Time Dependence of Ultra-Short Laser Pulses Scattering by Atom in High Frequency Limit
Abstract
1. Introduction
2. General Formulas
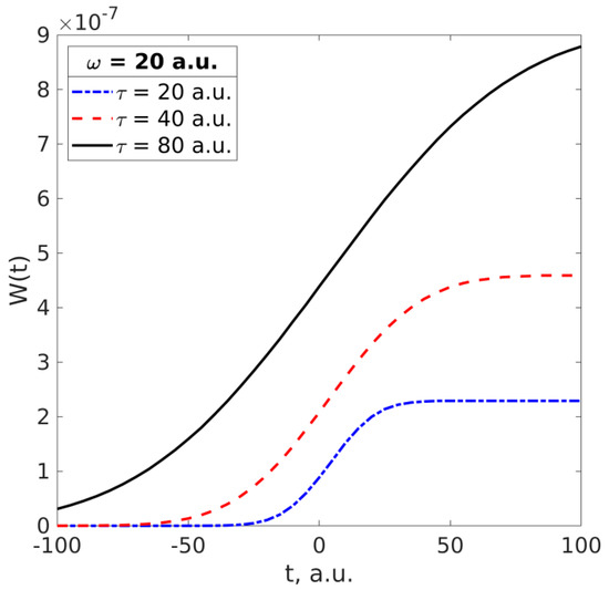
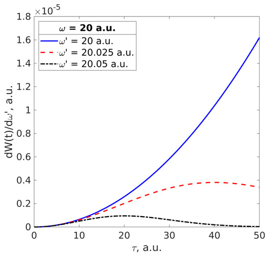
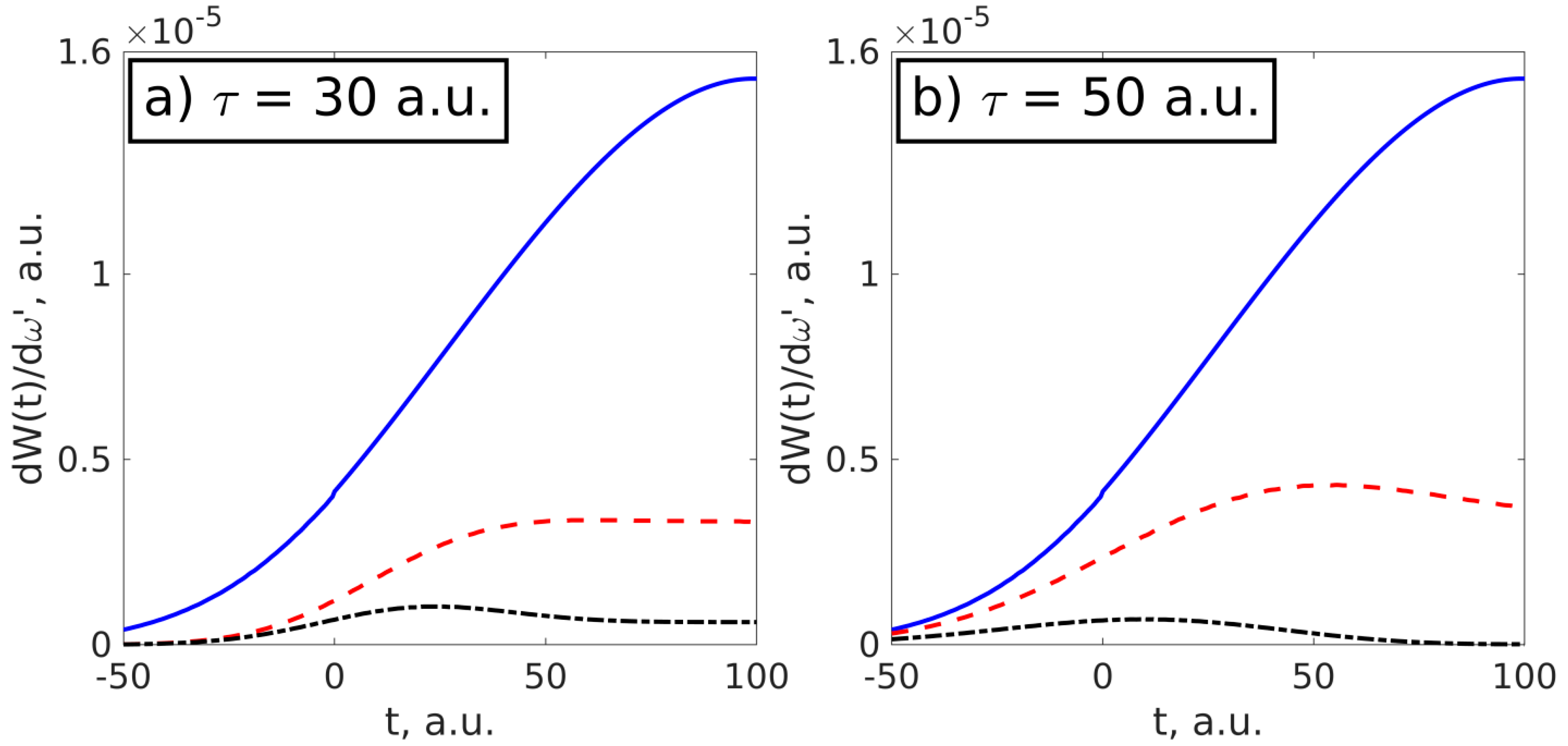
3. Results and Discussion
4. Conclusions
Author Contributions
Funding
Acknowledgments
Conflicts of Interest
References
- Lawrence, J.R.; Waugh, D. Laser Surface Engineering: Processes and Applications; Elsevier: Amsterdam, The Netherlands, 2014. [Google Scholar]
- Shiner, A.; Schmidt, B.; Trallero-Herrero, C.; Wörner, H.J.; Patchkovskii, S.; Corkum, P.B.; Kieffer, J.; Légaré, F.; Villeneuve, D. Probing collective multi-electron dynamics in xenon with high-harmonic spectroscopy. Nat. Phys. 2011, 7, 464. [Google Scholar] [CrossRef]
- Yakovlev, V.S.; Gagnon, J.; Karpowicz, N.; Krausz, F. Attosecond streaking enables the measurement of quantum phase. Phys. Rev. Lett. 2010, 105, 073001. [Google Scholar] [CrossRef] [PubMed]
- Lindroth, E.; Calegari, F.; Young, L.; Harmand, M.; Dudovich, N.; Berrah, N.; Smirnova, O. Challenges and opportunities in attosecond and XFEL science. Nat. Rev. Phys. 2019, 1, 107. [Google Scholar] [CrossRef]
- Athanasiou, C.E.; Hongler, M.O.; Bellouard, Y. Unraveling brittle-fracture statistics from intermittent patterns formed during femtosecond laser exposure. Phys. Rev. Appl. 2017, 8, 054013. [Google Scholar] [CrossRef]
- Tanaka, T. Proposal to generate an isolated monocycle x-ray pulse by counteracting the slippage effect in free-electron lasers. Phys. Rev. Lett. 2015, 114, 044801. [Google Scholar] [CrossRef]
- Kida, Y.; Kinjo, R.; Tanaka, T. Synthesizing high-order harmonics to generate a sub-cycle pulse in free-electron lasers. Appl. Phys. Lett. 2016, 109, 151107. [Google Scholar] [CrossRef]
- Chini, M.; Zhao, K.; Chang, Z. The generation, characterization and applications of broadband isolated attosecond pulses. Nat. Photon. 2014, 8, 178–186. [Google Scholar] [CrossRef]
- Mitrofanov, A.V.; Sidorov-Biryukov, D.A.; Glek, P.B.; Rozhko, M.V.; Stepanov, E.A.; Shutov, A.D.; Ryabchuk, S.V.; Voronin, A.A.; Fedotov, A.B.; Zheltikov, A.M. Chirp-controlled high-harmonic and attosecond-pulse generation via coherent-wake plasma emission driven by mid-infrared laser pulses. Opt. Lett. 2020, 45, 750–753. [Google Scholar] [CrossRef]
- Beaulieu, S.; Comby, A.; Clergerie, A.; Caillat, J.; Descamps, D.; Dudovich, N.; Fabre, B.; R Géneaux, R.; Légaré, F.; Petit, S.; et al. Attosecond-resolved photoionization of chiral molecules. Science 2017, 358, 1288–1294. [Google Scholar] [CrossRef]
