Toll-like Receptor 2 as a Marker Molecule of Advanced Ovarian Cancer
Abstract
:1. Introduction
2. Materials and Methods
2.1. Patient Characteristics
2.2. Collection of Peripheral Blood and Peritoneal Fluid Samples
2.3. Flow Cytometry and Sample Preparation: Monocytes and Dendritic Cells
- □
- CD1c (BDCA-1) FITC/Pacific Blue anti-Human Lineage Cocktail (anti-CD3, CD14, CD16, CD19, CD20, CD56)/TLR2 PE (Biolegend, San Diego, CA, USA);
- □
- BDCA-2 FITC/CD123 Pe-Cy7/CD45 V450/TLR2 PE (Biolegend);
- □
- CD14 FITC/CD16 V450/HLA-DR Pe-Cy7 (BD Biosciences, San Jose, CA, USA) and TLR2 PE (Biolegend).
2.4. Flow Cytometry and Sample Preparation: Lymphocytes, Natural Killer and Natural Killer T-like Cells
- □
- CD19 FITC/CD3 PE;
- □
- CD4 FITC/CD8 PE/CD3 PerCP;
- □
- CD3 FITC/CD16 PE/CD56PE;
- □
- TLR 2 PE/CD4FITC;
- □
- TLR2PE/CD8FITC;
- □
- TLR2PE/CD19FITC (BD Biosciences, San Jose, CA, USA).
2.5. Measurement of TLR2 Concentration in Serum and Peritoneal Fluid
2.6. Statistical Analysis
3. Results
3.1. Characteristics of the Study and the Control Group
3.2. Dendritic Cells, Monocytes and Basic Peripheral Blood Lymphocyte Subsets and Expression of TLR2 Antigen in Patients with Ovarian Cancer and Control Group
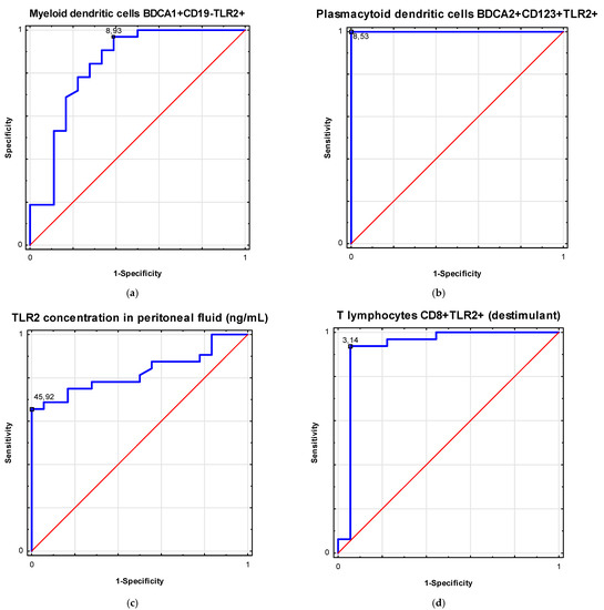
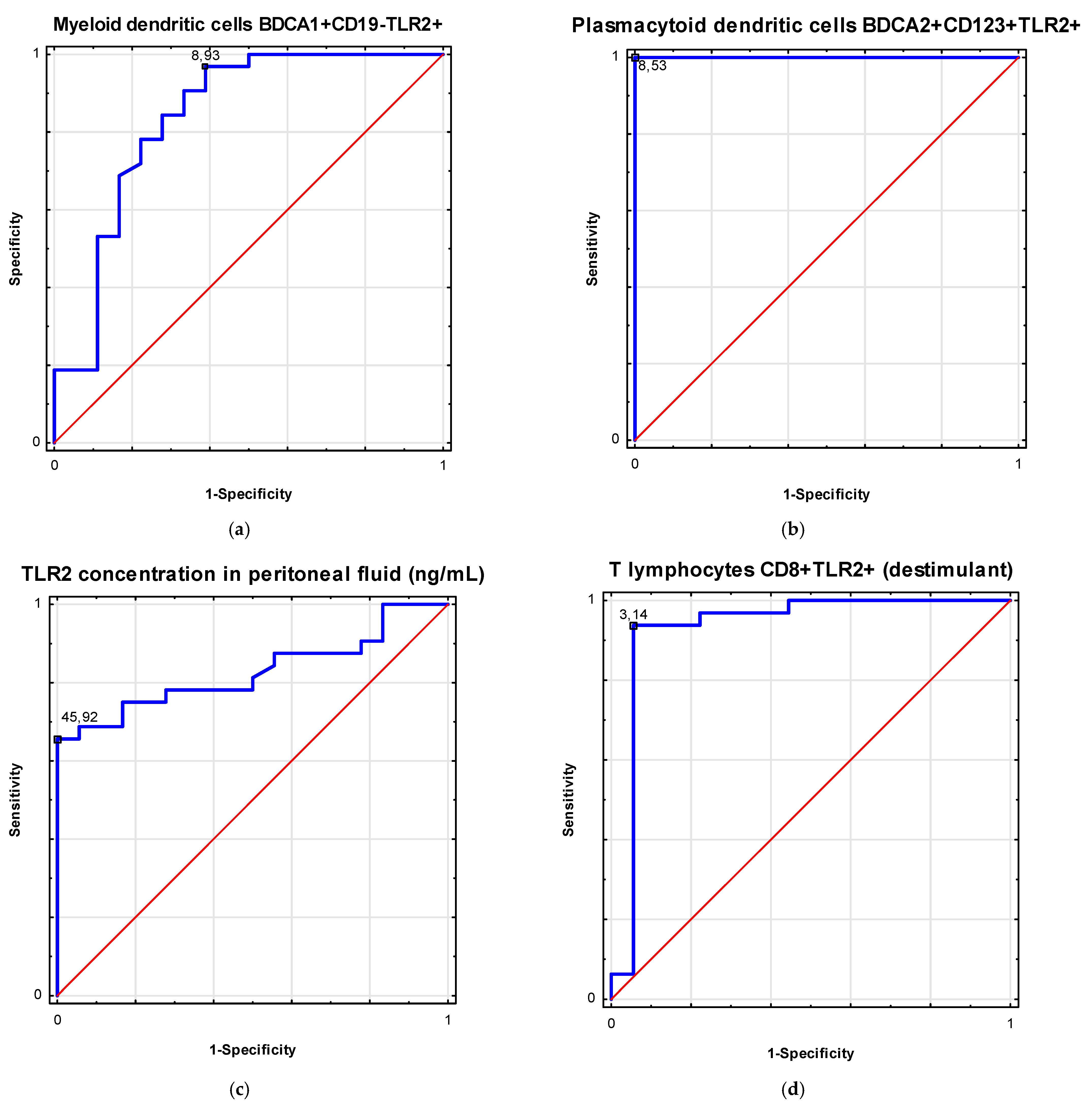
3.3. Receiver Operating Characteristic (ROC) Curve Analysis to Determine the Diagnostic Accuracy of TLR2 Expression on Myeloid Dendritic Cells, Plasmacytoid Dendritic Cells, Monocytes, T Lymphocytes and B Lymphocytes in Patients with Ovarian Cancer vs. Controls
4. Discussion
5. Conclusions
Author Contributions
Funding
Institutional Review Board Statement
Informed Consent Statement
Data Availability Statement
Conflicts of Interest
References
- Momenimovahed, Z.; Tiznobaik, A.; Taheri, S.; Salehiniya, H. Ovarian cancer in the world: Epidemiology and risk factors. Int. J. Womens Health 2019, 11, 287–299. [Google Scholar] [CrossRef] [Green Version]
- Bray, F.; Ferlay, J.; Soerjomataram, I.; Siegel, R.L.; Torre, L.A.; Jemal, A. Global cancer statistics 2018: GLOBOCAN estimates of incidence and mortality worldwide for 36 cancers in 185 countries. CA Cancer J. Clin. 2018, 68, 394–424. [Google Scholar] [CrossRef] [PubMed] [Green Version]
