Interactions Under Crowding Milieu: Chemical-Induced Denaturation of Myoglobin is Determined by the Extent of Heme Dissociation on Interaction with Crowders
Abstract
1. Introduction
2. Materials and Methods
2.1. Materials
2.2. Methods
2.2.1. Preparation of Protein Solutions
2.2.2. Preparation of Working Solution of the Protein
2.2.3. Denaturant Stock Solution Preparations
2.2.4. Preparation of Crowder Stock Solution
2.2.5. Spectral Measurements and Analysis of Isothermal Transition Curves
Absorption Spectroscopy
Far-UV Circular Dichroism Spectroscopy
Analysis of Isothermal Denaturation Curves

2.2.6. Isothermal Titration Calorimetry
2.2.7. Computational Methods
3. Results
3.1. GdmCl- and Urea-Induced Mb Denaturation in the Absence and Presence of Ficoll 70 at Different pH Values
3.1.1. Absorption Measurements
3.1.2. Circular Dichroism Measurements
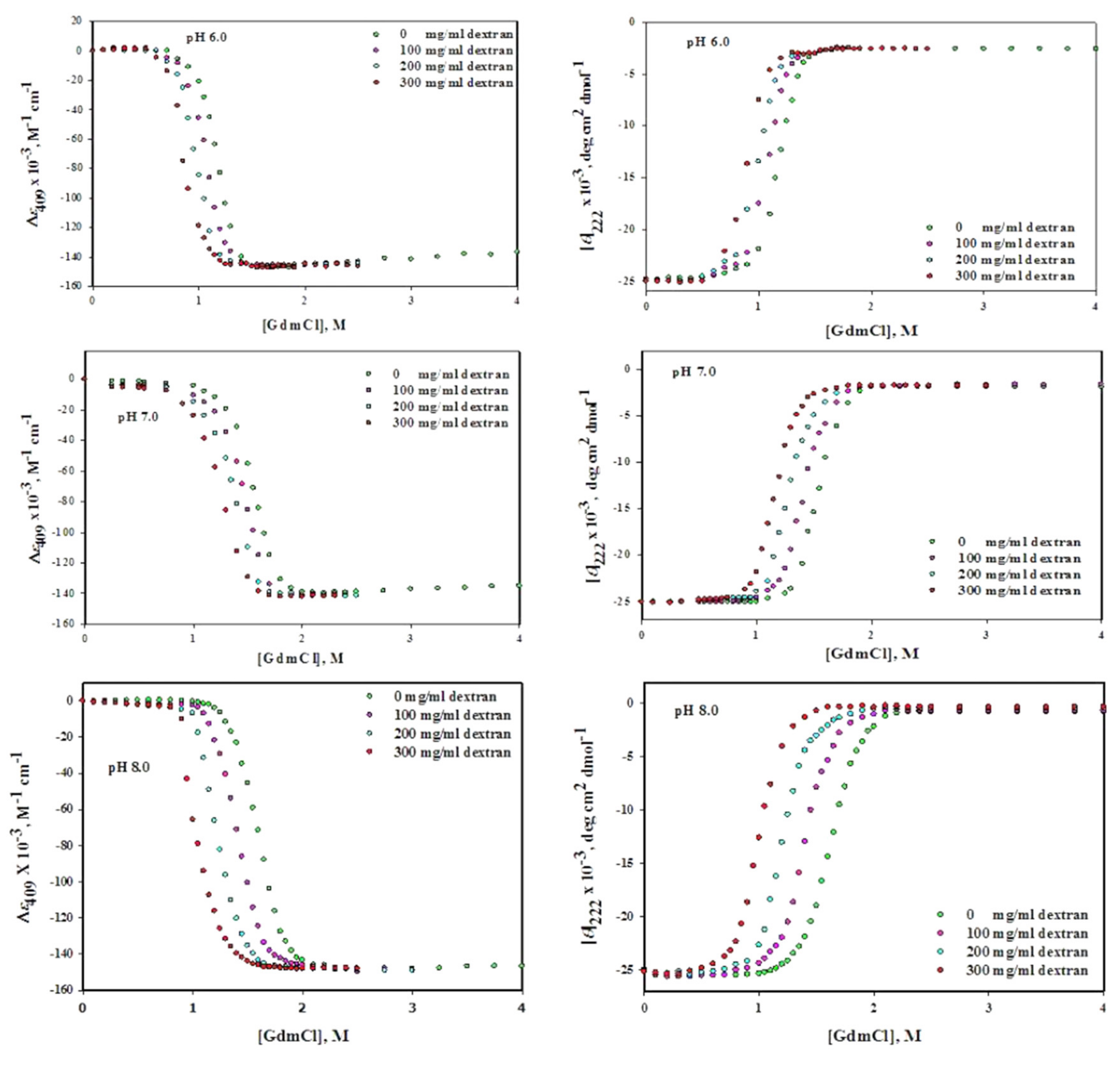
3.2. GdmCl-Induced and Urea-Induced Denaturation of Mb in the Absence and Presence of Dextran 70 at Different pH Values
3.2.1. Absorption Measurements
3.2.2. Circular Dichroism Measurements
3.3. Interaction Studies
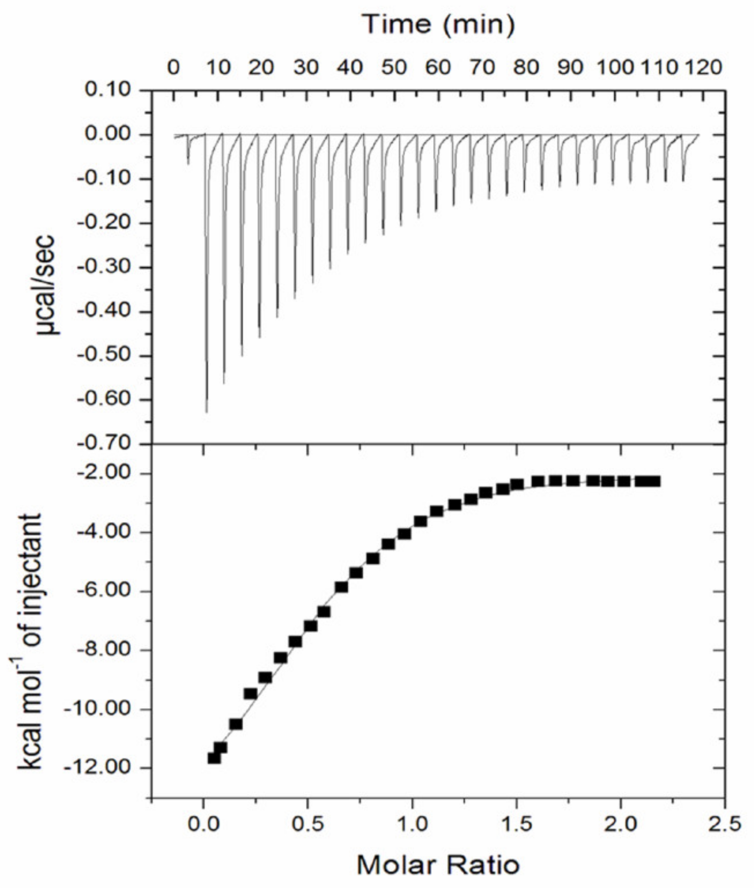
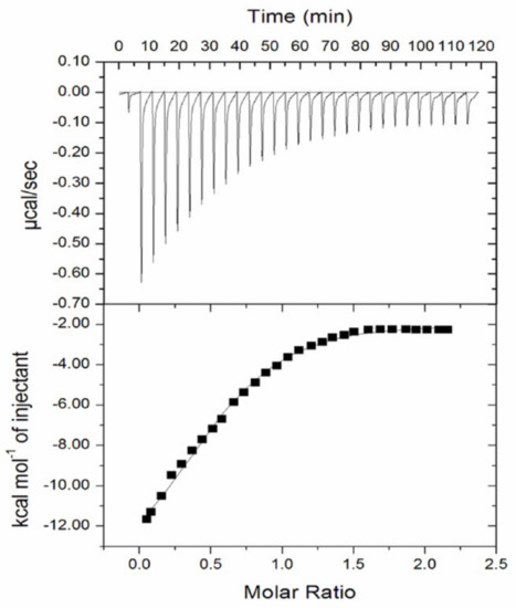
3.3.1. Isothermal Titration Calorimetry Measurements
3.3.2. Molecular Docking Studies
4. Discussions
5. Conclusions
Supplementary Materials
Author Contributions
Funding
Conflicts of Interest
References
- Ellis, R.J. Macromolecular crowding: Obvious but underappreciated. Trends Biochem. Sci. 2001, 26, 597–604. [Google Scholar] [CrossRef]
- Zhou, H.X.; Rivas, G.; Minton, A.P. Macromolecular crowding and confinement: Biochemical, biophysical, and potential physiological consequences. Annu. Rev. Biophys. 2008, 37, 375–397. [Google Scholar] [CrossRef] [PubMed]
- Kundu, J.; Kar, U.; Gautam, S.; Karmakar, S.; Chowdhury, P.K. Unusual effects of crowders on heme retention in myoglobin. FEBS Lett. 2015, 589, 3807–3815. [Google Scholar] [CrossRef] [PubMed]
- Parray, Z.A.; Ahmad, F.; Alajmi, M.F.; Hussain, A.; Hassan, M.I.; Islam, A. Formation of molten globule state in horse heart cytochrome c under physiological conditions: Importance of soft interactions and spectroscopic approach in crowded milieu. Int. J. Biol. Macromol. 2020, 148, 192–200. [Google Scholar] [CrossRef]
- Goodsell, D.S. Inside a living cell. Trends Biochem. Sci. 1991, 16, 203–206. [Google Scholar] [CrossRef]
- Samiotakis, A.; Wittung-Stafshede, P.; Cheung, M.S. Folding, stability and shape of proteins in crowded environments: Experimental and computational approaches. Int. J. Mol. Sci. 2009, 10, 572–588. [Google Scholar] [CrossRef]
