Recent Progress in Low-Energy Electron Elastic-Collisions with Multi-Electron Atoms and Fullerene Molecules †
Abstract
1. Introduction
- (1)
- The first considers the EA to correspond to the electron BE in the ground state of the formed negative ion during collision; it is exemplified by the measured EAs of Au, Pt and At atoms and the fullerene molecules from C20 through C92.
- (2)
- The second view identifies the measured EA with the BE of electron attachment in an excited state of the formed anion. The measured EAs of Ti, Hf, lanthanide and actinide atoms provide representative examples of this viewpoint.
2. Method of Calculation
3. Results
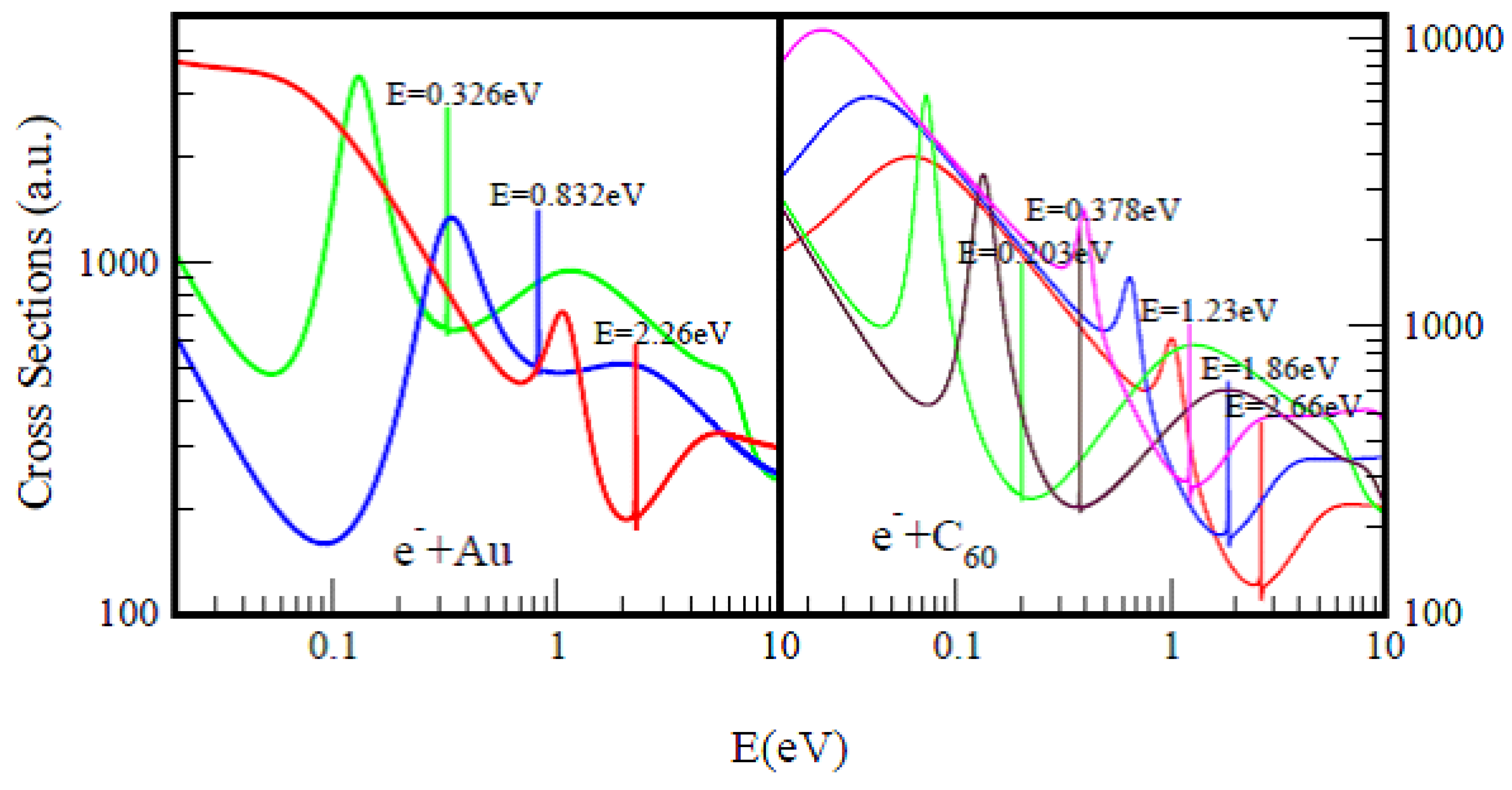
3.1. Cross Sections for the Representative Atom Au and Fullerene Molecule C60
3.2. Ground State Fullerene Cross Sections
| System | EA EXPT. | BE(Ours) GR-S | BEs MS-1 | BEs MS-2 | BEs MS-3 | BEs EXT-1 | BEs EXT-2 | BEs EXT-3 | EA Theory |
|---|---|---|---|---|---|---|---|---|---|
| C20 | 2.44 [65] 2.60 [66] 2.70 [67] | 2.72 | 1.48 | - | - | 0.466 | - | - | - |
| C24 | 3.750 [66] 2.90 [67] | 3.79 | 2.29 | 1.41 | - | 0.428 | 0.801 | - | - |
| C26 | 3.100 [66] 2.95 [67] | 2.67 | 1.59 | - | - | 0.464 | - | - | - |
| C28 | 2.80 [66] 3.00 [67] | 3.10 | 1.80 | - | - | 0.305 | 0.505 | - | - |
| C44 | 3.30 [68] | 3.15 | 1.89 | 1.47 | - | 0.319 | 0.492 | - | |
| C74 | 3.28 [69] | 4.03 | 2.83 | 2.01 | 1.48 | 0.251 | 0.407 | 0.643 | |
| C76 | 2.89 [69] | 2.79 | |||||||
| C78 | 3.10 [69] | 2.98 | |||||||
| C80 | 3.17 [69] | 3.28 | |||||||
| C82 | 3.14 [69] | 3.15 | 3.37 [59] | ||||||
| C84 | 3.05 [13] | 2.94 | |||||||
| C86 | ≥3.0 [13] | 2.92 | |||||||
| C90 | ≥3.0 [13] | 3.06 | |||||||
| C92 | ≥3.0 [13] | 3.09 | 2.35 | 1.58 | - | 0.266 | - | - | |
| C100 | - | 3.67 | 2.70 | 2.04 | - | 0.242 | 0.379 | 0.531 | |
| C112 | - | 3.31 | 2.53 | 1.73 | - | 0.243 | 0. 315 | 0.519 | |
| C120 | - | 3.74 | 2.97 | 2.04 | 1.58 | 0.244 | 0.372 | 0.576 | |
| C124 | - | 3.06 | 2.30 | 1.71 | - | 0.289 | 0.393 | 0.569 | |
| C132 | - | 3.59 | 2.60 | 1.93 | - | 0.251 | 0.338 | - | |
