Fibroblast-Specific Protein-Protein Interactions for Myocardial Fibrosis from MetaCore Network
Abstract
1. Introduction
2. Data Sets and INFI Model Description
2.1. Network Data Sets
2.2. Without Formulas: Methods, Characteristics and Expected Network Results
2.3. Markov Chains, Google Matrix, PageRank and CheiRank
2.4. Ising Spin Network, Monte Carlo Process for INFI Model
3. Results
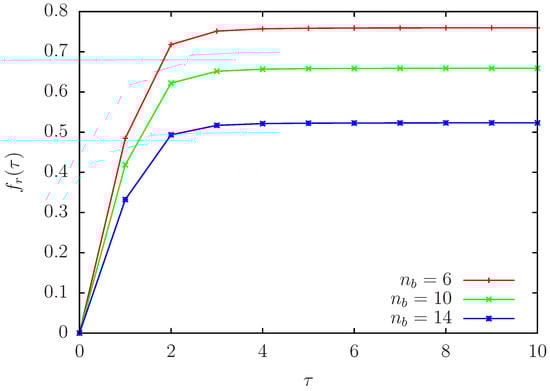
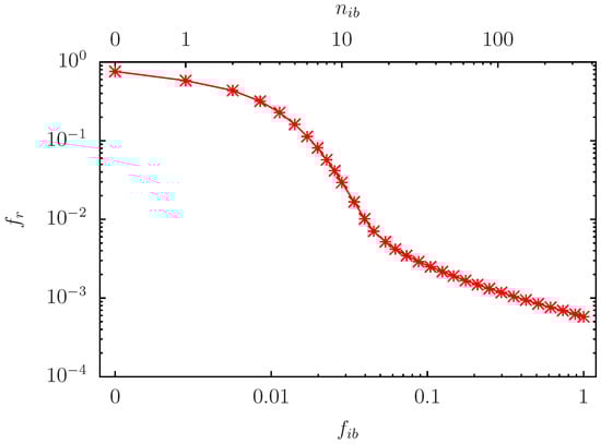
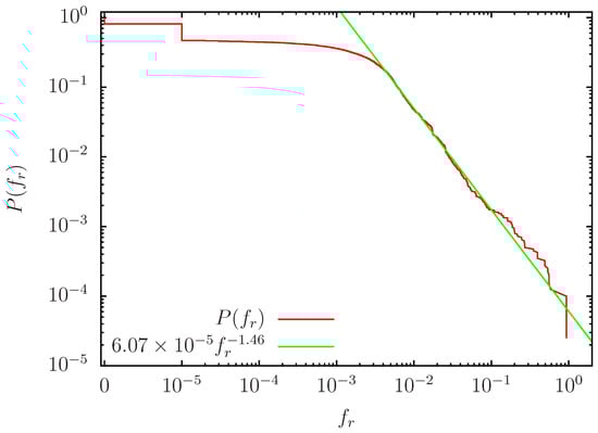
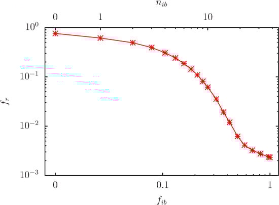
3.1. Numerical Results
3.2. Results Without Formulas
4. Discussion and Conclusions
Author Contributions
Funding
Institutional Review Board Statement
Informed Consent Statement
Data Availability Statement
Acknowledgments
Conflicts of Interest
Appendix A. Additional Figures







References
- Murtha, L.A.; Schuliga, M.J.; Mabotuwana, N.S.; Hardy, S.A.; Waters, D.W.; Burgess, J.K.; Knight, D.A.; Boyle, A.J. The processes and mechanisms of cardiac and pulmonary fibrosis. Front. Physiol. 2017, 8, 777. [Google Scholar] [CrossRef] [PubMed]
- Liu, T.; Song, D.; Dong, J.; Zhu, P.; Liu, J.; Liu, W.; Ma, X.; Zhao, L.; Ling, S. Current understanding of the pathophysiology of myocardial fibrosis and its quantitative assessment in heart failure. Front. Physiol. 2017, 8, 238. [Google Scholar] [CrossRef] [PubMed]
- Meng, X.-M.; Nikolic-Paterson, D.J.; Lan, H.Y. TGF-β: The master regulator of fibrosis. Nat. Rev. Nephrol. 2016, 12, 325–338. [Google Scholar] [CrossRef] [PubMed]
- Wynn, T.A. Cellular and molecular mechanisms of fibrosis. J. Pathol. 2008, 214, 199–210. [Google Scholar] [CrossRef]
- Miyazawa, K.; Itoh, Y.; Fu, H.; Miyazono, K. Receptor-activated transcription factors and beyond: Multiple modes of Smad2/3-dependent transmission of TGF-β signaling. J. Biol. Chem. 2024, 300, 107256. [Google Scholar] [CrossRef]
