Oscillating Magnetized Color Superconducting Quark Stars
Abstract
1. Introduction
2. Superconducting Magnetized Strange Quark Matter Equation of State
2.1. Magnetized Strange Quark Matter within the MIT Bag Model
2.2. Color Superconductivity and Stability Window
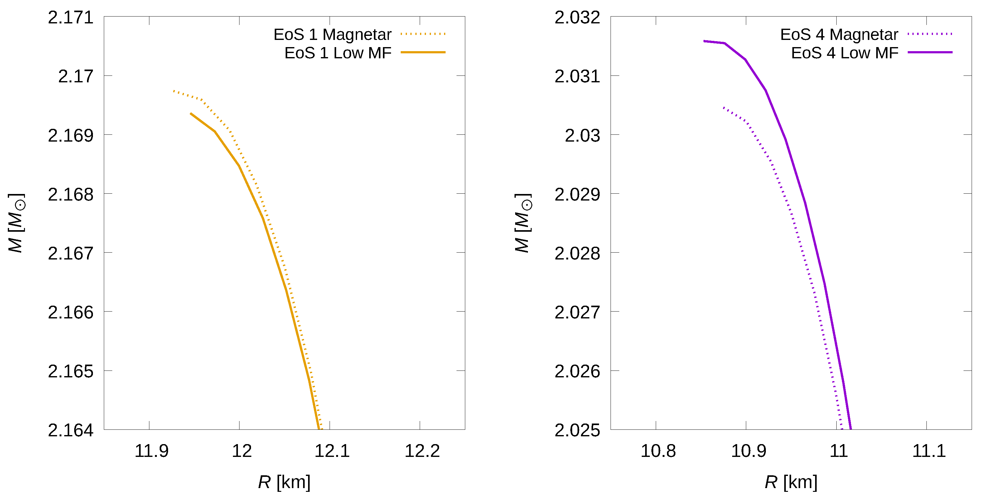
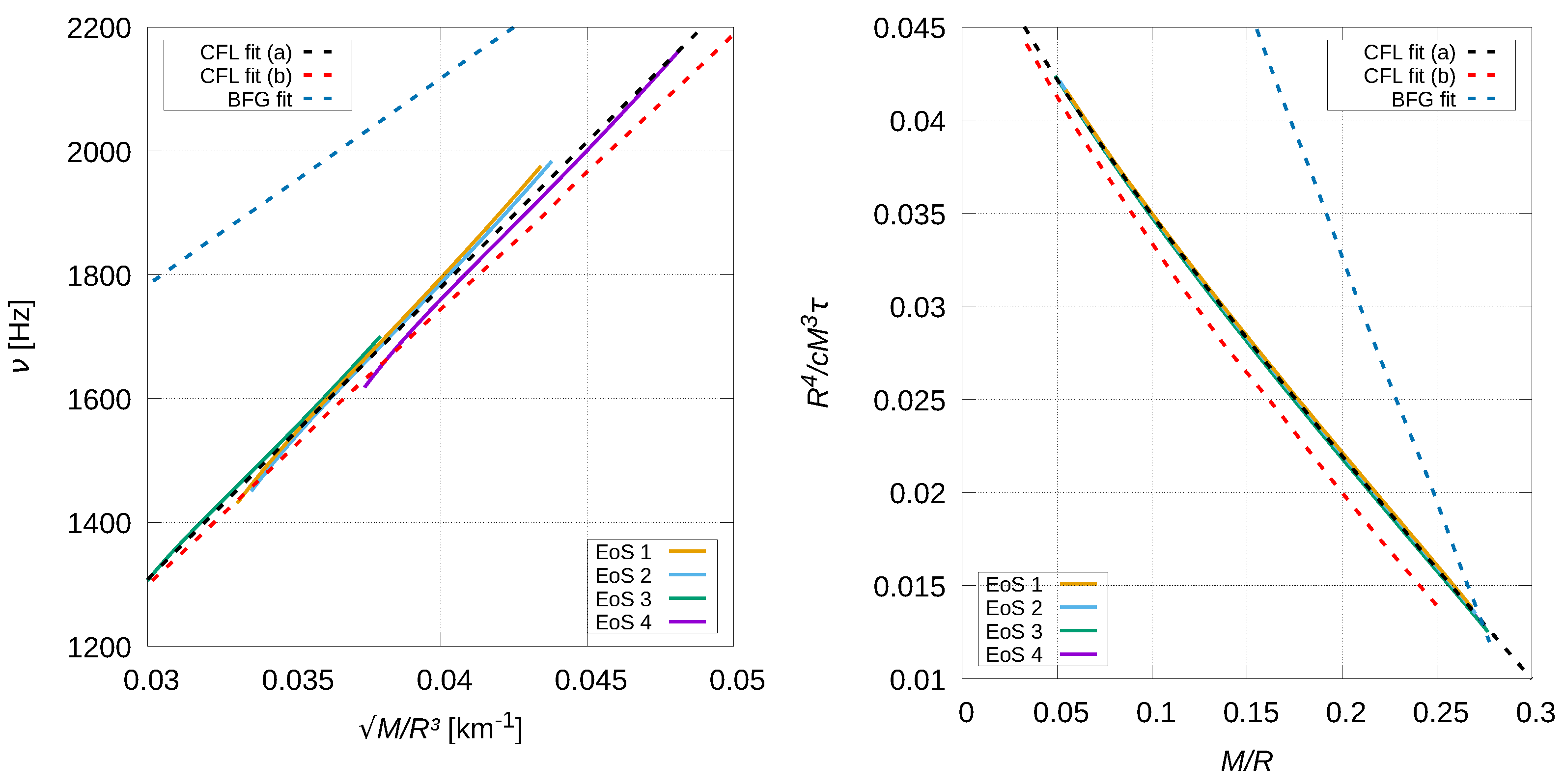
3. Solutions of the Structure Equations and f Oscillation Mode
4. Summary and Discussion
Author Contributions
Funding
Acknowledgments
Conflicts of Interest
References
- Chakrabarty, S.; Raha, S.; Sinha, B. Strange quark matter and the mechanism of confinement. Phys. Lett. B 1989, 229, 112–116. [Google Scholar] [CrossRef]
- Saito, T.; Hatano, Y.; Fukada, Y.; Oda, H. Is there strange-quark matter in galactic cosmic rays? Phys. Rev. Lett. 1990, 65, 2094. [Google Scholar] [CrossRef] [PubMed]
- Madsen, J. Physics and astrophysics of strange quark matter. In Hadrons in Dense Matter and Hadrosynthesis; Springer: Berlin/Heidelberg, Germany, 1999; pp. 162–203. [Google Scholar]
- Weber, F. Strange quark matter and compact stars. Prog. Part. Nucl. Phys. 2005, 54, 193–288. [Google Scholar] [CrossRef]
- González Felipe, R.; Pérez Martínez, A.; Pérez Rojas, H.; Orsaria, M. Magnetized strange quark matter and magnetized strange quark stars. Phys. Rev. C 2008, 77, 015807. [Google Scholar] [CrossRef]
- Han, K.; Ashenfelter, J.; Chikanian, A.; Emmet, W.; Finch, L.E.; Heinz, A.; Madsen, J.; Majka, R.; Monreal, B.; Sandweiss, J. Search for stable strange quark matter in Lunar soil. Phys. Rev. Lett. 2009, 103, 092302. [Google Scholar] [CrossRef]
- Paulucci, L.; Horvath, J.E. Strange quark matter fragmentation in astrophysical events. Phys. Lett. B 2014, 733, 164–168. [Google Scholar] [CrossRef]
- Dai, Z.; Peng, Q.; Lu, T. The conversion of two-flavor to three-flavor quark matter in a Supernova core. Astrophys. J. 1995, 440, 815. [Google Scholar] [CrossRef]
- Benvenuto, O.; Lugones, G. The phase transition from nuclear matter to quark matter during proto-neutron star evolution. Mon. Not. R. Astron. Soc. 1999, 304, L25–L29. [Google Scholar] [CrossRef]
- Sagert, I.; Fischer, T.; Hempel, M.; Pagliara, G.; Schaffner-Bielich, J.; Mezzacappa, A.; Thielemann, F.K.; Liebendörfer, M. Signals of the QCD phase transition in core-collapse supernovae. Phys. Rev. Lett. 2009, 102, 081101. [Google Scholar] [CrossRef]
- Bombaci, I.; Logoteta, D.; Providência, C.; Vidana, I. Effects of quark matter nucleation on the evolution of proto-neutron stars. Astron. Astrophys. 2011, 528, A71. [Google Scholar] [CrossRef]