- Kuznetsova, I.M.; Turoverov, K.K.; Uversky, V.N. What macromolecular crowding can do to a protein. Int. J. Mol. Sci. 2014, 15, 23090–23140. [Google Scholar] [CrossRef]
- Batra, J.; Xu, K.; Zhou, H.X. Nonadditive effects of mixed crowding on protein stability. Proteins 2009, 77, 133–138. [Google Scholar] [CrossRef]
- Sasahara, K.; McPhie, P.; Minton, A.P. Effect of dextran on protein stability and conformation attributed to macromolecular crowding. J. Mol. Biol. 2003, 326, 1227–1237. [Google Scholar] [CrossRef]
- Stagg, L.; Zhang, S.Q.; Cheung, M.S.; Wittung-Stafshede, P. Molecular crowding enhances native structure and stability of alpha/beta protein flavodoxin. Proc. Natl. Acad. Sci. USA 2007, 104, 18976–18981. [Google Scholar] [CrossRef]
- Perham, M.; Stagg, L.; Wittung-Stafshede, P. Macromolecular crowding increases structural content of folded proteins. FEBS Lett. 2007, 581, 5065–5069. [Google Scholar] [CrossRef] [PubMed]
- Engel, R.; Westphal, A.H.; Huberts, D.H.; Nabuurs, S.M.; Lindhoud, S.; Visser, A.J.; van Mierlo, C.P. Macromolecular crowding compacts unfolded apoflavodoxin and causes severe aggregation of the off-pathway intermediate during apoflavodoxin folding. J. Biol. Chem. 2008, 283, 27383–27394. [Google Scholar] [CrossRef] [PubMed]
- Homouz, D.; Perham, M.; Samiotakis, A.; Cheung, M.S.; Wittung-Stafshede, P. Crowded, cell-like environment induces shape changes in aspherical protein. Proc. Natl. Acad. Sci. USA 2008, 105, 11754–11759. [Google Scholar] [CrossRef] [PubMed]
- Wang, Y.; He, H.; Li, S. Effect of Ficoll 70 on thermal stability and structure of creatine kinase. Biochemistry (Moscow) 2010, 75, 648–654. [Google Scholar] [CrossRef]
- Mikaelsson, T.; Aden, J.; Johansson, L.B.; Wittung-Stafshede, P. Direct observation of protein unfolded state compaction in the presence of macromolecular crowding. Biophys. J. 2013, 104, 694–704. [Google Scholar] [CrossRef]
- Aden, J.; Wittung-Stafshede, P. Folding of an unfolded protein by macromolecular crowding in vitro. Biochemistry 2014, 53, 2271–2277. [Google Scholar] [CrossRef]
- Stepanenko, O.V.; Povarova, O.I.; Sulatskaya, A.I.; Ferreira, L.A.; Zaslavsky, B.Y.; Kuznetsova, I.M.; Turoverov, K.K.; Uversky, V.N. Protein unfolding in crowded milieu: What crowding can do to a protein undergoing unfolding? J. Biomol. Struct. Dyn. 2015. [Google Scholar] [CrossRef]
- Mittal, S.; Singh, L.R. Denatured state structural property determines protein stabilization by macromolecular crowding: A thermodynamic and structural approach. PLoS ONE 2013, 8, e78936. [Google Scholar] [CrossRef]
