Abstract
We exploit the recent determination of the cosmic star formation rate (SFR) density at high redshifts to derive astroparticle constraints on three common dark matter (DM) scenarios alternative to standard cold dark matter (CDM): warm dark matter (WDM), fuzzy dark matter (DM) and self-interacting dark matter (SIDM). Our analysis relies on the ultraviolet (UV) luminosity functions measured from blank field surveys by the Hubble Space Telescope out to and down to UV magnitudes . We extrapolate these to fainter yet unexplored magnitude ranges and perform abundance matching with the halo mass functions in a given DM scenario, thus, obtaining a redshift-dependent relationship between the UV magnitude and the halo mass. We then computed the cosmic SFR density by integrating the extrapolated UV luminosity functions down to a faint magnitude limit , which is determined via the above abundance matching relationship by two free parameters: the minimum threshold halo mass for galaxy formation, and the astroparticle quantity X characterizing each DM scenario (namely, particle mass for WDM and DM, and kinetic temperature at decoupling for SIDM). We perform Bayesian inference on such parameters using a Monte Carlo Markov Chain (MCMC) technique by comparing the cosmic SFR density from our approach to the current observational estimates at , constraining the WDM particle mass to keV, the DM particle mass to eV, and the SIDM temperature to keV at () confidence level. Finally, we forecast how such constraints will be strengthened by upcoming refined estimates of the cosmic SFR density if the early data on the UV luminosity function at from the James Webb Space Telescope (JWST) will be confirmed down to ultra-faint magnitudes.
1. Introduction
Astrophysical and cosmological probes have firmly established that baryons constitute only some of the total matter content in the Universe. The rest is in the form of ‘dark matter’ (DM), which interacts very weakly or negligibly with the baryons except via long-range gravitational forces. However, no firm detection of DM particles has been made so far, despite the big efforts carried on with colliders [1,2,3] or with direct [4,5] and indirect [6,7,8,9] searches in the sky.
The standard lore envisages DM to be constituted by weakly interacting particles with masses of order GeV [10] that are non-relativistic at the epoch of decoupling (hence they are dubbed ’cold’ dark matter or CDM) and feature negligible free-streaming velocities (i.e., they do not diffuse out of perturbations before collapse). As a consequence, bound CDM structures called halos to grow sequentially in time and hierarchically in mass by stochastically merging together [11,12].
On the cosmological scale, the CDM hypothesis is remarkably consistent with the data [13], while on (sub)galactic scales, it faces some challenges. For example, with respect to the predictions of gravity-only N-body simulations, the shape of the inner density profiles in DM-dominated dwarfs is too flat [14,15], and the number and dynamical properties of observed Milky Way satellites differ from those of subhalos [16,17]. Moreover, the emergence of tight empirical relationships between properties of the dark and luminous components in disc-dominated galaxies, such as the universal core surface density or the radial acceleration relation [18,19], seems to be indicative of a new dark sector and/or of non-gravitational coupling between DM particles and baryons. Although the above effects can, in principle, be explained in CDM by invoking physical processes that cause transfer of energy and angular momentum from baryons to DM particles, such as dynamical friction [20,21] or feedback effects from stars and active galactic nuclei [22,23,24], a fine-tuning is required to explain in detail the current data.
This has triggered the consideration of alternative, and perhaps more fascinating, solutions that rely on non-standard particle candidates [25,26,27,28,29]. The most widespread scenarios in the literature, which are also relevant for the present work, include warm dark matter (WDM) particles with masses in the keV range [30,31]; fuzzy or particle-wave dark matter (DM), constituted by ultralight axion-like particles with masses eV [32,33]; self-interacting dark matter (SIDM) with masses in the range MeV, as required by the cross-section cm g estimated from clusters to galaxies [34,35]. As a consequence of free-streaming, quantum pressure effects, and/or dark-sector interaction, all these scenarios produce a matter power spectrum suppressed on small scales, fewer (sub)structures, and flatter inner density profiles within halos relative to CDM [36,37,38,39,40,41,42,43]. Indirect astrophysical constraints on the properties of such nonstandard DM scenarios have been obtained by investigating the Lyman- forest [44,45,46,47], high-redshift galaxy counts [48,49,50,51], -ray bursts [52,53], cosmic reionization [54,55,56,57,58], gravitational lensing [59,60], integrated 21 cm data [61,62,63,64], -ray emission [65,66], fossil records of the Local Group [67,68], dwarf galaxy profiles and scaling relations [69,70], and Milky Way satellite galaxies [71,72,73,74,75] or a combination of these [76].