- Malfatti, G.; Orsaria, M.G.; Contrera, G.A.; Weber, F.; Ranea-Sandoval, I.F. Hot quark matter and (proto-) neutron stars. Phys. Rev. C Nucl. Phys. 2019, 100, 015803. [Google Scholar] [CrossRef]
- Alford, M.G.; Schmitt, A.; Rajagopal, K.; Schäfer, T. Color superconductivity in dense quark matter. Rev. Mod. Phys. 2008, 80, 1455. [Google Scholar] [CrossRef]
- Demorest, P.B.; Pennucci, T.; Ransom, S.M.; Roberts, M.S.E.; Hessels, J.W.T. A two-solar-mass neutron star measured using Shapiro delay. Nature 2010, 467, 1081–1083. [Google Scholar] [CrossRef] [PubMed]
- Fonseca, E.; Pennucci, T.T.; Ellis, J.A.; Stairs, I.H.; Nice, D.J.; Ransom, S.M.; Demorest, P.B.; Arzoumanian, Z.; Crowter, K.; Dolch, T.; et al. The NANOGrav Nine-year Data Set: Mass and Geometric Measurements of Binary Millisecond Pulsars. Astrophys. J. 2016, 832, 167. [Google Scholar] [CrossRef]
- Arzoumanian, Z.; Brazier, A.; Burke-Spolaor, S.; Chamberlin, S.; Chatterjee, S.; Christy, B.; Cordes, J.M.; Cornish, N.J.; Crawford, F.; Cromartie, H.T.; et al. The NANOGrav 11-year Data Set: High-precision Timing of 45 Millisecond Pulsars. Astrophys. J. Suppl. Ser. 2018, 235, 37. [Google Scholar] [CrossRef]
- Antoniadis, J.; Freire, P.C.; Wex, N.; Tauris, T.M.; Lynch, R.S.; Van Kerkwijk, M.H.; Kramer, M.; Bassa, C.; Dhillon, V.S.; Driebe, T.; et al. A Massive Pulsar in a Compact Relativistic Binary. Science 2013, 340, 6131. [Google Scholar] [CrossRef]
- Fonseca, E.e.a. Refined Mass and Geometric Measurements of the High-mass PSR J0740+6620. Astrophys. J. Lett. 2021, 915, L12. [Google Scholar] [CrossRef]
- Riley, T.E.; Watts, A.L.; Bogdanov, S.; Ray, P.S.; Ludlam, R.M.; Guillot, S.; Arzoumanian, Z.; Baker, C.L.; Bilous, A.V.; Chakrabarty, D.; et al. A NICER View of PSR J0030+0451: Millisecond Pulsar Parameter Estimation. Astrophys. J. Lett. 2019, 887, L21. [Google Scholar] [CrossRef]
- Miller, M.C.; Lamb, F.K.; Dittmann, A.J.; Bogdanov, S.; Arzoumanian, Z.; Gendreau, K.C.; Guillot, S.; Harding, A.K.; Ho, W.C.G.; Lattimer, J.M.; et al. PSR J0030+0451 Mass and Radius from NICER Data and Implications for the Properties of Neutron Star Matter. Astrophys. J. Lett. 2019, 887, L24. [Google Scholar] [CrossRef]
- Abbott, B.P.; Abbott, R.; Abbott, T.D.; Acernese, F.; Ackley, K.; Adams, C.; Adams, T.; Addesso, P.; Adhikari, R.X.; Adya, V.B.; et al. GW170817: Observation of Gravitational Waves from a Binary Neutron Star Inspiral. Phys. Rev. Lett. 2017, 119, 161101. [Google Scholar] [CrossRef]
