Abstract
The total and differential cross-sections and final state distribution for mutual neutralization in collisions of Li+ with O− were calculated using an ab initio quantum mechanical approach based on potential energy curves and non-adiabatic coupling elements computed with the multi-reference configuration interaction method. The final state distributions favored channels with excited oxygen states, indicating a strong effect of electron correlation, and the electron transfer could not be described by a simple one-electron exchange process.
1. Introduction
In a charge-exchange reaction, a collision between two atoms/molecules results in the transfer of an electron between the colliding partners. This process occurs due to non-adiabatic coupling between the electronic states of the system. Of particular interest is the process of mutual neutralization (MN):
At large internuclear separations, the potential energy curves for the neutral covalent states are essentially flat. The ionic curve is repulsive. This can lead to curve crossings at large internuclear separations, which can result in a large MN cross-section. The process of MN is important in low-temperature plasmas since its neutralization removes charged species.
In the current study, we investigated the collision of Li+ and O− leading to MN using a fully ab initio quantum mechanical approach. The reaction was
where one of the neutral atoms formed in the process could be excited.
The system LiO is particularly interesting due to its energetics. Both cases, i.e., channels leading to excited oxygen and ground-state lithium or ground-state oxygen and excited lithium, are open during low-energy collisions. The crossings between the potentials of these excited neutral states and the ion-pair channel are at very similar internuclear distances ( and for the Li*() + O() and Li()+O*() channels, respectively).
In low-energy MN reactions of atomic ions, it is generally assumed that the electron is transferred to a virtual orbital of the cation, forming an excited state of the neutral atom. This corresponds to a one-electron process. This is what has been observed experimentally and theoretically for the majority of other systems. We are not aware of any published measurements on Li+ + O− MN. The collision of O− with atomic ions, such as O+ [1,2,3], N+ [2,3], He+ [4] and Na+ [4,5], were studied experimentally. There are detailed measurements on collisions of Li+ with the H− anion [5,6,7]. In the case where final state distributions were measured, excited electronic states of the neutralized cation were formed, which corresponded to one-electron processes. Some measurements (e.g., for O− with N+) showed contributions from core-excited states of the electron-accepting atom [2]. Two-electron processes are required to form these channels. Also, the process by which the neutralized anion becomes excited requires a two-electron rearrangement. There are some MN measurements indicating the formation of excited states of the electron-donating atom (in collisions of C+ + S−, as well as N+ + D−) [8].
For a system, such as LiO, where the avoided crossings between the excited states of Li* + O and Li + O* occur at very similar internuclear distances, the MN reaction cannot be described using multi-state Landau–Zener modeling [2,9]. Several states will simultaneously interact, and the electron transfer cannot be modeled using successive two-state Landau–Zener Hamiltonians. An ab initio description is required. Here, we investigated the importance of the two-electron rearrangement by the formation of the Li + O* channel.
We previously performed ab initio quantum studies on mutual neutralization in the collisions of atomic ions, such as H+ + H+ [10], He+ + H− [11] and Na+ + I− [12], which displayed satisfactory agreements with measurements. A similar approach was used here. We performed multi-reference configuration interaction calculations of the adiabatic potential energy curves and non-adiabatic couplings. Lower-lying LiO molecular states of and symmetries were involved in the reaction since the ion pair formed molecular states of these symmetries. The nuclear radial Schrödinger equation in a strict diabatic representation was solved numerically to compute the MN cross-section and branching ratios.
This article is organized as follows. In Section 2, we describe how the relevant potential energy curves and couplings of LiO were computed. Section 3 briefly describes the diabatization of the electronic states and how the coupled Schrödinger equation for the nuclear motion was solved. Finally, in Section 4, the calculated total mutual neutralization cross-section, differential cross-section, and final state distributions are displayed. Throughout this article, atomic units are used.
2. Potential Energy Curves and Couplings
In this section, we discuss the calculations used to generate potential energy curves and non-adiabatic couplings for the electronic states of the and symmetries of LiO. The quantum chemistry calculations were carried out using the MOLPRO program [13]. A series of calculations using the aug-cc-pVXZ basis sets with X = D, T, Q and 5 were carried out to check the convergence with respect to the size of the basis.