- Bujak, M.; Ren, G.; Kweon, H.J.; Dobaczewski, M.; Reddy, A.; Taffet, G.; Wang, X.-F.; Frangogiannis, N.G. Essential Role of Smad3 in Infarct Healing and in the Pathogenesis of Cardiac Remodeling. Circulation 2007, 116, 2127–2138. [Google Scholar] [CrossRef]
- Millet, C.; Zhang, Y.E. Roles of Smad3 in TGF-β Signaling During Carcinogenesis. Crit. Rev. Eukaryot. Gene Expr. 2007, 17, 281–293. [Google Scholar] [CrossRef]
- van Caam, A.; Madej, W.; Garcia de Vinuesa, A.; Goumans, M.-J.; ten Dijke, P.; Davidson, E.B.; van der Kraan, P. TGFβ1-induced SMAD2/3 and SMAD1/5 phosphorylation are both ALK5-kinase-dependent in primary chondrocytes and mediated by TAK1 kinase activity. Arthritis Res. Ther. 2017, 19, 112. [Google Scholar] [CrossRef]
- Pintus, S.S.; Sharipov, R.N.; Kel, A.; Timotin, A.; Keita, S.; Martinelli, I.; Boal, F.; Tronchere, H.; Kolpakov, F.; Kunduzova, O. Drug Repositioning for Cardiac Fibrosis Through Molecular Signature of Aberrant Fibroblast Activation. INSERM Prepr. 2021; to be published. Available online: https://www.quantware.ups-tlse.fr/QWLIB/fibrosisIsingnetwork/INSERMpreprint2021.pdf (accessed on 8 October 2024).
- Karimizadeh, E.; Sharifi-Zarchi, A.; Nikaein, H.; Salehi, S.; Salamatian, B.; Elmi, N.; Gharibdoost, F.; Mahmoudi, M. Analysis of gene expression profiles and protein-protein interaction networks in multiple tissues of systemic sclerosis. BMC Med. Genom. 2019, 12, 199. [Google Scholar] [CrossRef]
- Pchejetski, D.; Foussal, C.; Alfarano, C.; Lairez, O.; Calise, D.; Guilbeau-Frugier, C.; Schaak, S.; Seguelas, M.H.; Wanecq, E.; Valet, P.; et al. Apelin prevents cardiac fibroblast activation and collagen production through inhibition of sphingosine kinase 1. Eur. Heart J. 2012, 33, 2360–2369. [Google Scholar] [CrossRef]
- MetaCore. Available online: https://clarivate.com/cortellis/solutions/early-research-intelligence-solutions/ (accessed on 6 September 2024).