- Abbott, B.P.; Abbott, R.; Abbott, T.D.; Abraham, S.; Acernese, F.; Ackley, K.; Adams, C.; Adhikari, R.X.; Adya, V.B.; Affeldt, C.; et al. GW190425: Observation of a Compact Binary Coalescence with Total Mass ∼ 3.4 M⊙. Astrophys. J. Lett. 2020, 892, L3. [Google Scholar] [CrossRef]
- Abbott, R.; Abbott, T.; Abraham, S.; Acernese, F.; Ackley, K.; Adams, C.; Adhikari, R.; Adya, V.; Affeldt, C.; Agathos, M.; et al. GW190814: Gravitational waves from the coalescence of a 23 solar mass black hole with a 2.6 solar mass compact object. Astrophys. J. Lett. 2020, 896, L44. [Google Scholar] [CrossRef]
- Morozova, V.; Radice, D.; Burrows, A.; Vartanyan, D. The Gravitational Wave Signal from Core-collapse Supernovae. Astrophys. J. 2018, 861, 10. [Google Scholar] [CrossRef]
- Sinha, M.; Huang, X.G.; Sedrakian, A. Strange quark matter in strong magnetic fields within a confining model. Phys. Rev. D 2013, 88, 025008. [Google Scholar] [CrossRef]
- Pérez Martínez, A.; González Felipe, R.; Manreza Paret, D. Compact Stars and Magnetized Cfl Matter. Int. J. Mod. Phys. E 2011, 20, 84–92. [Google Scholar] [CrossRef]
- Paulucci, L.; Ferrer, E.J.; de La Incera, V.; Horvath, J. Equation of state for the magnetic-color-flavor-locked phase and its implications for compact star models. Phys. Rev. D 2011, 83, 043009. [Google Scholar] [CrossRef]
- Buballa, M. NJL-model analysis of dense quark matter. Phys. Rep. 2005, 407, 205–376. [Google Scholar] [CrossRef]
- Dumm, D.G.; Carlomagno, J.P.; Scoccola, N.N. Strong-Interaction Matter under Extreme Conditions from Chiral Quark Models with Nonlocal Separable Interactions. Symmetry 2021, 13, 121. [Google Scholar] [CrossRef]
- Backes, B.C.; Hafemann, E.; Marzola, I.; Menezes, D.P. Density-dependent quark mass model revisited: Thermodynamic consistency, stability windows and stellar properties. J. Phys. G Nucl. Part. Phys. 2021, 48, 055104. [Google Scholar] [CrossRef]
- Chodos, A.; Jaffe, R.L.; Johnson, K.; Thorn, C.B.; Weisskopf, V.F. New extended model of hadrons. Phys. Rev. D Part. Fields Gravit. Cosmol. 1974, 9, 3471–3495. [Google Scholar] [CrossRef]
- Weber, F.; Orsaria, M.; Rodrigues, H.; Yang, S.H. Structure of Quark Stars; Neutron Stars and Pulsars: Challenges and Opportunities after 80 Years; van Leeuwen, J., Ed.; Cambridge University Press: Cambridge, UK, 2013; Volume 291, pp. 61–66. [Google Scholar] [CrossRef]
