Bariatric Surgery Induces Alterations in the Immune Profile of Peripheral Blood T Cells
Abstract
1. Introduction
2. Materials and Methods
2.1. Participants
2.1.1. Anthropometric and Biochemical Characterization of the Participants
2.1.2. Metabolic profile and obesity class of participants
2.2. Immunophenotyping
Identification and Characterization of the Major Immune Cell Populations and T Cell Subsets
2.3. Statistical Analysis
3. Results
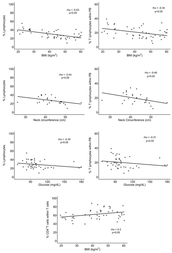
3.1. Obesity Induces Alterations in Peripheral Blood Neutrophils and Monocytes
3.2. Obesity Alters the T Cell Percentage and Their Subsets, but Not That of B Cells, in Peripheral Blood
3.3. CD4+ T Lymphocytes
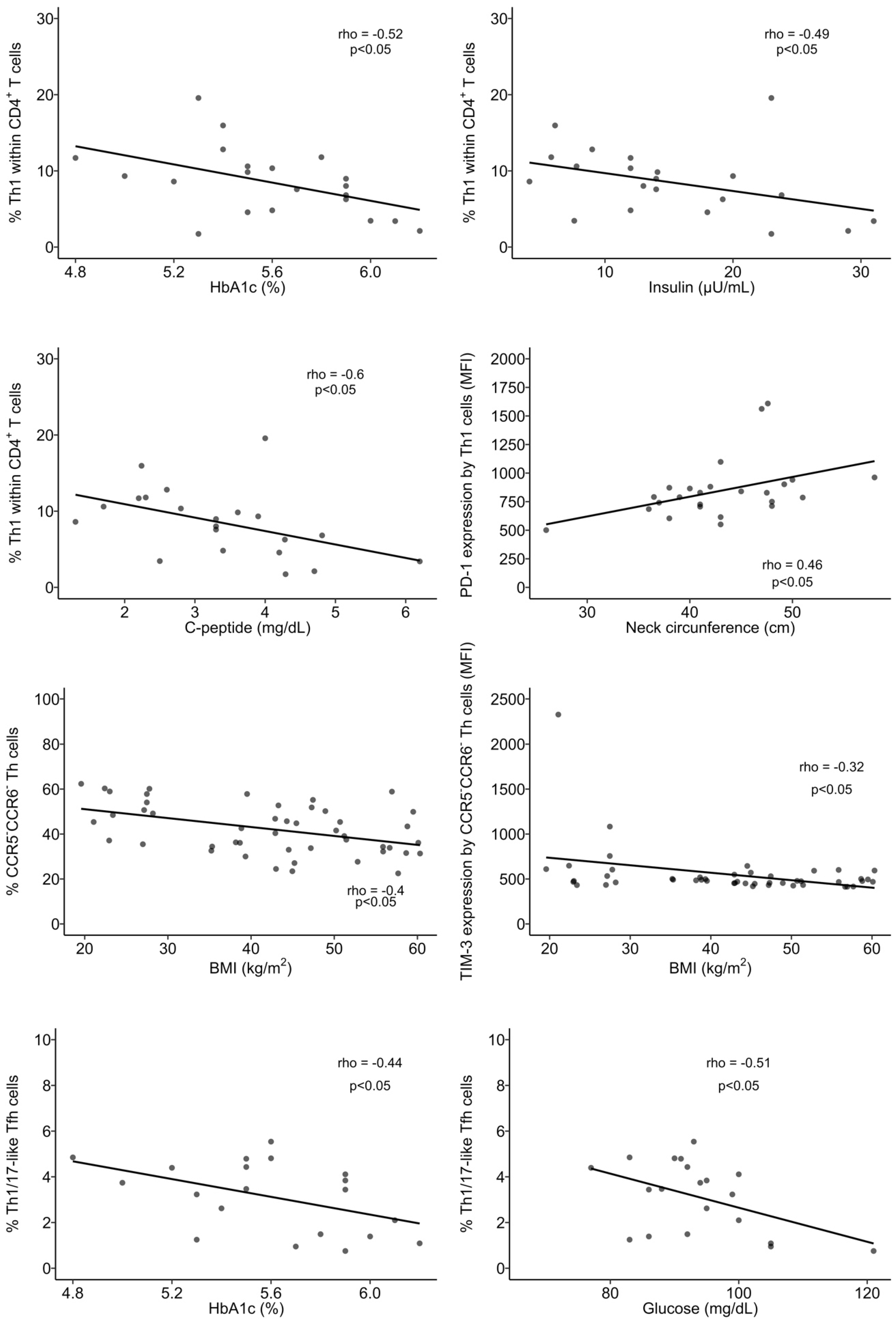
3.3.1. Th1 Cells from OB Participants Present a Higher Activation Status and Lower Expression of PD-1
3.3.2. The OB Group Displays an Increased Percentage of Th17 and Th1/17 Cells That Is Associated with a Reduced Expression of TIM-3
3.3.3. CCR5−CCR6− Helper T Cells Show Decreased Percentage and an Altered Phenotype in Insulin Resistant Groups
3.3.4. Regulatory Helper T Cells
3.3.5. Follicular Helper T Cells
3.4. CD8+ T Lymphocytes
3.4.1. Tc1 Cells Display Higher Expression of CCR5 in the OB Group and It Was Correlated to Insulin Levels
3.4.2. In Tc17 Cells, the PD-1 Expression Correlates to Metabolic Parameters
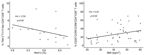
3.4.3. Increased Activation Status of Cytotoxic Tc1/17 and CCR5−CCR6− T Cells in the OB Group
3.4.4. CD8+ Regulatory T Cells Are Expanded in Participants with Obesity
3.4.5. Follicular Cytotoxic T Cells Present an Increased Activation Status in the OB Group
3.5. The Phenotype of CD4+CD8+ T Cells in Obesity
3.6. Differences within Metabolic Groups
3.7. Effect of Bariatric Surgery on Metabolic and Immune Profiles
4. Discussion
5. Conclusions
Supplementary Materials
Author Contributions
Funding
Institutional Review Board Statement
Informed Consent Statement
Data Availability Statement
Conflicts of Interest
References
- Khanna, D.; Khanna, S.; Khanna, P.; Kahar, P.; Patel, B.M. Obesity: A Chronic Low-Grade Inflammation and Its Markers. Cureus 2022, 14, e22711. [Google Scholar] [CrossRef]
- SantaCruz-Calvo, S.; Bharath, L.; Pugh, G.; SantaCruz-Calvo, L.; Lenin, R.R.; Lutshumba, J.; Liu, R.; Bachstetter, A.D.; Zhu, B.; Nikolajczyk, B.S. Adaptive Immune Cells Shape Obesity-Associated Type 2 Diabetes Mellitus and Less Prominent Comorbidities. Nat. Rev. Endocrinol. 2022, 18, 23–42. [Google Scholar] [CrossRef]
