Abstract
Since total cross section measurements for electron scattering by Zn and Cd performed in the 1970s, the existence of p-wave shape resonances below 1 eV are well established in the literature. It was suggested that a second d-wave shape resonance could exist in both systems at an energy slightly higher than the one recorded for the p-wave but still below the inelastic threshold. We report elastic scattering calculations for electron collisions with Zn and Cd atoms below 4 eV using a semiempirical approach, as well the scattering length for both targets. Our results show that, indeed, the d-wave shape resonance is found in Zn but absent in Cd. In fact, our cross sections and the few other ones available for this energy range are in discrepancy with the available experimental total cross sections for Cd.
PACS:
34.80.Bm; 34.80.-i
1. Introduction
The study of electron–Zn and electron–Cd collisions may provide valuable information for the modeling of metal vapor plasmas [1]. In the same spirit, since electron–atom collisions constitute the most basic chemical reaction that an atom can go through, the characterization of electronic collisions with metal vapor atoms constitutes a problem with its own relevance within atomic physics.
In spite of several decades of theoretical and experimental investigations on electron–Zn/Cd scattering, accurate determination of the elastic and inelastic cross sections is far from being considered as a closed problem, mainly in the low-energy domain. Here, we focus on energies below ≈4.0 eV where the scattering is purely elastic for both the targets.
Surprisingly, despite almost 100 years since the first measurements of electron–Zn/Cd cross sections [2,3], we find a limited number of published works on the determination of total cross sections for energies below 4 eV. In an article from 1976, Burrow et al. [4] reported measurements of low-energy electron scattering by Zn and Cd using an electron transmission method. Due to the limitations intrinsic to the measurement process, only transmitted currents in arbitrary units as a function of the incident energy were presented. The experimental data showed the existence of shape resonances which were identified with the ground state configurations of the negative ions with energies (widths) 0.49 (0.45) and 0.33 (0.33) eV for Zn and Cd, respectively. In 1991, Marinković et al. [5] presented measurements for the relative differential cross sections (DCSs) for elastic and electronic excitation cross sections for Cd from 3.4 to 85 eV and, in 2002, Kontros et al. [6] presented total cross section data for electron scattering by Cd with resonant structures being found at 0.33 and 3.74 eV. In 2003, Sullivan et al. [7] published an extensive investigation focused on the study of the formation of transient ionic states in electron–Zn/Cd collisions, however, total cross sections for energies lower than 4 eV were not effectively presented.
From the theoretical side, the scenario is not much different. In 1992, Yuan and Zhang [8] reported elastic cross sections for Zn and Cd calculated based on the model correlation potential of Perdew and Zunger (PZ) [9] (as recommended by Padial and Norcross [10]). From now on, they shall be denoted as model potential (MP) calculations. In 2005, Zatsarinny and Bartschat [11] presented benchmark ab initio calculations for low-energy electron–Zn scattering performed with the R-matrix method. In addition to these two references, we find the ab initio calculations of Berrington et al. [12] for electron–Cd. This work was performed with four different theoretical methodologies and can be considered as the benchmark for a Cd analog to the one of Zatsarinny and Bartschat [11] for Zn. Due to the energy range of interest in this study, we direct special attention to the DCSs at 3.4 eV calculated with the convergent close-coupling (CCC) and the relativistic convergent close-coupling (RCCC) because they allow a direct contrast between the relativistic- and non-relativistic-based calculations. Finally, we have the recent article of McEachran et al. [13] for electron–Zn where cross sections from 0.01 to 5000 eV were recommended for transport simulations.
In addition to the unequivocal presence of the p-wave shape resonances, Burrow et al. [4] conjectured about the possible existence of resonances of the same nature in the d-wave in both atoms. In their own words: “There is faint evidence for a very broad feature in each cross section between the p-wave shape resonance and the first excited states of the neutral. It is tempting but entirely speculative to suggest that this is associated with a d-wave shape resonance”. This point is discussed in more detail in the Buckman and Clark review article [14] where the d-wave resonances are guessed at 2.5 and 2.0 eV for Zn and Cd, respectively.
