Electron Ionization of Size-Selected Positively and Negatively Charged Helium Droplets
Abstract
1. Introduction
2. Materials and Methods
3. Results and Discussion
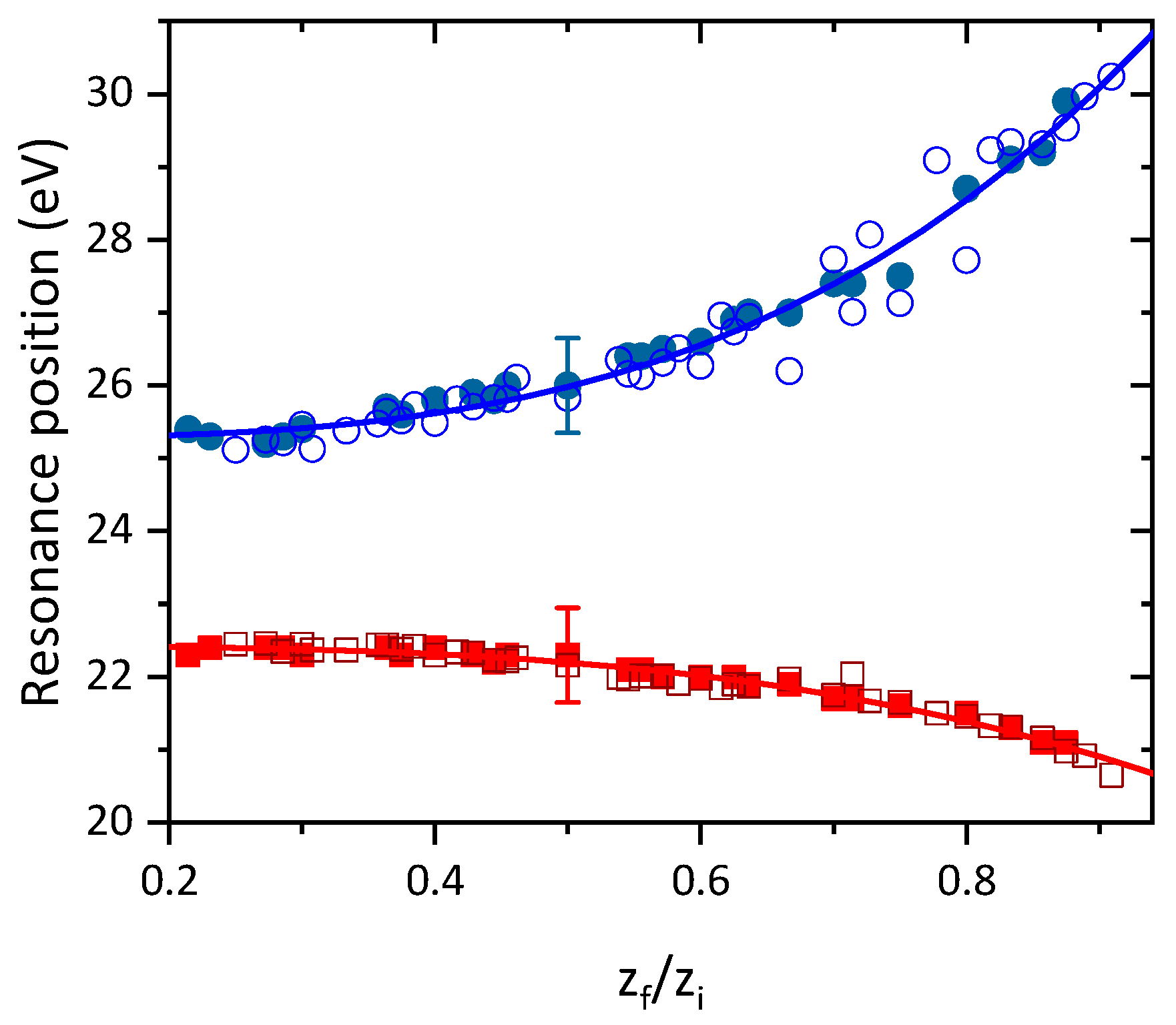
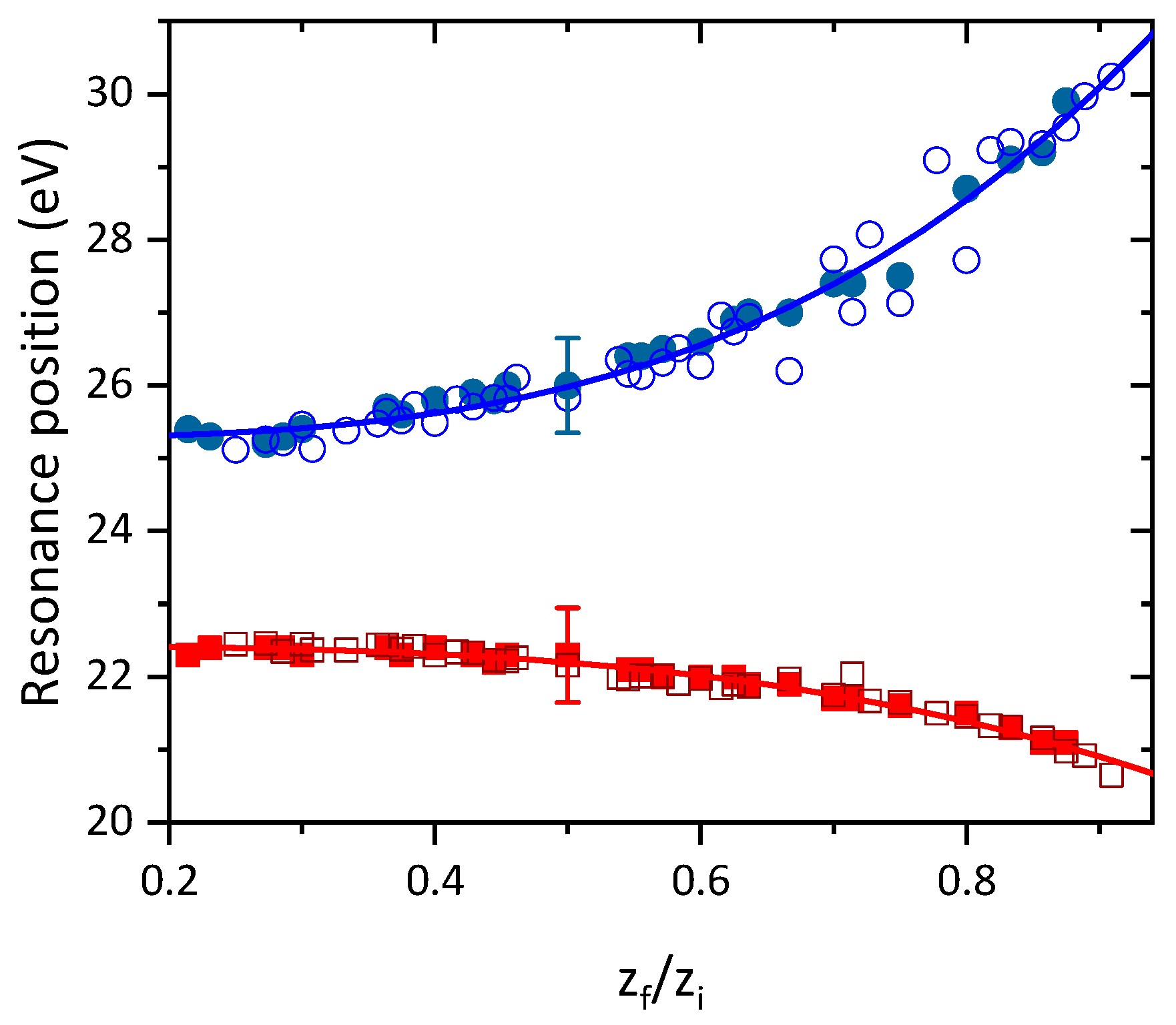
3.1. Penetration Depth of the Electrons in the He Droplets
3.2. Cations to Cations
3.2.1. Ion Efficiency Curves
3.2.2. Total Cross Sections
3.3. Anions to Cations
3.3.1. Ion Efficiency Curves
3.3.2. Appearance Energies
3.4. Anions to Anions
4. Conclusions
Supplementary Materials
Author Contributions
Funding
Data Availability Statement
Conflicts of Interest
References
- Janev, R.K.; Reiter, D. Collision processes of CHy and CHy+ hydrocarbons with plasma electrons and protons. Phys. Plasmas 2002, 9, 4071–4081. [Google Scholar] [CrossRef]
- McCall, B.J.; Huneycutt, A.J.; Saykally, R.; Geballe, T.R.; Djuric, N.; Dunn, G.H.; Semaniak, J.; Novotny, O.; Al-Khalili, A.; Ehlerding, A.; et al. An enhanced cosmic-ray flux towards ζ Persei inferred from a laboratory study of the H3+–e- recombination rate. Nature 2003, 422, 500–502. [Google Scholar] [CrossRef] [PubMed]
- Deutsch, H.; Becker, K.; Probst, M.; Märk, T.D. The Semiempirical Deutsch-Märk Formalism: A Versatile Approach for the Calculation of Electron-Impact Ionization Cross Sections of Atoms, Molecules, Ions, and Clusters. In Advances in Atomic, Molecular, and Optical Physics; Arimondo, E., Berman, P.R., Lin, C.C., Eds.; Elsevier: Amsterdam, The Netherlands, 2009; Volume 57, pp. 87–155. [Google Scholar]
- Kim, Y.; Irikura, K.; Ali, M. Electron-impact total ionization cross sections of molecular ions. J. Res. Natl. Inst. Stand. Technol. 2000, 105, 285–291. [Google Scholar] [CrossRef] [PubMed]
- Uddin, M.; Basak, A.K.; Islam, A.K.M.; Malik, F.B. Electron impact single ionization of light ionic targets with charge q > 2. J. Phys. B 2004, 37, 1909–1922. [Google Scholar] [CrossRef]
- Pindzola, M.S.; Robicheaux, F.; Colgan, J. Electron-impact ionization of H+2 using a time-dependent close-coupling method. J. Phys. B 2005, 38, L285–L290. [Google Scholar] [CrossRef][Green Version]