- Ekins, S.; Bugrim, A.; Brovold, L.; Kirillov, E.; Nikolsky, Y.; Rakhmatulin, E.; Sorokina, S.; Ryabov, A.; Serebryiskaya, T.; Melnikov, A.; et al. Algorithms for network analysis in systems-ADME/Tox using the MetaCore and MetaDrug platforms. Xenobiotica 2006, 36, 877–901. [Google Scholar] [CrossRef] [PubMed]
- Bessarabova, M.; Ishkin, A.; JeBailey, L.; Nikolskaya, T.; Nikolsky, Y. Knowledge-based analysis of proteomics data. BMC Bioinform. 2012, 13 (Suppl. 16), 13. [Google Scholar] [CrossRef] [PubMed]
- Kotelnikova, E.; Frahm, K.M.; Lages, J.; Shepelyansky, D.L. Statistical properties of the MetaCore network of protein-protein interactions. Appl. Netw. Sci. 2022, 7, 7. [Google Scholar] [CrossRef]
- Kotelnikova, E.; Frahm, K.M.; Shepelyansky, D.L.; Kunduzova, O. Fibrosis protein-protein interactions from Google matrix analysis of MetaCore network. Int. J. Mol. Sci. 2022, 23, 67. [Google Scholar] [CrossRef] [PubMed]
- Brin, S.; Page, L. The anatomy of a large-scale hypertextual Web search engine. Comput. Netw. ISDN Syst. 1998, 30, 107–117. [Google Scholar] [CrossRef]
- Langville, A.M.; Meyer, C.D. Google’s PageRank and Beyond: The Science of Search Engine Rankings; Princeton University Press: Princeton, NJ, USA, 2006. [Google Scholar]
- Ermann, L.; Frahm, K.M.; Shepelyansky, D.L. Google matrix analysis of directed networks. Rev. Mod. Phys. 2015, 87, 1261. [Google Scholar] [CrossRef]
- Dorogovtsev, S. Lectures in Complex Networks; Oxford University Press: Oxford, UK, 2010. [Google Scholar]
- Castellano, C.; Fortunato, S.; Loreto, V. Statistical physics of social dynamics. Rev. Mod. Phys. 2009, 81, 591–646. [Google Scholar] [CrossRef]
- Sznajd-Weron, K.; Sznajd, J. Opinion evolution in closed community. Int. J. Mod. Phys. C 2000, 11, 1157–1165. [Google Scholar] [CrossRef]
- Sood, V.; Redner, S. Voter Model on Heterogeneous Graphs. Phys. Rev. Lett. 2005, 94, 178701. [Google Scholar] [CrossRef]
- Watts, D.J.; Dodds, P.S. Influentials, Networks, and Public Opinion Formation. J. Consum. Res. 2007, 34, 441–458. [Google Scholar] [CrossRef]
- Galam, S. Sociophysics: A review of Galam models. Int. J. Mod. Phys. C 2008, 19, 409–440. [Google Scholar] [CrossRef]
- Schmittmann, B.; Mukhopadhyay, A. Opinion formation on adaptive networks with intensive average degree. Phys. Rev. E 2010, 82, 066104. [Google Scholar] [CrossRef] [PubMed]
- Kandiah, V.; Shepelyansky, D.L. PageRank model of opinion formation on social networks. Physica A 2012, 391, 5779. [Google Scholar] [CrossRef]
- Coquide, C.; Lages, J.; Shepelyansky, D.L. Opinion Formation in the World Trade Network. Entropy 2024, 25, 141. [Google Scholar] [CrossRef] [PubMed]
- Ermann, L.; Shepelyansky, D.L. Confrontation of capitalism and socialism in Wikipedia Networks. Information 2024, 15, 571. [Google Scholar] [CrossRef]
- Hopfield, J.J. Neural networks and physical systems with emergent collective computational abilities. Proc. Nat. Acad. Sci. USA 1982, 79, 2554–2558. [Google Scholar] [CrossRef]
- Benedetti, M.; Carillo, L.; Marinari, E.; Mezard, N. Eigenvector dreaming. J. Stat. Mech. 2024, 013302. [Google Scholar] [CrossRef]
- Albert, R.; Thakar, J. Boolean modeling: A logic-based dynamic approach for understanding signaling and regulatory networks and for making useful predictions. WIREs Syst. Biol. Med. 2014, 6, 353–369. [Google Scholar] [CrossRef]
- Tripathi, S.; Kessler, D.A.; Levine, H. Biological Networks Regulating Cell Fate Choice Are Minimally Frustrated. Phys. Rev. Lett. 2020, 125, 088101. [Google Scholar] [CrossRef]
- Frahm, K.M.; Shepelyansky, D.L. Poincare recurrences and Ulam method for the Chirikov standard map. Eur. Phys. J. B 2013, 86, 322. [Google Scholar] [CrossRef]
- TRANSPATH. Available online: https://genexplain.com/transpath/ (accessed on 6 September 2024).