- Viardot, A.; Heilbronn, L.K.; Samocha-Bonet, D.; Mackay, F.; Campbell, L.V.; Samaras, K. Obesity Is Associated with Activated and Insulin Resistant Immune Cells. Diabetes/Metab. Res. Rev. 2012, 28, 447–454. [Google Scholar] [CrossRef]
- Reggio, S.; Rouault, C.; Poitou, C.; Bichet, J.C.; Prifti, E.; Bouillot, J.L.; Rizkalla, S.; Lacasa, D.; Tordjman, J.; Clément, K. Increased Basement Membrane Components in Adipose Tissue during Obesity: Links with TGFβ and Metabolic Phenotypes. J. Clin. Endocrinol. Metab. 2016, 101, 2578–2587. [Google Scholar] [CrossRef]
- Muir, L.A.; Neeley, C.K.; Meyer, K.A.; Baker, N.A.; Brosius, A.M.; Washabaugh, A.R.; Varban, O.A.; Finks, J.F.; Zamarron, B.F.; Flesher, C.G.; et al. Adipose Tissue Fibrosis, Hypertrophy, and Hyperplasia: Correlations with Diabetes in Human Obesity. Obesity 2016, 24, 597–605. [Google Scholar] [CrossRef]
- Wijngaarden, L.H.; van der Harst, E.; Klaassen, R.A.; Dunkelgrun, M.; Kuijper, T.M.; Klepper, M.; Ambagtsheer, G.; IJzermans, J.N.M.; de Bruin, R.W.F.; Litjens, N.H.R. Effects of Morbid Obesity and Metabolic Syndrome on the Composition of Circulating Immune Subsets. Front. Immunol. 2021, 12, 675018. [Google Scholar] [CrossRef] [PubMed]
- Uribe-Querol, E.; Rosales, C. Neutrophils Actively Contribute to Obesity-Associated Inflammation and Pathological Complications. Cells 2022, 11, 1883. [Google Scholar] [CrossRef] [PubMed]
- Rizk, N.M.; Fadel, A.; Alshammari, W.; Younes, N.; Bashah, M. The Immunophenotyping Changes of Peripheral CD4+ T Lymphocytes and Inflammatory Markers of Class III Obesity Subjects after Laparoscopic Gastric Sleeve Surgery—A Follow-up Study. J. Inflamm. Res. 2021, 14, 1743. [Google Scholar] [CrossRef]
- Krinninger, P.; Ensenauer, R.; Ehlers, K.; Rauh, K.; Stoll, J.; Krauss-Etschmann, S.; Hauner, H.; Laumen, H. Peripheral Monocytes of Obese Women Display Increased Chemokine Receptor Expression and Migration Capacity. J. Clin. Endocrinol. Metab. 2014, 99, 2500–2509. [Google Scholar] [CrossRef]
- Park, C.S.; Shastri, N. The Role of T Cells in Obesity-Associated Inflammation and Metabolic Disease. Immune Netw. 2022, 22, e13. [Google Scholar] [CrossRef] [PubMed]