For LiO, the molecular orbitals were generated using a state-averaged CASSCF (Complete Active Space Self Consistent Field) calculation, where the two lowest orbitals were frozen and the active space was composed of the following six and three orbitals. A state-averaged calculation was performed that included the lowest 20 electronic states (five , five , five and in symmetry, which corresponded to three , three , five and two states in ). These are all states associated with the asymptotic limits Li() + O(), Li*() + O() and Li() + O*(), as well as the ion pair Li+ + O−. All of these states had to be included at the CASSCF level to obtain a balanced description of the asymptotic limits. The ion-pair potential crosses some higher excited covalent states at larger internuclear distances ( a0). For these states, the ionic–covalent diabatic transition probabilities can be neglected, and hence, these states were not included in the model.
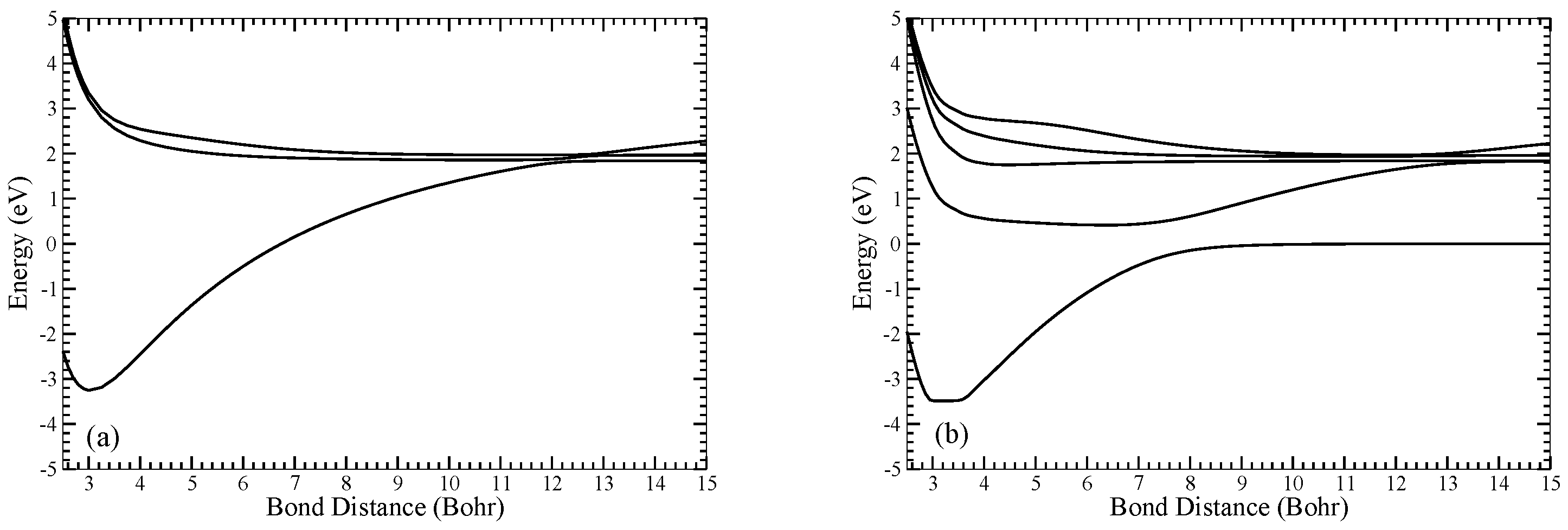
The adiabatic potential energy curves of the relevant electronic states were calculated using the MRCI (Multi-Reference Configuration Interaction) method with the orbitals generated from the CASSCF calculations. The same active space was used in the MRCI and single and double excitations out of the reference configurations were included. The and adiabatic potential energy curves calculated using the MRCI with the aug-cc-pV5Z basis set are displayed in Figure 1.
Figure 1.
(a) Adiabatic and (b) potential energy curves of LiO calculated using the MRCI with the aug-cc-pV5Z basis set.
