Constructing Electron-Atom Elastic Scattering Potentials Using Relativistic Coupled-Cluster Theory: A Few Case Studies
Abstract
1. Introduction
2. Theory
3. Methods for Calculations
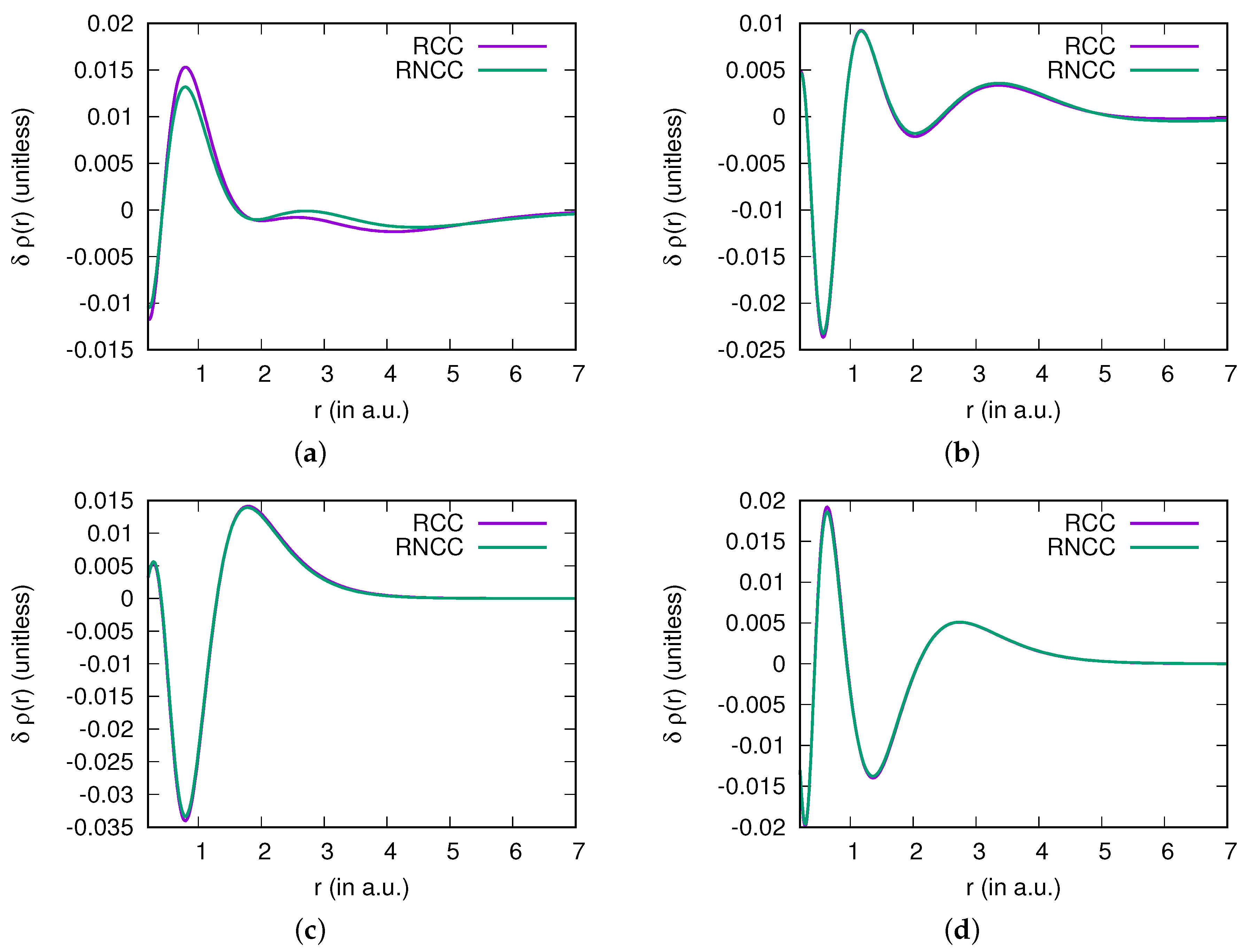
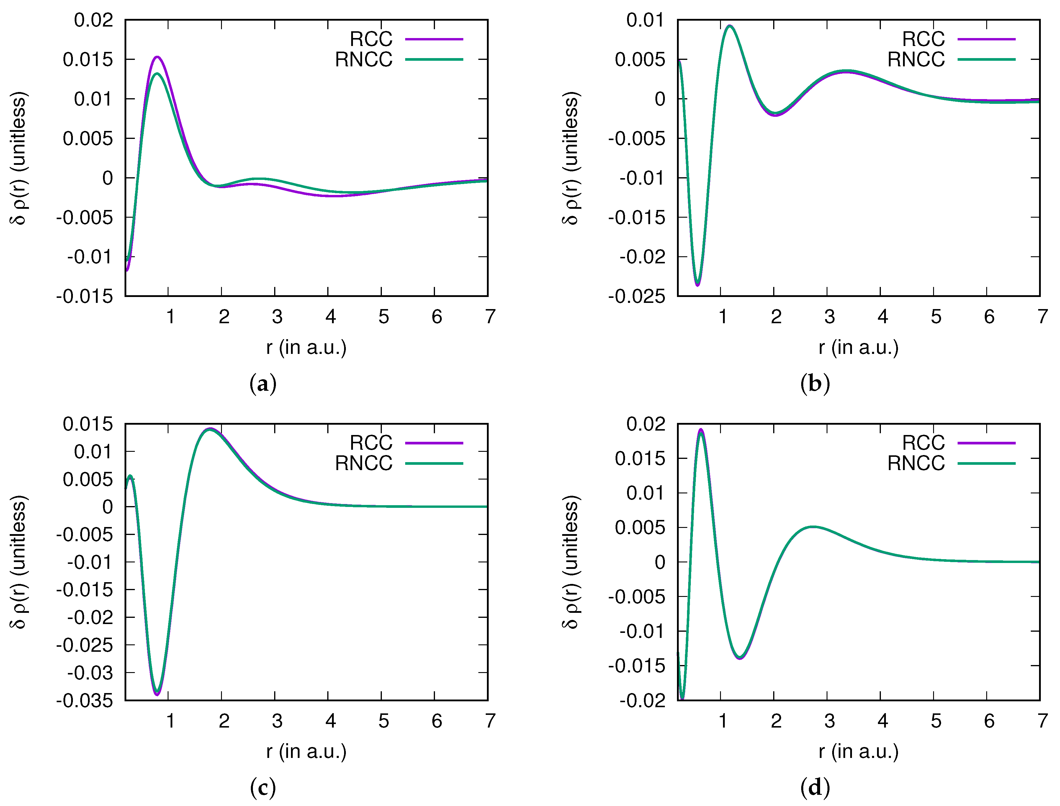
4. Results and Discussion
5. Conclusions
Funding
Acknowledgments
Conflicts of Interest
References
- Johnson, R.E. Introduction to Atomic and Molecular Collisions; Plenum Press: New York, NY, USA; London, UK, 1982. [Google Scholar]
- Amusia, M.Y. Many-body atomic physics, Chapter 8. In Many-Body Effects in Single Photoionization Processes; Boyle, J.J., Pindzola, M.S., Eds.; Cambridge University Press: New York, NY, USA, 1998; p. 185. [Google Scholar]
- Kotlarchyk, M. Encyclopedia of Spectroscopy and Spectrometry; Lindon, J.C., Ed.; Elsevier: Oxford, UK, 1999; pp. 2074–2084. [Google Scholar]
- Pradhan, A.K.; Nahar, S.N. Atomic Astrophysics and Spectroscopy; Cambridge University Press: New York, NY, USA, 2011. [Google Scholar]
- Dressler, R.A.; Chiu, Y.-H.; Zatsarinny, O.; Bartschat, K.; Srivastava, R.; Sharma, L. Near-infrared collisional radiative model for Xe plasma electrostatic thrusters: The role of metastable atoms. J. Phys. D 2009, 42, 185203. [Google Scholar] [CrossRef]
- Gangwar, R.K.; Srivastava, R.; Stauffer, A.D. Collisional-radiative model for non-Maxwellian inductively coupled argon plasmas using detailed fine-structure relativistic distorted-wave cross sections. Eur. Phys. J. D 2013, 67, 40244. [Google Scholar]
- Bray, I.; Fursa, D.V.; Kheifets, A.S.; Stelbovics, A.T. Electrons and photons colliding with atoms: Development and application of the convergent close-coupling method. J. Phys. B 2002, 35, R117. [Google Scholar] [CrossRef]
- Burke, P.G. R-Matrix Theory of Atomic Collisions; Springer: Berlin/Heidelberg, Germany, 2013. [Google Scholar]
- Post, D.E. A review of recent developments in atomic processes for divertors and edge plasmas. J. Nucl. Mater. 1995, 220, 143–157. [Google Scholar] [CrossRef]
- Jablonski, A.; Salvat, F.; Powell, C.J. Comparison of Electron Elastic-Scattering Cross Sections Calculated from Two Commonly Used Atomic Potentials. J. Phys. Chem. Ref. Data 2004, 33, 409–451. [Google Scholar] [CrossRef]