| C136 | - | 3.75 | 2.64 | 2.19 | 1.67 | 0.260 | 0.345 | 0.488 | |
| C140 | - | 3.94 | 3.06 | 2.23 | 1.75 | 0.360 | 0.562 | 0.716 | |
| C180 | - | 3.75 | 2.64 | 2.19 | 1.67 | 0.260 | 0.345 | 0.488 | 2.61 [70] |
| C240 | - | 4.18 | - | - | - | - | 3.81 [71] 2.32 [72] |
3.3. Cross Sections for the Large Atoms Hf, Pt, Au, Ti and At
3.4. Cross Sections for the Lanthanide Atoms
3.5. Cross Sections for the Actinide Atoms
| System/ Z | BEs GRS | BEs MS-1 | BEs MS-2 | EAs EXPT | BEs EXT-1 | BEs EXT-2 | R-T GRS | BEs/EAs Theory | EAs [36] | EAs [76] |
|---|---|---|---|---|---|---|---|---|---|---|
| Au 79 | 2.26 | 0.832 | - | 2.309 [4] | 0.326 | - | 2.24 | 2.262 [25] | - | - |
| Th 90 | 3.09 | 1.36 | 0.905 | 0.608 [18] | 0.149 | 0.549 | 3.10 | 0.599 [18] | 0.368 | 1.17 |
| U 92 | 3.03 | 1.44 | - | 0.315 [19] 0.309 [20] | 0.220 | 0.507 | 3.01 | 0.232 [20] 0.175 [36] | 0.373 | 0.53 |
| Pu 94 | 3.25 | 1.57 | 1.22 | N/A | 0.225 | 0.527 | 3.26 | - | 0.085 | −0.503 −0.276 |
| Am 95 | 3.25 | 1.58 | 0.968 | N/A | 0.243 | 0.619 | 3.27 | - | 0.076 |
0.103 0.142 |
| Bk 97 | 3.55 | 1.73 | 0.997 | N/A | 0.267 | 0.505 | 3.53 | - | 0.031 | −0.503 −0.276 |
| Cf 98 | 3.32 | 1.70 | 0.955 | n/A | 0.272 | 0.577 | 3.34 | - |
0.018 0.010 | −0.777 −1.013 |
| Es 99 | 3.42 | 1.66 | 0.948 | N/A | 0.272 | 0.642 | 3.44 | - | 0.002 |
0.103 0.142 |
| Fm 100 | 3.47 | 1.79 | 1.02 | N/A | 0.268 | 0.623 | 3.49 | - | - |
0.597 0.354 |
| Md 101 | 3.77 | 1.81 | 0.996 | N/A | 0.259 | 0.700 | 3.78 | - |
1.224 0.978 | |
| No 102 | 3.83 | 1.92 | 1.03 | N/A | 0.292 | 0.705 | 3.85 | - | - | −2.302 −2.325 |
| Lr 103 | 3.88 | 1.92 | 1.10 | N/A | 0.321 | 0.649 | 3.90 | 0.310 [78] 0.160 [78] 0.476 [79] |
0.465 0.295 | −0.212 −0.313 |
3.6. Fullerene Negative-Ion Catalysis
3.6.1. Overview
3.6.2. Results
3.7. Atomic Structure and Dynamics of Bk and Cf: Experiment Versus Theory
4. Summary and Conclusions
- (1)
- The first considers the EA to correspond to the electron BE in the ground state of the formed negative ion during collision; it is exemplified by the measured EAs of Au, Pt and At atoms and the fullerene molecules from C20 through to C92.