- Landau, L.; Lifshitz, E. Quantum Mechanics: Non-Relativistic Theory; Course of Theoretical Physics; Elsevier Science: Amsterdam, The Netherlands, 1981. [Google Scholar]
- Blandford, R.D.; Hernquist, L. Magnetic susceptibility of a neutron star crust. J. Phys. C Solid State Phys. 1982, 15, 6233–6243. [Google Scholar] [CrossRef]
- Chodos, A.; Jaffe, R.L.; Johnson, K.; Thorn, C.B. Baryon structure in the bag theory. Phys. Rev. D 1974, 10, 2599–2604. [Google Scholar] [CrossRef]
- Mariani, M.; Orsaria, M.G.; Ranea-Sandoval, I.F.; Lugones, G. Magnetized hybrid stars: Effects of slow and rapid phase transitions at the quark-hadron interface. Mon. Not. R. Astron. Soc. 2019, 489, 4261–4277. [Google Scholar] [CrossRef]
- Mariani, M.; Tonetto, L.; Rodríguez, M.C.; Celi, M.O.; Ranea-Sandoval, I.F.; Orsaria, M.G.; Pérez Martínez, A. Oscillating magnetized hybrid stars under the magnifying glass of multimessenger observations. Mon. Not. R. Astron. Soc. 2022, 512, 517–534. [Google Scholar] [CrossRef]
- Strickland, M.; Dexheimer, V.; Menezes, D.P. Bulk properties of a Fermi gas in a magnetic field. Phys. Rev. D 2012, 86, 125032. [Google Scholar] [CrossRef]
- Pili, A.G.; Bucciantini, N.; Del Zanna, L. Axisymmetric equilibrium models for magnetized neutron stars in General Relativity under the Conformally Flat Condition. Mon. Not. R. Astron. Soc. 2014, 439, 3541–3563. [Google Scholar] [CrossRef]
- Bonanno, A.; Rezzolla, L.; Urpin, V. Mean-field dynamo action in protoneutron stars. Astron. Astrophys. 2003, 410, L33–L36. [Google Scholar] [CrossRef]
- Naso, L.; Rezzolla, L.; Bonanno, A.; Paternò, L. Magnetic field amplification in proto-neutron stars. The role of the neutron-finger instability for dynamo excitation. Astron. Astrophys. 2008, 479, 167–176. [Google Scholar] [CrossRef]
- Frieben, J.; Rezzolla, L. Equilibrium models of relativistic stars with a toroidal magnetic field. Mon. Not. R. Astron. Soc. 2012, 427, 3406–3426. [Google Scholar] [CrossRef]
- Ciolfi, R.; Rezzolla, L. Poloidal-field Instability in Magnetized Relativistic Stars. Astrophys. J. 2012, 760, 1. [Google Scholar] [CrossRef]
- Braithwaite, J.; Spruit, H.C. Evolution of the magnetic field in magnetars. Astron. Astrophys. 2006, 450, 1097–1106. [Google Scholar] [CrossRef]
- Ciolfi, R.; Rezzolla, L. Twisted-torus configurations with large toroidal magnetic fields in relativistic stars. Mon. Not. R. Astron. Soc. Lett. 2013, 435, L43–L47. [Google Scholar] [CrossRef]