- Peart, B.; Dolder, K.T. Collisions between electrons and H2+ions. IV. Measurements of cross sections for dissociative ionization. J. Phys. B 1973, 6, 2409–2414. [Google Scholar] [CrossRef]
- Müller, A.; Tinschert, K.; Achenbach, C.; Salzborn, E.; Becker, R. A new technique for the measurement of ionization cross sections with crossed electron and ion beams. Nucl. Instrum. Methods Phys. Res. Sect. B 1985, 10-11, 204–206. [Google Scholar] [CrossRef]
- Defrance, P.; Brouillard, F.; Claeys, W.; Van Wassenhove, G. Crossed beam measurement of absolute cross sections: An alternative method and its application to the electron impact ionisation of He+. J. Phys. B 1981, 14, 103–110. [Google Scholar] [CrossRef]
- Belic, D.S.; Ristic, M.M.; Cherkani-Hassani, H.; Urbain, X.; Defrance, P. Electron-impact dissociation of N2D+ cations to D+ fragments. Eur. Phys. J. D 2020, 74, 1–8. [Google Scholar] [CrossRef]
- Dolder, K.T.; Peart, B. Collisions between electrons and ions. Rep. Prog. Phys. 1976, 39, 693–749. [Google Scholar] [CrossRef]
- Matt, S.; Echt, O.; Rauth, T.; Dünser, B.; Lezius, M.; Stamatovic, A.; Scheier, P.; Märk, T.D. Electron impact ionization and dissociation of neutral and charged fullerenes. Z. Phys. D 1997, 40, 389–394. [Google Scholar] [CrossRef]
- Scheier, P.; Hathiramani, D.; Arnold, W.; Huber, K.; Salzborn, E. Multiple Ionization and Fragmentation of Negatively Charged Fullerene Ions by Electron Impact. Phys. Rev. Lett. 2000, 84, 55–58. [Google Scholar] [CrossRef]
- Hathiramani, D.; Aichele, K.; Arnold, W.; Huber, K.; Salzborn, E.; Scheier, P. Electron-Impact Induced Fragmentation of Fullerene Ions. Phys. Rev. Lett. 2000, 85, 3604–3607. [Google Scholar] [CrossRef]
- Becker, E.W.; Klingelhöfer, R.; Lohse, P. Notizen: Strahlen aus kondensiertem Helium im Hochvakuum. Z. Nat. A 1961, 16, 1259. [Google Scholar] [CrossRef]
- Scheidemann, A.; Toennies, J.P.; Northby, J.A. Capture of neon atoms by He4 clusters. Phys. Rev. Lett. 1990, 64, 1899–1902. [Google Scholar] [CrossRef]
- Goyal, S.; Schutt, D.L.; Scoles, G. Vibrational spectroscopy of sulfur hexafluoride attached to helium clusters. Phys. Rev. Lett. 1992, 69, 933–936. [Google Scholar] [CrossRef]
