Abstract
The saturation effect during the excitation of a two-level system by laser pulses is investigated in the framework of two approaches: excitation probability based on Karplus–Schwinger spectral profile and exact solution of Bloch equations. Simple analytical expression for the excitation probability by exponential pulse is derived. The excitation spectra obtained using this expression were compared with the result of solving the Bloch equations for various values of the pulse duration and the Rabi frequency, which describes the strength of the electromagnetic interaction. It is shown that in the case of long pulses, there is a satisfactory correspondence between the two approaches, but in short-pulse limit and strong saturation, the probability description based on Karplus–Schwinger spectral profile and perturbation theory does not provide satisfactory results.
1. Introduction
The saturation effect is a basic phenomenon in interactions of laser radiation with atomic systems [1]. The first consideration of this effect was in the well-known Karplus–Schwinger paper [2] demonstrating the effect of field strength on the absorption coefficient. The saturation effect was investigated in detail in many papers and textbooks with the use of various methods including the Bloch equations. These equations were originally introduced to describe nuclear magnetic resonance [3]. There are widely known applications of NMR in medicine [4].
It is appropriate to note that the exact solution of the Bloch equations is widely used in various fields of science and technology, such as spectroscopy, quantum optics [5], quantum computing, optical signal processing [6], etc.
Interaction between laser pulses and quantum systems is of interest for both fundamental science and various applications, which include, in particular, the control of radiative transition parameters, such as population inversion and transition probability [7,8].
It should be noted that in a number of cases, exact analytical solutions of the Bloch equations are derived [9,10,11]. These solutions are used for analysis of population inversion [9,10] and coherence [10] at the resonance.
Impressive advances in the technology of generation of laser pulses of various durations, including ultrashort pulses (USP) [12], make the development of adequate, efficient, and preferably simple methods for describing the interaction of such pulses with a substance urgent. This is of special interest for plasma diagnostics by laser-induced fluorescence method, see [13]. The application of short laser pulses makes it possible to determine both local plasma parameters and their time-dependent fluctuations.
It is essential that interaction between USP and atoms contains a new parameter, namely, pulse duration, which may vary over a wide range of values. This parameter should be taken into account together with the Rabi frequency, which characterizes the laser field strength. The pulse duration opens a relatively new point of view on the excitation process, namely, one has to consider the atomic excitation probability during the action of a pulse in contrast to the standard consideration dealing with the probability per unit time.
The relationship between these two approaches can be demonstrated by the infinite pulse duration when the total probability is proportional to the product of the probability per unit time and the pulse duration (see the papers [14,15,16]).
From the physical point of view, this approach is similar to the Fermi equivalent photon method [17], namely, the USP field is decomposed into monochromatic components, for which the photoprocess is described using a cross section at a specific frequency, whereas the total probability is defined by the sum of partial probabilities.
The use of probability during the action of a pulse proved to be an efficient method for describing many photoprocesses induced by USP [18,19,20,21].
However, it should be emphasized that this method was derived within the framework of perturbation theory, which limits significantly the area of its applicability.
Therefore, an intriguing question is whether it is possible to take into account saturation of an excited radiative transition within the framework of this approach.
The purpose of this paper is to generalize the Karplus–Schwinger approach to the probability description and to trace the correspondence between this generalized method and the exact solution of the Bloch equations.
2. Perturbation Approach
Let us first consider excitation of a two-level system (TLS) with a dipole-allowed transition by an electromagnetic pulse within the framework of perturbation theory. The probability of this process during the action of the pulse is given by the following expression [18]:
where is the Fourier transform of the strength of the electric field in the pulse with carrier frequency ωc and duration τ, c is the velocity of light, and is the photoexcitation cross section with the spectral profile [21]:
where is the TLS oscillator strength, and e and m are the electron charge and mass, respectively.
We assume here a Lorentz spectral profile of the TLS. Then, the saturation effect can be described by inserting the squared Rabi frequency (proportional to the electric field strength) into the expression for the spectral profile [2]:
where is the TLS eigenfrequency and is the time of phase relaxation.
From Equation (3), it can be seen that the line width of the TLS under the action of the laser field takes the form:
while in the absence of resonance radiation, the line width is .
After substituting the spectral profile (3) in the expressions (2) and (1), we obtain the probability of excitation of a radiative transition by a laser pulse in view of the saturation effect. This method of describing photoexcitation will be called the generalized Karplus–Schwinger approach (GKSA).