The MN cross-section is sensitive to the bond distances where the avoided crossing between the states of ionic and covalent characters occurs. To check for the convergence of the calculation, the potential energy curves were calculated using the aug-cc-pVXZ basis sets with X = D, T, Q and 5. In Table 1, the calculated asymptotic limits were compared with experimental values. We also provide the experimental curve crossing distances between the ionic and covalent states. The curve-crossing distances were estimated by assuming constant asymptotic potentials of the covalent states and an ion-pair state with the potential . Here, a.u. was the sum of the polarizabilities of the atomic ions [14,15].
Table 1.
Calculated and experimental [16] asymptotic limits (in eV). Also, experimental curve-crossing distances () are given.
Figure 2 displays the adiabatic potential energy curves of symmetry calculated using the different basis sets. Larger basis sets provide a better description of the ion-pair state and the covalent state associated with Li + O*. With a larger basis set, the avoided crossings are shifted toward larger internuclear distances.
Figure 2.
Adiabatic potential energy curves of LiO with symmetry, calculated using the basis sets aug-cc-pVXZ, where X = D (blue), T (green), Q (red) and 5 (black).
In a purely classical model [17], the MN cross-section will be proportional to at low energies, provided that a double passage through the avoided crossing region results in electron transfer with unit probability. At high collision energies, the MN cross-section scales as . The cross-section is thus sensitive to the positions of the avoided crossings. The electron transfer probability depends on the coupling between the states. For curve crossings at large internuclear distances, the electron transfer probability will decrease as a result of the decreased electronic coupling between the states.
Using the MRCI wave functions, the non-adiabatic couplings were calculated via a finite difference with a step length of a0. The non-adiabatic coupling elements among the lowest three states of symmetry and the five states of symmetry were computed. Figure 3 shows the non-adiabatic coupling elements between the three states, calculated using the aug-cc-pV5Z basis set. These were the states most important for the mutual neutralization reaction, and as demonstrated in the figure, the non-adiabatic coupling elements were similar in magnitude. The non-adiabatic coupling peaked at the avoided crossings. The adiabatic wave functions changed character in these regions, and as a result, there were significant non-adiabatic coupling elements. All three states interacted simultaneously, so successive state interactions could not describe the charge transfer process.
Figure 3.
Non-adiabatic coupling elements between the states of LiO, calculated using aug-cc-pV5Z (: black, : red and : blue).
Figure 4 displays the non-adiabatic coupling element between the lowest two states, calculated using the different basis sets. As the basis set was improved and the avoided crossing shifted toward a larger bond length, the coupling elements became more narrow.
Figure 4.
Non-adiabatic coupling element () between the lowest two states of LiO, calculated using aug-cc-pVXZ with X = D (red), T (green), Q (blue) and 5 (black).
We also tested the convergence of the CASSCF/MRCI calculations with respect to the size of the active space and concluded that the present calculation converged. For the basis set, we concluded that the calculation using the aug-cc-pV5Z basis set converged. This was the calculation we used to compute the cross-section for mutual neutralization.
3. Dynamics
The adiabatic potential energy curves were transformed to a strict diabatic representation. We included three states and five states of symmetry. Non-adiabatic couplings to higher-lying electronic states were neglected. To transform between the adiabatic and diabatic bases, we numerically integrated the equation [18]
to obtain the orthogonal transformation matrix . Here, is the anti-symmetric matrix containing the non-adiabatic first derivative coupling elements. At large internuclear distances, all non-adiabatic coupling elements were assumed to be zero, and the asymptotic transformation matrix was an identity matrix. The non-zero asymptotic non-adiabatic couplings did not significantly affect the Li+ + O− mutual neutralization reaction. This was tested by varying the value for the integration stop.
The diabatic potential matrix was obtained by the similarity transformation of the adiabatic potential matrix. The radial coupled Schrödinger equation in the diabatic representation was obtained using a partial wave expansion. By introducing the logarithmic derivative of the radial wave function, the radial Schrödinger equation was transformed to a matrix Riccati equation. We used Johnson’s log-derivative method [19] to integrate this equation to the asymptotic region. The scattering matrix was obtained by combining the value of the log-derivative at the asymptotic boundary with the correct asymptotic solutions of the open or closed covalent or ionic channels, respectively. Details on the numerical procedure can be found in [20]. From the open partitioning of the scattering matrix, the cross-section for scattering from channel j to channel i is given by
Here, is the asymptotic wave number of the incoming channel.