As we will see in Section 3, in the case of Zn there is good agreement between the MP [8] and the ab initio R-matrix calculations [11] for energies above ≈1 eV. Nevertheless, some discrepancy exists in the description of the position and width of the p-wave resonance. Additionally, no d-wave resonance is found in either calculation. For Cd, there is great divergence among the MP cross sections [8] and the experimental data of Kontros et al. [6]. Given our recent experience investigating shape resonances in positron–Zn/Cd scattering at low energies [15], we understand that further investigations on the possible existence of d-wave shape resonances would be welcome as well as a second theoretical calculation for Cd in order to contrast with the previous theoretical and experimental results.
Given these considerations and the limited set of information available to study the subject, at this point, it seems fair to say that the unique point of consensus between all the results already presented in the literature is the existence of the p-wave resonances below 1 eV. Bearing in mind that the theoretical works already reported on the theme were carried out with MP [8] and ab initio calculations [11,12], a semiempirical approach appears as a natural and convenient alternative to bring light to the problem.
Opposed to ab initio and model potential formulations, semiempirical approaches are based on adjustable parameters, usually tuned to reproduce some external previously known quantity. In practice, we are going to work with a single-body potential to represent the electron–atom interaction whose polarization component has asymptotically correct form up to the first order [16,17], and its short range component is adjusted to reproduce the position of the p-wave resonances at the energies observed by Burrow et al. [4].
This paper is organized as follows: in Section 2, we present the exchange and polarization potentials adopted to perform our calculations with a very brief description of the elements of electron–atom scattering theory used to calculate the cross sections; in Section 3, we show and discuss our results with particular attention to the issue of resonances and the contrast with previous data; finally, in Section 4 we synthesize our conclusions. Except where explicitly stated, atomic units are used.
2. Methods and Procedures
Following our previous works [16,18] and particularly inspired by the article of O’Connel and Lane [19], we write the effective Hamiltonian for the electron–atom system as
The term represents the electrostatic electron–atom interaction. It directly depends on the model adopted to describe the atomic system and that determines the atomic charge density . Once it is chosen, the calculation of is performed by the usual means [19].
The indistinguishability between the projectile and the target electrons is a non-local effect of expressive computational cost in many-body calculations. Here, we adopt a local model potential to describe this effect. Several works were performed throughout the history of the electron–atom research field in order to develop model exchange potentials and evaluate their performances [20,21,22,23]. Here, we follow Riley and Thrular [22] and chose to work with the Hara free electron gas model (HFEGE) [24] as the recommended model exchange potential for the low-energy domain.
The HFEGE exchange potential is given by
where the functions , , and have the forms
and
respectively. In these equations, denotes the Fermi momentum and is the atomic charge density. is the local momentum given by
where I is the ionization potential of the target atom and is the incident kinetic energy of the projectile.
The representation of the model exchange interaction demands an accurate representation of the electronic density along the entire space occupied by the atomic target. Contrary to what happens in positron–atom scattering, the incident electron encounters a purely attractive potential which evidently causes it to penetrate more deeply into the target field.
In our previous investigations on positron–atom scattering [15,16,18], we adopted the model electronic density of Salvat et al. [25]. As highlighted by Rabasović et al. [26], the model densities given by Salvat et al. [25] provide a poor representation of the atomic shell structure. In order to overcome this difficulty, we adapted our codes to work with SCF/HF electronic densities. Among many possibilities, we selected the DZP basis as given in references [27,28] for Zn and Cd, respectively, discarding F type functions, and constructed the SCF/HF ground state wave functions with the GAMESS package [29].