- Sur, A.; Haskell, B.; Kuhn, E. Magnetic field configurations in neutron stars from MHD simulations. Mon. Not. R. Astron. Soc. 2020, 495, 1360–1371. [Google Scholar] [CrossRef]
- Zel’dovich, Y.; Novikov, I. Stars and Relativity; Dover Books on Physics; Dover Publications: Mineola, NY, USA, 2014. [Google Scholar]
- Flores, C.V.; Lopes, L.L.; Castro, L.B.; Menezes, D.P. Gravitational wave signatures of highly magnetized neutron stars. Eur. Phys. J. C 2020, 80, 1142. [Google Scholar] [CrossRef]
- Bednarek, I.; Brzezina, A.; Mańka, R.; Zastawny-Kubica, M. The influence of asymmetry on a magnetized proto-neutron star. Nucl. Phys. A 2003, 716, 245–256. [Google Scholar] [CrossRef]
- Flores, C.V.; Castro, L.B.; Lugones, G. Properties of strongly magnetized ultradense matter and its effects on magnetar pulsations. Phys. Rev. C 2016, 94, 015807. [Google Scholar] [CrossRef]
- Dexheimer, V.; Franzon, B.; Gomes, R.; Farias, R.; Avancini, S.; Schramm, S. What is the magnetic field distribution for the equation of state of magnetized neutron stars? Phys. Lett. B 2017, 773, 487–491. [Google Scholar] [CrossRef]
- Chatterjee, D.; Novak, J.; Oertel, M. Magnetic field distribution in magnetars. Phys. Rev. C 2019, 99, 055811. [Google Scholar] [CrossRef]
- Igoshev, A.P.; Popov, S.B.; Hollerbach, R. Evolution of Neutron Star Magnetic Fields. Universe 2021, 7, 351. [Google Scholar] [CrossRef]
- Sotani, H.; Tatsumi, T. Massive hybrid quark stars with strong magnetic field. Mon. Not. R. Astron. Soc. 2015, 447, 3155–3161. [Google Scholar] [CrossRef]
- Ferrer, E.J.; de la Incera, V.; Keith, J.P.; Portillo, I.; Springsteen, P.L. Equation of state of a dense and magnetized fermion system. Phys. Rev. C 2010, 82, 065802. [Google Scholar] [CrossRef]
- Chu, P.C.; Li, X.H.; Ma, H.Y.; Wang, B.; Dong, Y.M.; Zhang, X.M. Quark matter and quark stars in strong magnetic fields at finite temperature within the confined-isospin-density-dependent mass model. Phys. Lett. B 2018, 778, 447–453. [Google Scholar] [CrossRef]
- Chu, P.C.; Zhou, Y.; Jiang, Y.Y.; Ma, H.Y.; Liu, H.; Zhang, X.M.; Li, X.H. Quark star matter in heavy quark stars. Eur. Phys. J. C 2021, 81, 93. [Google Scholar] [CrossRef]
- Dexheimer, V.; Negreiros, R.; Schramm, S. Hybrid stars in a strong magnetic field. Eur. Phys. J. A 2012, 48, 189. [Google Scholar] [CrossRef]
- Lai, D.; Shapiro, S.L. Cold Equation of State in a Strong Magnetic Field: Effects of Inverse beta-Decay. Astrophys. J. 1991, 383, 745. [Google Scholar] [CrossRef]
