The Cytokine IL-1β and Piperine Complex Surveyed by Experimental and Computational Molecular Biophysics
Abstract
1. Introduction
2. Materials and Methods
2.1. Reagents
2.2. Steady-State Fluorescence Spectroscopy
2.3. Time-Resolved Fluorescence
2.4. Circular Dichroism Spectroscopy
2.5. Molecular Docking
2.6. Molecular Dynamics
3. Results and Discussion
3.1. Fluorescence Spectroscopy
3.2. Thermodynamic Analises
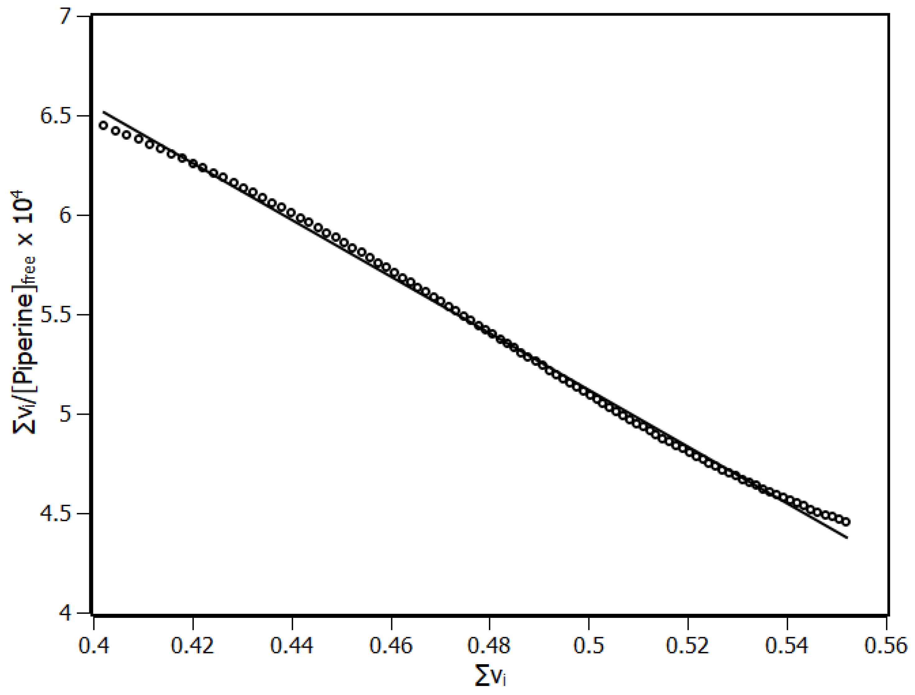
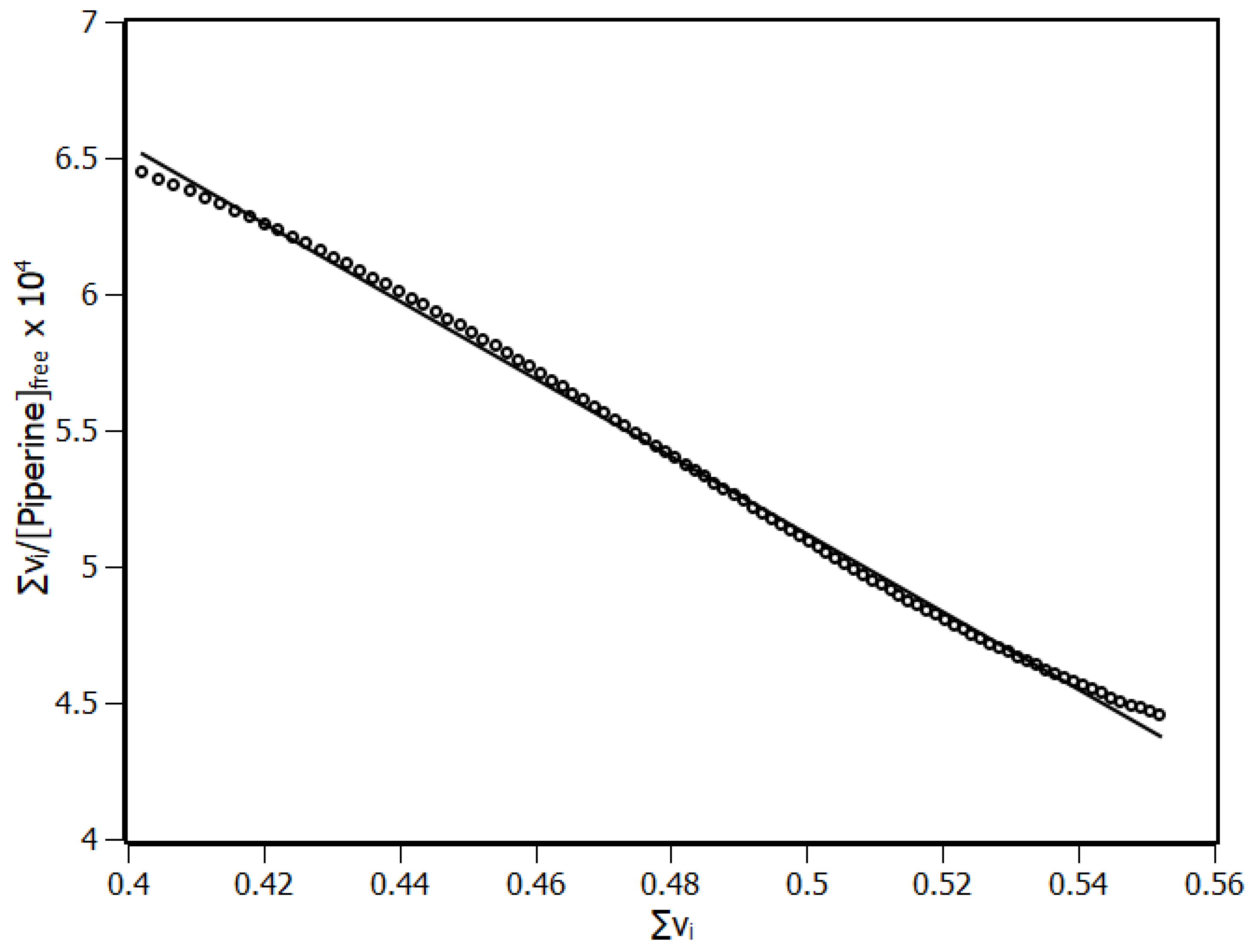
3.3. Interaction Density Function (IDF)
3.4. Circular Dichroism (CD)
3.5. Computational Modeling
4. Conclusions
Supplementary Materials
Author Contributions
Funding
Acknowledgments
Conflicts of Interest
References
- Rubartelli, A.; Cozzolino, F.; Talio, M.; Sitia, R. A novel secretory pathway for interleukin-1 beta, a protein lacking a signal sequence. Embo J. 1990, 9, 1503–1510. [Google Scholar] [CrossRef]
- Ying, X.; Chen, X.; Cheng, S.; Shen, Y.; Peng, L.; Xu, H.Z. Piperine inhibits IL-β induced expression of inflammatory mediators in human osteoarthritis chondrocyte. Int. Immunopharmacol. 2013, 17, 293–299. [Google Scholar] [CrossRef]
- Bang, J.S.; Choi, H.M.; Sur, B.J.; Lim, S.J.; Kim, J.Y.; Yang, H.I.; Yoo, M.C.; Hahm, D.H.; Kim, K.S. Anti-inflammatory and antiarthritic effects of piperine in human interleukin 1β-stimulated fibroblast-like synoviocytes and in rat arthritis models. Arthritis Res. Ther. 2009, 11, R49. [Google Scholar] [CrossRef] [PubMed]
- Meghwal, M.; Goswami, T.K. Piper nigrum and piperine: An update. Phyther. Res. 2013, 27, 1121–1130. [Google Scholar] [CrossRef] [PubMed]
- Zsila, F.; Hazai, E.; Sawyer, L. Binding of the pepper alkaloid piperine to bovine β-lactoglobulin: Circular dichroism spectroscopy and molecular modeling study. J. Agric. Food Chem. 2005, 53, 10179–10185. [Google Scholar] [CrossRef] [PubMed]
- Srinivasan, K. Black pepper and its pungent principle-piperine: A review of diverse physiological effects. Crit. Rev. Food Sci. Nutr. 2007, 47, 735–748. [Google Scholar] [CrossRef]
- Artese, A.; Cross, S.; Costa, G.; Distinto, S.; Parrotta, L.; Alcaro, S.; Ortuso, F.; Cruciani, G. Molecular interaction fields in drug discovery: Recent advances and future perspectives. Wiley Interdiscip. Rev. Comput. Mol. Sci. 2013, 3, 594–613. [Google Scholar] [CrossRef]