3. Exponential Pulse
A simple analytical result can be obtained for the excitation probability in the case of a laser pulse with an exponential envelope:
where is the amplitude of the strength of the electric field in the pulse, ωc and τ are the carrier frequency and duration of the pulse, respectively, and is the Heaviside step function. It should be noted that such a kind of a pulse is usually used for description of the laser field in the Q-switching mode.
The squared absolute value of the Fourier transform of the strength of the electric field in the exponential pulse is equal to:
This simple formula is obtained in the rotating wave approximation that is valid for the resonance and for multicycle pulses (). Then, we can take the frequency in the denominator out of the integral in Equation (1), and the integral itself is calculated analytically. As a result, in view of (3), we find:
Thus, the line width of the TLS driven by the exponential pulse (5) depends on the pulse duration and takes the form:
We can rewrite Formula (7) using the following relationship between the amplitude of the strength of the electric field in the pulse and the Rabi frequency:
As a result, we obtain the final expression for the probability of TLS excitation by the exponential pulse during the pulse action:
This relationship describes explicitly the saturation effect in excitation of a homogeneously broadened line by an exponential pulse in terms of the probability during the action of the pulse.
It should be noted that the probability in (10) makes sense if W is less than one or equal to one. It can be seen that the pulse duration enters expression (10) in a natural manner: it describes the time of coherent interaction between the TLS and the laser pulse along with the time .
In the monochromatic limit (), we have from (10):
Thus, the excitation probability increases linearly with pulse duration τ in this case.
It should be noted that in the monochromatic limit, the expression (11) is valid for all types of pulse envelopes.
Neglecting the saturation effect, we have from Formula (10):
Therefore, the excitation probability has a Lorentz profile with the spectral width
In the opposite limit of strong saturation , Formula (10) gives:
so we obtain likewise a Lorentz profile again, but with another spectral width depending on the Rabi frequency .
It should be noted that in both limiting cases, the spectral profile depends significantly on the pulse duration.
Further, we will test the GKSA via the numerical solution of the Bloch equations.
4. Bloch Equations
Let us write the system of equations for the optical Bloch vector that depicts the TLS behavior under the action of a laser pulse [22]:
where , is the time of population relaxation.
It follows from the definition of the optical Bloch vector that its first component is proportional to the dipole moment of the two-level system (R1 ~ d(t)), the second component (R2) is proportional to the quadrature component of the dipole moment, and the third component is equal to the difference between the populations of the lower and upper levels (R3 = N1 − N2).
These equations make it possible to describe excitation of a radiative transition in a two-level system numerically outside the framework of perturbation theory.
We will consider the population of the upper level of the excited transition that is related to the third component of the Bloch vector in a simple way:
Since the Bloch sphere has unit radius, the components of the Bloch vector vary from zero to unity.
In what follows, we compare this value with the excitation probability (1). To make such a comparison correct, we assume in Equation (16) that . This means that we do not take into account the relaxation of the population of the upper level in our calculations.
5. Results and Discussions
Note that the probabilities (10)–(12) and Bloch equations (14)–(16) are invariant relative to the following transformation: frequency variables → frequency variables/ωs; time variables → time variables × ωs. Here, ωs is a scaling frequency which can be chosen depending on the physical implementation of the two-level system. For example, if an atom is considered, then it is convenient to use the Hartree system of units and ωs = 4.13·1016 s−1.
In the calculations, we assume that the TLS eigenfrequency is equal to relative units. The saturation degree can be characterized by the saturation parameter:
Excitation spectra calculated within the framework of different approaches for different values of the saturation parameter s are presented in Figure 1 and Figure 2 for long pulses (τ > T2) and in Figure 3 and Figure 4 for short pulses (τ < T2).
Figure 1.
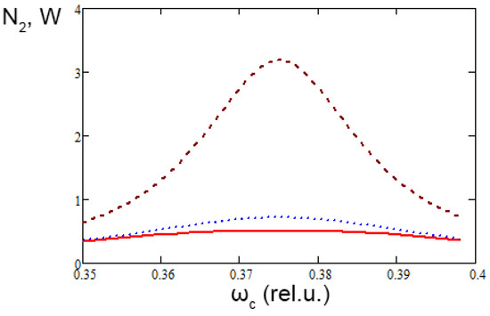
Long pulses τ > T2, weak saturation s = 1 (τ = 400, T2 = 102, Ω0 = 0.01): solid line—Bloch equation solution, dotted line—generalized Karplus–Schwinger approach, dashed line—Lorentz profile neglecting saturation.