The mutual neutralization cross-section was calculated for energies that ranged from 0.001 to 50 eV. The matrix Riccati equation was solved from a0 to 15 a0 with an integration step size of 0.005 a0. The total mutual neutralization cross-section was then obtained by summing all the contributions from the partial waves and all channels. The program was set up so that the sum was truncated when the ratios of the partial cross-sections and the accumulated integral cross-sections remained less than for 50 terms in succession. For the states, a total of 540 partial waves were needed to converge the cross-section at 1 meV, while 1270 partial waves were required at 10 eV. The cross-section to a specific final channel was obtained by adding the contributions from states of and symmetry associated with that channel. The final state distribution was obtained by dividing the cross-section of a specific channel by the total mutual neutralization cross-section.
From the calculation of the scattering matrix, the differential cross-section could be computed using [12]
Here, is the Coulomb phase, which is present due to scattering from the ion-pair state (channel j). The Coulomb phase is given by [12] , where is Euler’s gamma function and is the Sommerfeld parameter. The Coulomb phase influences the differential cross-section, but not the total cross-section for mutual neutralization. are the Legendré polynomials and is the scattering angle.
4. Results and Discussion
Our final converged calculation corresponded to the results obtained using potentials and non-adiabatic couplings calculated with the aug-cc-pV5Z basis set. To analyze the convergence of the MN cross-section and branching ratios, results using the other basis sets are also displayed.
4.1. Total Cross-Section
A comparison of the total MN cross-section for Li+ + O− as a function of the basis set is shown in Figure 5 for energies in the range of 1 meV to 50 eV.
Figure 5.
Li+ + O− MN cross-sections as a function of the collision energy. The cross-section was computed using potentials and couplings obtained with the basis sets aug-cc-pV5Z with X = D (blue), T (green), Q (red) and 5 (black).
At low collision energies, the mutual neutralization cross-section displayed behavior, as expected from the attractive Coulomb interactions [21]. We noticed a convergence of the total cross-section with respect to the basis set from the aug-cc-pVQZ level.
4.2. Final State Distributions
The MN final state distributions calculated using the aug-cc-pV5Z basis set are displayed in Figure 6.
Figure 6.
Final state distributions in Li+ + O− MN calculated using the aug-cc-PV5Z basis set.
At a collision energy of 1 meV, the branching ratio for the Li + O* channel was . The ratio for forming Li* + O was , and the formation of ground state atoms was negligible (). Thus, the MN in Li+ + O− primarily resulted in fragments where the neutralized anion was excited. This was different from other MN processes studied so far. The non-adiabatic coupling operator (in the limit of a complete basis set) can be expressed in terms of one-electron operators, and hence, it is shown to be equivalent to a one-electron operator [22]. The production of O* states required a two-electron rearrangement—first, the electron needed to move from O− to Li+, and then the O atom needed to be excited. Therefore, the production of O* states indicates a strong electron correlation in the wave functions of the interacting states.
At higher collision energies (>17 eV), the Li* + O channel started to dominate, as seen in Figure 6.
Previous theoretical studies demonstrated that a convergence of the final state distributions is generally more difficult to achieve than a convergence of the total cross-section. Figure 7 shows the branching ratio to the channel Li + O* as a function of the collision energy, computed using the different basis sets.
Figure 7.
Branching ratio for the Li + O* channel calculated using different basis sets aug-cc-pVXZ with X = D (blue), T (green), Q (red) and 5 (black).
As opposed to the total cross-section, the branching ratios were much more sensitive to the basis set size. To ensure convergence, the aug-cc-pV5Z basis was necessary.
4.3. Differential Cross-Section
The differential cross-section, calculated using Equation (5), provides information about the angular distribution of the fragments. Using merged-beam experiments, information about the differential cross-section can be obtained. As discussed in [12,23], the shape of the differential cross-section is very sensitive to the magnitudes of the electronic couplings and to the detailed shapes of the interacting potentials.