- O’Connell, J.K.; Lane, N.F. Nonadjustable exchange-correlation model for electron scattering from closed-shell atoms and molecules. Phys. Rev. A 1983, 27, 1893. [Google Scholar] [CrossRef]
- Yuan, J.; Zhang, Z. The low-lying shape resonances in low-energy electron scattering with Be, Mg and Ca atoms. J. Phys. B At. Mol. Opt. Phys. 1989, 22, 2751. [Google Scholar] [CrossRef]
- Franz, J. Positron-electron correlation-polarization potentials for the calculation of positron collisions with atoms and molecules. Eur. Phys. J. D 2017, 71, 44. [Google Scholar] [CrossRef]
- Tenfen, W.; Barp, M.V.; Arretche, F. Low-energy elastic scattering of positrons by O2. Phys. Rev. A 2019, 99, 022703. [Google Scholar] [CrossRef]
- Arretche, F.; Andermann, A.M.; Seidel, E.P.; Tenfen, W.; Sahoo, B.K. Polarization effects, shape resonances and bound states in low energy positron elastic scattering by Zinc and Cadmium vapours. J. Electron Spectrosc. Relat. Phenom 2022, 254, 147186. [Google Scholar] [CrossRef]
- Khandker, M.H.; Haque, A.K.F.; Haque, M.M.; Billah, M.M.; Watabe, H.; Uddin, M.A. Relativistic Study on the Scattering of e± from Atoms and Ions of the Rn Isonuclear Series. Atoms 2021, 9, 59. [Google Scholar] [CrossRef]
- Miller, W.H. Distorted-Wave Theory for Collisions of an Atom and a Diatomic Molecule. J. Chem. Phys. 1968, 49, 2373–2381. [Google Scholar] [CrossRef]
- Madison, D.H.; Shelton, W.N. Distorted-Wave Approximation and Its Application to the Differential and Integrated Cross Sections for Electron-Impact Excitation of the 2 1P State of Helium. Phys. Rev. A 1973, 7, 499. [Google Scholar] [CrossRef]
- Toshima, N.; Eichler, J. Distorted-wave approximations for relativistic atomic collisions. Phys. Rev. A 1990, 41, 5221. [Google Scholar] [CrossRef]
- Srivastava, R.; Muktavat, K.; Stauffer, A.D. Electron Impact Excitation of Atoms in the Relativistic Distorted Wave Approximation. Phys. Scr. 2004, 2004, 241. [Google Scholar] [CrossRef]
- Sharma, L.; Surzhykov, A.; Srivastava, R.; Fritzsche, S. Electron-impact excitation of singly charged metal ions. Phys. Rev. A 2011, 83, 062701. [Google Scholar] [CrossRef]