- Sbierski-Kind, J.; Goldeck, D.; Buchmann, N.; Spranger, J.; Volk, H.D.; Steinhagen-Thiessen, E.; Pawelec, G.; Demuth, I.; Spira, D. T Cell Phenotypes Associated with Insulin Resistance: Results from the Berlin Aging Study II. Immun. Ageing 2020, 17, 40. [Google Scholar] [CrossRef] [PubMed]
- Artemniak-Wojtowicz, D.; Kucharska, A.M.; Stelmaszczyk-Emmel, A.; Majcher, A.; Pyrżak, B. Changes of Peripheral Th17 Cells Subset in Overweight and Obese Children after Body Weight Reduction. Front. Endocrinol. 2022, 13, 917402. [Google Scholar] [CrossRef] [PubMed]
- Bradley, D.; Smith, A.J.; Blaszczak, A.; Shantaram, D.; Bergin, S.M.; Jalilvand, A.; Wright, V.; Wyne, K.L.; Dewal, R.S.; Baer, L.A.; et al. Interferon Gamma Mediates the Reduction of Adipose Tissue Regulatory T Cells in Human Obesity. Nat. Commun. 2022, 13, 5606. [Google Scholar] [CrossRef] [PubMed]
- Agabiti-Rosei, C.; Trapletti, V.; Piantoni, S.; Airo, P.; Tincani, A.; De Ciuceis, C.; Rossini, C.; Mittempergher, F.; Titi, A.; Portolani, N.; et al. Decreased Circulating T Regulatory Lymphocytes in Obese Patients Undergoing Bariatric Surgery. PLoS ONE 2018, 13, e0197178. [Google Scholar] [CrossRef] [PubMed]
- Wijngaarden, L.H.; Taselaar, A.E.; Nuijten, F.; Harst, E.V.d.; Klaassen, R.A.; Kuijper, T.M.; Jongbloed, F.; Ambagtsheer, G.; Klepper, M.; IJzermans, J.N.M.; et al. T and B Cell Composition and Cytokine Producing Capacity before and after Bariatric Surgery. Front. Immunol. 2022, 13, 888278. [Google Scholar] [CrossRef] [PubMed]
- Barbosa, P.; Melnyk, S.; Bennuri, S.C.; Delhey, L.; Reis, A.; Moura, G.R.; Børsheim, E.; Rose, S.; Carvalho, E. Redox Imbalance and Methylation Disturbances in Early Childhood Obesity. Oxidative Med. Cell. Longev. 2021, 2021, 2207125. [Google Scholar] [CrossRef] [PubMed]
- Knopfholz, J.; Disserol, C.C.D.; Pierin, A.J.; Schirr, F.L.; Streisky, L.; Takito, L.L.; Massucheto Ledesma, P.; Faria-Neto, J.R.; Olandoski, M.; Da Cunha, C.L.P.; et al. Validation of the Friedewald Formula in Patients with Metabolic Syndrome. Cholesterol 2014, 2014, 261878. [Google Scholar] [CrossRef]
- Romanski, P.A.; Farland, L.V.; Tsen, L.C.; Ginsburg, E.S.; Lewis, E.I. Effect of Class III and Class IV Obesity on Oocyte Retrieval Complications and Outcomes. Fertil. Steril. 2019, 111, 294–301.e1. [Google Scholar] [CrossRef]