- (2)
- The second view identifies the measured EA with the BE of electron attachment in an excited state of the formed anion. The measured EAs of Ti, Hf, lanthanide and actinide atoms provide representative examples of this viewpoint.
Author Contributions
Funding
Acknowledgments
Conflicts of Interest
References
- Kasdan, K.; Lineberger, W.C. Alkali-metal negative ions. II. Laser photoelectron spectrometry. Phys. Rev. A 1974, 10, 1658. [Google Scholar] [CrossRef]
- Field, D.; Jones, N.C.; Ziesel, J.-P. Europhys. News 2002, 33, 1. [Google Scholar]
- Cheng, S.-B.; Castleman, A.W. Direct experimental observation of weakly-bound character of the attached electron in europium anion. Sci. Rep. 2015, 5, 12414. [Google Scholar] [CrossRef] [PubMed]
- Hotop, H.; Lineberger, W.C. Dye-laser photodetachment studies of Au−, Pt−, PtN−, and Ag−. J. Chem. Phys. 2003, 58, 2379. [Google Scholar] [CrossRef]
- Andersen, T.; Haugen, H.K.; Hotop, H. Binding Energies in Atomic Negative Ions: III. J. Phys. Chem. Ref. Data 1999, 28, 1511. [Google Scholar] [CrossRef]
- Zheng, W.; Li, X.; Eustis, S.; Grubisic, A.; Thomas, O.; De Clercq, H.; Bowen, K. Anion photoelectron spectroscopy of Au−(H2O) 1, 2, Au2-(D2O) 1–4, and AuOH−. Chem. Phys. Lett. 2007, 444, 232–236. [Google Scholar] [CrossRef]
- Gibson, D.; Davies, B.J.; Larson, D.J. The electron affinity of platinum. J. Chem. Phys. 1993, 98, 5104. [Google Scholar] [CrossRef]
- Bilodeau, R.C.; Scheer, M.; Haugen, H.K.; Brooks, R.L. Near-threshold laser spectroscopy of iridium and platinum negative ions: Electron affinities and the threshold law. Phys. Rev. A 1999, 61, 012505. [Google Scholar] [CrossRef]
- Leimbach, D.; Karls, J.; Guo, Y.; Ahmed, R.; Ballof, J.; Bengtsson, L.; Pamies, F.B.; Borschevsky, A.; Chrysalidis, K.; Eliav, E.; et al. The electron affinity of astatine. Nat. Commun. 2020, 11, 3824. [Google Scholar] [CrossRef]
- Huang, D.-L.; Dau, P.D.; Liu, H.T.; Wang, L.-S. High-resolution photoelectron imaging of cold C60- anions and accurate determination of the electron affinity of C60. J. Chem. Phys. 2014, 140, 224315. [Google Scholar] [CrossRef]
- Brink, C.; Andersen, L.H.; Hvelplund, P.; Mathur, D.; Voldstad, J.D. Laser photodetachment of C60- and C70- ions cooled in a storage ring. Chem. Phys. Lett. 1995, 233, 52–56. [Google Scholar] [CrossRef]
- Wang, X.-B.; Ding, C.F.; Wang, L.-S. High resolution photoelectron spectroscopy of . J. Chem. Phys. 1999, 110, 8217. [Google Scholar] [CrossRef]
- Boltalina, O.V.; Sidorov, L.N.; Borshchevsky, A.Y.; Sukhanova, E.V.; Skokan, E.V. Electron affinities of higher fullerenes. Rapid Commun. Mass Spectrom. 1993, 7, 1009. [Google Scholar] [CrossRef]
- Palpant, B.; Otake, A.; Hayakawa, F.; Negishi, Y.; Lee, G.H.; Nakajima, A.; Kaya, K. Photoelectron spectroscopy of sodium-coated C60 and C70 cluster anions. Phys. Rev. B 1999, 60, 4509. [Google Scholar] [CrossRef]
- Si, R.; Froese Fischer, C. Electron affinities of At and its homologous elements Cl, Br, I. Phys. Rev. A 2018, 98, 052504. [Google Scholar] [CrossRef]
- Msezane, A.Z.; Felfli, Z. New insights in low-energy electron-fullerene interactions. Chem. Phys. 2018, 503, 50. [Google Scholar] [CrossRef]
- Felfli, Z.; Msezane, A.Z. Simple method for determining fullerene negative ion formation. Eur. Phys. J. D 2018, 72, 78. [Google Scholar] [CrossRef]
- Tang, R.; Si, R.; Fei, Z.; Fu, X.; Lu, Y.; Brage, T.; Liu, H.; Chen, C.; Ning, C. Candidate for Laser Cooling of a Negative Ion: High-Resolution Photoelectron Imaging of Th−. Phys. Rev. Lett. 2019, 123, 203002. [Google Scholar] [CrossRef]
- Tang, R.; Lu, Y.; Liu, H.; Ning, C. Electron affinity of uranium and bound states of opposite parity in its anion. Phys. Rev. A 2021, 103, L050801. [Google Scholar] [CrossRef]
- Ciborowski, S.M.; Liu, G.; Blankenhorn, M.; Harris, R.M.; Marshall, M.A.; Zhu, Z.; Bowen, K.H.; Peterson, K.A. The electron affinity of the uranium atom. J. Chem. Phys. 2021, 154, 224307. [Google Scholar] [CrossRef]
- Carpenter, D.L.; Covington, A.M.; Thompson, J.S. Laser-photodetachment-electron spectroscopy of Ti-. Phys. Rev. A 2000, 61, 042501. [Google Scholar] [CrossRef]