- Marucha, A.M.; Kariuki, P.K.; Okumu, J.; Singh, C.S. Relativistic distorted wave approach to electron impact excitation of argon gas using a complex potential. J. Phys. Commun. 2021, 5, 075011. [Google Scholar] [CrossRef]
- Teubner, P.J.O.; Farrell, P.M.; Karaganov, V.; Law, M.R.; Suvorov, V. Laser Assisted Collisions of Electrons with Metal Vapours. Aust. J. Phys. 1996, 49, 481–498. [Google Scholar] [CrossRef]
- Joshipura, K.; Mason, N. Atomic-Molecular Ionization by Electron Scattering: Theory and Applications; Cambridge University Press: New York, NY, USA, 2019; pp. 177–218. [Google Scholar]
- Buckman, S.J.; Cooper, J.W.; Elford, M.T.; Inokuti, M.; Itikawa, Y.; Tawara, H. Interactions of Photons and Electrons with Atoms; Itikawa, Y., Ed.; Springer: Berlin/Heidelberg, Germany, 2000; Volume 17A, pp. 1–77. [Google Scholar]
- Jhanwar, B.L.; Khare, S.P.; Kumar, A., Jr. Elastic scattering of electrons on Ne atoms at intermediate energies. J. Phys. B At. Mol. Phys. 1978, 11, 887. [Google Scholar] [CrossRef]
- Khare, S.P.; Kumar, A., Jr. Elastic scattering of electrons by argon atoms. Pramana 1978, 10, 63–73. [Google Scholar] [CrossRef]
- Khare, S.P.; Kumar, A.; Lata, K. Elastic scattering of electrons and positrons by magnesium atoms at intermediate energies. J. Phys. B At. Mol. Phys. 1983, 16, 4419. [Google Scholar] [CrossRef]
- Elkilany, S.A. Elastic scattering of electrons by helium and neon atoms. Nouv. Cim. D 1998, 20, 147–154. [Google Scholar] [CrossRef]
- Phelps, A.V.; Greene, C.H.; Burke, J.P., Jr.; Phelps, A.V. Collision cross sections for argon atoms with argon atoms for energies from 0.01 eV to 10 keV. J. Phys. B At. Mol. Opt. Phys. 2000, 33, 2965. [Google Scholar] [CrossRef]
- Khoperskiĭ, A.N.; Yavna, V.A.; Nadolinskiĭ, A.M.; Dzyuba, D.V. Elastic scattering of a photon by the neon atom near the K ionization edge. Opt. Spectrosc. 2004, 96, 195–197. [Google Scholar] [CrossRef]
- Baynard, T.; Reber, A.C.; Niedziela, R.F.; Darveau, S.A.; Prutzman, B.; Berry, R.S. Electron-Atom Superelastic Scattering in Magnesium at Millielectron Volt Energies. J. Phys. Chem. A 2007, 111, 12487–12494. [Google Scholar] [CrossRef] [PubMed]
- Kumar, A.; Kumar, S.; Rastogi, N.; Raj, D. Critical points for electron-Mg atom elastic scattering. J. Phys. B At. Mol. Opt. Phys. 2018, 51, 035203. [Google Scholar] [CrossRef]