- Pozdnyakova, I.; Wittung-Stafshede, P. Non-linear effects of macromolecular crowding on enzymatic activity of multi-copper oxidase. Biochim. Biophys. Acta 2010, 1804, 740–744. [Google Scholar] [CrossRef]
- Sharma, G.S.; Mittal, S.; Singh, L.R. Effect of Dextran 70 on the thermodynamic and structural properties of proteins. Int. J. Biol. Macromol. 2015, 79, 86–94. [Google Scholar] [CrossRef]
- Zhu, J.; He, H.; Li, S. Macromolecular crowding enhances thermal stability of rabbit muscle creatine kinase. Tsinghua Sci. Technol. 2008, 13, 454–459. [Google Scholar] [CrossRef]
- Yuan, J.-M.; Chyan, C.-L.; Zhou, H.-X.; Chung, T.-Y.; Peng, H.; Ping, G.; Yang, G. The effects of macromolecular crowding on the mechanical stability of protein molecules. Protein Sci. A Publ. Protein Soc. 2008, 17, 2156–2166. [Google Scholar] [CrossRef] [PubMed]
- Cheung, M.S.; Klimov, D.; Thirumalai, D. Molecular crowding enhances native state stability and refolding rates of globular proteins. Proc. Natl. Acad. Sci. USA 2005, 102, 4753–4758. [Google Scholar] [CrossRef] [PubMed]
- Homouz, D.; Stagg, L.; Wittung-Stafshede, P.; Cheung, M.S. Macromolecular crowding modulates folding mechanism of alpha/beta protein apoflavodoxin. Biophys. J. 2009, 96, 671–680. [Google Scholar] [CrossRef] [PubMed]
- Christiansen, A.; Wang, Q.; Samiotakis, A.; Cheung, M.S.; Wittung-Stafshede, P. Factors defining effects of macromolecular crowding on protein stability: An in vitro/in silico case study using Cytochrome c. Biochemistry 2010, 49, 6519–6530. [Google Scholar] [CrossRef]
- Christiansen, A.; Wittung-Stafshede, P. Quantification of excluded volume effects on the folding landscape of Pseudomonas aeruginosa apoazurin in vitro. Biophys. J. 2013, 105, 1689–1699. [Google Scholar] [CrossRef]
- Zhang, D.L.; Wu, L.J.; Chen, J.; Liang, Y. Effects of macromolecular crowding on the structural stability of human alpha-lactalbumin. Acta Biochim. Biophys. Sin. (Shanghai) 2012, 44, 703–711. [Google Scholar] [CrossRef]
- Senske, M.; Törk, L.; Born, B.; Havenith, M.; Herrmann, C.; Ebbinghaus, S. Protein Stabilization by Macromolecular Crowding through Enthalpy Rather Than Entropy. J. Am. Chem. Soc. 2014, 136, 9036–9041. [Google Scholar] [CrossRef]
- Kulothungan, S.R.; Das, M.; Johnson, M.; Ganesh, C.; Varadarajan, R. Effect of crowding agents, signal peptide, and chaperone SecB on the folding and aggregation of E. coli maltose binding protein. Langmuir 2009, 25, 6637–6648. [Google Scholar] [CrossRef]
- Spencer, D.S.; Xu, K.; Logan, T.M.; Zhou, H.X. Effects of pH, salt, and macromolecular crowding on the stability of FK506-binding protein: An integrated experimental and theoretical study. J. Mol. Biol. 2005, 351, 219–232. [Google Scholar] [CrossRef]