- Tang, R.; Fu, X.; Ning, C. Accurate electron affinity of Ti and fine structures of its anions. J. Chem. Phys. 2018, 149, 134304. [Google Scholar] [CrossRef]
- Arnau, F.; Mota, F.; Novoa, J.J. Accurate calculation of the electron affinities of the group-13 atoms. Chem. Phys. 1992, 166, 77. [Google Scholar] [CrossRef]
- Wijesundera, W.P. Theoretical study of the negative ions of boron, aluminum, gallium, indium, and thallium. Phys. Rev. A 1997, 55, 1785. [Google Scholar] [CrossRef]
- Felfli, Z.; Msezane, A.Z.; Sokolovski, D. Near-threshold resonances in electron elastic scattering cross sections for Au and Pt atoms: Identification of electron affinities. J. Phys. B 2008, 41, 105201. [Google Scholar] [CrossRef]
- Tang, R.; Chen, X.; Fu, X.; Wang, H.; Ning, C. Electron affinity of the hafnium atom. Phys. Rev. A 2018, 98, 020501. [Google Scholar] [CrossRef]
- Pan, L.; Beck, D.R. Calculations of Hf− electron affinity and photodetachment partial cross sections. J. Phys. B At. Mol. Opt. Phys. 2010, 43, 025002. [Google Scholar] [CrossRef][Green Version]
- Felfli, Z.; Msezane, A.Z.; Sokolovski, D. Strong resonances in low-energy electron elastic total and differential cross sections for Hf and Lu atoms. Phys. Rev. A 2008, 78, 030703. [Google Scholar] [CrossRef]
- Felfli, Z.; Msezane, A.Z. Conundrum in Measured Electron Affinities of Complex Heavy Atoms. J. At. Mol. Condens. Nano Phys. 2018, 5, 73. [Google Scholar] [CrossRef][Green Version]
- Felfli, Z.; Msezane, A.Z. Low-Energy Electron Elastic Total Cross Sections for Ho, Er, Tm, Yb, Lu, and Hf Atoms. Atoms 2020, 8, 17. [Google Scholar] [CrossRef]
- Davis, V.T.; Thompson, J.S.; Covington, A. Laser photodetachment electron spectroscopy studies of heavy atomic anions. NIMB 2005, 241, 118. [Google Scholar] [CrossRef][Green Version]
- Fu, X.; Lu, Y.; Tang, R.; Ning, C. Electron affinity measurements of lanthanide atoms: Pr, Nd, and Tb. Phys. Rev. A 2020, 101, 022502. [Google Scholar] [CrossRef]
- Felfli, Z.; Msezane, A.Z.; Sokolovski, D. Resonances in low-energy electron elastic cross sections for lanthanide atoms. Phys. Rev. A 2009, 79, 012714. [Google Scholar] [CrossRef]
- O’Malley, S.M.; Beck, D.R. Valence calculations of lanthanide anion binding energies: 6p attachments to 4fn6s2 thresholds. Phys. Rev. A 2008, 78, 012510. [Google Scholar] [CrossRef]
- Davis, V.T.; Thompson, J.S. An experimental investigation of the atomic europium anion. J. Phys. B 2004, 37, 1961. [Google Scholar] [CrossRef]
- O’Malley, S.M.; Beck, D.R. Valence calculations of actinide anion binding energies: All bound 7p and 7s attachments. Phys. Rev. A 2009, 80, 032514. [Google Scholar] [CrossRef]
- Davis, V.T.; Thompson, J.S. Measurement of the electron affinity of thulium. Phys. Rev. A 2001, 65, 010501. [Google Scholar] [CrossRef]
- Müller, A.; Deblonde, G.J.P.; Ercius, P.; Zeltmann, S.E.; Abergel, R.J.; Minor, A.M. Probing electronic structure in berkelium and californium via an electron microscopy nanosampling approach. Nat. Commun. 2021, 12, 948. [Google Scholar] [CrossRef]
- Frautschi, S.C. Regge Poles and S-Matrix Theory; Benjamin: New York, NY, USA, 1963; Chapter X. [Google Scholar]
- D’Alfaro, V.; Regge, T.E. Potential Scattering; North-Holland: Amsterdam, The Netherlands, 1965. [Google Scholar]
- Omnes, R.; Froissart, M. Mandelstam Theory and Regge Poles: An Introduction for Experimentalists; Benjamin: New York, NY, USA, 1963; Chapter X. [Google Scholar]
- Hiscox, A.; Brown, B.M.; Marletta, M. On the low energy behavior of Regge poles. J. Math. Phys. 2010, 51, 102104. [Google Scholar] [CrossRef]
- Thylwe, K.W. On relativistic shifts of negative-ion resonances. Eur. Phys. J. D 2012, 66, 7. [Google Scholar] [CrossRef]
- Mulholland, H.P. An asymptotic expansion for Σ(2n + 1)exp (Àσ(n + 1/2)2). Math. Proc. Camb. Philos. Soc. 1928, 24, 280–289. [Google Scholar] [CrossRef]
- Macek, J.H.; Krstic, P.S.; Ovchinnikov, S.Y. Regge Oscillations in Integral Cross Sections for Proton Impact on Atomic Hydrogen. Phys. Rev. Lett. 2004, 93, 183203. [Google Scholar] [CrossRef]