Figure 1 shows the radial density profile (RDP) calculated with the two prescriptions for comparison. The atomic shell structure is evidently much better represented by the SCF model. We also visualize that for the RDPs converge among each other for both atoms. This point explains why the use of model densities such as the one of Salvat et al. [25] usually poses no problems in the positron case; since the positron–atom static potential is repulsive and exchange is not present, the positron is essentially scattered at the edge of the target. In practice, any model potential will depend only on the values of the atomic charge density in the peripheral region of the system.
Figure 1.
Radial probability density for Zn and Cd atoms obtained from Hartree–Fock (SCF) wavefunctions (this work) for Zn and Cd compared to the ones calculated with model atomic charge densities obtained from the fitting of Dirac–Hartree–Fock–Slater (DHFS) calculations as given by Salvat et al. [25].
Finally, the last of the interaction terms is the polarization potential , whose asymptotic form is, up to the first order of perturbation theory, given by
where is the static dipole polarizability [30]. Here, we adopt the same semiempirical potential as considered in Arretche et al. [18]:
where is an adjustable parameter. Since the experimental data reported by Burrow et al. [4] are essentially a measure of the transmitted current (and no partial wave analysis is performed), we decided to assign the values of where the peak of the elastic cross section computed with all partial waves matches the energy position of the p-wave shape resonances. Coincidentally, for both the systems we have found as the value that satisfies this criterion.
Table 1 shows the values of the static dipole polarizabilities for each target and the respective cutoff radius that reproduces the position of the p-wave shape resonances at the energies (E (eV)) reported by Burrow et al. [4]. The values for were taken from our recent investigation on low-energy positron scattering by Zn and Cd [15] where the influence of higher order polarizabilities in positron–Zn/Cd was explored. For the sake of completeness, the ionization potentials (I (eV)) [31] are also included.
Table 1.
Values adopted for the static dipole polarizabilities (in ) for each target and the respective cutoff radius (in ) that reproduces the position (E (eV)) of the p-wave shape resonances at the energies reported by Burrow et al. [4]. I (eV) denotes the ionization potentials for each target [31].