- Kuhnert, D.C.; Gildenhuys, S.; Dirr, H.W. Effect of macromolecular crowding on the stability of monomeric glutaredoxin 2 and dimeric glutathione transferase A1-1. S. Afr. J. Sci. 2008, 104, 76–80. [Google Scholar]
- Aguilar, X.; Christoph, F.W.; Sparrman, T.; Wolf-Watz, M.; Wittung-Stafshede, P. Macromolecular crowding extended to a heptameric system: The Co-chaperonin protein 10. Biochemistry 2011, 50, 3034–3044. [Google Scholar] [CrossRef] [PubMed]
- Malik, A.; Kundu, J.; Mukherjee, S.K.; Chowdhury, P.K. Myoglobin unfolding in crowding and confinement. J. Phys. Chem. B 2012, 116, 12895–12904. [Google Scholar] [CrossRef]
- Haque, I.; Islam, A.; Singh, R.; Moosavi-Movahedi, A.A.; Ahmad, F. Stability of proteins in the presence of polyols estimated from their guanidinium chloride-induced transition curves at different pH values and 25 degrees C. Biophys. Chem. 2006, 119, 224–233. [Google Scholar] [CrossRef]
- Goto, Y.; Takahashi, N.; Fink, A.L. Mechanism of acid-induced folding of proteins. Biochemistry 1990, 29, 3480–3488. [Google Scholar] [CrossRef] [PubMed]
- Puett, D.; Friebele, E.; Wasserman, B.K. The equilibrium unfolding parameters of horse and sperm whale myoglobin: Effects of guanidine hydrochloride, urea, and acid. J. Biol. Chem. 1973, 248, 4623–4634. [Google Scholar] [PubMed]
- Nozaki, Y. The preparation of guanidine hydrochloride. Methods Enzymol. 1972, 26, 43–50. [Google Scholar] [CrossRef]
- Pace, C.N. Determination and analysis of urea and guanidine hydrochloride denaturation curves. Methods Enzymol. 1986, 131, 266–280. [Google Scholar]
- Hagel, P.; Gerding, J.J.T.; Fieggen, W.; Bloemendal, H. Cyanate formation in solutions of urea: I. Calculation of cyanate concentrations at different temperature and pH. Biochim. Biophys. Acta (BBA) Protein Struct. 1971, 243, 366–373. [Google Scholar] [CrossRef]
- Stark, G.R. Reactions of cyanate with functional groups of proteins. IV. Inertness of aliphatic hydroxyl groups. Formation of carbamyl- and acylhydantoins. Biochemistry 1965, 4, 2363–2367. [Google Scholar] [CrossRef]
- Fissell, W.H.; Hofmann, C.L.; Smith, R.; Chen, M.H. Size and conformation of Ficoll as determined by size-exclusion chromatography followed by multiangle light scattering. Am. J. Physiol. Renal. Physiol. 2010, 298, 21. [Google Scholar] [CrossRef] [PubMed]
- Saunders, G.A. Guide to multi-detector gel permeation chromatography. Agilent Technologies, Inc. Available online: https://www.agilent.com/cs/library/primers/Public/5990-7196EN.pdf (accessed on 19 July 2019).