- Ferlay, J.; Soerjomataram, I.; Ervik, M.; Dikshit, R.; Eser, S.; Mathers, C.; Rebelo, M.; Parkin, D.M.; Forman, D.; Bray, F. Cancer incidence and mortality worldwide: Sources, methods and major patterns in GLOBOCAN 2012. Int. J. Cancer 2015, 136, E359–E386. [Google Scholar] [CrossRef]
- Saini, S.K.; Srivastava, S.; Singh, Y.; Dixit, A.K.; Prasad, S.N. Epidemiology of epithelial ovarian cancer, a single institution-based study in India. Clin. Cancer Investig. J. 2016, 5, 20–24. [Google Scholar] [CrossRef]
- Reid, B.M.; Permuth, J.B.; Sellers, T.A. Epidemiology of ovarian cancer: A review. Cancer Biol. Med. 2017, 14, 9–32. [Google Scholar] [CrossRef] [Green Version]
- Testa, U.; Petrucci, E.; Pasquini, L.; Castelli, G.; Pelosi, E. Ovarian Cancers: Genetic Abnormalities, Tumor Heterogeneity and Progression, Clonal Evolution and Cancer Stem Cells. Medicines 2018, 5, 16. [Google Scholar] [CrossRef] [Green Version]
- Escalona, R.M.; Bilandzic, M.; Western, P.; Kadife, E.; Kannourakis, G.; Findlay, J.K.; Ahmed, N. TIMP-2 regulates proliferation, invasion and STAT3-mediated cancer stem cell-dependent chemoresistance in ovarian cancer cells. BMC Cancer 2020, 20, 960. [Google Scholar] [CrossRef]
- Charkhchi, P.; Cybulski, C.; Gronwald, J.; Wong, F.O.; Narod, S.A.; Akbari, M.R. CA125 and Ovarian Cancer: A Comprehensive Review. Cancers 2020, 12, 3730. [Google Scholar] [CrossRef] [PubMed]
- Kehoe, S. FIGO staging in ovarian carcinoma and histological subtypes. J. Gynecol. Oncol. 2020, 31, e70. [Google Scholar] [CrossRef] [PubMed]
- American Cancer Society. Ovarian Cancer Stages. Available online: https://www.cancer.org/cancer/ovarian-cancer/detection-diagnosis-staging/staging.html (accessed on 7 April 2021).
- Moffitt, L.R.; Bilandzic, M.; Wilson, A.L.; Chen, Y.; Gorrell, M.D.; Oehler, M.K.; Plebanski, M.; Stephens, A.N. Hypoxia Regulates DPP4 Expression, Proteolytic Inactivation, and Shedding from Ovarian Cancer Cells. Int. J. Mol. Sci. 2020, 21, 8110. [Google Scholar] [CrossRef]
- Muccioli, M.; Benencia, F. Toll-like Receptors in Ovarian Cancer as Targets for Immunotherapies. Front. Immunol. 2014, 5, 341. [Google Scholar] [CrossRef] [PubMed]