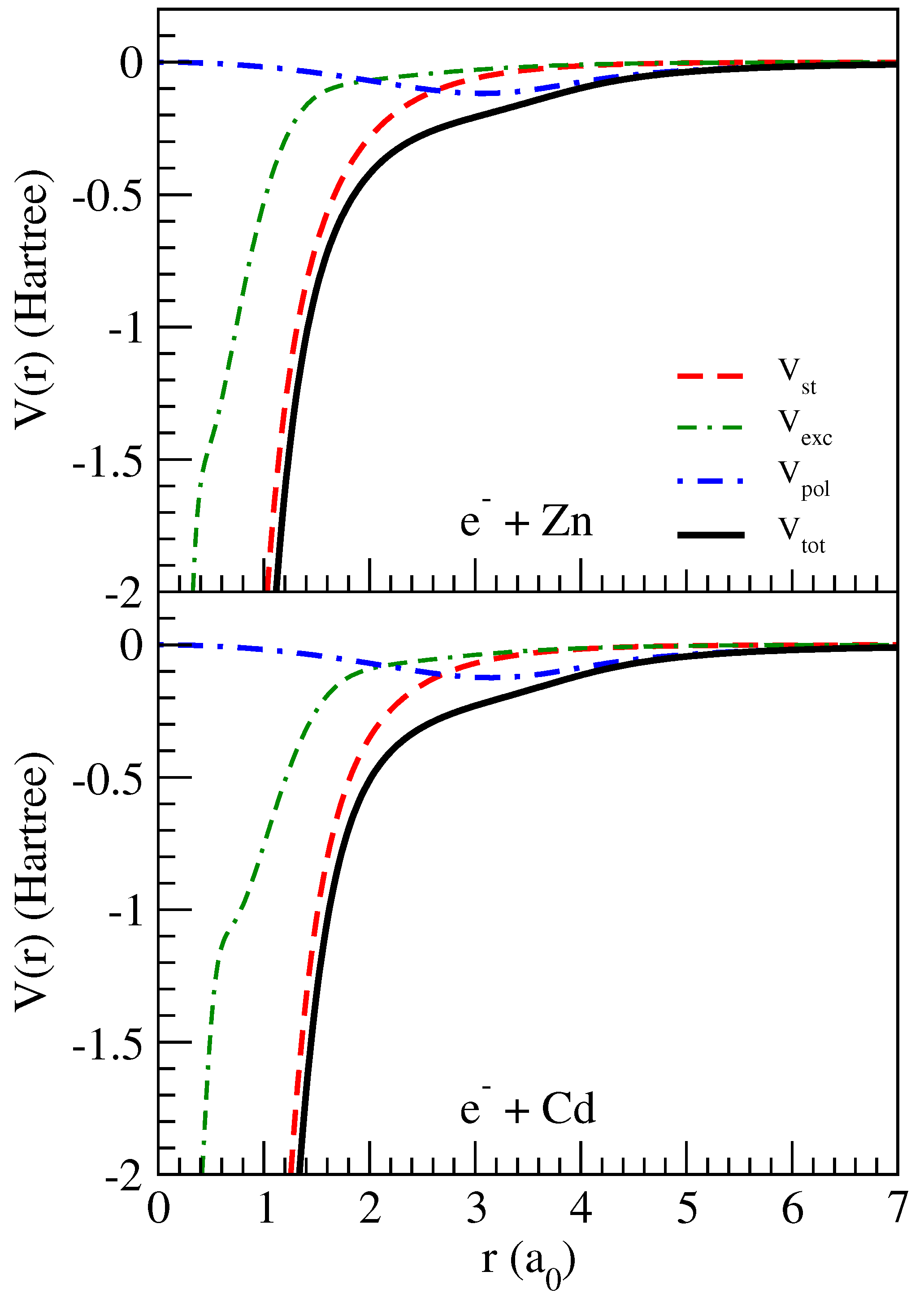
In Figure 2, we show the scattering potentials for reference. As expected, the potentials for Zn and Cd are rather alike since they exhibit very similar electronic structures. Once the potentials were defined, the cross sections were computed as in Arretche et al. [18].
Figure 2.
Electron–Zn (upper) and electron–Cd (bottom) scattering potentials. Legends are in the figure.
3. Results and Discussion
Unquestionably, measurements of the differential cross sections (DCSs) are a great challenge in the area of electron/positron–atom scattering, mainly in the very low-energy region. It is not surprising to find a single measurement of relative elastic DCSs made by Marinković for electron–Cd at 3.4 eV [5]. While TCS measurements based on the Beer–Lambert law are the basic test of any theory, it is the DCS that translates the fine tuning between different components of the scattering potential. For example, in positron–molecule scattering, it is the degree of polarization considered in the potential which affects the position of the minima at the intermediate angles in the elastic DCS while the scattering at high angles (backward scattering) is regulated by the repulsive short range static potential [32].
The relative elastic DCS reported by Marinković et al. [5] at 3.4 eV for Cd is shown in Figure 3 where the CCC and RCCC of Berrington et al. [12] are also shown for comparison. Except for the region between 90 and 120 degrees, the three theoretical DCSs are very close to each other. The DCS of Marinković et al. [5] was normalized at 50 degrees where CCC, RCCC, and our results find the maximum agreement. Interestingly, our results are very similar to the RCCC ones. On the other hand, the CCC DCS seems to better describe the experimental data between 90 and 150 degrees. At present, the lack of data, theoretical and experimental, does not allow us to go any further in the analysis of this aspect of the problem.
Figure 3.
Differential elastic cross section for electron–Cd at 3.4 eV compared to the data of Marinković et al. [5] and Berrington et al. [12]. The relative DCS data were normalized at 50 degrees.
We then pay attention to the elastic integral cross section (ICS) for Zn and Cd which are given in the upper and bottom panels of Figure 4, respectively. In both plots, the cross sections computed with our semiempirical approach are shown as a solid red line.