The differential cross-section for scattering into different final states could be computed by adding the contributions from all molecular states associated with the same channels. In Figure 8, the differential cross-sections for the channels Li + O* (black) and Li* + O (red) at a scattering energy of 1 meV are displayed. The calculation was carried out using potentials and non-adiabatic couplings obtained with the aug-cc-pV5Z basis set. The grey dashed curve shows the sum of the differential cross-section for all channels.
Figure 8.
Differential MN cross-sections at 1 meV for the Li + O* (black) and Li* + O (red) channels, as well as the sum of all channels (grey dashed curve).
The differential cross-sections are displayed as function of . Notice that the shapes of the differential cross-sections for the two channels were different. The differential cross-section for Li + O* was more peaked in the forward direction and displayed broader oscillations for .
The differential cross-section can be analyzed using a semi-classical approach (see, for example, [12,23]). The differential MN cross-section peaked in the forward direction (). The differential cross-sections for both channels possessed minima (around for Li + O* and for Li* + O). These minima can be attributed to trajectories with impact parameters where the crossing points were just reached. The shapes of the differential cross-sections close to the minima were very sensitive to the shapes of the potentials and non-adiabatic couplings in the vicinity of the avoided crossings. After the system reached the curve crossings, it could either proceed on the ion-pair state or make a transition to a covalent state. The part of the differential cross-section with smaller than the minima can be attributed to trajectories following the ion-pair state, while the larger than the minima followed the covalent states. The differential cross-sections displayed a peak followed by an abrupt decrease in the magnitude around . This can be attributed to the rainbow scattering that arose from the potential well of the attractive Coulomb potential [23]. Quantum mechanically, the different trajectories interfered, which gave rise to Stueckelberg oscillations. In Figure 9, the differential MN cross-sections (summed over all channels) are displayed for the electron collision energies 1 meV, 10 meV, 100 meV, 1 eV and 10 eV.
Figure 9.
Differential MN cross-sections (summed over all final states) at 1 meV (black), 10 meV (red), 100 meV (green), 1 eV (blue) and 10 eV (cyan).
As the energy increased, the differential cross-sections became more peaked in the forward direction. With increased collision energy, the rainbow scattering angle became smaller, as seen for other similar reactions [10,12].
5. Conclusions
The Li+ + O− MN reaction is interesting since the avoided crossing between the ionic and covalent states associated with Li* + O and Li + O* was very close. An ab initio approach based on computations of non-adiabatic couplings was needed to describe the process theoretically. Our study revealed that the Li + O* channel was primarily produced in low-energy MN. A two-electron rearrangement was thus needed. The calculated differential cross-sections for the two channels were different. The Li + O* differential cross-section had more pronounced oscillations and were more peaked in the forward direction.
We are not aware of any experimental studies on Li+ + O− MN. It would be interesting to compare our calculated final state branching ratios with measurements using, e.g., the double-ion storage ring DESIREE [17,24] or a single-pass merged-beam setup, such as the one at Université Catholique de Louvain [2,8,25].
NaO is another system that possesses similar energetics. The asymptotic limits of Na* + O and Na + O* are close and the potentials of these covalent states are crossed by the ion-pair potential at similar distances. With more electrons present, the structure calculations for NaO are more demanding than LiO. MN in collisions of Na+ with O− will be addressed in a future study.
Supplementary Materials
The following supporting information can be downloaded from https://www.mdpi.com/article/10.3390/atoms12120061/s1.
Author Contributions
Project administration, formal analysis, investigation, data curation and visualization: Å.L. and A.E.O. Writing—original draft preparation: A.E.O. Writing—review and editing: Å.L. All authors read and agreed to the published version of this manuscript.
Funding
This research was funded by the project “Probing charge- and mass-transfer reactions on the atomic level” supported by the Knut and Alice Wallenberg Foundation (Grant No. 2018.0028).
Data Availability Statement
The adiabatic potential energy curves and non-adiabatic coupling elements, as well as total mutual neutralization cross-section and final state distributions, calculated using the aug-cc-pV5Z basis set, are available as Supplementary Materials. Other data presented in this study are available upon request from the corresponding author.
