.; Liu, M.; Xu, G.; Zhou, X.; Ge, P.; Yang, H.; Mao, Y. Impaired Albumin Function: A Novel Potential Indicator for Liver Function Damage? Ann. Med. 2019, 51, 333–344. [Google Scholar] [CrossRef] [PubMed]
- Gutteridge, J.M.C. Antioxidant Properties of the Proteins Caeruloplasmin, Albumin and Transferrin. A Study of Their Activity in Serum and Synovial Fluid from Patients with Rheumatoid Arthritis. Biochim. Biophys. Acta (BBA)-Protein Struct. Mol. Enzymol. 1986, 869, 119–127. [Google Scholar] [CrossRef]
- Caironi, P.; Gattinoni, L. The Clinical Use of Albumin: The Point of View of a Specialist in Intensive Care. Blood Transfus. 2009, 7, 259–267. [Google Scholar] [CrossRef]
- Bar-Or, D.; Thomas, G.W.; Bar-Or, R.; Rael, L.T.; Scarborough, K.; Rao, N.; Shimonkevitz, R. Commercial Human Albumin Preparations for Clinical Use Are Immunosuppressive in Vitro. Crit. Care Med. 2006, 34, 1707–1712. [Google Scholar] [CrossRef] [PubMed]
- De Castro, M.; Orive, G.; Gascón, A.R.; Hernandez, R.M.; Pedraz, J.L. Evaluation of Human Serum Albumin as a Substitute of Foetal Bovine Serum for Cell Culture. Int. J. Pharm. 2006, 310, 8–14. [Google Scholar] [CrossRef] [PubMed]
- Puck, T.T.; Cieciura, S.J.; Robinson, A. Genetics of Somatic Mammalian Cells. III. Long-Term Cultivation of Euploid Cells from Human and Animal Subjects. J. Exp. Med. 1958, 108, 945–956. [Google Scholar] [CrossRef]
- Subbiahanadar Chelladurai, K.; Selvan Christyraj, J.D.; Rajagopalan, K.; Yesudhason, B.V.; Venkatachalam, S.; Mohan, M.; Chellathurai Vasantha, N.; Selvan Christyraj, J.R.S. Alternative to FBS in Animal Cell Culture—An Overview and Future Perspective. Heliyon 2021, 7, e07686. [Google Scholar] [CrossRef] [PubMed]
- Lindroos, B.; Boucher, S.; Chase, L.; Kuokkanen, H.; Huhtala, H.; Haataja, R.; Vemuri, M.; Suuronen, R.; Miettinen, S. Serum-Free, Xeno-Free Culture Media Maintain the Proliferation Rate and Multipotentiality of Adipose Stem Cells in Vitro. Cytotherapy 2009, 11, 958–972. [Google Scholar] [CrossRef] [PubMed]
- Chase, L.G.; Yang, S.; Zachar, V.; Yang, Z.; Lakshmipathy, U.; Bradford, J.; Boucher, S.E.; Vemuri, M.C. Development and Characterization of a Clinically Compliant Xeno-Free Culture Medium in Good Manufacturing Practice for Human Multipotent Mesenchymal Stem Cells. Stem Cells Transl. Med. 2012, 1, 750–758. [Google Scholar] [CrossRef] [PubMed]
- Escobedo-Lucea, C.; Bellver, C.; Gandia, C.; Sanz-Garcia, A.; Esteban, F.J.; Mirabet, V.; Forte, G.; Moreno, I.; Lezameta, M.; Ayuso-Sacido, A.; et al. A Xenogeneic-Free Protocol for Isolation and Expansion of Human Adipose Stem Cells for Clinical Uses. PLoS ONE 2013, 8, e67870. [Google Scholar] [CrossRef] [PubMed]
- Johal, K.S.; Lees, V.C.; Reid, A.J. Adipose-Derived Stem Cells: Selecting for Translational Success. Regen. Med. 2015, 10, 79–96. [Google Scholar] [CrossRef]
- Rajala, K.; Lindroos, B.; Hussein, S.M.; Lappalainen, R.S.; Pekkanen-Mattila, M.; Inzunza, J.; Rozell, B.; Miettinen, S.; Narkilahti, S.; Kerkelä, E.; et al. A Defined and Xeno-Free Culture Method Enabling the Establishment of Clinical-Grade Human Embryonic, Induced Pluripotent and Adipose Stem Cells. PLoS ONE 2010, 5, e10246. [Google Scholar] [CrossRef]