- Tavares, G.; Rosendo-Silva, D.; Simões, F.; Eickhoff, H.; Marques, D.; Sacramento, J.F.; Capucho, A.M.; Seiça, R.; Conde, S.V.; Matafome, P. Circulating Dopamine Is Regulated by Dietary Glucose and Controls Glucagon-like 1 Peptide Action in White Adipose Tissue. Int. J. Mol. Sci. 2023, 24, 2464. [Google Scholar] [CrossRef]
- Laranjeira, P.; dos Santos, F.; Salvador, M.J.; Simões, I.N.; Cardoso, C.M.P.; Silva, B.M.; Henriques-Antunes, H.; Corte-Real, L.; Couceiro, S.; Monteiro, F.; et al. Umbilical-Cord-Derived Mesenchymal Stromal Cells Modulate 26 Out of 41 T Cell Subsets from Systemic Sclerosis Patients. Biomedicines 2023, 11, 1329. [Google Scholar] [CrossRef]
- Laranjeira, P.; Rodrigues, T.; Silva, A.; Barbosa, P.; Reis, T.; Lopes, C.; Pinho, A.; Silva, S.; Silva, I.; Carvalho, A.; et al. A Single Dose of COVID-19 Vaccine Induces a Strong T Cell and B Cell Response in Healthcare Professionals Recovered from SARS-CoV-2 Infection. Clin. Exp. Med. 2022, 23, 529–537. [Google Scholar] [CrossRef]
- Laranjeira, P.; Rodrigues, R.; Carvalheiro, T.; Constanço, C.; Vitória, H.; Matarraz, S.; Trindade, H.; Órfão, A.; Paiva, A. Expression of CD44 and CD35 during Normal and Myelodysplastic Erythropoiesis. Leuk. Res. 2015, 39, 361–370. [Google Scholar] [CrossRef] [PubMed]
- Hothorn, T.; Hornik, K.; van de Wiel, M.A.; Zeileis, A. A Lego System for Conditional Inference. Am. Stat. 2006, 60, 257–263. [Google Scholar] [CrossRef]
- Hothorn, T.; Hornik, K.; van de Wiel, M.A.; Zeileis, A. Implementing a Class of Permutation Tests: The Coin Package. J. Stat. Softw. 2008, 28, 1–23. [Google Scholar] [CrossRef]
- Kassambara, A. Rstatix: Pipe-Friendly Framework for Basic Statistical Tests; R Package Version 0.6.0. Available online: https://cran.r-project.org/web/packages/rstatix/index.html (accessed on 16 July 2020).
- R Core Team. R: A Language and Environment for Statistical Computing. 2019. Available online: https://search.r-project.org/CRAN/refmans/bnpa/html/create.cluster.html (accessed on 16 July 2020).
- Harrell, F.E.; Dupont, C. Hmisc: Harrell Miscellaneous. R Package Version 4.4-2. Available online: https://CRAN.R-project.org/package=Hmisc (accessed on 16 July 2020).
- Wickham, H. Ggplot2; Springer: New York, NY, 2009; ISBN 978-0-387-98140-6. [Google Scholar]
- RStudio Team, A. RStudio: Integrrated Development Environment for R 2021. Available online: https://www.r-project.org/conferences/useR-2011/abstracts/180111-allairejj.pdf (accessed on 16 July 2020).