Figure 2.
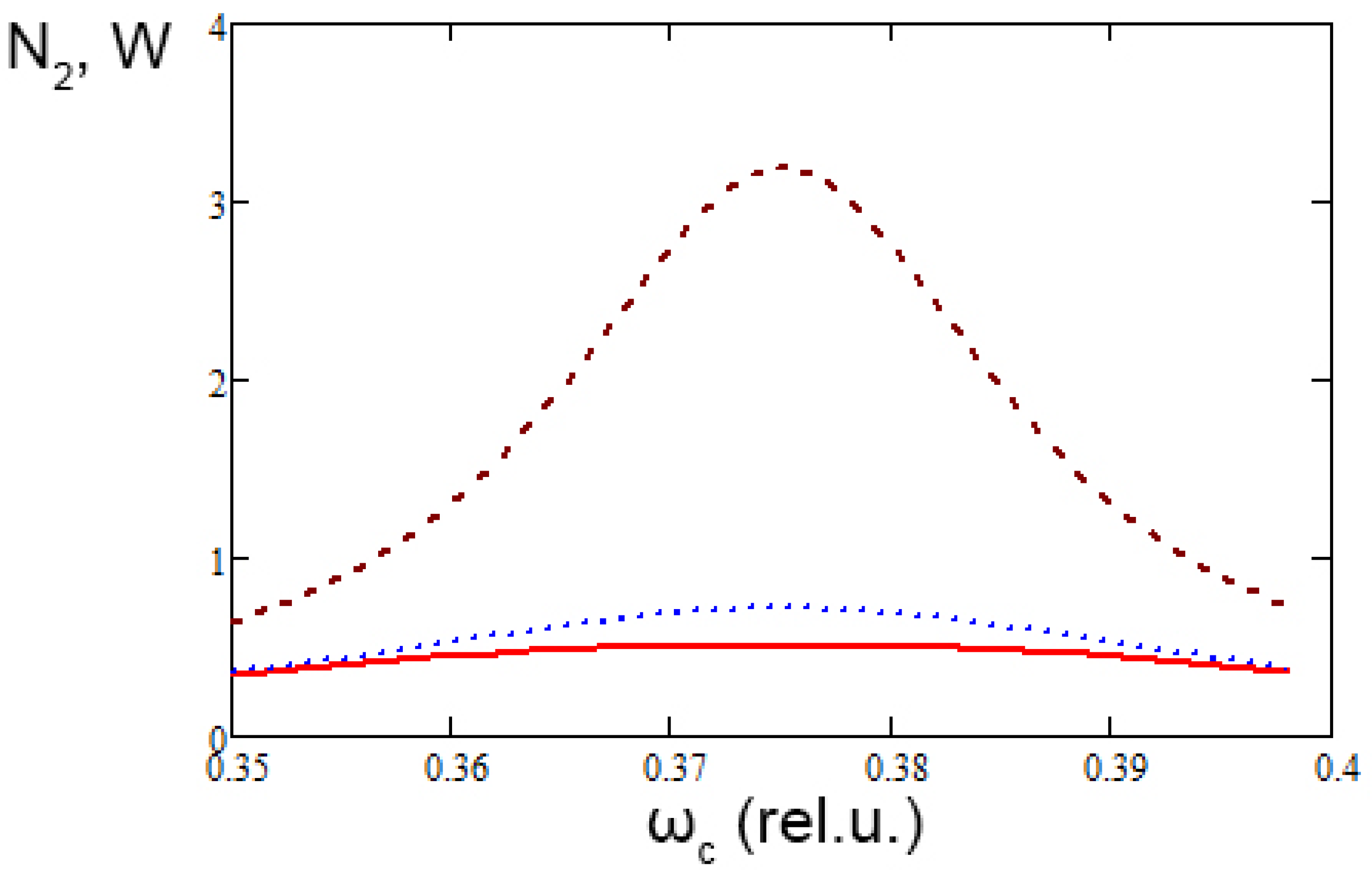
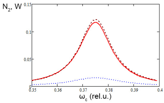
Long pulses τ > T2, moderate saturation s = 4 (τ = 400, T2 = 102, Ω0 = 0.02): solid line—Bloch equation solution, dotted line—generalized Karplus–Schwinger approach, dashed line—Lorentz profile neglecting saturation.