- Mishra, V.; Heath, R.J. Structural and Biochemical Features of Human Serum Albumin Essential for Eukaryotic Cell Culture. Int. J. Mol. Sci. 2021, 22, 8411. [Google Scholar] [CrossRef]
- Parker, A.M.; Shang, H.; Khurgel, M.; Katz, A.J. Low Serum and Serum-Free Culture of Multipotential Human Adipose Stem Cells. Cytotherapy 2007, 9, 637–646. [Google Scholar] [CrossRef] [PubMed]
- Koo, J.; Kim, K.-I.; Min, B.-H.; Lee, G.M. Controlling Medium Osmolality Improves the Expansion of Human Articular Chondrocytes in Serum-Free Media. Tissue Eng. Part C 2010, 16, 957–963. [Google Scholar] [CrossRef] [PubMed]
- Ahmed, N.; Iu, J.; Brown, C.E.; Taylor, D.W.; Kandel, R.A. Serum- and Growth-Factor-Free Three-Dimensional Culture System Supports Cartilage Tissue Formation by Promoting Collagen Synthesis via Sox9-Col2a1 Interaction. Tissue Eng. Part A 2014, 20, 2224–2233. [Google Scholar] [CrossRef] [PubMed]
- Mantripragada, V.P.; Muschler, G.F. Improved Biological Performance of Human Cartilage-Derived Progenitors in Platelet Lysate Xenofree Media in Comparison to Fetal Bovine Serum Media. Curr. Res. Transl. Med. 2022, 70, 103353. [Google Scholar] [CrossRef]
- Hausburg, M.A.; Frederick, E.D.; Mcnair, P.; Schwappach, J.; Banton, K.L.; Roshon, M.; Lieser, M.J.; Acuna, D.L.; Banerjee, R.; Bar-Or, D.; et al. Clinically Relevant Redifferentiation of Fibroblast-like Chondrocytes into Functional Chondrocytes by the Low Molecular Weight Fraction of Human Serum Albumin. Clin. Exp. Rheumatol. 2018, 36, 891–895. [Google Scholar]
- Bar-Or, D.; Thomas, G.W.; Rael, L.T.; Gersch, E.D.; Rubinstein, P.; Brody, E. Low Molecular Weight Fraction of Commercial Human Serum Albumin Induces Morphologic and Transcriptional Changes of Bone Marrow-Derived Mesenchymal Stem Cells. Stem Cells Transl. Med. 2015, 4, 945–955. [Google Scholar] [CrossRef] [PubMed]
- Limraksasin, P.; Kosaka, Y.; Zhang, M.; Horie, N.; Kondo, T.; Okawa, H.; Yamada, M.; Egusa, H. Shaking Culture Enhances Chondrogenic Differentiation of Mouse Induced Pluripotent Stem Cell Constructs. Sci. Rep. 2020, 10, 14996. [Google Scholar] [CrossRef]
- Dehne, T.; Karlsson, C.; Ringe, J.; Sittinger, M.; Lindahl, A. Chondrogenic Differentiation Potential of Osteoarthritic Chondrocytes and Their Possible Use in Matrix-Associated Autologous Chondrocyte Transplantation. Arthritis Res. Ther. 2009, 11, R133. [Google Scholar] [CrossRef]
- Tateishi, K.; Ando, W.; Higuchi, C.; Hart, D.A.; Hashimoto, J.; Nakata, K.; Yoshikawa, H.; Nakamura, N. Comparison of Human Serum with Fetal Bovine Serum for Expansion and Differentiation of Human Synovial MSC: Potential Feasibility for Clinical Applications. Cell Transplant. 2008, 17, 549–557. [Google Scholar] [CrossRef]
- Silverstein, A.M.; Stefani, R.M.; Sobczak, E.; Tong, E.L.; Attur, M.G.; Shah, R.P.; Bulinski, J.C.; Ateshian, G.A.; Hung, C.T. Toward Understanding the Role of Cartilage Particulates in Synovial Inflammation. Osteoarthr. Cartil. 2017, 25, 1353–1361. [Google Scholar] [CrossRef]
- Wolbank, S.; Peterbauer, A.; Wassermann, E.; Hennerbichler, S.; Voglauer, R.; van Griensven, M.; Duba, H.C.; Gabriel, C.; Redl, H. Labelling of Human Adipose-Derived Stem Cells for Non-Invasive in Vivo Cell Tracking. Cell Tissue Bank. 2007, 8, 163–177. [Google Scholar] [CrossRef] [PubMed]