Figure 4.
Elastic cross section for electron–Zn (upper panel) and electron–Cd (bottom panel). In both panels, the present results are given by the solid red line, and the MP calculation results of [8] are represented by the dashed black line. For Zn, the dotted blue line represents the CPRM calculation and the dashed blue line the BSRM results [11]. For Cd, the green crosses are the experimental data of Kontros et al. [6], and the yellow square is the ICS obtained by integration of the RCCC [12] DCS at 3.4 eV.
In a given sense, our calculations are somewhat similar to the MP results presented by Yuan and Zhang [8] since both treat the correlation–polarization effect by single-body potentials. In reference [8], two sets of cross sections were reported for each target. The first set was obtained from the PZ correlation potential while the second one was generated by scaling the correlation potential as with chosen to “remove the overestimation of the correlation effect” and reproduce the -shape resonance of e-Mg scattering at 0.15 eV [33]. In [33], was taken as 0.8 and the same value was also applied for Zn and Cd but without any particular justification or connection to the resonance data of Burrow et al. [4]. Due to that, we have chosen to show only the unscaled cross sections. We can clearly see in Figure 4 that for both atoms, the MP cross sections (given as a black dashed line) shift the p-wave resonances to lower energies than the ones experimentally observed (and reproduced by us) and with narrower widths.
We also consider the results provided by the ab initio many-body techniques. For Zn, we show the core potential (CPRM) and the B-spline R-matrix (BSRM) cross sections of Zatsarinny and Bartschat [11]. The core potential approach, as the name suggests, is based, roughly speaking, on the idea of representing the Hartree potential of the Zn by semiempirical exchange and polarization potentials while the valence “helium-like” region is treated ab initio. The B-spline technique, on the other hand, uses the B-splines as a universal basis to represent the electron scattering orbitals. The p-wave resonance energy predicted by the BSRM calculation occurs at 0.707 eV, a little bit higher than the experimental one with the CPRM result at an intermediate energy. MP, CPRM, and BSRM furnish similar cross sections above ≈1 eV while our semiempirical calculations show another resonance at ≈2.83 eV. The elastic integral cross section below 4 eV is not explicitly given by Berrington et al. [12], as the only direct information that can be extracted about it comes from the DCS at 3.4 eV (see Figure 6 of [12]). The ICS calculated from it is given as a square in the bottom panel. As in Zn, above ≈1 eV the MP, RCCC, and our semiempirical cross sections perfectly agree with each other. On the other hand, notable discrepancy is found between the theoretical results and the experimental data of Kontros et al. [6]. Except for a scale factor, our semiempirical ICS presents the same qualitative dependence with energy when compared to the experimental points, from threshold up to ≈0.5 eV, with the p-wave resonance observed by Burrow et al. [4] being found approximately at the same energy (0.33 eV). Notwithstanding, above 0.5 eV notable divergence is evident.
In order to better appreciate the resonant structures, we show in Figure 5 the partial wave cross sections found in our calculations. As stated in the Introduction, the possible existence of a d-wave shape resonance for both Zn and Cd between the p-wave shape resonance and the first excited states of the neutral atom was suggested by Burrow et al. [4]. Our results show a d-wave resonance for Zn at 2.83 eV but a flat d-wave cross section for Cd. Zatsarinny and Bartschat [11] have also found a d-wave resonance with a BSRM at 4.234 eV (see Table III of [11]). Since shape resonances are basically characterized by their energies and widths, we present these values in Table 2.
Figure 5.
Partial wave contributions to the elastic cross section for electron–Zn (upper panel) and electron–Cd (bottom panel).
Table 2.
Resonance widths in eV. The experimental values are the ones of Burrow et al. [4]; BSRM is the B-spline R-matrix of Zatsarinny and Bartschat [11].
Finally, for the sake of completeness, we report the scattering lengths obtained in our calculations. These values are 2.32 a for Zn and 2.24 a for Cd.