- Sokolovski, D.; Felfli, Z.; Ovchinnikov, S.Y.; Macek, J.H.; Msezane, A.Z. Regge oscillations in electron-atom elastic cross sections. Phys. Rev. A 2007, 76, 012705. [Google Scholar] [CrossRef]
- Dolmatov, V.K.; Amusia, M.Y.; Chernysheva, L.V. Electron elastic scattering off A@C60: The role of atomic polarization under confinement. Phys. Rev. A 2017, 95, 012709. [Google Scholar] [CrossRef]
- Felfli, Z.; Belov, S.; Avdonina, N.B.; Marletta, M.; Msezane, A.Z.; Naboko, S.N. Semiclassical approach to Regge poles trajectories calculations for nonsingular potentials: Thomas–Fermi type. In Proceedings of the Third International Workshop on Contemporary Problems in Mathematical Physics, Cotonou, Republic of Benin, 1–7 November 2003; Govaerts, J., Hounkonnou, M.N., Msezane, A.Z., Eds.; World Scientific: Singapore, 2004; pp. 218–232. [Google Scholar]
- Sokolovski, D.; Msezane, A.Z.; Felfli, Z.; Ovchinnikov, S.Y.; Macek, J.H. What can one do with Regge poles? Nucl. Instrum. Methods Phys. Res. Sect. B 2007, 261, 133. [Google Scholar] [CrossRef]
- Connor, J.N.L. New theoretical methods for molecular collisions: The complex angular-momentum approach. J. Chem. Soc. Faraday Trans. 1990, 86, 1627. [Google Scholar] [CrossRef]
- Belov, S.; Thylwe, K.-E.; Marletta, M.; Msezane, A.Z.; Naboko, S.N. On Regge pole trajectories for a rational function approximation of Thomas–Fermi potentials. J. Phys. A 2010, 43, 365301. [Google Scholar] [CrossRef]
- Thylwe, K.-E.; McCabe, P. Partial-wave analysis of particular peaks in total scattering cross sections caused by a single partial wave. Eur. Phys. J. D 2014, 68, 323. [Google Scholar] [CrossRef]
- Burke, P.G.; Tate, C. A program for calculating regge trajectories in potential scattering. Comput. Phys. Commun. 1969, 1, 97. [Google Scholar] [CrossRef]
- Felfli, Z.; Msezane, A.Z. Negative Ion Formation in Low-Energy Electron Collisions with the Actinide Atoms Th, Pa, U, Np and Pu. Appl. Phys. Res. 2019, 11, 52. [Google Scholar] [CrossRef][Green Version]
- Li, J.; Zhao, Z.; Andersson, M.; Zhang, X.; Chen, C. Theoretical study for the electron affinities of negative ions with the MCDHF method. J. Phys. B 2012, 45, 165004. [Google Scholar] [CrossRef]
- Felfli, Z.; Msezane, A.Z.; Sokolovski, D. Slow electron elastic scattering cross sections for In, Tl, Ga and at atoms. J. Phys. B At. Mol. Opt. Phys. 2012, 45, 045201. [Google Scholar] [CrossRef]
- Zollweg, R.J. Electron Affinities of the Heavy Elements. J. Chem. Phys. 1969, 50, 4251. [Google Scholar] [CrossRef]
- Zakrzewski, V.G.; Dolgounitcheva, O.; Ortiz, J.V. Electron propagator calculations on the ground and excited states of C60(-). J. Phys. Chem. A 2014, 118, 7424. [Google Scholar] [CrossRef] [PubMed]
- Nagase, S.; Kabayashi, K. Theoretical study of the lanthanide fullerene CeC82. Comparison with ScC82, YC82 and LaC82. Chem. Phys. Lett. 1999, 228, 106. [Google Scholar] [CrossRef]
- Tiago, M.L.; Kent, P.R.C.; Hood, R.Q.; Reboredo, F. A Neutral and charged excitations in carbon fullerenes from first-principles many-body theories. J. Chem. Phys. 2008, 129, 084311. [Google Scholar] [CrossRef] [PubMed]
- Amusia, M.Y. Fullerenes and endohedrals as “big atoms”. Chem. Phys. 2013, 414, 168. [Google Scholar] [CrossRef]
- Bahrim, C.; Thumm, U. Low-lying 3Po and 3Se states of Rb−, Cs−, and Fr−. Phys. Rev. A 2000, 61, 022722. [Google Scholar] [CrossRef]
- Johnson, W.R.; Guet, C. Elastic scattering of electrons from Xe, Cs+, and Ba2+. Phys. Rev. A 1994, 49, 1041. [Google Scholar] [CrossRef]
- Brigg, W.J.; Tennyson, J.; Plummer, M. R-matrix calculations of low-energy electron collisions with methane. J. Phys. B At. Mol. Opt. Phys. 2014, 47, 185203. [Google Scholar] [CrossRef]
- Prinzbach, H.A.; Weller, A.; Landenberger, P.; Wahl, F.; Worth, J.; Scott, L.T.; Gelmont, M.; Olevano, D.; von Issendorff, B. C20 Carbon Clusters: Fullerene–Boat–Sheet Generation, Mass Selection, Photoelectron Characterization. Chem.-A Eur. J. 2008, 12, 6268. [Google Scholar] [CrossRef]
- Achiba, Y.; Kohno, M.; Ohara, M.; Suzuki, S.; Shiromaru, H.J. Electron detachment spectroscopic study on carbon and silicon cluster anions. J. Electron Spectrosc. Relat. Phenom. 2005, 142, 231. [Google Scholar] [CrossRef]