- Barbosa, P.; Pinho, A.; Lázaro, A.; Rosendo-Silva, D.; Paula, D.; Campos, J.; Tralhão, J.G.; Pereira, M.J.; Paiva, A.; Laranjeira, P.; et al. CD8+ Treg Cells Play a Role in the Obesity-Associated Insulin Resistance. Life Sci. 2024, 336, 122306. [Google Scholar] [CrossRef]
- Romo, M.; López-Vicario, C.; Pérez-Romero, N.; Casulleras, M.; Martínez-Puchol, A.I.; Sánchez, B.; Flores-Costa, R.; Alcaraz-Quiles, J.; Duran-Güell, M.; Ibarzábal, A.; et al. Small Fragments of Hyaluronan Are Increased in Individuals with Obesity and Contribute to Low-Grade Inflammation through TLR-Mediated Activation of Innate Immune Cells. Int. J. Obes. 2022, 46, 1960–1969. [Google Scholar] [CrossRef]
- Talukdar, S.; Oh, D.Y.; Bandyopadhyay, G.; Li, D.; Xu, J.; McNelis, J.; Lu, M.; Li, P.; Yan, Q.; Zhu, Y.; et al. Neutrophils Mediate Insulin Resistance in Mice Fed a High-Fat Diet through Secreted Elastase. Nat. Med. 2012, 18, 1407–1412. [Google Scholar] [CrossRef] [PubMed]
- Yoshimura, A.; Ohnishi, S.; Orito, C.; Kawahara, Y.; Takasaki, H.; Takeda, H.; Sakamoto, N.; Hashino, S. Association of Peripheral Total and Differential Leukocyte Counts with Obesity-Related Complications in Young Adults. Obes. Facts 2015, 8, 1–16. [Google Scholar] [CrossRef]
- Łuczyński, W.; Grubczak, K.; Moniuszko, M.; Głowińska-Olszewska, B.; Bossowski, A. Elevated Levels of Th17 Cells in Children with Central Obesity. Scand. J. Clin. Lab. Investig. 2015, 75, 595–601. [Google Scholar] [CrossRef]
- Tsanaktsi, A.; Solomou, E.E.; Liossis, S.N.C. Th1/17 Cells, a Subset of Th17 Cells, Are Expanded in Patients with Active Systemic Lupus Erythematosus. Clin. Immunol. 2018, 195, 101–106. [Google Scholar] [CrossRef]
- Laba, S.; Mallett, G.; Amarnath, S. The Depths of PD-1 Function within the Tumor Microenvironment beyond CD8+ T Cells. Semin. Cancer Biol. 2022, 86, 1045–1055. [Google Scholar] [CrossRef]
- He, X.; Xu, C. PD-1: A Driver or Passenger of T Cell Exhaustion? Mol. Cell 2020, 77, 930–931. [Google Scholar] [CrossRef]
- Zhang, R.; Miao, J.; Zhang, K.; Zhang, B.; Luo, X.; Sun, H.; Zheng, Z.; Zhu, P. Th1-like Treg Cells Are Increased but Deficient in Function in Rheumatoid Arthritis. Front. Immunol. 2022, 13, 863753. [Google Scholar] [CrossRef]
- Donninelli, G.; Cornò, M.D.; Pierdominici, M.; Scazzocchio, B.; Varì, R.; Varano, B.; Pacella, I.; Piconese, S.; Barnaba, V.; D’Archivio, M.; et al. Distinct Blood and Visceral Adipose Tissue Regulatory T Cell and Innate Lymphocyte Profiles Characterize Obesity and Colorectal Cancer. Front. Immunol. 2017, 8, 643. [Google Scholar] [CrossRef] [PubMed]
- Gonzalez-Espinosa, L.O.; Montiel-Cervantes, L.A.; Guerra-Márquez, A.; Peñaflor-Juárez, K.; Reyes-Maldonado, E.; Vela-Ojeda, J. Maternal Obesity Associated with Increase in Natural Killer T Cells and CD8+ Regulatory T Cells in Cord Blood Units. Transfusion 2016, 56, 1075–1081. [Google Scholar] [CrossRef] [PubMed]