- Lakowicz, J.R. Principles of Fluorescence Spectroscopy; Kluwer Academic/Plenum Publishers: New York, NY, USA, 2004. [Google Scholar]
- Sreerama, N.; Woody, R.W. Estimation of protein secondary structure from circular dichroism spectra: Comparison of CONTIN, SELCON, and CDSSTR methods with an expanded reference set. Anal. Biochem. 2000, 287, 252–260. [Google Scholar] [CrossRef]
- Zazeri, G.; Povinelli, A.P.R.; Lima, M.D.; Cornélio, M.L. Experimental approaches and computational modeling of rat serum albumin and its interaction with piperine. Int. J. Mol. Sci. 2019, 20, 2856. [Google Scholar] [CrossRef]
- Morris, G.M.; Huey, R.; Lindstrom, W.; Sanner, M.F.; Belew, R.K.; Goodsell, D.S.; Olson, A.J. AutoDock4 and AutoDockTools4: Automated docking with selective receptor flexibility. J. Comput. Chem. 2009, 30, 2785–2791. [Google Scholar] [CrossRef]
- Zazeri, G.; Povinelli, A.P.R.; le Duff, C.S.; Tang, B.; Cornelio, M.L.; Jones, A.M. Synthesis and spectroscopic analysis of piperine-and piperlongumine-inspired natural product scaffolds and their molecular docking with IL-1β and NF-κB proteins. Molecules 2020, 25, 2841. [Google Scholar] [CrossRef] [PubMed]
- Humphrey, W.; Dalke, A.; Schulten, K. VMD: Visual molecular dynamics. J. Mol. Graph. 1996, 14, 33–38. [Google Scholar] [CrossRef]
- Wallace, A.C.; Laskowski, R.A.; Thornton, J.M. LIGPLOT: A program to generate schematic diagrams of protein-ligand interactions. Protein Eng. Des. Sel. 1995, 8, 127–134. [Google Scholar] [CrossRef] [PubMed]
- Oostenbrink, C.; Villa, A.; Mark, A.E.; van Gunsteren, W.F. A biomolecular force field based on the free enthalpy of hydration and solvation: The GROMOS force-field parameter sets 53A5 and 53A6. J. Comput. Chem. 2004, 25, 1656–1676. [Google Scholar] [CrossRef] [PubMed]
- van der Spoel, D.; Lindahl, E.; Hess, B.; Groenhof, G.; Mark, A.E.; Berendsen, H.J.C. GROMACS: Fast, flexible, and free. J. Comput. Chem. 2005, 26, 1701–1718. [Google Scholar] [CrossRef] [PubMed]
- Wu, Y.; Tepper, H.L.; Voth, G.A. Flexible simple point-charge water model with improved liquid-state properties. J. Chem. Phys. 2006, 124, 24503. [Google Scholar] [CrossRef] [PubMed]
- Bussi, G.; Donadio, D.; Parrinello, M. Canonical sampling through velocity rescaling. J. Chem. Phys. 2007, 126, 14101. [Google Scholar] [CrossRef]