The present paper will focus on the constraints to DM that can be derived from recent observations of the cosmic SFR density at high redshift (e.g., [77,78,79,80]). This observable crucially depends on the number density of ultra-faint galaxies, which tend to live within small halos, and especially so at high redshifts. Thus, their numbers can constrain the shape of the halo-mass distribution and of the power spectrum at the low-mass end, which is sensitive to the microscopic properties of the DM particles. With respect to other probes of DM exploited in the literature, the cosmic SFR density is a very basic astrophysical quantity that suffers less from observational, systematic, and modeling uncertainties.
More in detail, we build up an empirical model based on the UV luminosity functions measured from blank-field surveys by the Hubble Space Telescope up to and UV magnitudes . We extrapolate these to fainter yet unexplored magnitudes, and perform abundance matching with the halo mass functions in a given DM scenario, so obtaining a redshift-dependent relationship between the UV magnitude and the halo mass. We then computed the cosmic SFR density by integrating the extrapolated UV luminosity function down to a faint magnitude limit , which is determined via the above abundance matching relationship by two free parameters describing our astrophysical and astroparticle uncertainties: the minimum threshold halo mass for galaxy formation, and a quantity X specific to each DM scenario (e.g., WDM particle mass). We perform Bayesian inference on the two parameters and X via a standard MCMC technique by comparing the cosmic SFR density from our approach with the current observational estimates at . Finally, we forecast how the constraints on these parameters will be strengthened by upcoming refined estimates of the cosmic SFR density at if the early data on the UV luminosity function from the James Webb Space Telescope (JWST) will be confirmed down to ultra-faint magnitudes.
The structure of the paper is straightforward: in Section 2, we describe our methods and analysis; in Section 3, we present and discuss our results; in Section 4, we summarize our findings and highlight future perspectives. Throughout the work, we adopt the standard, flat cosmology [13] with rounded parameter values: matter density , baryon density , Hubble constant km s Mpc with . A Chabrier [81] initial mass function (IMF) is assumed.
2. Methods and Analysis
We start from the recent determination of the UV luminosity functions by [77,78] down to the redshift z∼10 and UV magnitudes . In Figure 1, we illustrate the binned luminosity functions (filled circles) at Å in the relevant redshift range z∼ (color-coded), together with the corresponding continuous Schechter function rendition (solid lines) in the form
Figure 1.
The UV luminosity functions at redshifts z∼6 (red), 7 (orange), 8 (green), 9 (blue), 10 (magenta), 12 (cyan) and 17 (pink). Data points are from [77,78] (filled circles), [79] (empty circles), and [80] (squares). Colored lines illustrate Schechter fits the blank-field measurements from [78]: solid lines refer to the observed luminosity functions, while dotted lines to the intrinsic ones, after correction for dust extinction via the UV continuum slope according to the procedure by [83].
We characterize the evolution with redshift of the parameters entering Equation (1) according to the expressions by [78,79]. Toward high z, these yield a steepening faint end-slope , an approximately constant characteristic magnitude and an appreciably decreasing normalization Mpc. In Figure 1, we also report the intrinsic luminosity functions after correction for dust extinction (dotted lines), which have been computed exploiting the relation between extinction, the slope of the UV spectrum, and observed UV magnitude by [82,83]; the effects of dust extinction on the UV luminosity function are minor for , and will be irrelevant for this work. The intrinsic UV luminosity can be related to the physical SFR of galaxies; in particular, for a Chabrier IMF, age years, and appreciably sub-solar metallicity the relation log SFR [M year] holds (see [84,85,86,87,88]), and the related values are reported on the top axis in Figure 1.