- REACTOME. Available online: https://reactome.org/ (accessed on 6 September 2024).
- Yoon, J.; Jeon, T.; Kwon, J.A.; Yoon, S.Y. Characterization of MYC Rearrangements in Multiple Myeloma: An Optical Genome Mapping Approach. Blood Cancer J. 2024, 14, 165. [Google Scholar] [CrossRef] [PubMed]
- Wang, C.; Zhang, J.; Yin, J.; Gan, Y.; Xu, S.; Gu, Y.; Huang, W. Alternative approaches to target Myc for cancer treatment. Signal Transduct. Target. Ther. 2021, 6, 117. [Google Scholar] [CrossRef] [PubMed]
- Lama, D.; Vosselman, T.; Sahin, C.; Liano-Pons, J.; Cerrato, C.P.; Nilsson, L.; Teilum, K.; Lane, D.P.; Landreh, M.; Henniksson, M.A. A druggable conformational switch in the c-MYC transactivation domain. Nat. Commun. 2024, 15, 1865. [Google Scholar] [CrossRef] [PubMed]
- Liu, X.; Burke, R.M.; Lighthouse, J.K.; Baker, C.D.; Dirkx, R., Jr.; Kang, B.; Chakraborty, Y.; Mickelsen, D.M.; Twardowski, J.J.; Mello, S.S.; et al. p53 Regulates the Extent of Fibroblast Proliferation and Fibrosis in Left Ventricle Pressure Overload. Circ. Res. 2023, 133, 271–287. [Google Scholar] [CrossRef]
- Abuetabh, Y.; Wu, H.H.; Chai, C.; Al Yousef, H.; Persad, S.; Sergi, C.M.; Leng, R. DNA damage response revisited: The p53 family and its regulators provide endless cancer therapy opportunities. Exp. Mol. Med. 2022, 54, 1658–1669. [Google Scholar] [CrossRef]
- Zhu, F.; Li, Y.; Piano, C.; Liu, T.; Li, H.-H.; Du, J. Senescent Cardiac Fibroblast Is Critical for Cardiac Fibrosis after Myocardial Infarction. PLoS ONE 2013, 8, e74535. [Google Scholar] [CrossRef]
- Burgos Villar, K.N.; Liu, X.; Small, E.M. Transcriptional regulation of cardiac fibroblast phenotypic plasticity. Curr. Opin. Physiol. 2022, 28, 100556. [Google Scholar] [CrossRef]
- Hoffman, G.E.; Smith, M.S.; Verbalis, J.G. c-Fos and Related Immediate Early Gene Products as Markers of Activity in Neuroendocrine Systems. Front. Neuroendocrinol. 1993, 14, 173–213. [Google Scholar] [CrossRef]
- Fields, R.D. Signaling from Neural Impulses to Genes. Neuroscientist 1996, 2, 315–325. [Google Scholar] [CrossRef]
- Di Donato, M.; Zamagni, A.; Galasso, G.; Di Zazzo, E.; Giovannelli, P.; Barone, M.V.; Zanoni, M.; Gunelli, R.; Costantini, M.; Auricchio, F.; et al. The androgen receptor/filamin A complex as a target in prostate cancer microenvironment. Cell Death Dis. 2021, 12, 127. [Google Scholar] [CrossRef]
- Heldin, C.-H.; Mousatakas, A. Signaling Receptors for TGF-β Family Members. Cold Spring Harb. Perspect. Biol. 2016, 8, a022053. [Google Scholar] [CrossRef] [PubMed]
- Dennle, S.; Itoh, S.; Vivien, D.; ten Dijke, P.; Huet, S.; Gauthier, J.-M. Direct binding of Smad3 and Smad4 to critical TGF-β-inducible elements in the promoter of human plasminogen activator inhibitor-type 1 gene. EMBO J. 1998, 17, 3091–3100. [Google Scholar] [CrossRef] [PubMed]