4. Conclusions
The low-energy scattering of electron–Zn/Cd was studied by applying model exchange and semiempirical polarization potentials. The external data used to adjust the short range component of the polarization potential were the resonance data of Burrow et al. [4]. Given this methodology, we reported the elastic integral cross sections for energies below 4 eV and the scattering length for both targets.
Our results for the Cd DCS at 3.4 eV are very close to the RCCC of Berrington et al. [12], but showed small discrepancies with the CCC [12] and the experimental DCS of Marinković et al. [5] in the intermediate angular region. The elastic ICSs for Zn are in good agreement with the previous MP and ab initio results but contrasted with the previous ones, and we have found a clear d-wave resonance as conjectured by Burrow et al. [4] and pointed by Clark and Buckman [14]. For Cd, no d-wave resonance was found, but our cross sections corroborate the previous ones obtained with MP and ab initio (only for 3.4 eV). Even so, all of the theoretical cross sections have a great discrepancy with the experimental data of Kontros et al. [6].
The calculations presented here show that even for relatively well-documented atomic systems such as metal vapors, there are still several gaps to be filled. It would be interesting to see a set of low-energy total cross section measurements for Zn and Cd in order to contrast with the data of Burrow et al. [4] and, more specifically, with the measurements of Kontros et al. [6] since these are in disagreement with the theoretical predictions.
Author Contributions
Conceptualization, F.A., W.T. and B.K.S.; methodology, F.A. and W.T.; writing—original draft preparation, F.A. and W.T.; writing—review and editing, F.A., W.T. and B.K.S. All authors have read and agreed to the published version of the manuscript.
Funding
This research received no external funding.
Institutional Review Board Statement
Not applicable.
Informed Consent Statement
Not applicable.
Data Availability Statement
The associated data will be available from authors upon request.
Acknowledgments
F. Arretche and W. Tenfen would like to thank the Programa de Pós-Graduação em Física of Universidade Federal de Santa Catarina and Universidade Federal de Pelotas for the support. B.K.S. acknowledges the use of the Vikram-100 HPC facility of PRL, India.
Conflicts of Interest
The authors declare no conflict of interest.
Abbreviations
The following abbreviations are used in this manuscript:
| DCS | Differential cross section |
| CCC | Convergent close-coupling |
| RCCC | Relativistic convergent close-coupling |
| MP | Model potential |
| HFEGE | Hara free electron gas |
| SCF/HF | Self consistent field/Hartree–Fock |
| GAMESS | General Atomic and Molecular Electronic Structure System |
| TCS | Total cross section |
| ICS | Integral cross section |
| CPRM | Core potential R-matrix |
| BSRM | B-spline R-matrix |
References
- Hopwood, J.A. Plasma physics. In Thin Films; Elsevier: Amsterdam, The Netherlands, 2000; Volume 27, pp. 181–207. [Google Scholar]
- Childs, E.C.; Massey, H.S.W.; Rutherford, E. The scattering of electrons by metal vapours. I—Cadmium. Proc. R. Soc. Lond. Ser. A Contain Pap. A Math. Phys. Charact. 1933, 141, 473–483. [Google Scholar] [CrossRef]