In Figure 1, we also report two other sets of data. The first one (open circles) is from [79], which has been able to estimate the luminosity function down to by exploiting gravitational lensed galaxies in the Hubble Frontier Field clusters. However, the considerable statistical uncertainties related to the paucity of detected sources and the possible systematics in the lensing reconstruction and completeness issues do not yet allow us to draw firm conclusions on the shape of the luminosity function at such ultra-faint magnitudes. The second set of data (filled squares) involves the early results of JWST by [80], which have provided an estimate of the luminosity function at , though with rather low statistics. Interestingly, it seems that at z∼12, the shape of the luminosity function is roughly consistent with the lower redshift estimates, though its evolution in normalization considerably slows down; more data are needed to confirm such a trend, which could be very relevant for the astroparticle constraints of this work, as we will show and forecast.
From the intrinsic UV luminosity functions, the cosmic SFR density can be computed as
where is the faintest limit probed by observations (e.g., for [79], or for [80]), and represents a limiting magnitude down to which the luminosity function is steeply increasing, i.e., we consider that the SFR density is negligible, contributed by magnitudes fainter than such a limit. The quantity is somewhat uncertain: as mentioned above, the most recent and stringent constraints are from the analysis of [79], which rules out the presence of a turnover in the luminosity function brightward of . Actually, the data by [79] seem to suggest a possible flattening of the luminosity function for , but the large errors and the systematic uncertainties due to the paucity of sources as well as incompleteness issues do not allow us to make robust conclusions; thus, in the following, we will not try to model the detailed shape of any possible bending and instead use the extrapolation of the steep Schechter fits the data by [78] with a sharp limit at 1.
The rationale is that at magnitudes fainter than , the luminosity function flattens or even bends downward because the galaxy formation process becomes inefficient and/or because the power spectrum is cut off due to the microscopic nature of DM. Below we connect such a magnitude limit to two parameters describing these effects: a threshold halo mass below which galaxy formation is hindered because of various processes, like photo-suppression by the intense UV background or inefficiency in atomic cooling by the low temperature and metallicity of small halos at high redshift (see [88,89,90]); an astroparticle property X specific of a given DM scenario (e.g., WDM mass), which characterizes the suppression of the power spectrum at small scales.
2.1. Halo Mass Function and Abundance Matching
We consider three common non-standard DM scenarios alternative to CDM: warm dark matter (WDM), fuzzy dark matter (DM), and self-interacting dark matter (SIDM). In all these scenarios, the number of small-mass halos is reduced relative to CDM; this is best specified in terms of the halo mass function, namely the number density of halos per comoving volume and halo mass bins, which can be conveniently written in terms of the CDM one as
where and are shape parameters, and is a cutoff halo mass. We calculate the CDM halo mass function by exploiting the Python COLOSSUS package [91] and the fitting formula by [92] for virial masses. The parameters in Equation (3) are instead derived from fits to the outcomes of numerical simulations in the considered DM scenarios; the related values of the parameters and the literature works from which these are taken ([36,38,39]), are reported in Table 1. We stress that to derive robust constraints on different DM scenarios based on the halo mass function, it is extremely important to rely on the results from detailed simulations (as done here) and not on semi-analytic derivations based on the excursion set formalism, whose outcomes on the shape of the mass function for masses are rather sensitive to several assumptions (e.g., the filter function used in deriving the mass variance from the power spectrum, the mass-dependence in the collapsing barrier, etc.; see [55,93,94]).
Table 1.
Parameters describing the ratio of the halo mass function for different DM scenarios relative to the standard CDM in terms of the expression , where is the halo mass and is a characteristic cutoff scale; see Section 2.1 for details. The values of the parameters , extracted from the fits to the outcomes of numerical simulations in the considered DM scenarios, are taken from the literature studies referenced in the last column.
As to the cutoff mass , in WDM it is determined by free-streaming effects [36] and reads M in terms of the particle mass . However, note that this cutoff (often referred to as half-mode) mass is substantially larger by factors of a few than the free streaming mass, i.e., the mass related to the typical length scale for the diffusion of WDM particles out of primordial perturbations. In DM, M is related to the coherent behavior of the particles [38] with mass . In the SIDM scenario, M can be linked to the visible sector temperature when kinetic decoupling of the DM particles takes place [39].