- Yang, X.; Letterio, J.J.; Lechleider, R.J.; Chen, L.; Hayman, R.; Gu, H.; Roberts, A.B.; Deng, C. Targeted disruption of SMAD3 results in impaired mucosal immunity and diminished T cell responsiveness to TGF-β. EMBO J. 1999, 18, 1280–1291. [Google Scholar] [CrossRef] [PubMed]
- Tripathi, V.; Shin, J.-H.; Stuelten, C.H.; Zhang, Y.E. TGF-β-induced alternative splicing of TAK1 promotes EMT and drug resistance. Oncogene 2019, 38, 3185–3200. [Google Scholar] [CrossRef] [PubMed]
- Takaesu, G.; Surabhi, R.M.; Park, K.-J.; Ninomiya-Tsuji, J.; Matsumoto, K.; Gaynor, R.B. TAK1 is Critical for IkB Kinase-mediated Activation of the NF-kB Pathway. J. Mol. Biol. 2003, 326, 105–115. [Google Scholar] [CrossRef]
- Hirata, Y.; Takahashi, M.; Morishita, T.; Noguchi, T.; Matsuzawa, A. Post-Translational Modifications of the TAK1-TAB Complex. Int. J. Mol. Sci. 2017, 18, 205. [Google Scholar] [CrossRef]








| K | Protein | |||
|---|---|---|---|---|
| 1 | 10,780 | 26,299 | TGF- 0 | |
| 2 | 235 | 5690 | TGF- 1 | |
| 3 | 968 | 25,073 | TGF- 2 | |
| 4 | 4726 | 29,508 | TGF- 3 | |
| 5 | 28,737 | 25,928 | ADAMTS16 | |
| 6 | 3478 | 25,137 | FGF21 | |
| 7 | 40,048 | 28,152 | TNFSF18 | |
| 8 | 2467 | 19,160 | ACAN | |
| 9 | 1489 | 24,511 | RPH3A | |
| 10 | 26,600 | 29,559 | ADAMTS8 | |
| 11 | 34,769 | 39,960 | MEGF6 | |
| 12 | 26,295 | 27,326 | SV2B | |
| 13 | 27,111 | 36,021 | C1QTNF3 | |
| 14 | 34,616 | 39,841 | ANO4 | |
| 15 | 12,696 | 16,566 | IL11 | |
| 16 | 26,624 | 23,640 | CDH10 | |
| 17 | 7263 | 30,243 | HTR2B | |
| 18 | 4647 | 6551 | LAMA1-1 | |
| 19 | 8342 | 26,295 | LAMA1-2 | |
| 20 | 4021 | 8252 | RAPGEF4 | |
| 21 | 29,945 | 36,964 | DNER | |
| 22 | 22,159 | 8569 | GALNT3 | |
| 23 | 29,145 | 15,531 | ACSBG1 | |
| 24 | 24,786 | 8735 | OLFM2 | |
| 25 | 19,039 | 28,262 | CLEC3B | |
| 26 | 26,477 | 28,290 | SCARA5 | |
| 27 | 26,109 | 11,185 | SLC10A6 | |
| 28 | 6360 | 29,204 | CXCL5 | |
| 29 | 14,952 | 8729 | MYOC | |
| 30 | 5961 | 22,288 | IFITM1 | |
| 31 | 5599 | 4483 | ANGPTL4 | |
| 32 | 25,538 | 17,434 | SELENBP1 | |
| 33 | 18,938 | 33,179 | FMO1 | |
| 34 | 34,080 | 39,427 | GPR88 | |
| 35 | 6276 | 22,141 | HMGCS2 | |
| 36 | 37,060 | 28,328 | LGI2 | |
| 37 | 9162 | 2485 | PTN | |
| 38 | 513 | 5974 | ADORA2A | |
| 39 | 7789 | 22,652 | GFRA1 | |
| 40 | 6718 | 8844 | IL1R2-1 | |
| 41 | 35,446 | 28,306 | IL1R2-2 | |
| 42 | 12,148 | 3444 | PEG10 | |
| 43 | 27,829 | 36,195 | FMO2 | |
| 44 | 1973 | 24,994 | COX4I2 | |
| 45 | 3 | 13 | -catenin | |
| 46 | 4 | 6 | p53 | |
| 47 | 11 | 10 | ESR1 | |
| 48 | 13 | 25 | STAT3 | |
| 49 | 22 | 11 | RelA | |