- Hess, B.; Bekker, H.; Berendsen, H.J.C.; Fraaije, J.G.E.M. LINCS: A linear constraint solver for molecular simulations. J. Comput. Chem. 1997, 18, 1463–1472. [Google Scholar] [CrossRef]
- Batcho, P.F.; Case, D.A.; Schlick, T. Optimized particle-mesh Ewald/multiple-time step integration for molecular dynamics simulations. J. Chem. Phys. 2001, 115, 4003–4018. [Google Scholar] [CrossRef]
- Parrinello, M.; Rahman, A. Polymorphic transitions in single crystals: A new molecular dynamics method. J. Appl. Phys. 1981, 52, 7182–7190. [Google Scholar] [CrossRef]
- Roux, B. The calculation of the potential of mean force using computer simulations. Comput. Phys. Commun. 1995, 91, 275–282. [Google Scholar] [CrossRef]
- Kumar, S.; Rosenberg, J.M.; Bouzida, D.; Swendsen, R.H.; Kollman, P.A. The weighted histogram analysis method for free-energy calculations on biomolecules. I. The method. J. Comput. Chem. 1992, 13, 1011–1021. [Google Scholar] [CrossRef]
- Lakowicz, J.R.; Weber, G. Quenching of fluorescence by oxygen. Probe for structural fluctuations in macromolecules. Biochemistry 1973, 12, 4161–4170. [Google Scholar] [CrossRef] [PubMed]
- Povinelli, A.P.R.; Zazeri, G.; Cornélio, M.L. Molecular mechanism of flavonoids using fluorescence spectroscopy and computational tools. In Flavonoids—A Coloring Model for Cheering Up Life; IntechOpen: London, UK, 2019. [Google Scholar]
- Ross, P.D.; Subramanian, S. Thermodynamics of protein association reactions: Forces contributing to stability. Biochemistry 1981, 20, 3096–3102. [Google Scholar] [CrossRef]
- Povinelli, A.P.R.; Zazeri, G.; Lima, M.d.; Cornélio, M.L. Details of the cooperative binding of piperlongumine with rat serum albumin obtained by spectroscopic and computational analyses. Sci. Rep. 2019, 9, 1–11. [Google Scholar] [CrossRef]
- Lohman, T.M.; Bujalowski, W. Thermodynamic methods for model-independent determination of equilibrium binding isotherms for protein-DNA interactions: Spectroscopic approaches to monitor binding. Methods Enzymol. 1991, 208, 258–290. [Google Scholar]
- Scatchard, G. The attractions of proteins for small molecules and ions. Ann. N. Y. Acad. Sci. 1949, 51, 660–672. [Google Scholar] [CrossRef]
- Huang, J.J.; Newton, R.C.; Rutledge, S.J.; Horuk, R.; Matthew, J.B.; Covington, M.; Lin, Y. Characterization of murine IL-1 beta. Isolation, expression, and purification. J. Immunol. 1988, 140, 3838–3843. [Google Scholar]