- Isinger, M.; Squibb, R.J.; Busto, D.; Zhong, S.; Harth, A.; Kroon, D.; Nandi, S.; Arnold, C.L.; Miranda, M.; Dahlström, J.M.; et al. Photoionization in the time and frequency domain. Science 2017, 358, 893–896. [Google Scholar] [CrossRef]
- Hütten, K.; Mittermair, M.; Stock, S.; Beerwerth, R.; Shirvanyan, V.; Riemensberger, J.; Duensing, A.; Heider, R.; Wagner, M.S.; Guggenmos, A.; et al. Ultrafast quantum control of ionization dynamics. EPJ Web Conf. 2019, 205, 06001. [Google Scholar] [CrossRef][Green Version]
- Kaldun, A.; Blättermann, A.; Donsa, S.; Stooß, V.; Wei, H.; Pazourek, R.; Nagele, S.; Ott, C.; Lin, C.D.; Burgdörfer, J.; et al. Observing the ultrafast buildup of a Fano resonance in the time domain. Science 2016, 354, 738–740. [Google Scholar] [CrossRef] [PubMed]
- Gruson, V.; Barreau, L.; Jiménez-Galan, Á.; Risoud, F.; Caillat, J.; Maquet, A.; Carré, B.; Lepetit, F.; Hergott, J.-F.; Ruchon, T.; et al. Attosecond dynamics through a Fano resonance: Monitoring the birth of a photoelectron. Science 2016, 354, 734–737. [Google Scholar] [CrossRef] [PubMed]
- Oks, E. Analytical Advances in Quantum and Celestial Mechanics: Separating Rapid and Slow Subsystems; IOP Publishing Ltd.: Bristol, UK, 2020. [Google Scholar]
- Rosmej, F.B.; Astapenko, V.A.; Lisitsa, V.S. Generalized scaling laws for ionization of atomic states by ultra-short electromagnetic pulses. J. Phys. B 2016, 49, 025602. [Google Scholar] [CrossRef]
- Astapenko, V.A.; Lisitsa, V.S. Interaction of ultrashort laser pulses with atoms in plasmas. Atoms 2018, 6, 38. [Google Scholar] [CrossRef]
- Rosmej, F.B.; Astapenko, V.A.; Lisitsa, V.S. XUV and x-ray elastic scattering of attosecond electromagnetic pulses on atoms. J. Phys. B 2017, 50, 235601. [Google Scholar] [CrossRef]
- Astapenko, V.A.; Moroz, N.N.; Mutafyan, M.I. Compton scattering of attosecond x-ray pulses on a hydrogen atom. JETP Lett. 2018, 108, 165–169. [Google Scholar] [CrossRef]
- Rosmej, F.B.; Astapenko, V.A.; Lisitsa, V.S.; Moroz, N.N. Nonlinear resonance scattering of femtosecond X-ray pulses on atoms in plasmas. Phys. Lett. A 2017, 381, 3576–3579. [Google Scholar] [CrossRef]
- Astapenko, V.A. Simple formula for photoprocesses in ultrashort electromagnetic field. Phys. Lett. A 2010, 374, 1585–1590. [Google Scholar] [CrossRef]
- Astapenko, V.A. Scattering of ultrashort electromagnetic radiation pulse by an atom in a broad spectral range. JETP 2011, 112, 193–198. [Google Scholar] [CrossRef]