- Gianchecchi, E.; Fierabracci, A. Inhibitory Receptors and Pathways of Lymphocytes: The Role of PD-1 in Treg Development and Their Involvement in Autoimmunity Onset and Cancer Progression. Front. Immunol. 2018, 9, 2374. [Google Scholar] [CrossRef] [PubMed]
- Banerjee, H.; Nieves-Rosado, H.; Kulkarni, A.; Murter, B.; McGrath, K.V.; Chandran, U.R.; Chang, A.; Szymczak-Workman, A.L.; Vujanovic, L.; Delgoffe, G.M.; et al. Expression of Tim-3 Drives Phenotypic and Functional Changes in Treg Cells in Secondary Lymphoid Organs and the Tumor Microenvironment. Cell Rep. 2021, 36, 109699. [Google Scholar] [CrossRef] [PubMed]
- Kartika, R.; Wibowo, H. Impaired Function of Regulatory T Cells in Type 2 Diabetes Mellitus. Mol. Cell. Biomed. Sci. 2020, 4, 1–9. [Google Scholar] [CrossRef]
- Guo, S.; Yu, X.; Wang, L.; Jing, J.; Sun, Y.; Li, N.; Kuang, J.; Zhao, D.; Yu, X.; Yang, J.; et al. The Frequency of Tim-3 on Circulating Tfh Cells Was Increased in Type 2 Diabetes Mellitus Patients. Eur. J. Inflamm. 2020, 18, 1–8. [Google Scholar] [CrossRef]
- Sun, L.; Zou, S.; Ding, S.; Du, X.; Shen, Y.; Liu, C.; Shi, B.; Zhang, X. Circulating T Cells Exhibit Different TIM3/Galectin-9 Expression in Patients with Obesity and Obesity-Related Diabetes. J. Diabetes Res. 2020, 2020, 2583257. [Google Scholar] [CrossRef] [PubMed]
- Marcucci, F.; Romeo, E.; Caserta, C.A.; Rumio, C.; Lefoulon, F. Context-Dependent Pharmacological Effects of Metformin on the Immune System. Trends Pharmacol. Sci. 2020, 41, 162–171. [Google Scholar] [CrossRef] [PubMed]
- Zeiser, R. Immune Modulatory Effects of Statins. Immunology 2018, 154, 69–75. [Google Scholar] [CrossRef] [PubMed]
















| nOB | OB at T1 | OB at T2 | ||||
|---|---|---|---|---|---|---|
| n | n | n | ||||
| Sex (female/male) | 12 | 8/4 | 35 | 23/12 | 14 | 8/6 |
| Age (years) | 12 | 43 ± 12 | 35 | 45 ± 12 | 14 | 41 ± 9.0 |
| BMI (kg/m2) | 12 | 24.8 ± 3.0 | 35 | 48.3 ± 7.6 | 14 | 41.6 ± 4.3 A,B |
| NC (cm) | 25 | 43 ± 6 | 13 | 41 ± 5 B | ||
| WHR | 6 | 0.82 ± 0.11 | 25 | 0.98 ± 0.10 A | 13 | 0.96 ± 0.10 A |
| Obesity class (II/III/IV) | 35 | 7/13/15 | 14 | 6/8/- | ||
| Type 2 Diabetes | 35 | 14 | 14 | 2 | ||
| HbA1c (%) | 5 | 5.5 ± 0.48 | 35 | 6.0 ± 0.88 | 14 | 5.1 ± 0.21 A,B |
| Glucose (mg/dL) | 7 | 88.6 ± 8.0 | 35 | 104.8 ± 25.5 | 14 | 83.2 ± 6.3 B |
| Insulin (µU/mL) | 6 | 5.9 ± 2.3 | 35 | 17.1 ± 9.1 A | 14 | 6.1 ± 2.0 B |
| HOMA-IR | 6 | 1.3 ± 0.54 | 35 | 4.6 ± 3.2 A | 14 | 1.5 ± 0.76 B |
| C-peptide (ng/mL) | 3 | 1.34 ± 0.43 | 35 | 4.0 ± 1.5 A | 13 | 2.1 ± 0.57 B |
| LDL (mg/dL) | 7 | 101.7 ± 32.5 | 35 | 113.2 ± 41.2 | 14 | 118.7 ± 31.5 |
| HDL (mg/dL) | 7 | 67.0 ± 19.3 | 35 | 43.8 ± 10.9 A | 14 | 44.9 ± 14.6 A |
| Triglycerides (mg/dL) | 7 | 101.3 ± 52.7 | 35 | 124.8 ± 52.1 | 14 | 84.6 ± 26.5 B |
| Total cholesterol (mg/dL) | 7 | 189.0 ± 53.2 | 35 | 182.5 ± 40.3 | 14 | 180.6 ± 36.4 |
| Atherogenic index | 6 | 3.0 ± 0.61 | 35 | 4.5 ± 1.4 A | 14 | 4.4 ± 1.2 A |
| CRP (mg/dL) | 3 | 0.20 ± 0.23 | 35 | 1.0 ± 0.77 A | 14 | 0.64 ± 0.52 B |
| Leptin (ng/mL) | 6 | 2.6 ± 3.5 | 22 | 12.0 ± 6.0 A | 10 | 5.9 ± 5.2 B |