In Figure 2, we illustrate the halo mass functions in the different DM scenarios at a reference redshift , to highlight the dependence on the particle property. For example, focusing on WDM, it is seen that the halo mass function progressively flattens with respect to that in standard CDM (black line); the deviation occurs at smaller halo masses for higher WDM particle masses , so that the CDM behavior is recovered for . In the other DM scenarios, the behavior is similar, but the shape of the mass function past the low-mass end flattening can be appreciably different; for example, in the DM scenario, the mass function is strongly suppressed for small masses and actually bends downward rather than flattening, implying a strong reduction or even the absence of low mass halos.
Figure 2.
Halo mass function at a reference redshift in different DM scenarios: WDM (left panel), DM (middle panel) and SIDM (right panel). The colorbar refers to values of keV for WDM, eV for DM and keV for SIDM. In all panels, the black line refers to the standard CDM scenario.
We now look for a relationship between UV magnitude and halo masses via the standard abundance matching technique [95,96,97,98], i.e., matching the cumulative number densities in galaxies and halos according to the expression
which implicitly defines a one-to-one monotonic relationship ; here, the quantity X stands for the specific property of the DM scenario that determines the behavior of the mass function for : particle mass in keV for WDM and in eV for DM, and kinetic temperature in keV for SIDM. In Figure 3, we show the outcome of this procedure in a reference redshift in the different DM scenarios, highlighting its dependence on the particle property. Focusing on WDM as a representative case, it is seen that the relation progressively flattens toward small with respect to the standard CDM case, and especially so for smaller ; at the other end, the relation becomes indistinguishable from that in CDM for particle masses some keVs. At a given particle mass, the relation barely depends on redshift , because the cosmic evolution of the UV luminosity function and the halo mass function mirror each other (see discussion by [78]). In the other DM scenarios, the behavior of the relation is similar but its shape for small halo masses is appreciably different; e.g., in the DM scenario, the relation flatten abruptly, reflecting the paucity of small halos in the mass function (see Figure 2).
Figure 3.
Relationship between the UV magnitude and the halo mass at a reference redshift , derived from the abundance matching of the observed UV luminosity function and the halo mass function (see text for details) in different DM scenarios: WDM (left panel), DM (middle panel) and SIDM (right panel). The colorbar refers to values of keV for WDM, eV for DM and keV for SIDM. In all panels, the black line refers to the standard CDM scenario.
The rationale is now to compute the cosmic SFR density according to Equation (2) by integrating the luminosity function down to a magnitude limit that depends on two parameters, namely the minimum halo mass for galaxy formation and the astroparticle properties X of a given DM scenario, and hence to estimate these quantities by comparing with the observational determinations.
2.2. Bayesian Analysis
The descriptions provided in the previous sections highlight that the limiting UV magnitude depends on two parameters: the limiting halo mass for galaxy formation , and a quantity X specific to the DM scenario, that represent the particle mass in units of keV for WDM, the particle mass in units of eV for DM, and the temperature of kinetic decoupling in units of keV for SIDM. These two parameters are meant to effectively encompass a variety of effects that determine , related to the efficiency of the galaxy formation process in small halos, and to the suppression in the number of low-mass halos due to the microscopic nature of DM. An added value of the empirical approach pursued here, which relies on extrapolation of the observed UV luminosity functions down to , is that no further parameter is needed to predict the cosmic SFR density (besides the underlying assumption of an IMF, which in any case marginally affects the astroparticle constraints, as shown by [58]).