Figure 3.
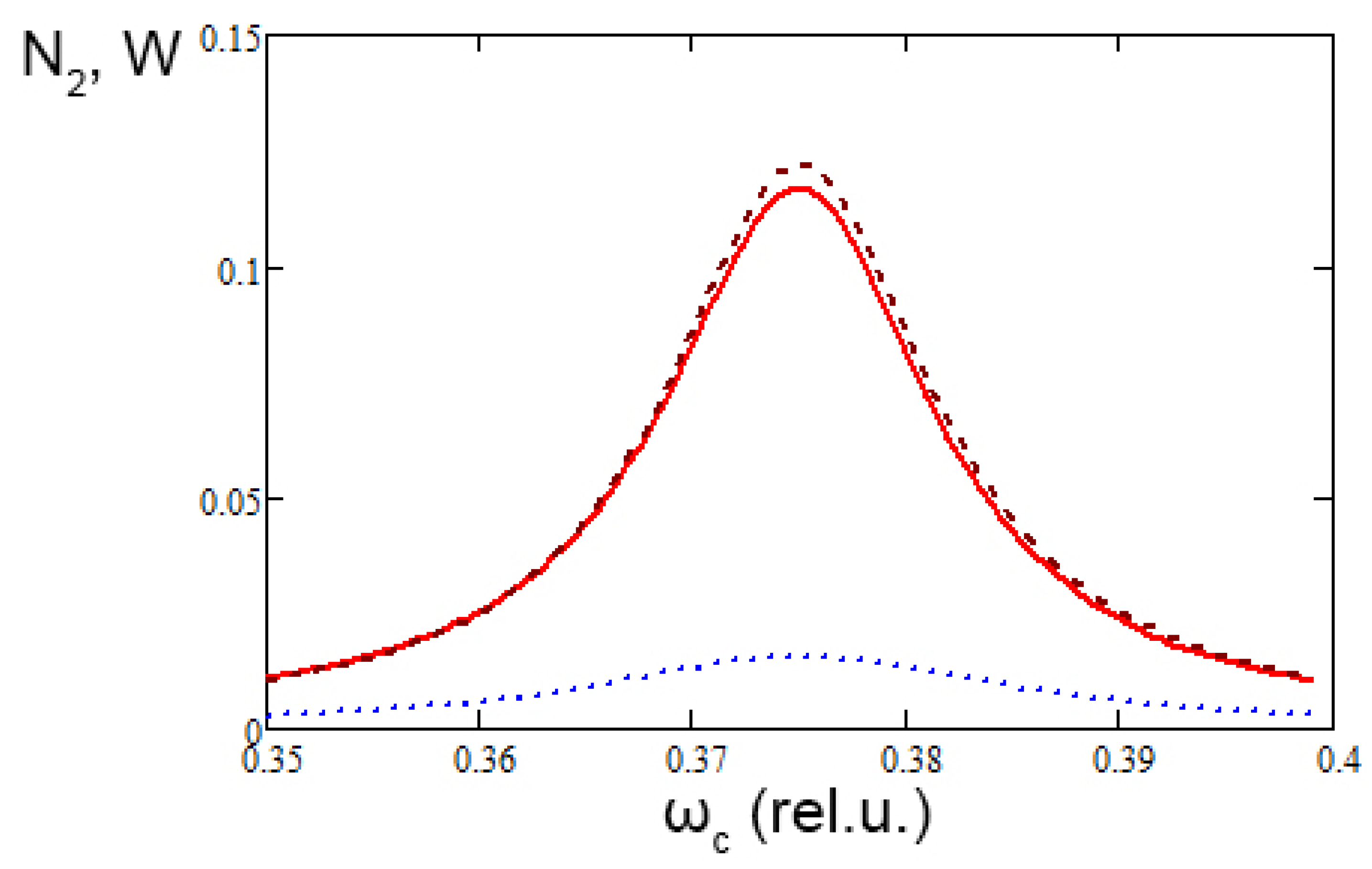
Short pulses τ < T2, weak saturation s = 0.56 (τ = 150, T2 = 103, Ω0 = 0.005): solid line—Bloch equation solution, dotted line—generalized Karplus–Schwinger approach, dashed line—Lorentz profile neglecting saturation.
Figure 4.