- Greenfield, N.J. Using circular dichroism spectra to estimate protein secondary structure. Nat. Protoc. 2006, 1, 2876–2890. [Google Scholar] [CrossRef] [PubMed]
- Morris, G.M.; Huey, R.; Lindstrom, W.; Sanner, M.F.; Belew, R.K.; Goodsell, D.S.; Olson, A.J. AutoDock4 and AutoDockTools4: Automated docking with selective receptor flexibility. J. Comput. Chem. 2009, 30, 2785–2791. [Google Scholar] [CrossRef] [PubMed]
- Creighton, T.E. Characterizing intermediates in protein folding. Curr. Biol. 1991, 1, 8–10. [Google Scholar] [CrossRef]
- Nasreen, K.; Ahamad, S.; Ahmad, F.; Hassan, M.I.; Islam, A. Macromolecular crowding induces molten globule state in the native myoglobin at physiological pH. Int. J. Biol. Macromol. 2018, 106, 130–139. [Google Scholar] [CrossRef]
- Gibson, Q.H.; Antonini, E. Kinetic studies on the reaction between native globin and haem derivatives. Biochem. J. 1960, 77, 328–341. [Google Scholar] [CrossRef]
- Rose, M.Y.; Olson, J.S. The kinetic mechanism of heme binding to human apohemoglobin. J. Biol. Chem. 1983, 258, 4298–4303. [Google Scholar]
- Griko, Y.V.; Privalov, P.L.; Venyaminov, S.Y.; Kutyshenko, V.P. Thermodynamic study of the apomyoglobin structure. J. Mol. Biol. 1988, 202, 127–138. [Google Scholar] [CrossRef]
- Hughson, F.M.; Baldwin, R.L. Use of site-directed mutagenesis to destabilize native apomyoglobin relative to folding intermediates. Biochemistry 1989, 28, 4415–4422. [Google Scholar] [CrossRef]
- Hargrove, M.S.; Krzywda, S.; Wilkinson, A.J.; Dou, Y.; Ikeda-Saito, M.; Olson, J.S. Stability of myoglobin: A model for the folding of heme proteins. Biochemistry 1994, 33, 11767–11775. [Google Scholar] [CrossRef]
- Tanford, C. Protein denaturation. C. Theoretical models for the mechanism of denaturation. Adv. Protein Chem. 1970, 24, 1–95. [Google Scholar] [PubMed]
- Minton, A.P. The effect of volume occupancy upon the thermodynamic activity of proteins: Some biochemical consequences. Mol. Cell. Biochem. 1983, 55, 119–140. [Google Scholar] [CrossRef] [PubMed]
- Minton, A.P. How can biochemical reactions within cells differ from those in test tubes? J. Cell Sci. 2006, 119, 2863–2869. [Google Scholar] [CrossRef] [PubMed]
- Minton, A.P. Implications of macromolecular crowding for protein assembly. Curr. Opin. Struct. Biol. 2000, 10, 34–39. [Google Scholar] [CrossRef]
- Minton, A.P. Effect of a concentrated “inert” macromolecular cosolute on the stability of a globular protein with respect to denaturation by heat and by chaotropes: A statistical-thermodynamic model. Biophys. J. 2000, 78, 101–109. [Google Scholar] [CrossRef]
- Parray, Z.A.; Shahid, S.; Ahmad, F.; Hassan, M.I.; Islam, A. Characterization of intermediate state of myoglobin in the presence of PEG 10 under physiological conditions. Int. J. Biol. Macromol. 2017, 99, 241–248. [Google Scholar] [CrossRef]
- Parray, Z.A.; Ahamad, S.; Ahmad, F.; Hassan, M.I.; Islam, A. First evidence of formation of pre-molten globule state in myoglobin: A macromolecular crowding approach towards protein folding in vivo. Int. J. Biol. Macromol. 2019, 126, 1288–1294. [Google Scholar] [CrossRef]
- Gupta, R.; Yadav, S.; Ahmad, F. Protein stability: Urea-Induced versus guanidine-induced unfolding of metmyoglobin. Biochemistry 1996, 35, 11925–11930. [Google Scholar] [CrossRef]