To estimate the two aforementioned parameters, we adopt a Bayesian MCMC framework, numerically implemented via the Python package emcee [99]. Since for large values of X, all the outcomes of the nonstandard scenario converge toward CDM, it is convenient to look for an estimate of instead of X to have a fitting parameter varying in a compact domain. We use a standard Gaussian likelihood where is the vector of parameters, and the summation is over different datasets; for the latter, the corresponding is obtained by comparing our empirical model expectations to the data with their uncertainties , summing over the different redshifts of the datapoints. Specifically, our overall data sample is constituted by robust measurements of the cosmic SFR density (see summary in Table 2) from the HST UV luminosity function data from HST [79], UV luminosity function early data from JWST [80], GRB counts data from Fermi [100], and (sub)mm luminosity function data from ALMA [101]. In the computation of the cosmic SFR density, we take into account the minimum observational magnitude limit of the different datasets.
Table 2.
Overview of the estimate for the cosmic SFR density considered in the Bayesian analysis of this work. Values and uncertainties refer to log SFR yr].
We adopt flat priors on the parameters within the ranges , and . We then sample the posterior distribution by running with steps and 200 walkers; each walker is initialized with a random position uniformly sampled from the (flat) priors. After checking the auto-correlation time, we remove the first of the flattened chain to ensure burn-in; the typical acceptance fractions of the various runs are in the range of 30–.
3. Results and Discussion
As a preliminary step, we analyze the data in the standard CDM scenario. The result is shown by the gray contours/lines in Figure 4, Figure 5 and Figure 6. By construction, in the CDM model, the UV limiting magnitude depends only on the threshold minimum halo mass for galaxy formation. The marginalized constraint on the latter is found to be , a value which is reasonably close to the photo-suppression mass expected by the intense UV background during reionization (e.g., [88]). The corresponding limiting magnitude at z∼10 is around .
Figure 4.
MCMC posterior distributions in the WDM scenario (red contours/lines), for the threshold halo mass for galaxy formation , and the inverse of the DM particle’s mass keV. For reference, the outcomes in the standard CDM scenario are also reported (grey contours/lines). The contours show and confidence intervals, and the marginalized distributions are in arbitrary units (normalized to 1 at their maximum value).
Figure 5.
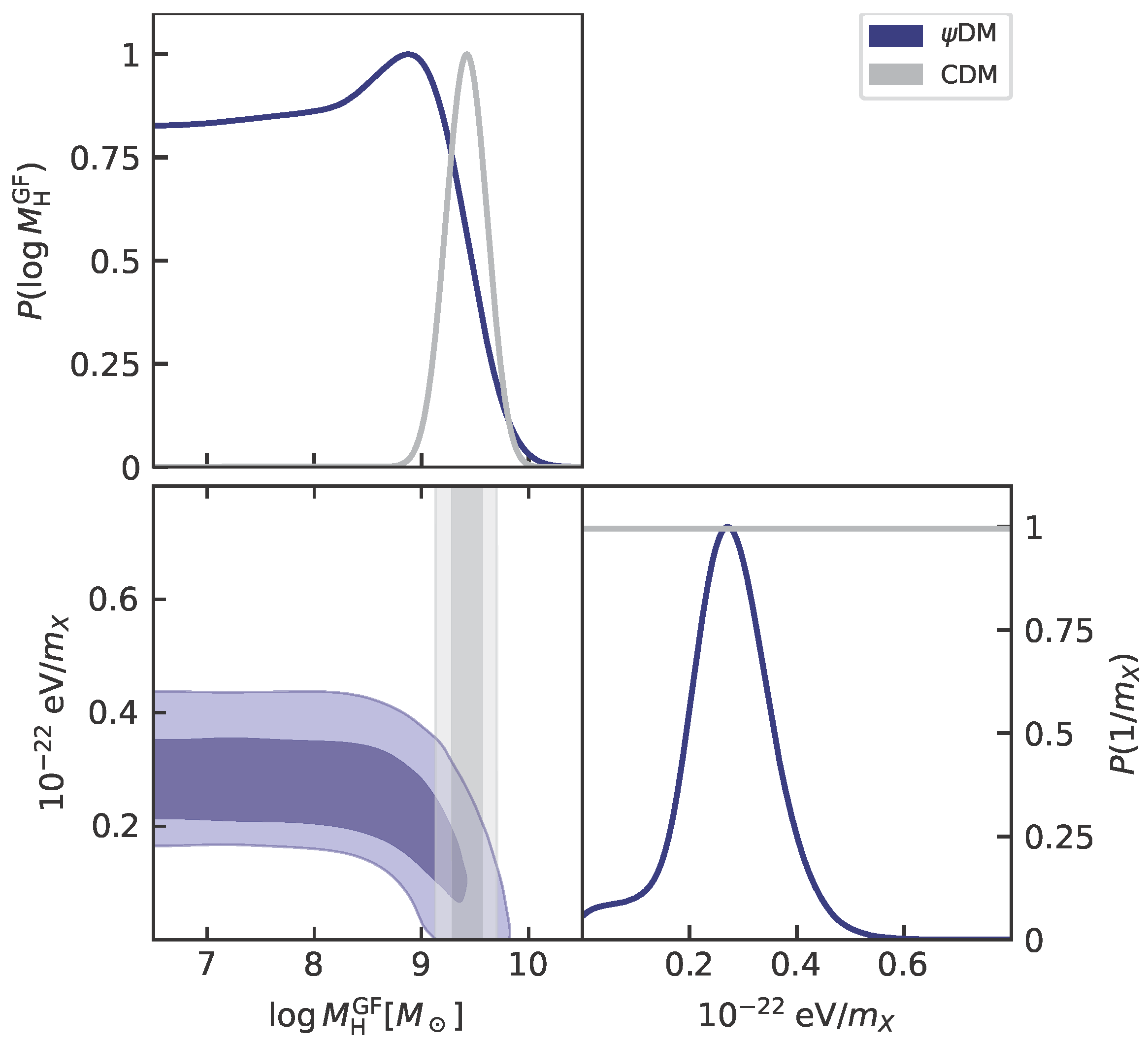
MCMC posterior distributions in the DM scenario (blue contours/lines), for the threshold halo mass for galaxy formation , and the inverse of the DM particle’s mass eV. For reference, the outcomes in the standard CDM scenario are also reported (grey contours/lines). The contours show and confidence intervals, and the marginalized distributions are in arbitrary units (normalized to 1 at their maximum value).