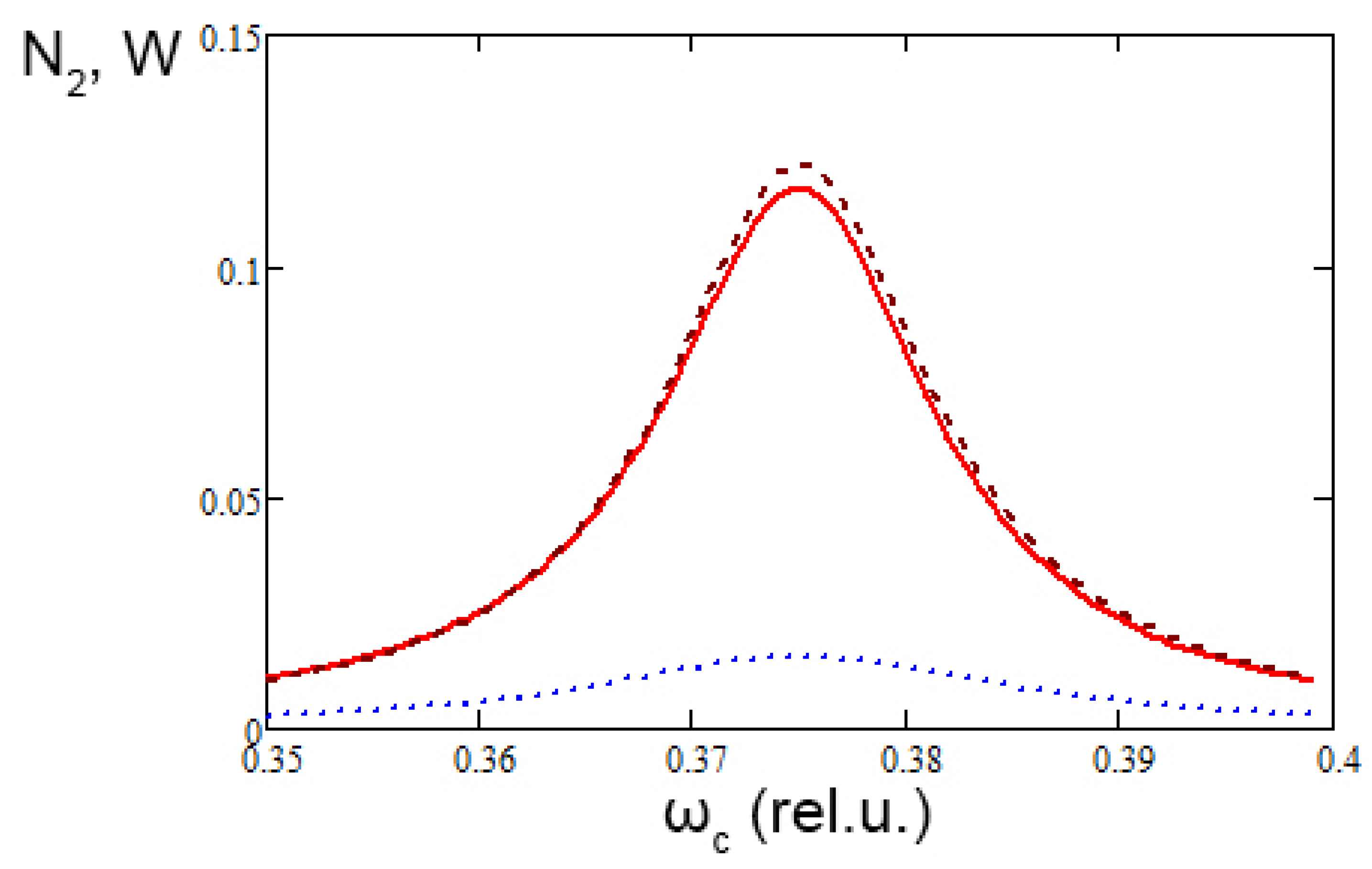
Short pulses τ < T2, moderate saturation s = 9 (τ = 150, T2 = 103, Ω0 = 0.02): solid line—Bloch equation solution, dotted line—generalized Karplus–Schwinger approach, dashed line—Lorentz profile neglecting saturation.
It can be seen that in cases of long pulses that the GKSA describes adequately the solution of the Bloch equations for both weak and moderate saturation. At the same time, spectra without saturation grossly overestimate the exact results for both values of the saturation parameter. Moreover, in case of moderate saturation, neglect of saturation leads to physically meaningless probability values greater than one (Figure 2).