- Matveev, V.I. Emission and electron transitions in an atom interacting with an ultrashort electromagnetic pulse. JETP 2003, 97, 915–921. [Google Scholar] [CrossRef]
- Makarov, D.N.; Matveev, V.I. Spectra for the reemission of attosecond and shorter electromagnetic pulses by multielectron atoms. JETP 2017, 125, 189–194. [Google Scholar] [CrossRef]
- Goshev, A.A.; Eseev, M.K.; Makarov, D.N. Scattering of attosecond electromagnetic field pulses by molecular anions including the magnetic field component. JETP 2020, 130, 28–34. [Google Scholar] [CrossRef]
- Makarov, D.N. Quantum theory of scattering of ultrashort electromagnetic field pulses by polyatomic structures. Opt. Express 2019, 27, 31989–32008. [Google Scholar] [CrossRef]
- Prasad, V.; Dahiya, B.; Yamashita, K. Ionization of the H atom in ultrashort chirped laser pulses. Phys. Scr. 2010, 82, 055302. [Google Scholar] [CrossRef]
- Astapenko, V.A. Attosecond dynamics of photoexcitation of the hydrogen atom by ultrashort laser pulses. JETP 2020, 130, 56–61. [Google Scholar] [CrossRef]
- Astapenko, V.A. Temporal dynamics of resonant scattering of an ultrashort laser pulse by an atom. Appl. Phys. B 2020, 126, 110. [Google Scholar] [CrossRef]
- Rosmej, F.B.; Astapenko, V.A.; Lisitsa, V.S. Plasma Atomic Physics; Springer Series on Atomic, Optical and Plasma Physics 104; Springer: Berlin/Heidelberg, Germany, 2020. [Google Scholar]




© 2020 by the authors. Licensee MDPI, Basel, Switzerland. This article is an open access article distributed under the terms and conditions of the Creative Commons Attribution (CC BY) license (http://creativecommons.org/licenses/by/4.0/).
Share and Cite
Astapenko, V.A.; Rosmej, F.B.; Khramov, E.S. Time Dependence of Ultra-Short Laser Pulses Scattering by Atom in High Frequency Limit. Atoms 2020, 8, 41. https://doi.org/10.3390/atoms8030041
Astapenko VA, Rosmej FB, Khramov ES. Time Dependence of Ultra-Short Laser Pulses Scattering by Atom in High Frequency Limit. Atoms. 2020; 8(3):41. https://doi.org/10.3390/atoms8030041
Chicago/Turabian StyleAstapenko, Valeriy Alexandrovich, Frank Bernhard Rosmej, and Egor Sergeevich Khramov. 2020. "Time Dependence of Ultra-Short Laser Pulses Scattering by Atom in High Frequency Limit" Atoms 8, no. 3: 41. https://doi.org/10.3390/atoms8030041
APA StyleAstapenko, V. A., Rosmej, F. B., & Khramov, E. S. (2020). Time Dependence of Ultra-Short Laser Pulses Scattering by Atom in High Frequency Limit. Atoms, 8(3), 41. https://doi.org/10.3390/atoms8030041