- Nishii, I.; Kataoka, M.; Goto, Y. Thermodynamic stability of the molten globule states of apomyoglobin. J. Mol. Biol. 1995, 250, 223–238. [Google Scholar] [CrossRef]
- Rahman, S.; Ali, S.A.; Islam, A.; Hassan, M.I.; Ahmad, F. Data on the role of accessible surface area on osmolytes-induced protein stabilization. Data Br. 2017, 10, 47–56. [Google Scholar] [CrossRef]
- Rahman, S.; Ali, S.A.; Islam, A.; Hassan, M.I.; Ahmad, F. Testing the dependence of stabilizing effect of osmolytes on the fractional increase in the accessible surface area on thermal and chemical denaturations of proteins. Arch. Biochem. Biophys. 2016, 591, 7–17. [Google Scholar] [CrossRef] [PubMed]
- Rishi, V.; Anjum, F.; Ahmad, F.; Pfeil, W. Role of non-compatible osmolytes in the stabilization of proteins during heat stress. Biochem. J. 1998, 329 Pt 1, 137–143. [Google Scholar] [CrossRef]
- Anjum, F.; Rishi, V.; Ahmad, F. Compatibility of osmolytes with gibbs energy of stabilization of proteins. Biochim. Biophys. Acta (BBA) Protein Struct. Mol. Enzymol. 2000, 1476, 75–84. [Google Scholar] [CrossRef]
- Homchaudhuri, L.; Sarma, N.; Swaminathan, R. Effect of crowding by dextrans and Ficolls on the rate of alkaline phosphatase-catalyzed hydrolysis: A size-dependent investigation. Biopolymers 2006, 83, 477–486. [Google Scholar] [CrossRef] [PubMed]
- Shahid, S.; Hassan, M.I.; Islam, A.; Ahmad, F. Size-dependent studies of macromolecular crowding on the thermodynamic stability, structure and functional activity of proteins: In vitro and in silico approaches. Biochim. Biophys. Acta 2017, 1861, 178–197. [Google Scholar] [CrossRef] [PubMed]
- You, Y.; Liu, F.; Du, K.-J.; Wen, G.-B.; Lin, Y.-W. Structural and functional alterations of myoglobin by glucose-protein interactions. J. Mol. Model. 2014, 20, 2358. [Google Scholar] [CrossRef]
- Benton, L.A.; Smith, A.E.; Young, G.B.; Pielak, G.J. Unexpected effects of macromolecular crowding on protein stability. Biochemistry 2012, 51, 9773–9775. [Google Scholar] [CrossRef]
- Jiao, M.; Li, H.-T.; Chen, J.; Minton, A.P.; Liang, Y. Attractive protein-polymer interactions markedly alter the effect of macromolecular crowding on protein association equilibria. Biophys. J. 2010, 99, 914–923. [Google Scholar] [CrossRef]
- Dannenberg, J.J. An Introduction to Hydrogen Bonding by George A. Jeffrey (University of Pittsburgh); Oxford University Press: New York, NY, USA; Oxford, UK, 1997; ISBN 0-19-509549-9. [Google Scholar]
- Sankaranarayanan, K.; Meenakshisundaram, N. Influence of Ficoll on urea induced denaturation of fibrinogen. AIP Adv. 2016, 6, 035130. [Google Scholar] [CrossRef]
- Lee, J.C.; Lee, L.L. Preferential solvent interactions between proteins and polyethylene glycols. J. Biol. Chem. 1981, 256, 625–631. [Google Scholar]
- Lee, L.L.Y.; Lee, J.C. Thermal stability of proteins in the presence of poly (ethylene glycols). Biochemistry 1987, 26, 7813–7819. [Google Scholar] [CrossRef] [PubMed]
- Minton, A.P.; Wilf, J. Effect of macromolecular crowding upon the structure and function of an enzyme: Glyceraldehyde-3-phosphate dehydrogenase. Biochemistry 1981, 20, 4821–4826. [Google Scholar] [CrossRef] [PubMed]
- Elcock, A.H. Models of macromolecular crowding effects and the need for quantitative comparisons with experiment. Curr. Opin. Struct. Biol. 2010, 20, 196–206. [Google Scholar] [CrossRef] [PubMed]