- Childs, E.C.; Massey, H.S.W. The scattering of electrons by metal vapours. II—Zinc. Proc. R. Soc. Lond. Ser. A Contain Pap. A Math. Phys. Charact. 1933, 142, 509–518. [Google Scholar] [CrossRef]
- Burrow, P.; Michejda, J.; Comer, J. Low-energy electron scattering from Mg, Zn, Cd and Hg: Shape resonances and electron affinities. J. Phys. B At. Mol. Phys. 1976, 9, 3225. [Google Scholar] [CrossRef]
- Marinkovic, B.; Pejcev, V.; Filipovic, D.; Vuskovic, L. Elastic and inelastic electron scattering by cadmium. J. Phys. B At. Mol. Opt. Phys. 1991, 24, 1817–1837. [Google Scholar] [CrossRef]
- Kontros, J.; Szoter, L.; Chernyshova, I.; Shpenik, O. Cross sections of slow electron scattering by cadmium atoms. J. Phys. B At. Mol. Opt. Phys. 2002, 35, 2195. [Google Scholar] [CrossRef]
- Sullivan, J.; Burrow, P.; Newman, D.S.; Bartschat, K.; Michejda, J.; Panajotovic, R.; Moghbelalhossein, M.; McEachran, R.; Buckman, S. An experimental and theoretical study of transient negative ions in Mg, Zn, Cd and Hg. New J. Phys. 2003, 5, 159. [Google Scholar] [CrossRef]
- Yuan, J.; Zhang, Z. Elastic cross sections of electron scattering with Zn and Cd atoms below 4 eV. Phys. Rev. A 1992, 45, 535. [Google Scholar] [CrossRef]
- Perdew, J.P.; Zunger, A. Self-interaction correction to density-functional approximations for many-electron systems. Phys. Rev. B 1981, 23, 5048. [Google Scholar] [CrossRef] [Green Version]
- Padial, N.T.; Norcross, D.W. Parameter-free model of the correlation-polarization potential for electron-molecule collisions. Phys. Rev. A 1984, 29, 1742–1748. [Google Scholar] [CrossRef]
- Zatsarinny, O.; Bartschat, K. Benchmark calculations for electron collisions with zinc atoms. Phys. Rev. A 2005, 71, 022716. [Google Scholar] [CrossRef]
- Berrington, M.J.; Bostock, C.J.; Fursa, D.V.; Bray, I.; McEachran, R.; Stauffer, A. Calculations of electron scattering from cadmium. Phys. Rev. A 2012, 85, 042708. [Google Scholar] [CrossRef] [Green Version]
- McEachran, R.; Marinković, B.; García, G.; White, R.; Stokes, P.; Jones, D.; Brunger, M. Integral cross sections for electron–zinc scattering over a broad energy range (0.01–5000 eV). J. Phys. Chem. Ref. Data 2020, 49, 013102. [Google Scholar] [CrossRef]
- Buckman, S.J.; Clark, C.W. Atomic negative-ion resonances. Rev. Mod. Phys. 1994, 66, 539. [Google Scholar] [CrossRef]
- Arretche, F.; Andermann, A.M.; Seidel, E.P.; Tenfen, W.; Sahoo, B.K. Polarization effects, shape resonances and bound states in low energy positron elastic scattering by Zinc and Cadmium vapours. J. Electron Spectrosc. Relat. Phenom. 2022, 257, 147186. [Google Scholar] [CrossRef]
- Arretche, F.; Barp, M.V.; Scheidt, A.; Seidel, E.P.; Tenfen, W. Semiempirical models for low energy positron scattering by Ar, Kr and Xe. J. Phys. B At. Mol. Opt. Phys. 2019, 52, 215201. [Google Scholar] [CrossRef]
- Tenfen, W.; Seidel, E.P.; Barp, M.V.; Arretche, F. Higher order polarizabilities and the positron forward scattering problem: Convergence between calculated and measured cross sections in the very low energy regime. J. Electron Spectrosc. Relat. Phenom. 2022, 257, 147160. [Google Scholar] [CrossRef]
- Arretche, F.; Barp, M.V.; Tenfen, W.; Seidel, E.P. The Hidden Ramsauer-Townsend Effect in Positron Scattering by Rare Gas Atoms. Braz. J. Phys. 2020, 50, 844–856. [Google Scholar] [CrossRef]