- Di Lorenzo, A.; Bolli, E.; Tarone, L.; Cavallo, F.; Conti, L. Toll-Like Receptor 2 at the Crossroad between Cancer Cells, the Immune System, and the Microbiota. Int. J. Mol. Sci. 2020, 21, 9418. [Google Scholar] [CrossRef] [PubMed]
- Zhou, M.; McFarland-Mancini, M.M.; Funk, H.M.; Husseinzadeh, N.; Mounajjed, T.; Drew, A.F. Toll-like receptor expression in normal ovary and ovarian tumors. Cancer Immunol. Immunother. 2009, 58, 1375–1385. [Google Scholar] [CrossRef]
- Chefetz, I.; Alvero, A.B.; Holmberg, J.C.; Lebowitz, N.; Craveiro, V.; Yang-Hartwich, Y.; Yin, G.; Squillace, L.; Gurrea Soteras, M.; Aldo, P.; et al. TLR2 enhances ovarian cancer stem cell self-renewal and promotes tumor repair and recurrence. Cell Cycle 2013, 12, 511–521. [Google Scholar] [CrossRef] [PubMed] [Green Version]
- Prat, J. Staging classification for cancer of the ovary, fallopian tube, and peritoneum. Int. J. Gynecol. Obstet. 2014, 124, 1–5. [Google Scholar] [CrossRef]
- Kampan, N.C.; Madondo, M.T.; Reynolds, J.; Hallo, J.; McNally, O.M.; Jobling, T.W.; Stephens, A.N.; Quinn, M.A.; Plebanski, M. Pre-operative sera interleukin-6 in the diagnosis of high-grade serous ovarian cancer. Sci. Rep. 2020, 10, 2213. [Google Scholar] [CrossRef] [PubMed]
- Matulonis, U.A.; Sood, A.K.; Fallowfield, L.; Howitt, B.E.; Sehouli, J.; Karlan, B.Y. Ovarian Cancer. Nat. Rev. Dis. Primers 2016, 2, 16061. [Google Scholar] [CrossRef]
- Boban, S.; Downs, J.; Codde, J.; Cohen, P.A.; Bulsara, C. Women Diagnosed with Ovarian Cancer: Patient and Carer Experiences and Perspectives. Patient Relat. Outcome Meas. 2021, 12, 33–43. [Google Scholar] [CrossRef]
- Doubeni, C.A.; Doubeni, A.R.B.; Myers, A.E. Diagnosis and Management of Ovarian Cancer. Am. Fam. Physician 2016, 93, 937–944. [Google Scholar]
- Stewart, C.; Ralyea, C.; Lockwood, S. Ovarian Cancer: An Integrated Review. Semin. Oncol. Nurs. 2019, 35, 151–156. [Google Scholar] [CrossRef]
- Henderson, J.T.; Webber, E.M.; Sawaya, G.F. Screening for Ovarian Cancer: Updated Evidence Report and Systematic Review for the US Preventive Services Task Force. JAMA 2018, 319, 595–606. [Google Scholar] [CrossRef] [Green Version]
