Strangeness Production from Proton–Proton Collisions at Different Energies by Using Monte Carlo Simulation
Abstract
1. Introduction
2. Analysis Details
3. Models
3.1. PYTHIA8
3.1.1. Monash Tune
3.1.2. Ropes Model
3.1.3. Description of the Lund String Model Underlying PYTHIA8
3.1.4. Monte Carlo Samples from PYTHIA8
3.2. EPOS-LHC
3.2.1. Elementary Interaction in the EPOS Model
3.2.2. New Features in EPOS-LHC
3.2.3. Monte Carlo Samples from EPOS-LHC
3.3. Herwig7
3.3.1. Description of the Cluster Hadronization Model Underlying Herwig7 and Cluster Decays
3.3.2. Monte Carlo Samples from Herwig7
4. Results and Discussion
4.1. Ratio of Yields to the Pion Yield
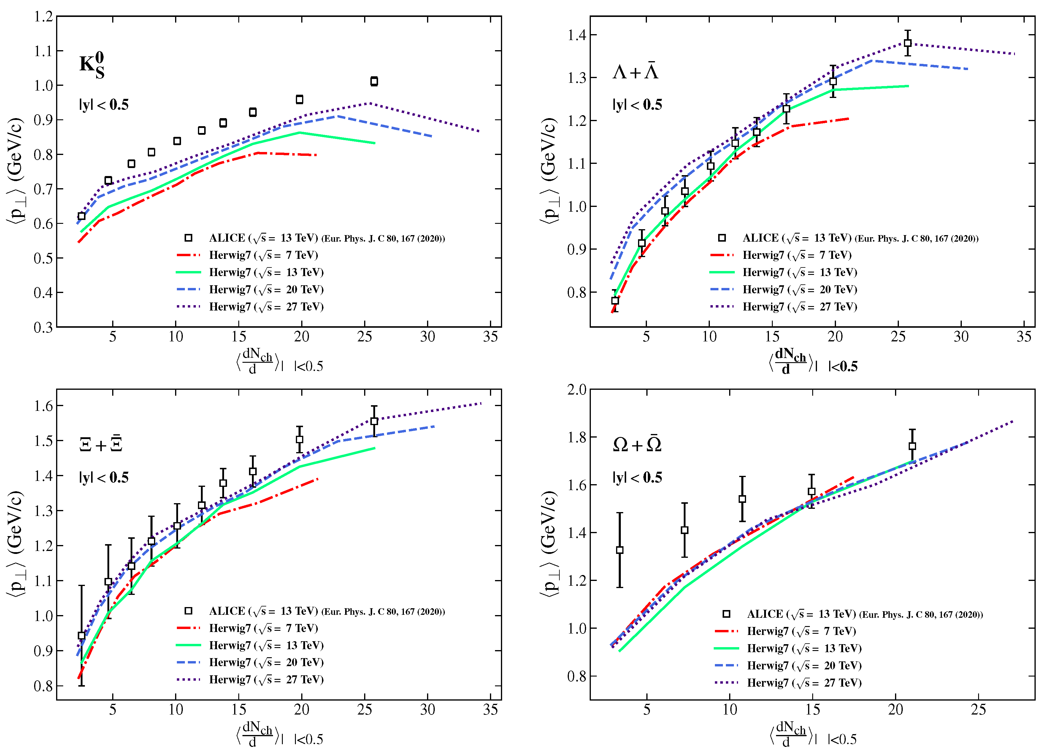
4.2. Average Transverse Momentum
4.3. Integrated Yields
5. Conclusions
Author Contributions
Funding
Institutional Review Board Statement
Informed Consent Statement
Data Availability Statement
Acknowledgments
Conflicts of Interest
Abbreviations
| QCD | Quantum Chromodynamics |
| QGP | Quark–Gluon Plasma |
| MCEG | Monte Carlo event generator |
| CRMC | Cosmic Ray Monte Carlo |
References
- Koch, P.; Muller, B.; Rafelski, J. Strangeness in Relativistic Heavy Ion Collisions. Phys. Rep. 1986, 142, 167–262. [Google Scholar] [CrossRef]
- Rafelski, J.; Muller, B. Strangeness Production in the Quark–Gluon Plasma. Phys. Rev. Lett. 1982, 48, 1066, Erratum in Phys. Rev. Lett. 1986, 56, 2334. [Google Scholar] [CrossRef]
- Rafelski, J.; Hagedorn, R. From Hadron Gas to Quark Matter. 2. In Proceedings of the International Symposium on Statistical Mechanics of Quarks and Hadrons, Bielefeld, Germany, 24–31 August 1980. [Google Scholar]
- Andersen, E.; Antinori, F.; Armenise, N.; Bakke, H.; Ban, J.; Barberis, D.; Beker, H.; Beusch, W.; Bloodworth, I.J.; Bohm, J.; et al. Strangeness enhancement at mid-rapidity in Pb Pb collisions at 158-A-GeV/c. Phys. Lett. B 1999, 449, 401–406. [Google Scholar] [CrossRef]
- Anticic, T.; Afanasiev, S.V.; Barna, D.; Bartke, J.; Barton, R.A.; Betev, L.; Bialkowska, H.; Billmeier, A.; Blume, C.; Blyth, C.O.; et al. Ξ− and Ξ¯+ production in central Pb + Pb collisions at 158-GeV/c per nucleon. Phys. Lett. B 2002, 538, 275–281. [Google Scholar] [CrossRef][Green Version]
- Antinori, F.; Bacon, P.A.; Badala, A.; Barbera, R.; Belogianni, A.; Bhasin, A.; Bloodworth, I.J.; Bombara, M.; Bruno, G.E.; Bull, S.A.; et al. Energy dependence of hyperon production in nucleus nucleus collisions at SPS. Phys. Lett. B 2004, 595, 68–74. [Google Scholar] [CrossRef]