- Bishop, R.; Arponen, J.; Pajanee, P. Aspects of Many-Body Effects in Molecules and Extended Systems; Springer: Berlin/Heidelberg, Germany, 1989. [Google Scholar]
- Szabo, A.; Ostuland, N. Modern Quantum Chemistry, 1st ed. (revised); Dover Publications, Inc.: Mineola, NY, USA, 1996. [Google Scholar]
- Crawford, T.D.; Schaefer, H.F., III. An Introduction to Coupled Cluster Theory for Computational Chemists; Lipkowitz, K.B., Boyd, D.B., Eds.; Wiley: New York, NY, USA, 2000; pp. 33–136. [Google Scholar]
- Shavitt, I.; Bartlett, R.J. Many-Body Methods in Chemistry and Physics; Cambidge University Press: Cambridge, UK, 2009. [Google Scholar]
- Sharma, L.; Sahoo, B.K.; Malkar, P.; Srivastava, R. Application of relativistic coupled-cluster theory to electron impact excitations of Mg+ in the plasma environment. Eur. Phys. J. D 2018, 72, 10. [Google Scholar] [CrossRef]
- Bharti, S.; Sharma, L.; Sahoo, B.K.; Malkar, P.; Srivastava, R. Application of relativistic coupled cluster theory to elastic scattering of electrons from confined Ca atoms. J. Phys. B 2019, 52, 185003. [Google Scholar] [CrossRef]
- Gribakin, G.F.; Ludlow, J. Convergence of partial-wave expansions for energies, scattering amplitudes and positron annihilation rates. J. Phys. B At. Mol. Opt. Phys. 2002, 35, 339. [Google Scholar] [CrossRef][Green Version]
- Chakraborty, A.; Rithvik, S.K.; Sahoo, B.K. Relativistic normal coupled-cluster theory analysis of second- and third-order electric polarizabilities of Zn I. Phys. Rev. A 2022, 105, 062815. [Google Scholar] [CrossRef]
- Newton, R.G. Scattering Theory of Waves and Particles; Springer: Berlin/Heidelberg, Germany, 1982. [Google Scholar]
- Estevez, G.; Bhuiyan, L.B. Electrostatic potential due to a Fermi-type charge distribution. Am. J. Phys. 1985, 53, 450–453. [Google Scholar] [CrossRef]
- Hara, S. The Scattering of Slow Electrons by Hydrogen Molecules. J. Phys. Soc. Jpn. 1967, 22, 710–718. [Google Scholar] [CrossRef]
- Arretche, F.; Barp, M.V.; Tenfen, W.; Seidel, E.P. The Hidden Ramsauer-Townsend Effect in Positron Scattering by Rare Gas Atoms. Braz. J. Phys. 2020, 50, 844–856. [Google Scholar] [CrossRef]