- Rosen, D.G.; Wang, L.; Atkinson, J.N.; Yu, Y.; Lu, K.H.; Diamandis, E.P.; Hellstrom Mok, S.C.; Liu, J.; Bast, R.C., Jr. Potential markers that complement expression of CA125 in epithelial ovarian cancer. Gynecol. Oncol. 2005, 99, 267–277. [Google Scholar] [CrossRef]
- Bast, R.C., Jr.; Skates, S.; Lokshin, A.; Moore, R.G. Differential diagnosis of a pelvic mass: Improved algorithms and novel biomarkers. Int. J. Gynecol. Cancer 2012, 22, 5–8. [Google Scholar] [CrossRef]
- Moore, R.G.; Miller, M.C.; Disilvestro, P.; Landrum, L.M.; Gajewski, W.; Ball, J.J.; Skates, S.J. Evaluation of the diagnostic accuracy of the risk of ovarian malignancy algorithm in women with a pelvic mass. Obstet. Gynecol. 2011, 118, 280–288. [Google Scholar] [CrossRef] [Green Version]
- Bhatelia, K.; Singh, K.; Singh, R. TLRs: Linking inflammation and breast cancer. Cell Signal. 2014, 26, 2350–2357. [Google Scholar] [CrossRef] [PubMed]
- Dajon, M.; Iribarren, K.; Cremer, I. Toll-like receptor stimulation in cancer: A pro- and anti-tumor double-edged sword. Immunobiology 2017, 222, 89–100. [Google Scholar] [CrossRef]
- Wang, Y.; Liu, S.; Zhang, Y.; Yang, J. Dysregulation of TLR2 Serves as a Prognostic Biomarker in Breast Cancer and Predicts Resistance to Endocrine Therapy in the Luminal B Subtype. Front. Oncol. 2020, 10, 547. [Google Scholar] [CrossRef] [PubMed]
- Li, C.; Ma, L.; Liu, Y.; Li, Z.; Wang, Q.; Chen, Z.; Geng, X.; Han, X.; Sun, J.; Li, Z. TLR2 Promotes Development and Progression of Human Glioma via Enhancing Autophagy. Gene 2019, 700, 52–59. [Google Scholar] [CrossRef] [PubMed]
- Halec, G.; Scott, M.E.; Farhat, S.; Darragh, T.M.; Moscicki, A.B. Toll-like receptors: Important immune checkpoints in the regression of cervical intra-epithelial neoplasia 2. Int. J. Cancer 2018, 143, 2884–2891. [Google Scholar] [CrossRef] [Green Version]
- Bodelon, C.; Madeleine, M.M.; Johnson, L.G.; Du, Q.; Galloway, D.A.; Malkki, M.; Petersdorf, E.W.; Schwartz, S.M. Genetic variation in the TLR and NK-kB pathways and cervical and vulvar cancer risk: A population-based case-control study. Int. J. Cancer 2014, 134, 437–444. [Google Scholar] [CrossRef] [Green Version]
- Pandey, N.O.; Chauhan, A.V.; Raithatha, N.S.; Patel, P.K.; Khandelwal, R.; Desai, A.N.; Choxi, Y.; Kapadia, R.S.; Jain, N.J. Association of TLR4 and TLR9 polymorphisms and haplotypes with cervical cancer susceptibility. Sci. Rep. 2019, 9, 9729. [Google Scholar] [CrossRef]