- Abelev, B.I.; Aggarwal, M.M.; Ahammed, Z.; Anderson, B.D.; Arkhipkin, D.; Averichev, G.S.; Bai, Y.; Balewski, J.; Barannikova, O.; Barnby, L.S.; et al. Enhanced strange baryon production in Au + Au collisions compared to p + p at s(NN)**(1/2) = 200-GeV. Phys. Rev. C 2008, 77, 044908. [Google Scholar] [CrossRef]
- Alme, J.; Erdal, H.A.; Helstrup, H.; Hetl, K.F.; Kileng, B.; Altinpinar, S.; Djuvsl, O.; Haal, O.S.; Huang, M.; Langoy, R.; et al. Multi-strange baryon production at mid-rapidity in Pb-Pb collisions at = 2.76 TeV. Phys. Lett. B 2014, 728, 216–227, Erratum in Phys. Lett. B 2014, 734, 409–410. [Google Scholar] [CrossRef]
- Khachatryan, V.; Sirunyan, A.M.; Tumasyan, A.; Adam, W.; Bergauer, T.; Dragicevic, M.; Ero, J.; Fabjan, C.; Friedl, M.; Fruhwirth, R.; et al. Observation of Long-Range Near-Side Angular Correlations in Proton-Proton Collisions at the LHC. JHEP 2010, 9, 91. [Google Scholar] [CrossRef]
- Khachatryan, V.; Sirunyan, A.M.; Tumasyan, A.; Adam, W.; Asilar, E.; Bergauer, T.; Brandstetter, J.; Brondolin, E.; Dragicevic, M.; Ero, J.; et al. Evidence for collectivity in pp collisions at the LHC. Phys. Lett. B 2017, 765, 193–220. [Google Scholar] [CrossRef]
- Abelev, B.B.; ALICE Collaboration. Multiplicity Dependence of Pion, Kaon, Proton and Lambda Production in p-Pb Collisions at = 5.02 TeV. Phys. Lett. B 2014, 728, 25–38. [Google Scholar] [CrossRef]
- Adamova, D.; Adam, J.; Aggarwal, M.M.; Aglieri Rinella, G.; Agnello, M.; Agrawal, N.; Ahammed, Z.; Ahmad, S.F.; Ahn, S.U.; Aiola, S.; et al. Multi-strange baryon production in p-Pb collisions at = 5.02 TeV. Phys. Lett. B 2016, 758, 389–401. [Google Scholar] [CrossRef]
- Chatrchyan, S.; Khachatryan, V.; Sirunyan, A.M.; Tumasyan, A.; Adam, W.; Aguilo, E.; Bergauer, T.; Dragicevic, M.; Ero, J.; Fabjan, C.; et al. Observation of Long-Range Near-Side Angular Correlations in Proton-Lead Collisions at the LHC. Phys. Lett. B 2013, 718, 795–814. [Google Scholar] [CrossRef]
- Alme, J.; Erdal, H.A.; Helstrup, H.; Hetl, K.F.; Kileng, B.; Altinpinar, S.; Djuvsl, O.; Fehlker, D.; Haal, O.S.; Huang, M.; et al. Long-range angular correlations on the near and away side in p-Pb collisions at = 5.02 TeV. Phys. Lett. B 2013, 719, 29–41. [Google Scholar] [CrossRef]