- Burrow, P.; Michejda, J.; Comer, J. Low-energy electron scattering from Mg, Zn, Cd and Hg: Shape resonances and electron affinities. J. Phys. B At. Mol. Phys. 1976, 9, 3225. [Google Scholar] [CrossRef]
- Sahoo, B.K.; Das, B.P. Relativistic coupled-cluster studies of dipole polarizabilities in closed-shell atoms. Phys. Rev. A 2008, 77, 062516. [Google Scholar] [CrossRef]
- Singh, Y.; Sahoo, B.K. Correlation trends in the polarizabilities of atoms and ions in the boron, carbon, and zinc homologous sequences of elements. Phys. Rev. A 2014, 90, 022511. [Google Scholar] [CrossRef]
- Singh, Y.; Sahoo, B.K. Rigorous limits on the hadronic and semileptonic CP-violating coupling constants from the electric dipole moment of 199Hg. Phys. Rev. A 2015, 91, 030501(R). [Google Scholar] [CrossRef]
- Prasannaa, V.S.; Mitra, R.; Sahoo, B.K. Reappraisal of P, T-odd parameters from the improved calculation of electric dipole moment of 225Ra atom. J. Phys. B 2020, 53, 195004. [Google Scholar] [CrossRef]
- Sahoo, B.K.; Das, B.P. Relativistic Normal Coupled-Cluster Theory for Accurate Determination of Electric Dipole Moments of Atoms: First Application to the 199Hg Atom. Phys. Rev. Lett. 2018, 120, 203001. [Google Scholar] [CrossRef]
- Corzo, H.H.; Sehanobish, A.; Kara, O. Learning Full Configuration Interaction Electron Correlations with Deep Learning. arXiv 2021, arXiv:2106.08138. [Google Scholar]
- Zaklika, J.; Hładyszowski, J.; Ordon, P.; Komorowski, L. From the Electron Density Gradient to the Quantitative Reactivity Indicators: Local Softness and the Fukui Function. ACS Omega 2022, 7, 7745–7758. [Google Scholar] [CrossRef] [PubMed]
- Diouf, Y.; Talla, K.; Diallo, S.; Gomis, L. Numerical Study of Density Functional Theory of Multi-electronic Atoms: Case of Carbon and Helium. Am. J. Nanomaterials 2021, 9, 12–22. [Google Scholar] [CrossRef]
- Thakkar, A.J.; Lupinetti, C. Atomic Polarizabilities and Hyperpolarizabilities: A Critical Compilation. In Computational, Numerical and Mathematical Methods in Sciences and Engineering; Maroulis, G., Ed.; 2006; Volume 1, Chapter 4; pp. 505–529. Available online: https://www.worldscientific.com/doi/abs/10.1142/9781860948862_0014 (accessed on 24 July 2022).