- Bandyopadhyay, D.; Chakrabarty, S.; Pal, S. Quantizing Magnetic Field and Quark-Hadron Phase Transition in a Neutron Star. Phys. Rev. Lett. 1997, 79, 2176–2179. [Google Scholar] [CrossRef]
- Mao, G.J.; Iwamoto, A.; Li, Z.X. A Study of Neutron Star Structure in Strong Magnetic Fields that includes Anomalous Magnetic Moments. Chin. J. Astron. Astrophys. 2003, 3, 359–374. [Google Scholar] [CrossRef]
- Rabhi, A.; Pais, H.; Panda, P.K.; Providência, C. Quark-hadron phase transition in a neutron star under strong magnetic fields. J. Phys. G Nucl. Phys. 2009, 36, 115204. [Google Scholar] [CrossRef]
- Thapa, V.B.; Sinha, M.; Li, J.J.; Sedrakian, A. Equation of State of Strongly Magnetized Matter with Hyperons and Δ-Resonances. Particles 2020, 3, 660–675. [Google Scholar] [CrossRef]
- Rajagopal, K. Mapping the QCD phase diagram. Nucl. Phys. A 1999, 661, 150–161. [Google Scholar] [CrossRef]
- Fukushima, K.; Hatsuda, T. The phase diagram of dense QCD. Rep. Prog. Phys. 2010, 74, 014001. [Google Scholar] [CrossRef]
- Guenther, J.N. Overview of the QCD phase diagram. Eur. Phys. J. A 2021, 57, 1–23. [Google Scholar] [CrossRef] [PubMed]
- Bardeen, J.; Cooper, L.N.; Schrieffer, J.R. Microscopic Theory of Superconductivity. Phys. Rev. 1957, 106, 162–164. [Google Scholar] [CrossRef]
- Glampedakis, K.; Andersson, N.; Samuelsson, L. Magnetohydrodynamics of superfluid and superconducting neutron star cores. Mon. Not. R. Astron. Soc. 2011, 410, 805–829. [Google Scholar] [CrossRef]
- Ferrer, E.J.; de la Incera, V.; Manuel, C. Colour superconductivity in a strong magnetic field. J. Phys. Math. Gen. 2006, 39, 6349–6355. [Google Scholar] [CrossRef]
- Shovkovy, I.A. Two Lectures on Color Superconductivity. Found. Phys. 2005, 35, 1309–1358. [Google Scholar] [CrossRef]
- Baym, G.; Pethick, C.; Pines, D.; Ruderman, M. Spin up in neutron stars: The future of the Vela pulsar. Nature 1969, 224, 872–874. [Google Scholar]
- Haskell, B.; Sedrakian, A. Superfluidity and Superconductivity in Neutron Stars. In The Physics and Astrophysics of Neutron Stars; Springer International Publishing: New York, NY, USA, 2018; pp. 401–454. [Google Scholar] [CrossRef]
- Voskresensky, D.N. Vector-boson condensates, spin-triplet superfluidity of paired neutral and charged fermions, and 3P2 pairing of nucleons. Phys. Rev. D 2020, 101, 056011. [Google Scholar] [CrossRef]
- Noronha, J.L.; Shovkovy, I.A. Color-flavor locked superconductor in a magnetic field. Phys. Rev. D 2007, 76, 105030. [Google Scholar] [CrossRef]