- ATLAS Collaboration. Observation of Associated Near-Side and Away-Side Long-Range Correlations in = 5.02 TeV Proton-Lead Collisions with the ATLAS Detector. Phys. Rev. Lett. 2013, 110, 182302. [Google Scholar] [CrossRef]
- Aguilar-Saavedra, J.A.; Amor Dos Santos, S.P.; Anjos, N.; Cantrill, R.; Carvalho, J.; Castro, N.F.; Conde Muino, P.; Da Cunha Sargedas de Sousa, M.J.; Do Valle Wemans, A.; Fiolhais, M.; et al. Measurement with the ATLAS detector of multi-particle azimuthal correlations in p+Pb collisions at = 5.02 TeV. Phys. Lett. B 2013, 725, 60–78. [Google Scholar] [CrossRef]
- Chatrchyan, S.; Khachatryan, V.; Sirunyan, A.M.; Tumasyan, A.; Adam, W.; Bergauer, T.; Dragicevic, M.; Ero, J.; Fabjan, C.; Friedl, M.; et al. Multiplicity and Transverse Momentum Dependence of Two- and Four-Particle Correlations in pPb and PbPb Collisions. Phys. Lett. B 2013, 724, 213–240. [Google Scholar] [CrossRef]
- ALICE Collaboration. Long-range angular correlations of ß, K and p in p-Pb collisions at = 5.02 TeV. Phys. Lett. B 2013, 726, 164–177. [Google Scholar] [CrossRef]
- Khachatryan, V.; Sirunyan, A.M.; Tumasyan, A.; Adam, W.; Asilar, E.; Bergauer, T.; Brandstetter, J.; Brondolin, E.; Dragicevic, M.; Ero, J.; et al. Multiplicity and rapidity dependence of strange hadron production in pp, pPb, and PbPb collisions at the LHC. Phys. Lett. B 2017, 768, 103–129. [Google Scholar] [CrossRef]
- Weinberg, S. Beyond the First Three Minutes. Phys. Scr. 1980, 21, 773–781. [Google Scholar] [CrossRef]
- Iwamoto, N. Chemical kinetics of beta decay reactions in degenerate quark matter. Phys. Rev. D 1983, 28, 2353–2362. [Google Scholar] [CrossRef]
- Kajantie, K.; McLerran, L. Probes of the Quark Gluon Plasma in High Energy Collisions. Annu. Rev. Nucl. Part. Sci. 1987, 37, 293–323. [Google Scholar] [CrossRef][Green Version]
- Rafelski, J. Extreme States of Nuclear Matter—1980. Eur. Phys. J. 2015, 51, 282–324. [Google Scholar] [CrossRef][Green Version]
- Rafelski, J. Formation and Observables of the Quark-Gluon Plasma. Phys. Rep. 1982, 88, 331. [Google Scholar]
- Adam, J.; Adamova, D.; Aggarwal, M.M.; Rinella, G.A.; Agnello, M.; Agrawal, N.; Ahammed, Z.; Ahmad, S.; Ahn, S.U.; Aiola, S.; et al. Enhanced production of multi-strange hadrons in high-multiplicity proton-proton collisions. Nature Phys. 2017, 13, 535–539. [Google Scholar] [CrossRef]