- Fürsatz, M.; Gerges, P.; Wolbank, S.; Nürnberger, S. Autonomous Spheroid Formation by Culture Plate Compartmentation. Biofabrication 2021, 13, 035018. [Google Scholar] [CrossRef]
- Nürnberger, S.; Lindner, C.; Maier, J.; Strohmeier, K.; Wurzer, C.; Slezak, P.; Suessner, S.; Holnthoner, W.; Redl, H.; Wolbank, S.; et al. Adipose-Tissue-Derived Therapeutic Cells in Their Natural Environment as an Autologous Cell Therapy Strategy: The Microtissue-Stromal Vascular Fraction. Eur. Cell Mater. 2019, 37, 113–133. [Google Scholar] [CrossRef] [PubMed]
- Kim, Y.J.; Sah, R.L.Y.; Doong, J.Y.H.; Grodzinsky, A.J. Fluorometric Assay of DNA in Cartilage Explants Using Hoechst 33258. Anal. Biochem. 1988, 174, 168–176. [Google Scholar] [CrossRef] [PubMed]
- Farndale, R.W.; Buttle, D.J.; Barrett, A.J. Improved Quantitation and Discrimination of Sulphated Glycosaminoglycans by Use of Dimethylmethylene Blue. Biochim. Biophys. Acta 1986, 883, 173–177. [Google Scholar] [CrossRef] [PubMed]
- Kuten Pella, O.; Hornyák, I.; Horváthy, D.; Fodor, E.; Nehrer, S.; Lacza, Z. Albumin as a Biomaterial and Therapeutic Agent in Regenerative Medicine. Int. J. Mol. Sci. 2022, 23, 10557. [Google Scholar] [CrossRef] [PubMed]
- Horváthy, D.B.; Simon, M.; Schwarz, C.M.; Masteling, M.; Vácz, G.; Hornyák, I.; Lacza, Z. Serum Albumin as a Local Therapeutic Agent in Cell Therapy and Tissue Engineering. Biofactors 2017, 43, 315–330. [Google Scholar] [CrossRef]
- Babur, B.K.; Ghanavi, P.; Levett, P.; Lott, W.B.; Klein, T.; Cooper-White, J.J.; Crawford, R.; Doran, M.R. The Interplay between Chondrocyte Redifferentiation Pellet Size and Oxygen Concentration. PLoS ONE 2013, 8, e58865. [Google Scholar] [CrossRef] [PubMed]
- Jakobsen, R.B.; Shahdadfar, A.; Reinholt, F.P.; Brinchmann, J.E. Chondrogenesis in a Hyaluronic Acid Scaffold: Comparison between Chondrocytes and MSC from Bone Marrow and Adipose Tissue. Knee Surg. Sports Traumatol. Arthrosc. 2010, 18, 1407–1416. [Google Scholar] [CrossRef]
- Chen, H.; Cui, Y.; Zhang, D.; Xie, J.; Zhou, X. The Role of Fibroblast Growth Factor 8 in Cartilage Development and Disease. J. Cell Mol. Med. 2022, 26, 990–999. [Google Scholar] [CrossRef]
- Schneider, C.; Dungel, P.; Priglinger, E.; Danzer, M.; Schädl, B.; Nürnberger, S. The Impact of Photobiomodulation on the Chondrogenic Potential of Adipose-Derived Stromal/Stem Cells. J. Photochem. Photobiol. B 2021, 221, 112243. [Google Scholar] [CrossRef]
- Rada, T.; Reis, R.L.; Gomes, M.E. Distinct Stem Cells Subpopulations Isolated from Human Adipose Tissue Exhibit Different Chondrogenic and Osteogenic Differentiation Potential. Stem Cell Rev. Rep. 2010, 7, 64–76. [Google Scholar] [CrossRef]
- Rada, T.; Gomes, M.E.; Reis, R.L. A Novel Method for the Isolation of Subpopulations of Rat Adipose Stem Cells with Different Proliferation and Osteogenic Differentiation Potentials. J. Tissue Eng. Regen. Med. 2011, 5, 655–664. [Google Scholar] [CrossRef] [PubMed]