Figure 6.
MCMC posterior distributions in the SIDM scenario (green contours/lines), for the threshold halo mass for galaxy formation , and the inverse of the DM kinetic temperature at decoupling keV. For reference, the outcomes in the standard CDM scenario are also reported (grey contours/lines). The contours show and confidence intervals, and the marginalized distributions are in arbitrary units (normalized to 1 at their maximum value).
In the other DM scenarios, the situation is different because the limiting UV magnitude can also depend on the DM astroparticle property X. The results for WDM are illustrated by the red lines/contours in Figure 4. It is seen that there is a clear degeneracy between the WDM mass and the threshold halo mass for galaxy formation, in that the same value of the limiting UV magnitude can be obtained with smaller and smaller (see Figure 3). This is because lowering extends the halo mass function toward smaller masses and, thus, allows more halos to be available for hosting galaxies while decreasing progressively flattens the shape of the halo mass function, thus, reducing the number of halos and offsetting the previous effect. Such a situation is possible if is not too low; otherwise, the reduction in the number of halos is so drastic that it cannot be compensated by reasonable values of ; note the minimally acceptable could be around , because below these masses atomic cooling becomes inefficient; a hard limit is set by minihalos of where the first (pop-III) stars are thought to form.
The marginalized constraints for WDM turns out to be and keV, corresponding to a UV limiting magnitude . There is a clear peak in the posterior for the WDM mass around the keV scale, which is interesting because such a value has often been invoked to solve small-scale issues of CDM, like the missing satellite problems and the cusp-core controversy. However, larger values of a few keVs, that produce outcomes practically indistinguishable for CDM, are still well allowed (within ) by the current estimates of the cosmic SFR density.
The situation for DM and SIDM is somewhat similar to that of WDM. The main difference resides in the behavior of the halo mass function at small masses, which induces a different shape in the relationship between and , and in turn, this affects the marginalized contraints. In the DM case, whose results are illustrated in Figure 5, only an upper limit of the threshold halo mass for galaxy formation can be provided; however, the particle mass is constrained to eV, corresponding to a UV-limiting magnitude at z∼10. In the SIDM scenario, whose results are illustrated in Figure 5, the marginalized constraints read and keV, corresponding to a UV limiting magnitude at z∼10. The overall marginalized constraints are summarized in Table 3.