- Yang, S.; Taylor, K.J.; Craycraft, M.J.; Conceicao, J.; Pettiette, C.L.; Cherhnovsky, O.; Smalley, R.E. UPS of 2–30-atom carbon clusters: Chains and rings. Chem. Phys. Lett. 1988, 144, 431. [Google Scholar] [CrossRef]
- Kietzmann, H.; Rochow, R.; Gantefor, G.; Eberhardt, W.; Vietze, K.; Seifert, G.; Fowler, P.W. Electronic structure of small fullerenes: Evidence for the high stability of C32. Phys. Rev. Lett. 1998, 81, 5378. [Google Scholar] [CrossRef]
- Boltalina, O.V.; Dashkova, E.V.; Sidorov, L.N. Gibbs energies of gas-phase electron transfer reactions involving the larger fullerene anions. Chem. Phys. Lett. 1996, 256, 253. [Google Scholar] [CrossRef]
- Xu, L.; Cai, W.; Shao, X. Systematic search for energetically favored isomers of large fullerenes C122–C130 and C162–C180. Comput. Mater. Sci. 2008, 41, 522. [Google Scholar] [CrossRef]
- Cabrera-Trujillo, J.M.; Alonso, J.A.; Iniguez, M.P.; Lopez, M.J.; Rubio, A. Theoretical study of the binding of Na clusters encapsulated in the C240 fullerene. Phys. Rev. B 1996, 53, 16059. [Google Scholar] [CrossRef]
- Tarento, R.J.; Joyes, P.Z. Size dependence of the electronic and magnetic properties of fullerenes (C60-C240). Eur. Phys. J. D 1996, 37, 165. [Google Scholar] [CrossRef]
- Msezane, A.Z. A Rigorous Model of Electron Attachment in Lanthanide Atoms. Research Outreach. 2021. Available online: https://researchoutreach.org/ (accessed on 4 July 2022).
- Wesendrup, R.; Laerdahl, J.K.; Schwerdtfeger, P. Relativistic effects in gold chemistry. VI. Coupled cluster calculations for the isoelectronic series AuPt−, Au2,AuPt−, Au2, and AuHg+AuHg+. J. Chem. Phys. 1999, 110, 9457. [Google Scholar] [CrossRef]
- Gorin, D.; Toste, F. Relativistic effects in homogeneous gold catalysis. Nature 2007, 446, 395. [Google Scholar] [CrossRef]
- Guo, Y.; Whitehead, M.A. Electron affinities of alkaline-earth and actinide elements calculated with the local-spin-density-functional theory. Phys. Rev. A 1989, 40, 28. [Google Scholar] [CrossRef]
- Msezane, A.Z.; Felfli, Z. Low-Energy Electron Elastic Collisions with Actinide Atoms Am, Cm, Bk, Es, No and Lr: Negative-Ion Formation. Atoms 2021, 9, 84. [Google Scholar] [CrossRef]
- Eliav, E.; Kaldor, U.; Ishikawa, Y. Transition energies of ytterbium, lutetium, and lawrencium by the relativistic coupled-cluster method. Phys. Rev. A 1995, 52, 291. [Google Scholar] [CrossRef]
- Borschevsky, A.; Eliav, E.; Vilkas, M.J.; Ishikawa, Y.; Kaldor, U. Transition energies of atomic lawrencium. Eur. Phys. J. D 2007, 45, 115–119. [Google Scholar] [CrossRef]
- Felfli, Z.; Msezane, A.Z. Low-Energy Electron Elastic Total Cross Sections for the Large Actinide Atoms Cf, Fm and Md. Appl. Phys. Res. 2022, 14, 15. [Google Scholar] [CrossRef]
- Speller, E.M. The significance of fullerene electron acceptors in organic solar cell photo-oxidation. Mater. Sci. Technol. 2017, 33, 924. [Google Scholar] [CrossRef]
- Hoke, E.T.; Sachs-Quintana, I.T.; Lloyd, M.T.; Kauvar, I.; Mateker, W.R.; Nardes, A.M.; Peters, C.H.; Kopidakis, N.; McGehee, M.D. The role of electron affinity in determining whether fullerenes catalyze or inhibit photooxidation of polymers for solar cells. Adv. Energy Mat. 2012, 2, 13. [Google Scholar] [CrossRef]
- Msezane, A.Z.; Felfli, Z.; Shaginyan, V.R.; Amusia, M.Y. Anionic formation in low-energy electron scattering from large fullerenes: Their multiple functionalization. Int. J. Curr. Adv. Res. 2017, 6, 8503. [Google Scholar] [CrossRef]
- Kronik, L.; Fromherz, R.; Ko, E.; Ganteför, G.; Chelikowsky, J.R. Highest electron affinity as a predictor of cluster anion structures. Nat. Mater. 2002, 1, 49. [Google Scholar] [CrossRef][Green Version]
- Msezane, A.Z.; Felfli, Z.; Sokolovski, D. Novel mechanism for nanoscale catalysis. J. Phys. B 2010, 43, 201001. [Google Scholar] [CrossRef]
- Armour, E.A.G. Muon, positron and antiproton interactions with atoms and molecules. J. Phys. Conf. Ser. 2010, 225, 012002. [Google Scholar] [CrossRef]