- Fukushima, K.; Warringa, H.J. Color Superconducting Matter in a Magnetic Field. Phys. Rev. Lett. 2008, 100, 032007. [Google Scholar] [CrossRef]
- Curin, D.; Ranea-Sandoval, I.F.; Mariani, M.; Orsaria, M.G.; Weber, F. Hybrid Stars with Color Superconducting Cores in an Extended FCM Model. Universe 2021, 7, 370. [Google Scholar] [CrossRef]
- Alford, M.; Braby, M.; Paris, M.; Reddy, S. Hybrid stars that masquerade as neutron stars. Astrophys. J. 2005, 629, 969. [Google Scholar] [CrossRef]
- Alford, M.; Kouvaris, C.; Rajagopal, K. Evaluating the gapless color-flavor locked phase. Phys. Rev. D 2005, 71. [Google Scholar] [CrossRef]
- Alford, M.; Jotwani, P.; Kouvaris, C.; Kundu, J.; Rajagopal, K. Astrophysical implications of gapless color-flavor locked quark matter: A hot water bottle for aging neutron stars. Phys. Rev. D 2005, 71. [Google Scholar] [CrossRef]
- Riley, T.E.; Watts, A.L.; Ray, P.S.; Bogdanov, S.; Guillot, S.; Morsink, S.M.; Bilous, A.V.; Arzoumanian, Z.; Choudhury, D.; Deneva, J.S.; et al. A NICER View of the Massive Pulsar PSR J0740+6620 Informed by Radio Timing and XMM-Newton Spectroscopy. Astrophys. J. 2021, 918, L27. [Google Scholar] [CrossRef]
- Miller, M.C.; Lamb, F.K.; Dittmann, A.J.; Bogdanov, S.; Arzoumanian, Z.; Gendreau, K.C.; Guillot, S.; Ho, W.C.G.; Lattimer, J.M.; Loewenstein, M.; et al. The Radius of PSR J0740+6620 from NICER and XMM-Newton Data. Astrophys. J. Lett. 2021, 918, L28. [Google Scholar] [CrossRef]
- Detweiler, S.; Lindblom, L. On the nonradial pulsations of general relativistic stellar models. Astrophys. J. 1985, 292, 12–15. [Google Scholar] [CrossRef]
- Weber, F. Pulsars as Astrophysical Laboratories for Nuclear and Particle Physics; Routledge: London, UK, 2017. [Google Scholar]
- Thorne, K.S.; Campolattaro, A. Non-Radial Pulsation of General-Relativistic Stellar Models. I. Analytic Analysis for L >= 2. Astrophys. J. 1967, 149, 591. [Google Scholar] [CrossRef]
- Sotani, H.; Harada, T. Nonradial oscillations of quark stars. Phys. Rev. D 2003, 68, 024019. [Google Scholar] [CrossRef]
- Benhar, O.; Ferrari, V.; Gualtieri, L.; Marassi, S. Quark matter imprint on gravitational waves from oscillating stars. Gen. Relativ. Gravit. 2007, 39, 1323–1330. [Google Scholar] [CrossRef][Green Version]
- Flores, C.V.; Lugones, G. Constraining color flavor locked strange stars in the gravitational wave era. Phys. Rev. C 2017, 95, 025808. [Google Scholar] [CrossRef]