- Goyal, S.; Schutt, D.L.; Scoles, G. Infrared spectroscopy in highly quantum matrixes: Vibrational spectrum of sulfur hexafluoride ((SF6)n=1,2) attached to helium clusters. J. Phys. Chem. 1993, 97, 2236–2245. [Google Scholar] [CrossRef]
- Hartmann, M.; Miller, R.E.; Toennies, J.P.; Vilesov, A. Rotationally Resolved Spectroscopy of SF6in Liquid Helium Clusters: A Molecular Probe of Cluster Temperature. Phys. Rev. Lett. 1995, 75, 1566–1569. [Google Scholar] [CrossRef]
- Callegari, C.; Lehmann, K.K.; Schmied, R.; Scoles, G. Helium nanodroplet isolation rovibrational spectroscopy: Methods and recent results. J. Chem. Phys. 2001, 115, 10090. [Google Scholar] [CrossRef]
- Toennies, J.P.; Vilesov, A.F. Superfluid Helium Droplets: A Uniquely Cold Nanomatrix for Molecules and Molecular Complexes. Angew. Chem. Int. Ed. 2004, 43, 2622–2648. [Google Scholar] [CrossRef]
- Choi, M.Y.; Douberly, G.E.; Falconer, T.M.; Lewis, W.K.; Lindsay, C.; Merritt, J.M.; Stiles, P.L.; Miller, R.E. Infrared spectroscopy of helium nanodroplets: Novel methods for physics and chemistry. Int. Rev. Phys. Chem. 2006, 25, 15–75. [Google Scholar] [CrossRef]
- Stienkemeier, F.; Lehmann, K. Spectroscopy and dynamics in helium nanodroplets. J. Phys. B 2006, 39, R127–R166. [Google Scholar] [CrossRef]
- Northby, J.A. Experimental studies of helium droplets. J. Chem. Phys. 2001, 115, 10065. [Google Scholar] [CrossRef]
- Callicoatt, B.E.; Förde, K.; Ruchti, T.; Jung, L.; Janda, K.C.; Halberstadt, N. Capture and ionization of argon within liquid helium droplets. J. Chem. Phys. 1998, 108, 9371–9382. [Google Scholar] [CrossRef]
- Mauracher, A.; Echt, O.; Ellis, A.; Yang, S.; Bohme, D.; Postler, J.; Kaiser, A.; Denifl, S.; Scheier, P. Cold physics and chemistry: Collisions, ionization and reactions inside helium nanodroplets close to zero K. Phys. Rep. 2018, 751, 1–90. [Google Scholar] [CrossRef]
- Tiggesbäumker, J.; Stienkemeier, F. Formation and properties of metal clusters isolated in helium droplets. Phys. Chem. Chem. Phys. 2007, 9, 4748–4770. [Google Scholar] [CrossRef] [PubMed]
- Atkins, K.R. Course XXI on Liquid Helium, Proceedings of International School of Physics Enrico Fermi, New York; Careri, G., Ed.; Academic Press: New York, NY, USA, 1963; pp. 403–413. [Google Scholar]