- Jiang, T.; Liu, W.; Lv, X.; Sun, H.; Zhang, L.; Liu, Y.; Zhang, W.J.; Cao, Y.; Zhou, G. Potent in Vitro Chondrogenesis of CD105 Enriched Human Adipose-Derived Stem Cells. Biomaterials 2010, 31, 3564–3571. [Google Scholar] [CrossRef] [PubMed]
- Anderson, P.; Carrillo-Gálvez, A.B.; García-Pérez, A.; Cobo, M.; Martín, F. CD105 (Endoglin)-Negative Murine Mesenchymal Stromal Cells Define a New Multipotent Subpopulation with Distinct Differentiation and Immunomodulatory Capacities. PLoS ONE 2013, 8, e76979. [Google Scholar] [CrossRef] [PubMed]
- Lund, P.; Pilgaard, L.; Duroux, M.; Fink, T.; Zachar, V. Effect of Growth Media and Serum Replacements on the Proliferation and Differentiation of Adipose-Derived Stem Cells. Cytotherapy 2009, 11, 189–197. [Google Scholar] [CrossRef] [PubMed]
- Finn, T.E.; Nunez, A.C.; Sunde, M.; Easterbrook-Smith, S.B. Serum Albumin Prevents Protein Aggregation and Amyloid Formation and Retains Chaperone-like Activity in the Presence of Physiological Ligands. J. Biol. Chem. 2012, 287, 21530. [Google Scholar] [CrossRef] [PubMed]
- Wolf, G.; Schroeder, R.; Ziyadeh, F.N.; Stahl, R.A.K. Albumin Up-Regulates the Type II Transforming Growth Factor-Beta Receptor in Cultured Proximal Tubular Cells. Kidney Int. 2004, 66, 1849–1858. [Google Scholar] [CrossRef] [PubMed]
- Wan, A.; Miao, Y.; Peng, L.; Cai, Y.; Chen, Y.; He, Y.; Yang, J.; Jin, J.; Li, H. Binding and Biologic Characterization of Recombinant Human Serum Albumin-ETGFBR2 Fusion Protein Expressed in CHO Cells. Bioengineered 2017, 8, 600–612. [Google Scholar] [CrossRef][Green Version]
- Qi, W.N.; Scully, S.P. Extracellular Collagen Modulates the Regulation of Chondrocytes by Transforming Growth Factor-Beta 1. J. Orthop. Res. 1997, 15, 483–490. [Google Scholar] [CrossRef]
- Cacheaux, L.P.; Ivens, S.; David, Y.; Lakhter, A.J.; Bar-Klein, G.; Shapira, M.; Heinemann, U.; Friedman, A.; Kaufer, D. Transcriptome Profiling Reveals TGF-β Signaling Involvement in Epileptogenesis. J. Neurosci. 2009, 29, 8927–8935. [Google Scholar] [CrossRef] [PubMed]
- Francis, G.L. Albumin and Mammalian Cell Culture: Implications for Biotechnology Applications. Cytotechnology 2010, 62, 1–16. [Google Scholar] [CrossRef] [PubMed]
- Tsiapalis, D.; Zeugolis, D.I. It Is Time to Crowd Your Cell Culture Media—Physicochemical Considerations with Biological Consequences. Biomaterials 2021, 275, 120943. [Google Scholar] [CrossRef] [PubMed]
- Kratz, F. Albumin as a Drug Carrier: Design of Prodrugs, Drug Conjugates and Nanoparticles. J. Control. Release 2008, 132, 171–183. [Google Scholar] [CrossRef] [PubMed]
- Heger, J.I.; Froehlich, K.; Pastuschek, J.; Schmidt, A.; Baer, C.; Mrowka, R.; Backsch, C.; Schleußner, E.; Markert, U.R.; Schmidt, A. Human Serum Alters Cell Culture Behavior and Improves Spheroid Formation in Comparison to Fetal Bovine Serum. Exp. Cell Res. 2018, 365, 57–65. [Google Scholar] [CrossRef] [PubMed]
- Lei, C.; Liu, X.R.; Chen, Q.B.; Li, Y.; Zhou, J.L.; Zhou, L.Y.; Zou, T. Hyaluronic Acid and Albumin Based Nanoparticles for Drug Delivery. J. Control. Release 2021, 331, 416–433. [Google Scholar] [CrossRef] [PubMed]
- Oettl, K.; Stauber, R.E. Physiological and Pathological Changes in the Redox State of Human Serum Albumin Critically Influence Its Binding Properties. Br. J. Pharmacol. 2007, 151, 580. [Google Scholar] [CrossRef] [PubMed]