- Zom, G.G.; Welters, M.J.P.; Loof, N.M.; Gaedemans, R.; Lougheed, S.; Valentijn, R.R.P.M.; Zandvliet, M.L.; Meeuwenoord, N.J.; Melief, C.J.M.; de Gruijl, T.D.; et al. TLR2 ligand-synthetic long peptide conjugates effectively stimulate tumor-draining lymph node T cells of cervical cancer patients. Oncotarget 2016, 7, 67087–67100. [Google Scholar] [CrossRef] [PubMed] [Green Version]
- Lee, J.-W.; Choi, J.-J.; Seo, E.S.; Kim, M.J.; Kim, W.Y.; Choi, C.H.; Kim, T.-J.; Kim, B.G.; Song, S.Y.; Bae, D.-S. Increased toll-like receptor 9 expression in cervical neoplasia. Mol. Carcinog. 2007, 46, 941–947. [Google Scholar] [CrossRef]
- Hasimu, A.; Ge, L.; Li, Q.-Z.; Zhang, R.-P.; Guo, X. Expressions of Toll-like receptors 3, 4, 7, and 9 in cervical lesions and their correlation with HPV16 infection in Uighur women. Chin. J. Cancer 2011, 30, 344–350. [Google Scholar] [CrossRef] [PubMed]
- Vlad, C.; Dina, C.; Kubelac, P.; Vlad, D.; Pop, B.; Achimas Cadariu, P. Expression of toll-like receptors in ovarian cancer. J. BUON 2018, 23, 1725–1731. [Google Scholar] [PubMed]




| Parameter | Ovarian Cancer (n = 50) | Control Group (n = 30) | ||
|---|---|---|---|---|
| Mean ± SD/Median (Range) | Mean ± SD/Median (Range) | |||
| Age (years) | 54.1 ± 8.0 | 56.4 ± 10.1 | ||
| Ca-125 (U/mL) | 92.3 ± 45.9 | 13.8 ± 7.2 | ||
| CA 19-9 (U/mL) | 114.8 ± 55.8 | 17.3 ± 5.1 | ||
| Pregnancies | 1.0 (0–5) | 2.0 (0–7) | ||
| BMI | 27.6 (18–39) | 25.0 (18–36) | ||
| FIGO stage | N | % | N | % |
| IC | 8 | 16 | N/A | |
| IIA | 6 | 12 | ||
| IIB | 4 | 8 | ||
| IIIA1 | 7 | 14 | ||
| IIIA2 | 2 | 4 | ||
| IIIB | 2 | 4 | ||
| IIIC | 5 | 10 | ||
| IVA | 10 | 20 | ||
| IVB | 6 | 12 | ||
| Histotypes | N | % | N | % |
| Low-grade serous carcinoma | 15 | N/A | N/A | |
| Low-grade mucinous carcinoma | 3 | |||
| Low-grade endometrioid carcinoma | 5 | |||
| Undifferentiated carcinoma | 23 | |||
| Carcinosarcoma | 2 | |||
| Granulosa cell tumor | 1 | |||
| Parameter [%] | Ovarian Cancer Group (n = 50) | Healthy Control Group (n = 30) | t/Z Value | p-Value |
|---|---|---|---|---|
| Mean ± SD/Median (Range) | ||||