- Halberstadt, N.; Janda, K.C. The resonant charge hopping rate in positively charged helium clusters. Chem. Phys. Lett. 1998, 282, 409–412. [Google Scholar] [CrossRef]
- Ellis, A.M.; Yang, S. Model for the charge-transfer probability in helium nanodroplets following electron-impact ionization. Phys. Rev. A 2007, 76, 032714. [Google Scholar] [CrossRef]
- Atkins, K.R. Ions in Liquid Helium. Phys. Rev. 1959, 116, 1339–1343. [Google Scholar] [CrossRef]
- Mateo, D.; Eloranta, J. Solvation of Intrinsic Positive Charge in Superfluid Helium. J. Phys. Chem. A 2014, 118, 6407–6415. [Google Scholar] [CrossRef]
- Laimer, F.; Kranabetter, L.; Tiefenthaler, L.; Albertini, S.; Zappa, F.; Ellis, A.M.; Gatchell, M.; Scheier, P. Highly Charged Droplets of Superfluid Helium. Phys. Rev. Lett. 2019, 123, 165301. [Google Scholar] [CrossRef]
- Laimer, F.; Zappa, F.; Scheier, P.; Gatchell, M. Multiply Charged Helium Droplet Anions. Chem.—A Eur. J. 2021, 27, 7283–7287. [Google Scholar] [CrossRef]
- Laimer, F.; Zappa, F.; Scheier, P. Size and Velocity Distribution of Negatively Charged Helium Nanodroplets. J. Phys. Chem. A 2021, 125, 7662–7669. [Google Scholar] [CrossRef]
- Krishna, M.V.R.; Whaley, K.B. Wave functions of helium clusters. J. Chem. Phys. 1990, 93, 6738–6751. [Google Scholar] [CrossRef]
- Bogdanov, E.; Demidov, V.; Kaganovich, I.D.; Koepke, M.E.; Kudryavtsev, A. Modeling a short dc discharge with thermionic cathode and auxiliary anode. Phys. Plasmas 2013, 20, 101605. [Google Scholar] [CrossRef]
- Gomez, L.F.; Loginov, E.; Sliter, R.; Vilesov, A.F. Sizes of large He droplets. J. Chem. Phys. 2011, 135, 154201. [Google Scholar] [CrossRef]
- Matt, S.; Dünser, B.; Lezius, M.; Deutsch, H.; Becker, K.; Stamatovic, A.; Scheier, P.; Märk, T.D. Absolute partial and total cross-section functions for the electron impact ionization of C60 and C70. J. Chem. Phys. 1996, 105, 1880–1896. [Google Scholar] [CrossRef]
- Mauracher, A.; Daxner, M.; Postler, J.; Huber, S.E.; Denifl, S.; Scheier, P.; Toennies, J.P. Detection of Negative Charge Carriers in Superfluid Helium Droplets: The Metastable Anions He*– and He2*–. J. Phys. Chem. Lett. 2014, 5, 2444–2449. [Google Scholar] [CrossRef]