- Craig, S.; Pain, H.R.; Schmeissner, U.; Vtrden, R.; Wingfield, T.P. Determination of the contributions of individual aromatic residues to the CD spectrum of IL-lβ using site directed mutagenesis. Int. J. Pept. Protein Res. 1989, 33, 256–262. [Google Scholar]











| Temperature (K) | Stern-Volmer (KSV) × 104 M−1 | Bimolecular (Kq) × 1012 M−1 s−1 | Binding (Ka) × 104 M−1 |
|---|---|---|---|
| 288 | 1.22 ± 0.05 | 2.54 ± 0.01 | 1.44 ± 0.06 |
| 298 | 2.32 ± 0.12 | 4.87 ± 0.01 | 2.41 ± 0.09 |
| 308 | 4.13 ± 0.16 | 8.59 ± 0.01 | 4.42 ± 0.12 |
| T (K) | ∆G (kJ/mol) | ∆H (kJ/mol) | T.∆S (kJ/mol) |
|---|---|---|---|
| 288 | −22.87 ± 0.10 | 41.26 ± 2.85 | 64.13 ± 2.88 |
| 298 | −25.09 ± 0.09 | 41.26 ± 2.85 | 66.36 ± 2.88 |
| 308 | −27.32 ± 0.07 | 41.26 ± 2.85 | 68.58 ± 2.88 |
| IL-1β | α-Helices (%) | β-Sheet (%) | Turns (%) | Coil (%) |
|---|---|---|---|---|
| Pure at 288 K | 4 | 39 | 22 | 35 |
| Pure at 298 K | 5 | 38 | 22 | 35 |
| Pure at 308 K | 4 | 39 | 23 | 34 |
| + piperine 288 K | 4 | 41 | 22 | 34 |
| + piperine 298 K | 5 | 40 | 23 | 32 |
| + piperine 308 K | 4 | 40 | 23 | 34 |
© 2020 by the authors. Licensee MDPI, Basel, Switzerland. This article is an open access article distributed under the terms and conditions of the Creative Commons Attribution (CC BY) license (http://creativecommons.org/licenses/by/4.0/).
Share and Cite
Zazeri, G.; Povinelli, A.P.R.; de Freitas Lima, M.; Cornélio, M.L. The Cytokine IL-1β and Piperine Complex Surveyed by Experimental and Computational Molecular Biophysics. Biomolecules 2020, 10, 1337. https://doi.org/10.3390/biom10091337
Zazeri G, Povinelli APR, de Freitas Lima M, Cornélio ML. The Cytokine IL-1β and Piperine Complex Surveyed by Experimental and Computational Molecular Biophysics. Biomolecules. 2020; 10(9):1337. https://doi.org/10.3390/biom10091337
Chicago/Turabian StyleZazeri, Gabriel, Ana Paula Ribeiro Povinelli, Marcelo de Freitas Lima, and Marinônio Lopes Cornélio. 2020. "The Cytokine IL-1β and Piperine Complex Surveyed by Experimental and Computational Molecular Biophysics" Biomolecules 10, no. 9: 1337. https://doi.org/10.3390/biom10091337
APA StyleZazeri, G., Povinelli, A. P. R., de Freitas Lima, M., & Cornélio, M. L. (2020). The Cytokine IL-1β and Piperine Complex Surveyed by Experimental and Computational Molecular Biophysics. Biomolecules, 10(9), 1337. https://doi.org/10.3390/biom10091337