| 50 | 38 | 82 | PPAR- | |
| 51 | 111 | 767 | IKK- | |
| 52 | 179 | 198 | SNAIL1 | |
| 53 | 237 | 1520 | MMP-14 | |
| 54 | 578 | 2123 | Flotillin-1 |
| K | Protein | ||||
|---|---|---|---|---|---|
| * | 1 | 17 | 1 | 0.010691 | c-Myc |
| * | 2 | 4 | 6 | 0.029542 | p53 |
| * | 3 | 342 | 7 | 0.038899 | c-Fos |
| 4 | 14 | 14 | 0.053526 | Androgen receptor | |
| 5 | 22 | 11 | 0.075088 | RelA (p65 NF-kB subunit) | |
| 6 | 94 | 34 | 0.07674 | HDAC1 | |
| 7 | 188 | 19 | 0.078157 | p300 | |
| 8 | 6272 | 3 | 0.078989 | IGF2BP3 | |
| 9 | 232 | 9 | 0.081749 | SP1 | |
| 10 | 64 | 29 | 0.083725 | HIF1A | |
| * | 11 | 3 | 13 | 0.083939 | -catenin |
| 12 | 203 | 21 | 0.13861 | E2F1 | |
| 13 | 728 | 5 | 0.14694 | SOX9 | |
| 14 | 432 | 24 | 0.14808 | BRG1 | |
| 15 | 8 | 115 | 0.15027 | EGFR | |
| 16 | 72 | 18 | 0.15149 | EZH2 | |
| 17 | 13 | 25 | 0.15649 | STAT3 | |
| 20 | 480 | 40 | 0.17501 | C/EBP | |
| 21 | 38 | 82 | 0.20211 | PPAR- | |
| 24 | 298 | 33 | 0.20997 | ELAVL1 (HuR) | |
| 26 | 394 | 37 | 0.22213 | CREB1 | |
| 31 | 6370 | 17 | 0.28502 | PUM2 | |
| 32 | 17,711 | 8 | 0.29183 | CUX1 (p110) |
Disclaimer/Publisher’s Note: The statements, opinions and data contained in all publications are solely those of the individual author(s) and contributor(s) and not of MDPI and/or the editor(s). MDPI and/or the editor(s) disclaim responsibility for any injury to people or property resulting from any ideas, methods, instructions or products referred to in the content. |
© 2024 by the authors. Licensee MDPI, Basel, Switzerland. This article is an open access article distributed under the terms and conditions of the Creative Commons Attribution (CC BY) license (https://creativecommons.org/licenses/by/4.0/).
Share and Cite
Frahm, K.M.; Kotelnikova, E.; Kunduzova, O.; Shepelyansky, D.L. Fibroblast-Specific Protein-Protein Interactions for Myocardial Fibrosis from MetaCore Network. Biomolecules 2024, 14, 1395. https://doi.org/10.3390/biom14111395
Frahm KM, Kotelnikova E, Kunduzova O, Shepelyansky DL. Fibroblast-Specific Protein-Protein Interactions for Myocardial Fibrosis from MetaCore Network. Biomolecules. 2024; 14(11):1395. https://doi.org/10.3390/biom14111395
Chicago/Turabian StyleFrahm, Klaus M., Ekaterina Kotelnikova, Oksana Kunduzova, and Dima L. Shepelyansky. 2024. "Fibroblast-Specific Protein-Protein Interactions for Myocardial Fibrosis from MetaCore Network" Biomolecules 14, no. 11: 1395. https://doi.org/10.3390/biom14111395
APA StyleFrahm, K. M., Kotelnikova, E., Kunduzova, O., & Shepelyansky, D. L. (2024). Fibroblast-Specific Protein-Protein Interactions for Myocardial Fibrosis from MetaCore Network. Biomolecules, 14(11), 1395. https://doi.org/10.3390/biom14111395