- Renzler, M.; Daxner, M.; Weinberger, N.; Denifl, S.; Scheier, P.; Echt, O. On subthreshold ionization of helium droplets, ejection of He+, and the role of anions. Phys. Chem. Chem. Phys. 2014, 16, 22466–22470. [Google Scholar] [CrossRef]
- Kwan, V.; Consta, S. Molecular Characterization of the Surface Excess Charge Layer in Droplets. J. Am. Soc. Mass Spectrom. 2020, 32, 33–45. [Google Scholar] [CrossRef]
- Kwan, V.; Malevanets, A.; Consta, S. Where Do the Ions Reside in a Highly Charged Droplet? J. Phys. Chem. A 2019, 123, 9298–9310. [Google Scholar] [CrossRef]
- Zappa, F.; Denifl, S.; Mähr, I.; Bacher, A.; Echt, O.; Märk, T.D.; Scheier, P. Ultracold Water Cluster Anions. J. Am. Chem. Soc. 2008, 130, 5573–5578. [Google Scholar] [CrossRef]
- Renzler, M.; Kuhn, M.; Mauracher, A.; Lindinger, A.; Scheier, P.; Ellis, A.M. Anionic Hydrogen Cluster Ions as a New Form of Condensed Hydrogen. Phys. Rev. Lett. 2016, 117, 273001. [Google Scholar] [CrossRef]













Publisher’s Note: MDPI stays neutral with regard to jurisdictional claims in published maps and institutional affiliations. |
© 2021 by the authors. Licensee MDPI, Basel, Switzerland. This article is an open access article distributed under the terms and conditions of the Creative Commons Attribution (CC BY) license (https://creativecommons.org/licenses/by/4.0/).
Share and Cite
Laimer, F.; Zappa, F.; Gruber, E.; Scheier, P. Electron Ionization of Size-Selected Positively and Negatively Charged Helium Droplets. Atoms 2021, 9, 74. https://doi.org/10.3390/atoms9040074
Laimer F, Zappa F, Gruber E, Scheier P. Electron Ionization of Size-Selected Positively and Negatively Charged Helium Droplets. Atoms. 2021; 9(4):74. https://doi.org/10.3390/atoms9040074
Chicago/Turabian StyleLaimer, Felix, Fabio Zappa, Elisabeth Gruber, and Paul Scheier. 2021. "Electron Ionization of Size-Selected Positively and Negatively Charged Helium Droplets" Atoms 9, no. 4: 74. https://doi.org/10.3390/atoms9040074
APA StyleLaimer, F., Zappa, F., Gruber, E., & Scheier, P. (2021). Electron Ionization of Size-Selected Positively and Negatively Charged Helium Droplets. Atoms, 9(4), 74. https://doi.org/10.3390/atoms9040074