The situation changes for excitation of the TLS by short pulses. Then, in cases of weak saturation (Figure 3), the excitation spectrum calculated by Formula (12) without considering saturation reproduces the Bloch solution well, whereas the generalized Karplus–Schwinger approach grossly underestimates the exact result.
In cases of moderate saturation (s = 9) and short pulses, the probability approach based on Formula (1) does not give a satisfactory agreement with the Bloch solution, either with or without saturation (Figure 4).
As follows from Formula (10), gross underestimation of the excitation probability in cases of short pulses follows from the presence of the factor in the denominator of the right-hand side of Equation (10).This reducing factor, in view of the definition in (18), can be rewritten as follows: . Thus, when the TLS is excited by short pulses , the deviation of the results of using the generalized Karplus–Schwinger model from the exact Bloch solution increases with an increasing saturation parameter and decreasing pulse duration. It should be noted that the reducing factor is canceled with the same factor in the numerator in cases of long pulses.
It is interesting to note that the saturation factor in (18) in cases of short pulses coincides with the squared area of a rectangular pulse . The pulse area Θ has a geometrical interpretation: it is equal to the angle of rotation of the optical Bloch vector under the action of a laser pulse. In addition, parameter Θ characterizes the strength of interaction between radiation and the two-level system. If it is much less than one, then the perturbation theory is applicable, and vice versa. Going beyond the scope of the perturbation theory, in particular, explains the difference between the GKSA spectra and the solution of the Bloch equations (Figure 1 and Figure 2).
Bloch results for excited-state populations as a function of Rabi frequency are shown in Figure 5 and Figure 6 for short- and long-phase relaxation time T2 and various values of pulse parameters (duration and carrier frequency).
Figure 5.
Excited-state population dependence on Rabi frequency for T2 = 102 and ωc = 0.37: solid line—τ = 100, dotted line—τ = 200, dashed line—τ = 500.
Figure 6.
Excited-state population dependence on Rabi frequency for T2 = 104 and ωc = 0.37: solid line—τ = 100, dotted line—τ = 200, dashed line—τ = 500.
It can be seen from the graphs that saturation is reached more quickly for longer pulses and shorter phase relaxation times. In addition, the amplitude of oscillations in the above instances of dependence increases with increasing time T2.
6. Summary
We have generalized the Karplus–Schwinger approach to the probabilistic description of the process based on expression (1) by taking into account field broadening of the spectral line. As a result, we have demonstrated that in cases of long pulses (Figure 1 and Figure 2), the GKSA describes adequately the excitation spectrum, especially for weak saturation.
In case of short excitation pulses, the GKSA spectra grossly underestimate the excitation probability (Figure 3 and Figure 4), due to the presence of the factor in the denominator of the expression (10).
The Lorentz profile neglecting saturation (12) gives a good approximation of the Bloch solution in cases of weak saturation and short pulses (Figure 3).
For strong saturation and short pulses (Figure 4), the GKSA based on Formula (10) with saturation and Formula (12) without saturation effects does not give a satisfactory result.
These conclusions have been obtained for TLS excitation by an exponential pulse (5), which allows us to carry out a simple analytical consideration for the probability of the process. The numerical analysis shows that the same conclusions hold for laser pulses with other envelopes, such as double-exponential and Gaussian pulses.
Author Contributions
Conceptualization, V.L.; methodology, V.A.; software, V.A.; validation, V.A. and V.L.; formal analysis, V.L.; investigation, V.A. and V.L. All authors have read and agreed to the published version of the manuscript.
Funding
The study was supported by the state assignment of the Russian Federation No. 0793-2020-0005.
Institutional Review Board Statement
Not applicable.
Informed Consent Statement
Not applicable.
Data Availability Statement
Requests to the corresponding author of this article.
Conflicts of Interest
The authors declare no conflict of interest.