- McGuffee, S.R.; Elcock, A.H. Diffusion, Crowding & protein stability in a dynamic molecular model of the bacterial cytoplasm. PLoS Comput. Biol. 2010, 6, e1000694. [Google Scholar] [CrossRef]
- Wang, Y.; Sarkar, M.; Smith, A.E.; Krois, A.S.; Pielak, G.J. Macromolecular crowding and protein stability. J. Am. Chem. Soc. 2012, 134, 16614–16618. [Google Scholar] [CrossRef]
- Asakura, S.; Oosawa, F. Interaction between particles suspended in solutions of macromolecules. J. Polym. Sci. 1958, 33, 183–192. [Google Scholar] [CrossRef]
- Kim, Y.C.; Mittal, J. Crowding induced entropy-enthalpy compensation in protein association equilibria. Phys. Rev. Lett. 2013, 110, 208102. [Google Scholar] [CrossRef]
- Sapir, L.; Harries, D. Is the depletion force entropic? Molecular crowding beyond steric interactions. Curr. Opin. Coll. Interface Sci. 2015, 20, 3–10. [Google Scholar] [CrossRef]
- Minton, A.P. Excluded volume as a determinant of macromolecular structure and reactivity. Biopolymers 1981, 20, 2093–2120. [Google Scholar] [CrossRef]
- Makhatadze, G.I.; Privalov, P.L. Protein interactions with urea and guanidinium chloride. A calorimetric study. J. Mol. Biol. 1992, 226, 491–505. [Google Scholar] [CrossRef]





| pH | [Ficoll 70] mg/mL | GdmCl-Induced Denaturation | Urea-Induced Denaturation | ||
|---|---|---|---|---|---|
| ΔGD°(kcal mol−1) | Cm[M] | ΔGD°(kcal mol−1) | Cm[M] | ||
| 6 | 0 | 10.13 ± 0.11 (10.15 ± 0.12) * | 1.26 ± 0.04 (1.25 ± 0.05) * | 10.25 ± 0.18 (10.23±0.15) * | 3.99 ± 0.05 (4.00 ± 0.04) * |
| 100 | 9.70 ± 0.18 | 1.15 ± 0.06 | 9.75 ± 0.15 | 3.60 ± 0.03 | |
| 200 | 9.22 ± 0.12 | 1.00 ± 0.05 | 9.31 ± 0.11 | 3.30 ± 0.04 | |
| 300 | 8.78 ± 0.13 | 0.95 ± 0.05 | 8.72 ± 0.10 | 3.07 ± 0.06 | |
| 7 | 0 | 11.10 ± 0.14 (11.13 ± 0.16) * | 1.53 ± 0.03 (1.56 ± 0.02) * | 10.95 ± 0.15 (10.98 ± 0.13) * | 5.10 ± 0.04 (5.09 ± 0.05) * |
| 100 | 10.34 ± 0.15 | 1.4 ± 0.04 | 10.38 ± 0.16 | 4.63 ± 0.05 | |
| 200 | 9.87 ± 0.11 | 1.2 ± 0.05 | 9.87 ± 0.14 | 4.15 ± 0.06 | |
| 300 | 9.08 ± 0.14 | 1.1 ± 0.03 | 9.11 ± 0.13 | 3.58 ± 0.04 | |
| 8 | 0 | 10.23 ± 0.15 (10.21 ± 0.13) * | 1.82 ± 0.04 (1.81 ± 0.03) * | 10.25 ± 0.11 (10.23 ± 0.14) * | 5.83 ± 0.04 (5.85 ± 0.03) * |
| 100 | 9.76 ± 0.11 | 1.7 ± 0.03 | 9.71 ± 0.18 | 5.46 ± 0.05 | |
| 200 | 9.28 ± 0.13 | 1.65 ± 0.04 | 9.28 ± 0.13 | 5.04 ± 0.05 | |
| 300 | 8.81 ± 0.14 | 1.60 ± 0.05 | 8.81 ± 0.16 | 4.75 ± 0.06 | |
| pH | [Dextran 70] mg/mL | GdmCl-Induced Denaturation | Urea-Induced Denaturation | ||
|---|---|---|---|---|---|
| ΔGD°(kcal mol−1) | Cm[M] | ΔGD°(kcal mol−1) | Cm[M] | ||
| 6 | 0 | 10.13 ± 0.11 (10.15 ± 0.12) * | 1.26 ± 0.04 (1.25 ± 0.05) * | 10.25 ± 0.18 (10.23±0.15) * | 3.99 ± 0.05 (4.00 ± 0.04) * |
| 100 | 9.85 ± 0.15 (9.85 ± 0.14) * | 1.04 ± 0.02 (1.05 ± 0.03) * | 9.88 ± 0.13 (9.83 ± 0.12) * | 3.60 ± 0.03 (3.65 ± 0.02) * | |
| 200 | 9.44 ± 0.14 (9.43 ± 0.13) * | 0.98 ± 0.02 (0.98 ± 0.03) * | 9.34 ± 0.14 (9.31 ± 0.12) * | 3.10 ±0.02 (3.13 ± 0.03) * | |
| 300 | 9.05 ± 0.13 (9.05 ± 0.14) * | 0.85 ± 0.03 (0.85 ± 0.02) * | 9.11 ± 0.13 (9.10 ± 0.14) * | 3.70 ± 0.03 (3.71 ± 0.02) * | |
| 7 | 0 | 11.10 ± 0.14 (11.13 ± 0.16) * | 1.53 ± 0.03 (1.56 ± 0.02) * | 10.95 ± 0.15 (10.98 ± 0.13) * | 5.10 ± 0.04 (5.09 ± 0.05) * |
| 100 | 10.55 ± 0.13 (10.57 ± 0.16) * | 1.47 ± 0.02 (1.46 ± 0.03) * | 10.53 ± 0.16 (10.52 ± 0.18) * | 4.71 ± 0.03 (4.70 ± 0.03) * | |