- O’Connell, J.K.; Lane, N.F. Nonadjustable exchange-correlation model for electron scattering from closed-shell atoms and molecules. Phys. Rev. A 1983, 27, 1893–1903. [Google Scholar] [CrossRef]
- Furness, J.; McCarthy, I. Semiphenomenological optical model for electron scattering on atoms. J. Phys. B At. Mol. Phys. 1973, 6, 2280. [Google Scholar] [CrossRef]
- Bransden, B.; McDowell, M.; Noble, C.; Scott, T. Equivalent exchange potentials in electron scattering. J. Phys. B At. Mol. Phys. 1976, 9, 1301. [Google Scholar] [CrossRef]
- Riley, M.E.; Truhlar, D.G. Approximations for the exchange potential in electron scattering. J. Chem. Phys. 1975, 63, 2182–2191. [Google Scholar] [CrossRef]
- Yau, A. Electron scattering from noble gases. J. Phys. B At. Mol. Phys. 1978, 11, 2907. [Google Scholar] [CrossRef]
- Hara, S. The scattering of slow electrons by hydrogen molecules. J. Phys. Soc. Jpn. 1967, 22, 710–718. [Google Scholar] [CrossRef]
- Salvat, F.; Martínez, J.D.; Mayol, R.; Parellada, J. Analytical Dirac-Hartree-Fock-Slater screening function for atoms (Z = 1–92). Phys. Rev. A 1987, 36, 467–474. [Google Scholar] [CrossRef] [PubMed] [Green Version]
- Rabasović, M.; Kelemen, V.; Tošić, S.; Šević, D.; Dovhanych, M.; Pejčev, V.; Filipović, D.; Remeta, E.Y.; Marinković, B. Experimental and theoretical study of the elastic-electron–indium-atom scattering in the intermediate energy range. Phys. Rev. A 2008, 77, 062713. [Google Scholar] [CrossRef]
- Camiletti, G.; Machado, S.; Jorge, F. Gaussian basis set of double zeta quality for atoms K through Kr: Application in DFT calculations of molecular properties. J. Comput. Chem. 2008, 29, 2434–2444. [Google Scholar] [CrossRef]
- Barros, C.; De Oliveira, P.; Jorge, F.; Canal Neto, A.; Campos, M. Gaussian basis set of double zeta quality for atoms Rb through Xe: Application in non-relativistic and relativistic calculations of atomic and molecular properties. Mol. Phys. 2010, 108, 1965–1972. [Google Scholar] [CrossRef]
- Barca, G.M.J.; Bertoni, C.; Carrington, L.; Datta, D.; De Silva, N.; Deustua, J.E.; Fedorov, D.G.; Gour, J.R.; Gunina, A.O.; Guidez, E.; et al. Recent developments in the general atomic and molecular electronic structure system. J. Chem. Phys. 2020, 152, 154102. [Google Scholar] [CrossRef] [Green Version]
- Bransden, B.; Joachain, C.; Plivier, T. Physics of Atoms and Molecules; Pearson Education, Prentice Hall: Hoboken, NJ, USA, 2003. [Google Scholar]
- Iliaš, M.; Neogrády, P. Ionization potentials of Zn, Cd, Hg and dipole polarizabilities of Zn+, Cd+, Hg+: Correlation and relativistic effects. Chem. Phys. Lett. 1999, 309, 441–449. [Google Scholar] [CrossRef]
- Tenfen, W.; Barp, M.V.; Arretche, F. Low-energy elastic scattering of positrons by O2. Phys. Rev. A 2019, 99, 022703. [Google Scholar] [CrossRef]
- Yuan, J.; Zhang, Z. The low-lying shape resonances in low-energy electron scattering with Be, Mg and Ca atoms. J. Phys. B At. Mol. Opt. Phys. 1989, 22, 2751. [Google Scholar] [CrossRef]
Publisher’s Note: MDPI stays neutral with regard to jurisdictional claims in published maps and institutional affiliations. |
© 2022 by the authors. Licensee MDPI, Basel, Switzerland. This article is an open access article distributed under the terms and conditions of the Creative Commons Attribution (CC BY) license (https://creativecommons.org/licenses/by/4.0/).