- Porsev, S.G.; Derevianko, A. High-accuracy calculations of dipole, quadrupole, and octupole electric dynamic polarizabilities and van der Waals coefficients C6, C8, and C10 for alkaline-earth dimers. J. Expt. Theor. Phys. 2006, 102, 195–205. [Google Scholar] [CrossRef]
- Singh, Y.; Sahoo, B.K.; Das, B.P. Correlation trends in the ground-state static electric dipole polarizabilities of closed-shell atoms and ions. Phys. Rev. A 2013, 88, 062504. [Google Scholar] [CrossRef]
- Schwerdtfeger, P.; Nagle, J.K. 2018 Table of static dipole polarizabilities of the neutral elements in the periodic table. Mol. Phys. 2019, 117, 1200–1225. [Google Scholar] [CrossRef]
- Huot, J.; Bose, T.K. Experimental determination of the dielectric virial coefficients of atomic gases as a function of temperature. J. Chem. Phys. 1991, 95, 2683–2687. [Google Scholar] [CrossRef]
- Taylor, P.R.; Lee, T.J.; Rice, J.E.; Almlöf, J. The polarizabilities of neon. Chem. Phys. Lett. 1989, 163, 359–365. [Google Scholar] [CrossRef]
- Johnston, D.R.; Oudemans, G.J.; Cole, R.H. Dielectric Constants of Imperfect Gases. I. Helium, Argon, Nitrogen, and Methane. J. Chem. Phys. 1960, 33, 1310–1317. [Google Scholar] [CrossRef]
- Hohm, U.; Kerl, K. Interferometric measurements of the dipole polarizability α of molecules between 300 K and 1100 K. Mol. Phys. 1990, 69, 803–817. [Google Scholar] [CrossRef]
- Cernusak, I.; Diercksen, G.H.F.; Sadlej, A.J. Multipole polarizabilities of Ar. Chem. Phys. Letts. 1986, 128, 18–24. [Google Scholar] [CrossRef]
- Maroulis, G.; Bishop, D.M. On the electric polarisabilities of argon. J. Phys. B At. Mol. Phys. 1985, 18, 4675. [Google Scholar] [CrossRef]




| Property | DHF | RCCSD | RNCCSD | Others |
|---|---|---|---|---|
| Be atom | ||||
| 30.53 | 38.33 | 37.40 | 37.739(30) [55] | |
| 37.76(22) [56] | ||||
| 37.86(17) [57] | ||||
| 37.74(3) [58] | ||||
| 220.15 | 299.82 | 304.34 | 300.96 [55] | |
| 300.6(3) [56] | ||||
| B | [55] | |||
| Mg atom | ||||
| 54.94 | 71.74 | 69.40 | 71.22(36) [55] | |
| 71.3(7) [56] | ||||
| 72.54(50) [57] | ||||
| 71.2(4) [58] | ||||
| 567.37 | 809.56 | 797.91 | 813.9(16.3) [55] | |
| 812(6) [56] | ||||
| B | [55] | |||
| Ne atom | ||||
| 1.98 | 2.70 | 2.62 | 2.6669(8) [59] | |
| 2.652(15) [57] | ||||
| 2.66110(3) [58] | ||||
| 2.64 [60] | ||||
| 4.76 | 7.48 | 7.09 | 7.52(15) [55] | |
| 7.36 [60] | ||||
| B | [55] | |||
| [60] | ||||
| Ar atom | ||||
| 10.15 | 11.21 | 11.15 | 11.083(7) [61] | |
| 11.070(7) [62] | ||||
| 11.089(4) [57] | ||||
| 11.083(7) [58] | ||||
| 11.33 [63] | ||||
| 10.73 [64] | ||||
| 37.19 | 51.61 | 50.33 | 53.37(1.07) [55] | |
| 53.22 [63] | ||||
| 49.46 [64] | ||||
| B | [55] | |||
| [63] | ||||
| [64] | ||||
Publisher’s Note: MDPI stays neutral with regard to jurisdictional claims in published maps and institutional affiliations. |
© 2022 by the author. Licensee MDPI, Basel, Switzerland. This article is an open access article distributed under the terms and conditions of the Creative Commons Attribution (CC BY) license (https://creativecommons.org/licenses/by/4.0/).
Share and Cite
Sahoo, B.K. Constructing Electron-Atom Elastic Scattering Potentials Using Relativistic Coupled-Cluster Theory: A Few Case Studies. Atoms 2022, 10, 88. https://doi.org/10.3390/atoms10030088
Sahoo BK. Constructing Electron-Atom Elastic Scattering Potentials Using Relativistic Coupled-Cluster Theory: A Few Case Studies. Atoms. 2022; 10(3):88. https://doi.org/10.3390/atoms10030088
Chicago/Turabian StyleSahoo, Bijaya Kumar. 2022. "Constructing Electron-Atom Elastic Scattering Potentials Using Relativistic Coupled-Cluster Theory: A Few Case Studies" Atoms 10, no. 3: 88. https://doi.org/10.3390/atoms10030088
APA StyleSahoo, B. K. (2022). Constructing Electron-Atom Elastic Scattering Potentials Using Relativistic Coupled-Cluster Theory: A Few Case Studies. Atoms, 10(3), 88. https://doi.org/10.3390/atoms10030088