| White blood cells (103/mm3) | 8.2 ± 1.7 | 7.3 ± 0.65 | 2.8 | 0.0057 |
| Neutrophils (103/mm3) | 4.9 ± 1.5 | 4.26 ± 0.9 | 2.1 | 0.037 |
| Monocytes (103/mm3) | 0.51 ± 0.17 | 0.44 ± 0.12 | 1.8 | 0.069 |
| Lymphocytes (103/mm3) | 2.3 ± 0.7 | 2.5 ± 0.5 | −1.5 | 0.13 |
| Myeloid dendritic cells BDCA1+ CD19− | 0.26 (0.04–0.72) | 0.42 (0.12–0.69) | −2.5 | 0.012 |
| Plasmacytoid dendritic cells BDCA2+ CD123+ | 0.33 (0.14–0.99) | 0.26 (0.07–0.58) | 2.4 | 0.016 |
| Myeloid dendritic cells BDCA1+ CD19−/Plasmacytoid dendritic cells BDCA2+ CD123+ ratio | 0.74 (0.11–4.4) | 1.6 (0.37–5.3) | −3.5 | 0.0004 |
| Classical monocytes CD14+ CD16− | 87.0 ± 5.4 | 91.1 ± 3.3 | −4.3 | <0.0001 |
| Non-classical monocytes CD14+ CD16+ | 8.45 (2.3–20.5) | 4.6 (2.2–13.5) | 3.8 | 0.0001 |
| T lymphocytes CD3+ | 72.9 (62.0–79.9) | 71.5 (63.0–78.2) | 0.85 | 0.39 |
| B lymphocytes CD19+ | 11.0 (6.7–17.1) | 11.8 (6.5–17.0) | −0.97 | 0.33 |
| NK cells CD3− CD16+ CD56+ | 11.8 ± 4.3 | 14.6 ± 3.3 | −3.1 | 0.0024 |
| NKT-like cells CD3+ CD16+ CD56+ | 2.2 (0.2–10.1) | 3.3 (1.2–5.0) | −1.6 | 0.099 |
| T lymphocytes CD3+ CD4+ | 40.7 ± 5.7 | 40.4 ± 3.3 | 0.25 | 0.8 |
| T lymphocytes CD3+ CD8+ | 29.5 ± 5.5 | 30.4 ± 3.8 | −0.8 | 0.4 |
| T lymphocytes ratio CD3+ CD4+/T CD3+ CD8+ | 1.35 (0.73–3.0) | 1.3 (0.96–1.96) | 0.48 | 0.63 |
| Myeloid dendritic cells BDCA1+ CD19− TLR2+ | 17.1 (1.6–52.0) | 4.1 (1.25–10.0) | −2.5 | 0.012 |
| Plasmacytoid dendritic cells BDCA2+ CD123+ TLR2+ | 10.6 (2.5–43.9) | 5.4 (1.0–16.5) | 3.7 | 0.0002 |
| Classical monocytes CD14+ CD16− TLR2+ | 5.4 (2.3–30.3) | 4.0 (1.95–16.0) | 2.3 | 0.021 |
| Non-classical monocytes CD14+ CD16+ TLR2+ | 10.0 (1.5–35.8) | 4.7 (0.9–18.0) | 3.2 | 0.0014 |
| T lymphocytes CD4+ TLR2+ | 2.7 (0.3–24.1) | 0.82 (0.08–3.5) | 4.9 | <0.0001 |
| T lymphocytes CD8+ TLR2+ | 2.2 (0.3–24.0) | 1.1 (0.19–6.0) | 2.5 | 0.013 |
| B lymphocytes CD19+ TLR2+ | 3.8 (0.6–30.0) | 2.5 (0.17–6.9) | 2.5 | 0.012 |
| TLR2 concentration in serum (ng/mL) | 11.5 (2.5–74.9) | 3.6 (0.34–20.9) | 4.4 | <0.0001 |
| Factor | Parameter (%) | Prognostic Value | Youden Index | Area under the Curve (AUC) | 95% CI | p-Value |
|---|---|---|---|---|---|---|
| Ovarian cancer | T lymphocytes CD4+ TLR2+ | 0.99 | 0.55 | 0.83 | 0.74–0.92 | <0.0001 |