- Acharya, S.; Adamova, D.; Adhya, S.P.; Adler, A.; Adolfsson, J.; Aggarwal, M.M.; Aglieri Rinella, G.; Agnello, M.; Agrawal, N.; Ahammed, Z.; et al. Multiplicity dependence of (multi-)strange hadron production in proton-proton collisions at = 13 TeV. Eur. Phys. J. C 2020, 80, 167. [Google Scholar] [CrossRef]
- ALICE Collaboration. The ALICE Definition of Primary Particles; Alice Publications: Farmington, ME, USA, 2017. [Google Scholar]
- Bierlich, C.; Buckley, A.; Butterworth, J.; Christensen, C.H.; Corpe, L.; Grellscheid, D.; Grosse-Oetringhaus, J.F.; Gutschow, C.; Karczmarczyk, P.; Klein, J.; et al. Robust Independent Validation of Experiment and Theory: Rivet version 3. SciPost Phys. 2020, 8, 26. [Google Scholar] [CrossRef]
- Rivet Team. Available online: https://rivet.hepforge.org/code/dev/classRivet_1_1ALICE_1_1PrimaryParticles.html (accessed on 23 September 2021).
- Available online: https://rivet.hepforge.org/analyses/ALICE_2016_I1471838 (accessed on 23 September 2021).
- Available online: https://rivet.hepforge.org/analyses/ALICE_2015_PPCentrality.html (accessed on 23 September 2021).
- Bierlich, C.; Chakraborty, S.; Desai, N.; Gellersen, L.; Helenius, I.; Ilten, P.; Lonnblad, L.; Mrenna, S.; Prestel, S.; Preuss, C.T.; et al. A comprehensive guide to the physics and usage of PYTHIA 8.3. arXiv 2022, arXiv:2203.11601. [Google Scholar]
- Andersson, B.; Gustafson, G.; Ingelman, G.; Sjostrand, T. Parton Fragmentation and String Dynamics. Phys. Rep. 1983, 97, 31–145. [Google Scholar] [CrossRef]
- Sjöstrand, T. Jet fragmentation of multiparton configurations in a string framework. Nucl. Phys. B 1984, 248, 469–502. [Google Scholar] [CrossRef]
- Bierlich, C.; Gustafson, G.; Lönnblad, L.; Tarasov, A. Effects of Overlapping Strings in pp Collisions. JHEP 2015, 3, 148. [Google Scholar] [CrossRef]
- Christiansen, J.R.; Skands, P.Z. String Formation Beyond Leading Colour. JHEP 2015, 8, 3. [Google Scholar] [CrossRef]
- Andersson, B.; Gustafson, G.; Soderberg, B. A General Model for Jet Fragmentation. Z. Phys. C 1983, 20, 317. [Google Scholar] [CrossRef]
- Andersson, B.; Gustafson, G.; Söderberg, B. A probability measure on parton and string states. Nucl. Phys. B 1986, 264, 29–59. [Google Scholar] [CrossRef]
- Available online: https://www.pythia.org/ (accessed on 6 May 2021).