- Edwards, J.K.; Carley, A.F.; Herzing, A.A.; Kiely, C.J.; Hutchings, G.J. Direct synthesis of hydrogen peroxide from H2 and O2 using supported Au–Pd catalysts. J. Chem. Soc. Faraday Discuss. 2008, 138, 225. [Google Scholar] [CrossRef] [PubMed]
- Edwards, J.K.; Solsona, B.; Landon, P.; Carley, A.F.; Herzing, A.; Watanabe, M.; Kiely, C.J.; Hutchings, G.J. Direct synthesis of hydrogen peroxide from H2 and O2 using Au–Pd/Fe2O3 catalysts. J. Mater. Chem. 2005, 15, 4595. [Google Scholar] [CrossRef]
- Freakley, S.J.; He, Q.; Harrhy, J.H.; Lu, L.; Crole, D.A.; Morgan, D.J.; Ntainjua, E.N.; Edwards, J.K.; Carley, A.F.; Borisevich, A.Y.; et al. Palladium-tin catalysts for the direct synthesis of H2O2 with high selectivity. Science 2016, 351, 959. [Google Scholar] [CrossRef]
- Tesfamichael, A.; Suggs, K.; Felfli, Z.; Wang, X.-Q.; Msezane, A.Z. Atomic Gold and Palladium Negative-Ion Catalysis of Light, Intermediate, and Heavy Water to Corresponding Peroxides. J. Phys. Chem. C 2012, 116, 18698. [Google Scholar] [CrossRef]
- Msezane, A.Z.; Felfli, Z.; Tesfamichael, A.; Suggs, K.; Wang, X.-Q. Gold anion catalysis of methane to methanol. Gold Bull. 2012, 3, 127. [Google Scholar] [CrossRef][Green Version]
- Felfli, Z.; Suggs, K.; Msezane, A.Z. To be published. 2022.
- Msezane, A.Z. Negative Ion Binding Energies in Complex Heavy Systems. J. At. Mol. Condens. Nano Phys. 2018, 5, 195. [Google Scholar] [CrossRef][Green Version]
- Msezane, A.Z.; Felfli, Z. Low-energy electron scattering from fullerenes and heavy complex atoms: Negative ions formation. Eur. Phys. J. D 2018, 72, 173. [Google Scholar] [CrossRef]
- Elhamidi, O.; Pommier, J.; Abouaf, R.J. Low-energy electron attachment to fullerenes and in the gas phase. J. Phys B 1997, 30, 4633. [Google Scholar] [CrossRef]
- Huang, J.; Carman, H.S.; Compton, R.N. Low-Energy Electron Attachment to C60. J. Phys. Chem. 1995, 99, 1719. [Google Scholar] [CrossRef]
- Amusia, M.Y.; Baltenkov, A.S.; Chernysheva, L.V. Modification of the Endohedral Potential after Instant Ionization of an Inner Atom. J. Exp. Theor. Phys. Lett. 2020, 111, 18. [Google Scholar] [CrossRef]
- Amusia, M.Y.; Baltenkov, A.S.; Krakov, B.G. Photodetachment of negative C60− ions. Phys. Lett. A 1998, 243, 99. [Google Scholar] [CrossRef]
- Ivanov, V.K.; Kashenock, G.Y.; Polozkov, R.G.; Solov’yov, A.V. Photoionization cross sections of the fullerenes C20 and C60 calculated in a simple spherical model. J. Phys. B At. Mol. Opt. Phys. 2001, 34, L669. [Google Scholar] [CrossRef]
- Phaneuf, R.A.; Kilcoyne, A.L.D.; Aryal, N.B.; Baral, K.K.; Esteves-Macaluso, D.A.; Thomas, C.M.; Hellhund, J.; Lomsadze, R.; Gorczyca, T.W.; Ballance, C.P.; et al. Probing confinement resonances by photoionizing Xe inside a C+60 molecular cage. Phys. Rev. A 2013, 88, 053402. [Google Scholar] [CrossRef]
- Amusia, M.Y.; Chernysheva, L.V.; Dolmatov, V.K. Confinement and correlation effects in the Xe@C60 generalized oscillator strengths. Phys. Rev. A 2011, 84, 063201. [Google Scholar] [CrossRef]
- Lin, C.Y.; Ho, Y. Photoionization of atoms encapsulated by cages using the power-exponential potential. J. Phys. B At. Mol. Opt. Phys. 2012, 45, 145001. [Google Scholar] [CrossRef]
- Dolmatov, V.K.; Connerade, J.-P.; Baltenkov, A.S.; Manson, S.T. Structure and photoionization of confined atoms, Radiat. Phys. Chem. 2004, 70, 417. [Google Scholar] [CrossRef]
- Baltenkov, A.; Manson, S.T.; Msezane, A.Z. Jellium model potentials for the C60 molecule and the photoionization of endohedral atoms, A@C60. J. Phys. B 2015, 48, 185103. [Google Scholar] [CrossRef]
- Madjet, M.E.; Chakraborty, H.S.; Manson, S.T. Giant Enhancement in Low Energy Photoemission of Ar Confined in C60. Phys. Rev. Lett. 2007, 99, 2430. [Google Scholar] [CrossRef]
- Ryzhkov, M.V.; Delley, B. Electronic structure of predicted endohedral fullerenes An@ C40 (An = Th–Md). Comput. Theor. Chem. 2013, 1013, 70. [Google Scholar] [CrossRef]
- Tkatchenko, A.; Scheffler, M. Accurate Molecular Van Der Waals Interactions from Ground-State Electron Density and Free-Atom Reference Data. Phys. Rev. Lett. 2009, 102, 73005. [Google Scholar] [CrossRef]
- DMol3; Accelrys Software Inc.: San Diego, CA, USA, 2011.