- Tonetto, L.; Lugones, G. Discontinuity gravity modes in hybrid stars: Assessing the role of rapid and slow phase conversions. Phys. Rev. D 2020, 101, 123029. [Google Scholar] [CrossRef]
- Rodríguez, M.C.; Ranea-Sandoval, I.F.; Mariani, M.; Orsaria, M.G.; Malfatti, G.; Guilera, O.M. Hybrid stars with sequential phase transitions: The emergence of the g2 mode. J. Cosmol. Astropart. Phys. 2021, 2021, 009. [Google Scholar] [CrossRef]
- Andersson, N.; Kokkotas, K.D. Towards gravitational wave asteroseismology. Mon. Not. R. Astron. Soc. 1998, 299, 1059–1068. [Google Scholar] [CrossRef]
- Benhar, O.; Ferrari, V.; Gualtieri, L. Gravitational wave asteroseismology reexamined. Phys. Rev. D 2004, 70, 124015. [Google Scholar] [CrossRef]
- Lander, S.K.; Jones, D.I.; Passamonti, A. Oscillations of rotating magnetized neutron stars with purely toroidal magnetic fields. Mon. Not. R. Astron. Soc. 2010, 405, 318–328. [Google Scholar] [CrossRef][Green Version]









| Scenario | (Gauss) | (Gauss) |
|---|---|---|
| Low-MF | ||
| Magnetar |
| EoS # | [MeV] | [MeV/fm | [MeV] | [1/fm | Gauss] | |
|---|---|---|---|---|---|---|
| 1 | 10 | 45 | 801.9 | 2.17 | 0.23 | 1.4 |
| 2 | 50 | 50 | 794.8 | 2.18 | 0.24 | 1.4 |
| 3 | 90 | 45 | 712.0 | 2.60 | 0.21 | 0.6 |
| 4 | 90 | 70 | 809.9 | 2.03 | 0.30 | 1.7 |
Publisher’s Note: MDPI stays neutral with regard to jurisdictional claims in published maps and institutional affiliations. |
© 2022 by the authors. Licensee MDPI, Basel, Switzerland. This article is an open access article distributed under the terms and conditions of the Creative Commons Attribution (CC BY) license (https://creativecommons.org/licenses/by/4.0/).
Share and Cite
Celi, M.O.; Mariani, M.; Orsaria, M.G.; Tonetto, L. Oscillating Magnetized Color Superconducting Quark Stars. Universe 2022, 8, 272. https://doi.org/10.3390/universe8050272
Celi MO, Mariani M, Orsaria MG, Tonetto L. Oscillating Magnetized Color Superconducting Quark Stars. Universe. 2022; 8(5):272. https://doi.org/10.3390/universe8050272
Chicago/Turabian StyleCeli, Marcos Osvaldo, Mauro Mariani, Milva Gabriela Orsaria, and Lucas Tonetto. 2022. "Oscillating Magnetized Color Superconducting Quark Stars" Universe 8, no. 5: 272. https://doi.org/10.3390/universe8050272
APA StyleCeli, M. O., Mariani, M., Orsaria, M. G., & Tonetto, L. (2022). Oscillating Magnetized Color Superconducting Quark Stars. Universe, 8(5), 272. https://doi.org/10.3390/universe8050272