- Pierog, T.; Karpenko, I.; Katzy, J.M.; Yatsenko, E.; Werner, K. EPOS LHC: Test of collective hadronization with data measured at the CERN Large Hadron Collider. Phys. Rev. C 2015, 92, 034906. [Google Scholar] [CrossRef]
- Ulrich, R.; Pierog, T.; Baus, C. Cosmic Ray Monte Carlo Package, CRMC. 2021. Available online: https://zenodo.org/record/5270381#.Y2h1InZByUk (accessed on 6 May 2022). [CrossRef]
- Drescher, H.J.; Hladik, M.; Ostapchenko, S.; Pierog, T.; Werner, K. Parton based Gribov-Regge theory. Phys. Rep. 2001, 350, 93–289. [Google Scholar] [CrossRef]
- Werner, K. Strings, pomerons, and the venus model of hadronic interactions at ultrarelativistic energies. Phys. Rep. 1993, 232, 87–299. [Google Scholar] [CrossRef]
- Kalmykov, N.N.; Ostapchenko, S.S.; Pavlov, A.I. Quark-Gluon String Model and EAS Simulation Problems at Ultra-High Energies. Nucl. Phys. B Proc. Suppl. 1997, 52, 17–28. [Google Scholar] [CrossRef]
- Pierog, T.; Werner, K. EPOS Model and Ultra High Energy Cosmic Rays. Nucl. Phys. B Proc. Suppl. 2009, 196, 102–105. [Google Scholar] [CrossRef]
- Werner, K. Core-corona separation in ultra-relativistic heavy ion collisions. Phys. Rev. Lett. 2007, 98, 152301. [Google Scholar] [CrossRef]
- Chatrchyan, S.; Khachatryan, V.; Sirunyan, A.M.; Tumasyan, A.; Adam, W.; Aguilo, E.; Bergauer, T.; Dragicevic, M.; Ero, J.; Fabjan, C.; et al. Study of the Inclusive Production of Charged Pions, Kaons, and Protons in pp Collisions at = 0.9, 2.76, and 7 TeV. Eur. Phys. J. C 2012, 72, 2164. [Google Scholar] [CrossRef]
- Available online: https://gitlab.iap.kit.edu/AirShowerPhysics/crmc (accessed on 6 May 2021).
- Bellm, J.; Gieseke, S.; Grellscheid, D.; Platzer, S.; Rauch, M.; Reuschle, C.; Richardson, P.; Schichtel, P.; Seymour, M.H.; Siodmok, A.; et al. Herwig 7.0/Herwig++ 3.0 release note. Eur. Phys. J. C 2016, 76, 196. [Google Scholar] [CrossRef]
- Corcella, G.; Knowles, I.G.; Marchesini, G.; Moretti, S.; Odagiri, K.; Richardson, P.; Seymour, M.H.; Webber, B.R. HERWIG 6: An Event generator for hadron emission reactions with interfering gluons (including supersymmetric processes). JHEP 2001, 1, 010. [Google Scholar] [CrossRef]
- Bahr, M.; Gieseke, S.; Gigg, M.A.; Grellscheid, D.; Hamilton, K.; Latunde-Dada, O.; Platzer, S.; Richardson, P.; Seymour, M.H.; Sherstnev, A.; et al. Herwig++ Physics and Manual. Eur. Phys. J. C 2008, 58, 639–707. [Google Scholar] [CrossRef]
- Webber, B.R. A QCD Model for Jet Fragmentation Including Soft Gluon Interference. Nucl. Phys. B 1984, 238, 492–528. [Google Scholar] [CrossRef]
- Kupco, A. Cluster hadronization in HERWIG 5.9. In Proceedings of the Workshop on Monte Carlo Generators for HERA Physics (Plenary Starting Meeting), Hamburg, Germany, 27–30 April 1998; pp. 292–300. [Google Scholar]
- Available online: https://herwig.hepforge.org/ (accessed on 6 May 2021).