| System Z | BEs GRS | BEs MS-1 | BEs MS-2 | EAs EXPT | BEs EXT-1 | BEs EXT-2 | R-T GRS | BEs/EAs Theory |
|---|---|---|---|---|---|---|---|---|
| Au 79 | 2.26 | 0.832 | - | 2.309 [4] 2.301 [5] 2.306 [6] | 0.326 | - | 2.24 | 2.262 [25] |
| Pt 78 | 2.16 | 1.197 | - | 2.128 [4] 2.125 [7] 2.123 [8] | 0.136 | - | 2.15 | 2.163 [25] |
| At 85 | 2.41 | 0.918 | - | 2.416 [9] | 0.115 | 0.292 | 2.43 | 2.38 [15] 2.42 [55] 2.51 [56] 2..80 [57] |
| C60 | 2.66 | 1.86 | 1.23 | 2.684 [10] 2.666 [11] 2.689 [12] | 0.203 | 0.378 | 2.67 | 2.663 [17] 2.63 [58] 2.57 [59] |
| C70 | 2.70 | 1.77 | 1.27 | 2.676 [11] 2.72 [13] 2.74 [14] | 0.230 | 0.384 | 2.72 | 3.35 [60] 2.83 [60] |
| Ti 81 | 2.42 | - | - | 0.377 [21] 0.075 [22] | 0.066 | 0. 281 | 2.40 | 0.27 [23] 0.291 [24] |
| Hf 72 | 1.68 | 0.525 | - | 0.178 [26] | 0.017 | 0.113 | 1.67 | 0.114 [27] 0.113 [28] |
| Z Atom | BEs GRS | EAs EXPT | BEs MS-1 | BEs MS-2 | BEs EX-2 | BEs EX-1 |
|---|---|---|---|---|---|---|
| 93 Np | 3.06 | N/A | 1.47 | - | 0.521 | 0.248 |
| 94 Pu | 3.25 | N/A | 1.57 | 1.22 | 0.527 | 0.225 |
| 95 Am | 3.25 | N/A | 1.58 | 0.968 | 0.619 | 0.243 |
| 96 Cm | 3.32 | N/A | 1.57 | 1.10 | 0.519 | 0.258 |
| 97 Bk | 3.55 | N/A | 1.73 | 0.997 | 0.505 | 0.267 |
| 98 Cf | 3.32 | N/A | 1.70 | 0.955 | 0.577 | 0.272 |
| 99 Es | 3.42 | N/A | 1.66 | 0.948 | 0.642 | 0.272 |
| 100 Fm | 3.47 | N/A | 1.79 | 1.02 | 0.623 | 0.268 |
Publisher’s Note: MDPI stays neutral with regard to jurisdictional claims in published maps and institutional affiliations. |
© 2022 by the authors. Licensee MDPI, Basel, Switzerland. This article is an open access article distributed under the terms and conditions of the Creative Commons Attribution (CC BY) license (https://creativecommons.org/licenses/by/4.0/).
Share and Cite
Msezane, A.Z.; Felfli, Z. Recent Progress in Low-Energy Electron Elastic-Collisions with Multi-Electron Atoms and Fullerene Molecules. Atoms 2022, 10, 79. https://doi.org/10.3390/atoms10030079
Msezane AZ, Felfli Z. Recent Progress in Low-Energy Electron Elastic-Collisions with Multi-Electron Atoms and Fullerene Molecules. Atoms. 2022; 10(3):79. https://doi.org/10.3390/atoms10030079
Chicago/Turabian StyleMsezane, Alfred Z., and Zineb Felfli. 2022. "Recent Progress in Low-Energy Electron Elastic-Collisions with Multi-Electron Atoms and Fullerene Molecules" Atoms 10, no. 3: 79. https://doi.org/10.3390/atoms10030079
APA StyleMsezane, A. Z., & Felfli, Z. (2022). Recent Progress in Low-Energy Electron Elastic-Collisions with Multi-Electron Atoms and Fullerene Molecules. Atoms, 10(3), 79. https://doi.org/10.3390/atoms10030079