| Adiponectin (µg/mL) | 6 | 121.1 ± 57.9 | 22 | 86.2 ± 48.7 | 10 | 138.6 ± 121.9 |
| Insulin Sensitive (IS) | Insulin Resistant (IR) | |||
| HOMA-IR | <2 | ≥2 | ||
| Insulin Resistant Normoglycemic (IRn) | Pre-Diabetes (Pre-T2D) | Type 2 Diabetes (T2D) | ||
| Fasting glucose (mg/dL) | <100 | <125 | ≥125 | |
| HbA1c (%) | <5.7 | ≥5.70 and <6.49 | ≥6.5 | |
| Non-Type 2 Diabetes (nT2D) | ||||
| Metabolic Groups | |||||
|---|---|---|---|---|---|
| IS | IRn | Pre-T2 | T2D | ||
| Obesity Class | Class II | 3 | 0 | 2 | 2 |
| Class III | 2 | 4 | 3 | 4 | |
| Class IV | 0 | 5 | 2 | 8 | |
| Total | 5 | 9 | 7 | 14 | |
| Monoclonal Antibodies | |||||||||||
|---|---|---|---|---|---|---|---|---|---|---|---|
| TIM-3 | CD25 | CD4 | CD127 | CD3 | CD20 | CD8 | CXCR5 | CCR6 | PD-1 | CCR5 | |
| Fluorochrome | FITC | PE | PerCP-Cy5.5 | PE-Cy7 | APC | APC-R700 | APC-H7 | BV421 | BV510 | BV605 | BV711 |
| Clone | 7D3 | M-A251 | SK3 | HIL-7R-M21 | UCHT1 | 2H7 | SK1 | RF8B2 | 11A9 | EH12.1 | 2D7/CCR5 |
| Commercial source | BD Horizon | BD Pharmingen | BD Pharmingen | BD Pharmingen | BD Pharmingen | BD Horizon | BD Pharmingen | BD Horizon | BD Horizon | BD Horizon | BD Horizon |
Disclaimer/Publisher’s Note: The statements, opinions and data contained in all publications are solely those of the individual author(s) and contributor(s) and not of MDPI and/or the editor(s). MDPI and/or the editor(s) disclaim responsibility for any injury to people or property resulting from any ideas, methods, instructions or products referred to in the content. |
© 2024 by the authors. Licensee MDPI, Basel, Switzerland. This article is an open access article distributed under the terms and conditions of the Creative Commons Attribution (CC BY) license (https://creativecommons.org/licenses/by/4.0/).
Share and Cite
Barbosa, P.; Pinho, A.; Lázaro, A.; Paula, D.; Tralhão, J.G.; Paiva, A.; Pereira, M.J.; Carvalho, E.; Laranjeira, P. Bariatric Surgery Induces Alterations in the Immune Profile of Peripheral Blood T Cells. Biomolecules 2024, 14, 219. https://doi.org/10.3390/biom14020219
Barbosa P, Pinho A, Lázaro A, Paula D, Tralhão JG, Paiva A, Pereira MJ, Carvalho E, Laranjeira P. Bariatric Surgery Induces Alterations in the Immune Profile of Peripheral Blood T Cells. Biomolecules. 2024; 14(2):219. https://doi.org/10.3390/biom14020219
Chicago/Turabian StyleBarbosa, Pedro, Aryane Pinho, André Lázaro, Diogo Paula, José G. Tralhão, Artur Paiva, Maria J. Pereira, Eugenia Carvalho, and Paula Laranjeira. 2024. "Bariatric Surgery Induces Alterations in the Immune Profile of Peripheral Blood T Cells" Biomolecules 14, no. 2: 219. https://doi.org/10.3390/biom14020219
APA StyleBarbosa, P., Pinho, A., Lázaro, A., Paula, D., Tralhão, J. G., Paiva, A., Pereira, M. J., Carvalho, E., & Laranjeira, P. (2024). Bariatric Surgery Induces Alterations in the Immune Profile of Peripheral Blood T Cells. Biomolecules, 14(2), 219. https://doi.org/10.3390/biom14020219