- ALICE Collaboration. Enhanced Production of Multi-Strange Hadrons in High-Multiplicity Proton-Proton Collisions; HEPData (Collection); Alice Publications: Farmington, ME, USA, 2017. [Google Scholar] [CrossRef]
- ALICE Collaboration. Multiplicity Dependence of (Multi-)Strange Hadron Production in Proton-Proton Collisions at = 13 TeV; HEPData (Collection); Alice Publications: Farmington, ME, USA, 2021. [Google Scholar] [CrossRef]













| Class Name | |||||
|---|---|---|---|---|---|
| PYTHIA8 (Monash) | PYTHIA8 (Ropes) | EPOS-LHC | Herwig7 | ||
| I | 0–1% | ||||
| II | 1–5% | ||||
| III | 5–10% | ||||
| IV | 10–15% | ||||
| V | 15–20% | ||||
| VI | 20–30% | ||||
| VII | 30–40% | ||||
| VIII | 40–50% | ||||
| IX | 50–70% | ||||
| X | 70–100% | ||||
| Class Name | |||||
|---|---|---|---|---|---|
| PYTHIA8 (Monash) | PYTHIA8 (Ropes) | EPOS-LHC | Herwig7 | ||
| I | 0–1% | ||||
| II | 1–5% | ||||
| III | 5–10% | ||||
| IV | 10–15% | ||||
| V | 15–20% | ||||
| VI | 20–30% | ||||
| VII | 30–40% | ||||
| VIII | 40–50% | ||||
| IX | 50–70% | ||||
| X | 70–100% | ||||
| Parameter | Value | Parameter Description |
|---|---|---|
| MultiPartonInteractions:pT0Ref | 2.15 | Parameter of the MPI model to keep total multiplicity reasonable |
| BeamRemnants:remnantMode | 1 | |
| BeamRemnants:saturation | 5 | |
| ColourReconnection:mode | 1 | |
| ColourReconnection:allowDoubleJunRem | off | |
| ColourReconnection:m0 | 0.3 | Parameters related to Junction formation/QCD based CR |
| ColourReconnection:allowJunctions | on | |
| ColourReconnection:junctionCorrection | 1.2 | |
| ColourReconnection:timeDilationMode | 2 | |
| ColourReconnection:timeDilationPar | 0.18 | |
| Ropewalk:RopeHadronization | on | Parameters of the rope model |
| Ropewalk:doShoving | on | |
| Ropewalk:tInit | 1.5 | |
| Ropewalk:deltat | 0.05 | |
| Ropewalk:tShove | 0.1 | |
| Ropewalk:gAmplitude | 0 | |
| Ropewalk:doFlavour | on | |
| Ropewalk:r0 | 0.5 | |
| Ropewalk:m0 | 0.2 | |
| Ropewalk:beta | 0.1 | |
| PartonVertex:setVertex | on | |
| PartonVertex:protonRadius | 0.7 | Settings of vertex information |
| PartonVertex:emissionWidth | 0.1 |
Publisher’s Note: MDPI stays neutral with regard to jurisdictional claims in published maps and institutional affiliations. |
© 2022 by the authors. Licensee MDPI, Basel, Switzerland. This article is an open access article distributed under the terms and conditions of the Creative Commons Attribution (CC BY) license (https://creativecommons.org/licenses/by/4.0/).
Share and Cite
Hussein, A.; Mahmoud, M.A.; Aly, A.A.; El-Hammamy, M.N.; Mohammed, Y. Strangeness Production from Proton–Proton Collisions at Different Energies by Using Monte Carlo Simulation. Universe 2022, 8, 590. https://doi.org/10.3390/universe8110590
Hussein A, Mahmoud MA, Aly AA, El-Hammamy MN, Mohammed Y. Strangeness Production from Proton–Proton Collisions at Different Energies by Using Monte Carlo Simulation. Universe. 2022; 8(11):590. https://doi.org/10.3390/universe8110590
Chicago/Turabian StyleHussein, Ahmed, M. A. Mahmoud, Ayman A. Aly, M. N. El-Hammamy, and Yasser Mohammed. 2022. "Strangeness Production from Proton–Proton Collisions at Different Energies by Using Monte Carlo Simulation" Universe 8, no. 11: 590. https://doi.org/10.3390/universe8110590
APA StyleHussein, A., Mahmoud, M. A., Aly, A. A., El-Hammamy, M. N., & Mohammed, Y. (2022). Strangeness Production from Proton–Proton Collisions at Different Energies by Using Monte Carlo Simulation. Universe, 8(11), 590. https://doi.org/10.3390/universe8110590