- Belinskaia, D.A.; Batalova, A.A.; Goncharov, N.V. Effect of Bovine Serum Albumin Redox Status on Its Interaction with Paraoxon as Determined by Molecular Modeling. J. Evol. Biochem. Physiol. 2020, 56, 434–438. [Google Scholar] [CrossRef]
- Bar-Or, D.; Rael, L.T.; Lau, E.P.; Rao, N.K.R.; Thomas, G.W.; Winkler, J.V.; Yukl, R.L.; Kingston, R.G.; Curtis, C.G. An Analog of the Human Albumin N-Terminus (Asp-Ala-His-Lys) Prevents Formation of Copper-Induced Reactive Oxygen Species. Biochem. Biophys. Res. Commun. 2001, 284, 856–862. [Google Scholar] [CrossRef]
- Zhu, M.; Kohan, E.; Bradley, J.; Hedrick, M.; Benhaim, P.; Zuk, P. The Effect of Age on Osteogenic, Adipogenic and Proliferative Potential of Female Adipose-Derived Stem Cells. J. Tissue Eng. Regen. Med. 2009, 3, 290–301. [Google Scholar] [CrossRef]
- Stromps, J.P.; Paul, N.E.; Rath, B.; Nourbakhsh, M.; Bernhagen, J.; Pallua, N. Chondrogenic Differentiation of Human Adipose-Derived Stem Cells: A New Path in Articular Cartilage Defect Management? BioMed Res. Int. 2014, 2014, 740926. [Google Scholar] [CrossRef] [PubMed]
- Kawagishi-Hotta, M.; Hasegawa, S.; Igarashi, T.; Yamada, T.; Takahashi, M.; Numata, S.; Kobayashi, T.; Iwata, Y.; Arima, M.; Yamamoto, N.; et al. Enhancement of Individual Differences in Proliferation and Differentiation Potentials of Aged Human Adipose-Derived Stem Cells. Regen. Ther. 2017, 6, 29–40. [Google Scholar] [CrossRef]
- Si, Z.; Wang, X.; Sun, C.; Kang, Y.; Xu, J.; Wang, X.; Hui, Y. Adipose-Derived Stem Cells: Sources, Potency, and Implications for Regenerative Therapies. Biomed. Pharmacother. 2019, 114, 108765. [Google Scholar] [CrossRef]
- Qu, Y.; Mu, D.; Wang, Q.; Li, Z.; Liu, T.; Fu, S.; Luan, J. Effects of Harvest Sites on Cryopreserved Adipose-Derived Stem Cells and ASC-Enriched Fat Grafts. Aesthetic Plast. Surg. 2020, 44, 2286–2296. [Google Scholar] [CrossRef] [PubMed]
- Fraser, J.K.; Wulur, I.; Alfonso, Z.; Zhu, M.; Wheeler, E.S. Differences in Stem and Progenitor Cell Yield in Different Subcutaneous Adipose Tissue Depots. Cytotherapy 2007, 9, 459–467. [Google Scholar] [CrossRef]
- Duscher, D.; Atashroo, D.; Maan, Z.N.; Luan, A.; Brett, E.A.; Barrera, J.; Khong, S.M.; Zielins, E.R.; Whittam, A.J.; Hu, M.S.; et al. Ultrasound-Assisted Liposuction Does Not Compromise the Regenerative Potential of Adipose-Derived Stem Cells. Stem Cells Transl. Med. 2016, 5, 248–257. [Google Scholar] [CrossRef] [PubMed]
- Lian, J.B.; McKee, M.D.; Todd, A.M.; Gerstenfeld, L.C. Induction of Bone-Related Proteins, Osteocalcin and Osteopontin, and Their Matrix Ultrastructural Localization with Development of Chondrocyte Hypertrophy in Vitro. J. Cell Biochem. 1993, 52, 206–219. [Google Scholar] [CrossRef]
- Fellows, C.R.; Matta, C.; Zakany, R.; Khan, I.M.; Mobasheri, A. Adipose, Bone Marrow and Synovial Joint-Derived Mesenchymal Stem Cells for Cartilage Repair. Front. Genet. 2016, 7, 213. [Google Scholar] [CrossRef]
- Li, J.; Narayanan, K.; Zhang, Y.; Hill, R.C.; He, F.; Hansen, K.C.; Pei, M. Role of Lineage-Specific Matrix in Stem Cell Chondrogenesis. Biomaterials 2020, 231, 119681. [Google Scholar] [CrossRef]