| Myeloid dendritic cells BDCA1+ CD19− TLR2+ | 10.24 | 0.74 | 0.86 | 0.78–0.94 | <0.0001 | |
| FIGO Stages III–IV | Myeloid dendritic cells BDCA1+ CD19− TLR2+ | 8.93 | 0.58 | 0.84 | 0.71–0.97 | <0.0001 |
| Plasmacytoid dendritic cells BDCA2+ CD123+ TLR2+ | 8.53 | 1.0 | 1.0 | 1.0 | <0.0001 | |
| TLR2 concentration in peritoneal fluid (ng/mL) | 45.92 | 0.66 | 0.83 | 0.71–0.94 | <0.0001 | |
| T lymphocytes CD8+TLR2+ (destimulant) | 3.14 | 0.88 | 0.93 | 0.83–1.0 | <0.0001 |
Publisher’s Note: MDPI stays neutral with regard to jurisdictional claims in published maps and institutional affiliations. |
© 2021 by the authors. Licensee MDPI, Basel, Switzerland. This article is an open access article distributed under the terms and conditions of the Creative Commons Attribution (CC BY) license (https://creativecommons.org/licenses/by/4.0/).
Share and Cite
Sobstyl, M.; Niedźwiedzka-Rystwej, P.; Hrynkiewicz, R.; Bębnowska, D.; Korona-Głowniak, I.; Pasiarski, M.; Sosnowska-Pasiarska, B.; Smok-Kalwat, J.; Góźdź, S.; Sobstyl, A.; et al. Toll-like Receptor 2 as a Marker Molecule of Advanced Ovarian Cancer. Biomolecules 2021, 11, 1205. https://doi.org/10.3390/biom11081205
Sobstyl M, Niedźwiedzka-Rystwej P, Hrynkiewicz R, Bębnowska D, Korona-Głowniak I, Pasiarski M, Sosnowska-Pasiarska B, Smok-Kalwat J, Góźdź S, Sobstyl A, et al. Toll-like Receptor 2 as a Marker Molecule of Advanced Ovarian Cancer. Biomolecules. 2021; 11(8):1205. https://doi.org/10.3390/biom11081205
Chicago/Turabian StyleSobstyl, Małgorzata, Paulina Niedźwiedzka-Rystwej, Rafał Hrynkiewicz, Dominika Bębnowska, Izabela Korona-Głowniak, Marcin Pasiarski, Barbara Sosnowska-Pasiarska, Jolanta Smok-Kalwat, Stanisław Góźdź, Anna Sobstyl, and et al. 2021. "Toll-like Receptor 2 as a Marker Molecule of Advanced Ovarian Cancer" Biomolecules 11, no. 8: 1205. https://doi.org/10.3390/biom11081205
APA StyleSobstyl, M., Niedźwiedzka-Rystwej, P., Hrynkiewicz, R., Bębnowska, D., Korona-Głowniak, I., Pasiarski, M., Sosnowska-Pasiarska, B., Smok-Kalwat, J., Góźdź, S., Sobstyl, A., Polkowski, W., Roliński, J., & Grywalska, E. (2021). Toll-like Receptor 2 as a Marker Molecule of Advanced Ovarian Cancer. Biomolecules, 11(8), 1205. https://doi.org/10.3390/biom11081205

