Wave-Kinetic Approach to Collective Atomic Emission
Abstract
1. Introduction
2. Basic Equations
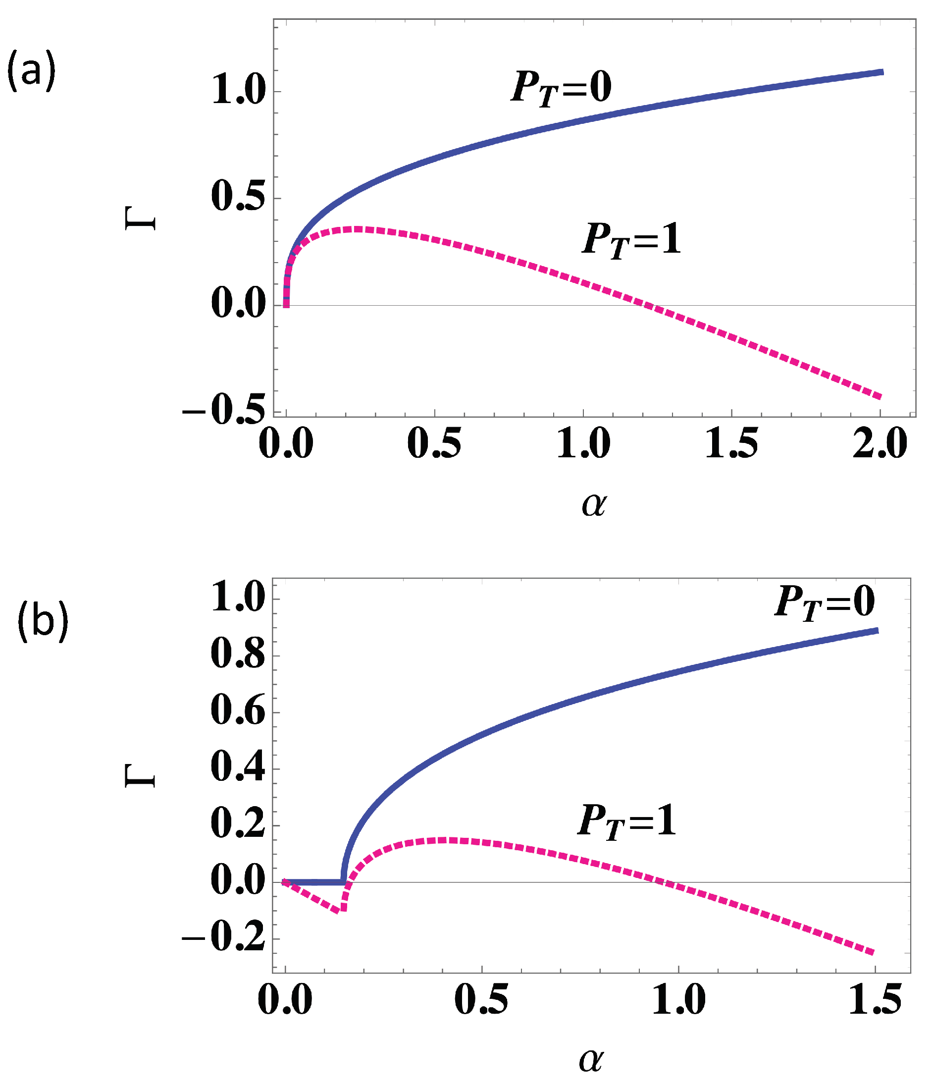
3. Radiation Instability
4. Quantum Recoil
5. Conclusions
Author Contributions
Funding
Conflicts of Interest
References
- Cohen-Tannoudji, C.; Guéry-Odelin, D. Advances in Atomic Physics; World Scientific: Singapore, 2011. [Google Scholar]
- Pitaevskii, L.; Stringari, S. Bose-Einstein Condensation; Clarendon Press: Oxford, UK, 2003. [Google Scholar]
- Saldin, E.L.; Schneidmiller, E.A.; Yurkov, M.V. The Physics of Free Electron Lasers; Springer: Berlin, Germany, 2000. [Google Scholar]
- Gross, M.; Haroche, S. Superradiance: An essay on the theory collective spontaneous emission. Phys. Rep. 1982, 93, 301. [Google Scholar] [CrossRef]
- Garraway, B.M. The Dicke model in quantum optics: Dicke model revisited. Philos. Trans. R. Soc. A 2011, 369, 1137. [Google Scholar] [CrossRef] [PubMed]
- Bonifacio, R.; De Salvo Souza, L. Collective atomic recoil laser (CARL) optical gain without inversion by collective atomic recoil and self-bunching of two-level atoms. Nucl. Instrum. Meth. Phys. Res. A 1994, 341, 360. [Google Scholar] [CrossRef]
- Bonifacio, R.; De Salvo Souza, L.; Narducci, L.M.; D’Angelo, E.J. Exponential gain and self-bunching in a collective atomic recoil laser. Phys. Rev. A 1994, 50, 1716. [Google Scholar] [CrossRef] [PubMed]
- Moore, M.G.; Meystre, P. Effects of atomic diffraction on the collective atomic recoil laser. Phys. Rev. A 1998, 58, 3248. [Google Scholar] [CrossRef]
- Piovella, N.; Gatelli, M.; Bonifacio, R. Quantum effects in the collective light scattering by coherent atomic recoil in a Bose-Einstein condensate. Opt. Commun. 2001, 194, 167. [Google Scholar] [CrossRef]
- Ayllon, R.; Mendonça, J.T.; Gisbert, A.T.; Piovella, N.; Robb, G.R.M. Multimode Collective scattering of light in free space by a cold atomic gas. Phys. Rev. A 2019, 100, 023630. [Google Scholar] [CrossRef]
- Serbeto, A.; Mendonça, J.T.; Tsui, K.H.; Bonifacio, R. Quantum wave kinetics of high-gain free-electron lasers. Phys. Plasmas 2008, 15, 013110. [Google Scholar] [CrossRef]
- Klimontovich, Y.L. The Kinetic Theory of Non-Ideal Gases and Non-Ideal Plasmas; Pergamon Press: Oxford, UK, 1982. [Google Scholar]
- Mendonça, J.T.; Terças, H. Physics of Ultra-Cold Matter; Springer: New York, NY, USA, 2013. [Google Scholar]
- Hillery, M.; O’Connel, R.F.; Scully, M.O.; Wigner, E.P. Distribution functions in physics: Fundamentals. Phys. Rep. 1984, 106, 121. [Google Scholar] [CrossRef]



© 2020 by the authors. Licensee MDPI, Basel, Switzerland. This article is an open access article distributed under the terms and conditions of the Creative Commons Attribution (CC BY) license (http://creativecommons.org/licenses/by/4.0/).
Share and Cite
Mendonça, J.T.; Serbêto, A.P.B. Wave-Kinetic Approach to Collective Atomic Emission. Atoms 2020, 8, 42. https://doi.org/10.3390/atoms8030042
Mendonça JT, Serbêto APB. Wave-Kinetic Approach to Collective Atomic Emission. Atoms. 2020; 8(3):42. https://doi.org/10.3390/atoms8030042
Chicago/Turabian StyleMendonça, José Tito, and Antonio P. B. Serbêto. 2020. "Wave-Kinetic Approach to Collective Atomic Emission" Atoms 8, no. 3: 42. https://doi.org/10.3390/atoms8030042
APA StyleMendonça, J. T., & Serbêto, A. P. B. (2020). Wave-Kinetic Approach to Collective Atomic Emission. Atoms, 8(3), 42. https://doi.org/10.3390/atoms8030042