- Futrega, K.; Robey, P.G.; Klein, T.J.; Crawford, R.W.; Doran, M.R. A Single Day of TGF-Β1 Exposure Activates Chondrogenic and Hypertrophic Differentiation Pathways in Bone Marrow-Derived Stromal Cells. Commun. Biol. 2021, 4, 29. [Google Scholar] [CrossRef]
- Pizzute, T.; Lynch, K.; Pei, M. Impact of Tissue-Specific Stem Cells on Lineage-Specific Differentiation: A Focus on the Musculoskeletal System. Stem Cell Rev. 2015, 11, 119–132. [Google Scholar] [CrossRef] [PubMed]
- Mueller, M.B.; Fischer, M.; Zellner, J.; Berner, A.; Dienstknecht, T.; Prantl, L.; Kujat, R.; Nerlich, M.; Tuan, R.S.; Angele, P. Hypertrophy in Mesenchymal Stem Cell Chondrogenesis: Effect of TGF-Beta Isoforms and Chondrogenic Conditioning. Cells Tissues Organs 2010, 192, 158–166. [Google Scholar] [CrossRef]
- Somoza, R.A.; Welter, J.F.; Correa, D.; Caplan, A.I. Chondrogenic Differentiation of Mesenchymal Stem Cells: Challenges and Unfulfilled Expectations. Tissue Eng. Part B Rev. 2014, 20, 596–608. [Google Scholar] [CrossRef]
- Mueller, M.B.; Tuan, R.S. Functional Characterization of Hypertrophy in Chondrogenesis of Human Mesenchymal Stem Cells. Arthritis Rheum. 2008, 58, 1377–1388. [Google Scholar] [CrossRef]
- Li, D.X.; Ma, Z.; Szojka, A.R.A.; Lan, X.; Kunze, M.; Mulet-Sierra, A.; Westover, L.; Adesida, A.B. Non-Hypertrophic Chondrogenesis of Mesenchymal Stem Cells through Mechano-Hypoxia Programing. J. Tissue Eng. 2023, 14, 20417314231172574. [Google Scholar] [CrossRef] [PubMed]
- Weissenberger, M.; Weissenberger, M.H.; Gilbert, F.; Groll, J.; Evans, C.H.; Steinert, A.F. Reduced Hypertrophy in Vitro after Chondrogenic Differentiation of Adult Human Mesenchymal Stem Cells Following Adenoviral SOX9 Gene Delivery. BMC Musculoskelet. Disord. 2020, 21, 109. [Google Scholar] [CrossRef] [PubMed]
- Cooke, M.E.; Allon, A.A.; Cheng, T.; Kuo, A.C.; Kim, H.T.; Vail, T.P.; Marcucio, R.S.; Schneider, R.A.; Lotz, J.C.; Alliston, T. Structured Three-Dimensional Co-Culture of Mesenchymal Stem Cells with Chondrocytes Promotes Chondrogenic Differentiation without Hypertrophy. Osteoarthr. Cartil. 2011, 19, 1210–1218. [Google Scholar] [CrossRef]
- Feng, Q.; Lin, S.; Zhang, K.; Dong, C.; Wu, T.; Huang, H.; Yan, X.; Zhang, L.; Li, G.; Bian, L. Sulfated Hyaluronic Acid Hydrogels with Retarded Degradation and Enhanced Growth Factor Retention Promote HMSC Chondrogenesis and Articular Cartilage Integrity with Reduced Hypertrophy. Acta Biomater. 2017, 53, 329–342. [Google Scholar] [CrossRef]
- Lee, C.S.D.; Watkins, E.; Burnsed, O.A.; Schwartz, Z.; Boyan, B.D. Tailoring Adipose Stem Cell Trophic Factor Production with Differentiation Medium Components to Regenerate Chondral Defects. Tissue Eng. Part A 2013, 19, 1451–1464. [Google Scholar] [CrossRef]
- Zhang, L.; Su, P.; Xu, C.; Yang, J.; Yu, W.; Huang, D. Chondrogenic Differentiation of Human Mesenchymal Stem Cells: A Comparison between Micromass and Pellet Culture Systems. Biotechnol. Lett. 2010, 32, 1339–1346. [Google Scholar] [CrossRef]
- Siddiq, M.A.B.; Clegg, D.; Jansen, T.L.; Rasker, J.J. Emerging and New Treatment Options for Knee Osteoarthritis. Curr. Rheumatol. Rev. 2022, 18, 20–32. [Google Scholar] [CrossRef] [PubMed]