References
- Svelto, O. Principles of Lasers; Springer: New York, NY, USA, 2010. [Google Scholar]
- Karplus, R.; Schwinger, J. A note on saturation in microwave spectroscopy. Phys. Rev. 1948, 73, 1020–1026. [Google Scholar] [CrossRef]
- Bloch, F. Nuclear induction. Phys. Rev. 1946, 70, 460–474. [Google Scholar] [CrossRef]
- Bottomley, P.A. NMR in medicine. Comp.Radiol. 1984, 8, 57–77. [Google Scholar] [CrossRef]
- Agarwal, G.S. Quantum Optics; Cambridge University Press: Cambridge, UK, 2013. [Google Scholar]
- Vedral, V. Introduction to Quantum Information Science; Oxford University Press: Oxford, UK, 2008. [Google Scholar]
- Boutabba, N.; Eleuch, H. Quantum control of an optically dense atomic medium: Pulse shaping in a V-type three-level system. Results Phys. 2020, 19, 103421. [Google Scholar] [CrossRef]
- Zlatanov, K.N.; Vitanov, N.V. Generation of arbitrary qubit states by adiabatic evolution split by a phase jump. Phys. Rev. A 2020, 101, 013426. [Google Scholar] [CrossRef]
- Zlatanov, K.N.; Vasilev, G.S.; Ivanov, P.A.; Vitanov, N.V. Exact solution of the Bloch equations for the nonresonant exponential model in the presence of dephasing. Phys. Rev. A 2015, 92, 043404. [Google Scholar] [CrossRef]
- Boutabba, N.; Grira, S.; Eleuch, H. Analysis of a q-deformed hyperbolic short laser pulse in a multi-level atomic system. Sci. Rep. 2022, 12, 9308. [Google Scholar] [CrossRef] [PubMed]
- Grira, S.; Boutabba, N.; Eleuch, H. Exact solutions of the Bloch equations of a two-level atom driven by the generalized double exponential quotient pulses with dephasing. Mathematics 2022, 10, 2105. [Google Scholar] [CrossRef]
- Alqattan, H.; Hui, D.; Pervak, V.; Hassan, M.T. Attosecond light field synthesis. APL Photonics 2022, 7, 041301. [Google Scholar] [CrossRef]
- Gorbunov, A.V.; Mukhinb, E.E.; Berikc, E.B. Laser-induced fluorescence for ITER divertor plasma. Fusion Eng. Des. 2017, 123, 695–698. [Google Scholar] [CrossRef]
- Rosmej, F.B.; Astapenko, V.A.; Lisitsa, V.S. Effects of ultrashort laser-pulse duration on Fano resonances in atomic spectra. Phys. Rev. A 2014, 90, 043421. [Google Scholar] [CrossRef]
- Astapenko, V.A. Excitation of quantum systems by short laser pulses: The effect of the pulse shape and durations. Phys. Lett. A 2022, 436, 128075. [Google Scholar] [CrossRef]
- Astapenko, V.A. Time dependence of resonant photoprocesses induced by electromagnetic pulses with various durations. JETP 2022, 135, 1–8. [Google Scholar] [CrossRef]
- Fermi, E. Uber die Theorie des Stoβes zwischen Atomen und elektrisch geladenen Teilchen. Z. Phys. 1924, 29, 315–327. [Google Scholar] [CrossRef]
- Astapenko, V.A. Simple formula for photoprocesses in ultrashort electromagnetic field. Phys. Lett. A 2010, 374, 1585–1590. [Google Scholar] [CrossRef]
- Rosmej, F.B.; Astapenko, V.A.; Khramov, E.S. XFEL and HHG interaction with matter: Effects of ultrashort pulses and random spikes. Matter Radiat. Extrems 2021, 6, 034001. [Google Scholar] [CrossRef]
- Astapenko, V.A.; Rosmej, F.B.; Khramov, E.S. Scattering of ultrashort laser pulses in Maxwellian plasmas: Transition scattering. Phys. Plasmas 2021, 28, 102104. [Google Scholar] [CrossRef]
- Rosmej, F.B.; Astapenko, V.A.; Lisitsa, V.S. Plasma Atomic Physics; Springer: Berlin/Heidelberg, Germany, 2021. [Google Scholar]
- Allen, L.; Eberly, J.H. Optical Resonance and Two-Level Atoms; John Wiley and Sons: New York, NY, USA; London, UK; Sydney, Australia; Toronto, ON, Canada, 1975. [Google Scholar]
Publisher’s Note: MDPI stays neutral with regard to jurisdictional claims in published maps and institutional affiliations. |
© 2022 by the authors. Licensee MDPI, Basel, Switzerland. This article is an open access article distributed under the terms and conditions of the Creative Commons Attribution (CC BY) license (https://creativecommons.org/licenses/by/4.0/).