Acknowledgments
We dedicate this paper to the legacy of Barry Schneider, whose many contributions in the area of atomic and molecular physics have been invaluable to the field. A.E.O. acknowledges his support and encouragement from her early days as a graduate student to his mentorship when she became a program director at NSF. Valuable discussions with A. Dochain are acknowledged.
Conflicts of Interest
The authors declare no conflicts of interest.
Abbreviations
The following abbreviations are used in this manuscript:
| CASSCF | Complete Active Space Self Consistent Field |
| MN | Mutual neutralization |
| MRCI | Multi-Reference Configuration Interaction |
References
- Poline, M.; Dochain, A.; Rosén, S.; Grumer, J.; Ji, M.; Eklund, G.; Simonsson, A.; Reinhed, P.; Blom, M.; Shuman, N.S.; et al. Mutual neutralisation of O+ with O−: Investigation of the role of metastable ions in a combined experimental and theoretical study. Phys. Chem. Chem. Phys. 2021, 23, 24607–24616. [Google Scholar] [CrossRef]
- de Ruette, N.; Dochain, A.; Launoy, T.; Nascimento, R.F.; Kaminska, M.; Stockett, M.H.; Vaeck, N.; Schmidt, H.T.; Cederquist, H.; Urbain, X. Mutual Neutralization of O− with O+ and N+ at Subthermal Collision Energies. Phys. Rev. Lett. 2018, 121, 083401. [Google Scholar] [CrossRef]
- Peart, B.; Foster, S.J.; Dolder, K. Measurements of the mutual neutralisation of N+/O− and O+/O−. J. Phys. At. Mol. Opt. Phys. 1989, 22, 1035. [Google Scholar] [CrossRef]
- Hayton, D.H.; Peart, P. Merged beam measurements of the mutual neutralization of He+/O− and Na+/O− ions. J. Phys. At. Mol. Opt. Phys. 1995, 28, L279. [Google Scholar] [CrossRef]
- Peart, B.; Foster, S.J. Measurements of mutual neutralisation of Li+ with H- ions and of Na+ with O− ions. J. Phys. At. Mol. Phys. 1987, 20, L691. [Google Scholar] [CrossRef]
- Peart, B.; Hayton, D.A. Merged beam measurements of the mutual neutralization of He+/H- and Li+/D- ions. J. Phys. At. Mol. Opt. Phys. 1994, 27, 2551. [Google Scholar] [CrossRef]
- Barklem, P.S.; Amarsi, A.M.; Grumer, J.; Eklund, G.; Rosén, S.; Ji, M.; Cederquist, H.; Zettergren, H.; Schmidt, H.T. Mutual Neutralization in Li++H−/D− and Na++H−/D− Collisions: Implications of Experimental Results for Non-LTE Modeling of Stellar Spectra. Astrophys. J. 2021, 908, 245. [Google Scholar] [CrossRef]
- Dochain, A. Systematic Study of Mutual Neutralization Reactions Between atomic Species Using the Merged Beam Method and an Asymptotic Model. Ph.D. Thesis, UCLouvain, Louvain-la-Neuve, Belgium, 2022. Available online: http://hdl.handle.net/2078.1/263451 (accessed on 30 October 2024).
- Hedberg, H.M.; Nkambule, S.M.; Larson, Å. Landau–Zener studies of mutual neutralization in collisions of H+ + H− and Be++ H−. J. Phys. B At. Mol. Opt. Phys. 2014, 47, 225206. [Google Scholar] [CrossRef]
- Hörnquist, J.; Hedvall, P.; Larson, Å.; Orel, A.E. Mutual neutralization in H++H− collisions: An improved theoretical model. Phys. Rev. A 2022, 106, 062821. [Google Scholar] [CrossRef]
- Larson, Å.; Nkambule, S.M.; Orel, A.E. Theoretical study of mutual neutralization in He++H− collisions. Phys. Rev. A 2016, 94, 022709. [Google Scholar] [CrossRef]
- Hedvall, P.; Odelius, M.; Larson, Å. Charge transfer in sodium iodide collisions. J. Chem. Phys. 2023, 158, 014305. [Google Scholar] [CrossRef] [PubMed]
- Werner, H.J.; Knowles, P.J.; Manby, F.R.; Black, J.A.; Doll, K.; Heßelmann, A.; Kats, D.; Köhn, A.; Korona, T.; Kreplin, D.A.; et al. MOLPRO, Version, a Package of Ab Initio Programs. Available online: https://www.molpro.net (accessed on 30 October 2024).