| 200 | 10.11 ± 0.12 (10.10 ± 0.11) * | 1.35 ± 0.01 (1.34 ± 0.04) * | 10.17 ± 0.14 (10.14 ± 0.13) * | 4.34 ± 0.03 (4.35 ± 0.02) * | |
| 300 | 9.68 ± 0.13 (9.65 ± 0.12) * | 1.15 ± 0.03 (1.16 ± 0.02) * | 9.72 ± 0.13 (9.69 ± 0.12) * | 4.07 ± 0.02 (4.08 ± 0.03) * | |
| 8 | 0 | 10.23 ± 0.15 (10.21 ± 0.13) * | 1.82 ± 0.04 (1.81 ± 0.03) * | 10.25 ± 0.11 (10.23 ± 0.14) * | 5.83 ± 0.04 (5.85 ± 0.03) * |
| 100 | 9.84 ± 0.14 (9.84 ± 0.16) * | 1.58 ± 0.03 (1.59 ± 0.02) * | 9.85 ± 0.13 (9.84 ± 0.15) * | 4.95 ± 0.02 (4.93 ± 0.03) * | |
| 200 | 9.40 ± 0.11 (9.43 ± 0.13) * | 1.36 ± 0.02 (1.35 ± 0.02) * | 9.42 ± 0.15 (9.45 ± 0.13) * | 4.61 ± 0.02 (4.62 ± 0.03) * | |
| 300 | 9.03 ± 0.12 (9.01 ± 0.14) * | 1.01 ± 0.03 (1.00 ± 0.02) * | 9.04 ± 0.17 (9.06 ± 0.14) * | 4.46 ± 0.02 (4.44 ± 0.02) * | |
| Crowder | N | Ka(M−1) | ΔH(cal mol−1) | ΔS(cal K−1 mol−1) | Kd(µM) | ΔG(kcal mol−1) |
|---|---|---|---|---|---|---|
| Dextran 70 | 0.74 ± 0.04 | 10.6 × 105 (± 0.88 × 105) | −1.95 (± 0.16) | −42.5 (± 0.3) | 9.43 | −6.83 |
| Ficoll 70 | [0.71 (± 0.04)] # | [9.42 × 104 (± 1.08 × 104)] # | [-2.93 × 104 (± 0.50 × 104)] # | [−45.4 (± 0.40)] # | [10.62] # | [−15.77] # |
| pH | GdmCl-Induced Denaturation | Urea-Induced Denaturation | ||
|---|---|---|---|---|
| Ficoll 70 | Dextran 70 | Ficoll 70 | Dextran 70 | |
| 6.0 | 1.37 ± 0.17 | 1.1 ± 0.12 (1.08 ± 0.13) * | 1.58 ± 0.19 | 1.12 ± 0.14 (1.15 ± 0.15) * |
| 7.0 | 1.43 ± 0.20 | 1.45 ± 0.12 (1.45 ± 0.13) * | 1.26 ± 0.19 | 1.26 ± 0.14 (1.26 ± 0.13) * |
| 8.0 | 1.6 ± 0.14 | 1.18 ± 0.12 (1.22 ± 0.14) * | 1.62 ± 0.15 | 1.19 ± 0.16 (1.19 ± 0.13) * |
© 2020 by the authors. Licensee MDPI, Basel, Switzerland. This article is an open access article distributed under the terms and conditions of the Creative Commons Attribution (CC BY) license (http://creativecommons.org/licenses/by/4.0/).
Share and Cite
Nasreen, K.; Parray, Z.A.; Ahamad, S.; Ahmad, F.; Ahmed, A.; Freeh Alamery, S.; Hussain, T.; Hassan, M.I.; Islam, A. Interactions Under Crowding Milieu: Chemical-Induced Denaturation of Myoglobin is Determined by the Extent of Heme Dissociation on Interaction with Crowders. Biomolecules 2020, 10, 490. https://doi.org/10.3390/biom10030490
Nasreen K, Parray ZA, Ahamad S, Ahmad F, Ahmed A, Freeh Alamery S, Hussain T, Hassan MI, Islam A. Interactions Under Crowding Milieu: Chemical-Induced Denaturation of Myoglobin is Determined by the Extent of Heme Dissociation on Interaction with Crowders. Biomolecules. 2020; 10(3):490. https://doi.org/10.3390/biom10030490
Chicago/Turabian StyleNasreen, Khalida, Zahoor Ahmad Parray, Shahzaib Ahamad, Faizan Ahmad, Anwar Ahmed, Salman Freeh Alamery, Tajamul Hussain, Md. Imtaiyaz Hassan, and Asimul Islam. 2020. "Interactions Under Crowding Milieu: Chemical-Induced Denaturation of Myoglobin is Determined by the Extent of Heme Dissociation on Interaction with Crowders" Biomolecules 10, no. 3: 490. https://doi.org/10.3390/biom10030490
APA StyleNasreen, K., Parray, Z. A., Ahamad, S., Ahmad, F., Ahmed, A., Freeh Alamery, S., Hussain, T., Hassan, M. I., & Islam, A. (2020). Interactions Under Crowding Milieu: Chemical-Induced Denaturation of Myoglobin is Determined by the Extent of Heme Dissociation on Interaction with Crowders. Biomolecules, 10(3), 490. https://doi.org/10.3390/biom10030490