- Hattori, H.; Ishihara, M. Feasibility of Improving Platelet-Rich Plasma Therapy by Using Chitosan with High Platelet Activation Ability. Exp. Ther. Med. 2017, 13, 1176–1180. [Google Scholar] [CrossRef] [PubMed]
- Bennike, T.; Ayturk, U.; Haslauer, C.M.; Froehlich, J.W.; Proffen, B.L.; Barnaby, O.; Birkelund, S.; Murray, M.M.; Warman, M.L.; Stensballe, A.; et al. A Normative Study of the Synovial Proteome from Healthy Porcine Knee Joints. J. Proteome Res. 2014, 13, 4377–4387. [Google Scholar] [CrossRef] [PubMed]
- Wiegand, N.; Bűcs, G.; Dandé, Á.; Lőrinczy, D. Investigation of Protein Content of Synovial Fluids with DSC in Different Arthritides. J. Therm. Anal. Calorim. 2019, 138, 4497–4503. [Google Scholar] [CrossRef]
- Ganeb, S.; Egaila, S.; Hamed, A.; Hassan, W. Significance of Serum Albumin and Derived Neutrophil-to-Lymphocyte Ratio Score in Assessment of Disease Activity in Rheumatoid Arthritis Patients. Egypt. Rheumatol. Rehabil. 2020, 47, 5. [Google Scholar] [CrossRef]
- Sohn, D.H.; Sokolove, J.; Sharpe, O.; Erhart, J.C.; Chandra, P.E.; Lahey, L.J.; Lindstrom, T.M.; Hwang, I.; Boyer, K.A.; Andriacchi, T.P.; et al. Plasma Proteins Present in Osteoarthritic Synovial Fluid Can Stimulate Cytokine Production via Toll-like Receptor 4. Arthritis Res. Ther. 2012, 14, R7. [Google Scholar] [CrossRef]







Disclaimer/Publisher’s Note: The statements, opinions and data contained in all publications are solely those of the individual author(s) and contributor(s) and not of MDPI and/or the editor(s). MDPI and/or the editor(s) disclaim responsibility for any injury to people or property resulting from any ideas, methods, instructions or products referred to in the content. |
© 2024 by the authors. Licensee MDPI, Basel, Switzerland. This article is an open access article distributed under the terms and conditions of the Creative Commons Attribution (CC BY) license (https://creativecommons.org/licenses/by/4.0/).
Share and Cite
Casado-Losada, I.; Acosta, M.; Schädl, B.; Priglinger, E.; Wolbank, S.; Nürnberger, S. Unlocking Potential: Low Bovine Serum Albumin Enhances the Chondrogenicity of Human Adipose-Derived Stromal Cells in Pellet Cultures. Biomolecules 2024, 14, 413. https://doi.org/10.3390/biom14040413
Casado-Losada I, Acosta M, Schädl B, Priglinger E, Wolbank S, Nürnberger S. Unlocking Potential: Low Bovine Serum Albumin Enhances the Chondrogenicity of Human Adipose-Derived Stromal Cells in Pellet Cultures. Biomolecules. 2024; 14(4):413. https://doi.org/10.3390/biom14040413
Chicago/Turabian StyleCasado-Losada, Isabel, Melanie Acosta, Barbara Schädl, Eleni Priglinger, Susanne Wolbank, and Sylvia Nürnberger. 2024. "Unlocking Potential: Low Bovine Serum Albumin Enhances the Chondrogenicity of Human Adipose-Derived Stromal Cells in Pellet Cultures" Biomolecules 14, no. 4: 413. https://doi.org/10.3390/biom14040413
APA StyleCasado-Losada, I., Acosta, M., Schädl, B., Priglinger, E., Wolbank, S., & Nürnberger, S. (2024). Unlocking Potential: Low Bovine Serum Albumin Enhances the Chondrogenicity of Human Adipose-Derived Stromal Cells in Pellet Cultures. Biomolecules, 14(4), 413. https://doi.org/10.3390/biom14040413