- Chung, K.T. Dynamic Polarizabilities and Refractive Indexes of H− and Li+ Ions. Phys. Rev. A 1971, 4, 7–11. [Google Scholar] [CrossRef]
- Dalgarno, A. Atomic polarizabilities and shielding factors. Adv. Phys. 1962, 11, 281–315. [Google Scholar] [CrossRef]
- Kramida, A.; Ralchenko, Y.; Reader, J. NIST Atomic Spectra Database (Version 5.12). 2024. Available online: https://physics.nist.gov/asd (accessed on 30 October 2024).
- Thomas, R.D.; Schmidt, H.T.; Andler, G.; Björkhage, M.; Blom, M.; Brännholm, L.; Bäckström, E.; Danared, H.; Das, S.; Haag, N.; et al. The double electrostatic ion ring experiment: A unique cryogenic electrostatic storage ring for merged ion-beams studies. Rev. Sci. Instrum. 2011, 82, 065112. [Google Scholar] [CrossRef] [PubMed]
- Mead, C.A.; Truhlar, D.G. Conditions for the definition of a strictly diabatic electronic basis for molecular systems. J. Chem. Phys. 1982, 77, 6090–6098. [Google Scholar] [CrossRef]
- Johnson, B. The multichannel log-derivative method for scattering calculations. J. Comput. Phys. 1973, 13, 445–449. [Google Scholar] [CrossRef]
- Stenrup, M.; Larson, Å.; Elander, N. Mutual neutralization in low-energy H++H− collisions: A quantum ab initio study. Phys. Rev. A 2009, 79, 012713. [Google Scholar] [CrossRef]
- Wigner, E.P. On the Behavior of Cross Sections Near Thresholds. Phys. Rev. 1948, 73, 1002–1009. [Google Scholar] [CrossRef]
- Sidis, V. Simple Expression for the Off-Diagonal Matrix Elements of the d/dR Operator between Exact Electronic States of a Diatomic Molecule. J. Chem. Phys. 1971, 55, 5838–5839. [Google Scholar] [CrossRef]
- Delvigne, G.; Los, J. Rainbow, Stueckelberg oscillations and rotational coupling on the differential cross section of Na + I → Na+ + I−. Physica 1973, 67, 166–196. [Google Scholar] [CrossRef]
- Schmidt, H.T.; Thomas, R.D.; Gatchell, M.; Rosén, S.; Reinhed, P.; Löfgren, P.; Brännholm, L.; Blom, M.; Björkhage, M.; Bäckström, E.; et al. First storage of ion beams in the Double Electrostatic Ion-Ring Experiment: DESIREE. Rev. Sci. Instrum. 2013, 84, 055115. [Google Scholar] [CrossRef] [PubMed]
- Launoy, T.; Loreau, J.; Dochain, A.; Liévin, J.; Vaeck, N.; Urbain, X. Mutual Neutralization in Li+–D− Collisions: A Combined Experimental and Theoretical Study. Astrophys. J. 2019, 883, 85. [Google Scholar] [CrossRef]
Disclaimer/Publisher’s Note: The statements, opinions and data contained in all publications are solely those of the individual author(s) and contributor(s) and not of MDPI and/or the editor(s). MDPI and/or the editor(s) disclaim responsibility for any injury to people or property resulting from any ideas, methods, instructions or products referred to in the content. |
© 2024 by the authors. Licensee MDPI, Basel, Switzerland. This article is an open access article distributed under the terms and conditions of the Creative Commons Attribution (CC BY) license (https://creativecommons.org/licenses/by/4.0/).