Table 3.
Marginalized posterior estimates (mean, and confidence limits are reported) of the parameters of the MCMC analysis for the different DM scenarios considered in the main text (WDM, DM and SIDM). Specifically, is the threshold halo mass for galaxy formation, while the astroparticle quantity X in the third column represents the particle mass in keV for WDM, the particle mass in eV for DM, and kinetic temperature in keV for SIDM; The last two columns refer to the value of the Bayes information criterion (BIC) and the Deviance information criterium (DIC) for model comparison; see Section 3. The top half of the Table refers to the current constraints on the cosmic SFR density, while the bottom half to the forecasts for JWST observations extended down to UV magnitude , see Section 3.1 for details.
In Figure 7, we illustrate the performance of our best fits on the observed cosmic SFR density; all DM scenarios (colored lines) reproduce comparably well with the available data. This is also highlighted by the credible interval from sampling the posterior distribution, which is shown only in the WDM case for clarity (red-shaded area). In terms of projection on this observable, different DM scenarios are consistent with each other, approximately within .
Figure 7.
The cosmic SFR density as a function of redshift. Data are from UV-HST (circles; [77,78]), UV-JWST (crosses; [80]), GRB-Fermi (inverse triangles; [100]), and (sub)mm-ALMA (squares; [101]). Lines illustrate the best fits from the MCMC analysis in various DM scenarios: CDM (black), WDM (red), DM (blue), and SIDM (green). The typical credible interval from the sampling of the posterior distribution is shown, for clarity, only in the WDM scenario, as a red shaded area. For reference, the dotted line is the classic fitting formula gauged at by [85].
We can also attempt a quantitative model comparison analysis using the Bayes information criterion [102,103], which is defined as BIC in terms of the maximum likelihood estimate , of the number of parameters , and the number of data points ; the BIC comes from approximating the Bayes factor, which gives the posterior odds of one model against another, presuming that the models are equally favored a priori. Another possibility, which may be less sensitive to priors, is the Deviance information criterion [104], which is defined as DIC where the overbar denotes the mean and the effective number of parameters is estimated as . Note that what matters is only the relative value of the BIC or DIC between different models; in particular, a difference larger than 10 indicates robust evidence in favor of the model with the smaller value. The values of the BIC and the DIC (for the different DM scenarios) are reported in Table 3, and do not suggest clear evidence in favor of one scenario over the others or over the standard CDM.
3.1. Forecasts for JWST
As mentioned in Section 2 and shown in Figure 1, the early data from JWST at z∼12 seems to indicate a slowing of the evolution of the UV luminosity function with respect to the lower . The effect is also evident on the cosmic SFR density in Figure 7, since the JWST data (crosses) at z∼9–12 are around the same value as the HST ones (circles), but the former refers to a UV luminosity function integrated to while the latter refers to .
Aside from the possible issues related to systematics and completeness effects in the early JWST observations that will hopefully be cleared by future campaigns, one can ask the question: what if the JWST data are confirmed and extended to ultra-faint magnitudes? To make a sound and conservative forecast of such a circumstance on the astroparticle constraints of this work, we proceed as follows. We scaled up by dex the current SFR density estimate from JWST by [80] at , to reflect the same increase in of the HST data by [79] when integrating the luminosity function from to ; we also assign a relative uncertainty to the JWST data comparable to that of the HST one by [79].
In Figure 8, we illustrate the marginalized posteriors on the astroparticle quantities in the WDM, DM, and SIDM scenarios. Plainly, the appreciably higher values of the cosmic SFR density implied from the putative JWST data tend to go in tension with the suppression of the power spectrum at a small scale in the non-CDM scenarios, erasing the bell-shaped posterior still allowed by the current data. As a consequence, rather stringent lower limits on the astroparticle quantities can be derived: WDM mass keV, DM mass eV, and SIDM kinetic temperature keV. These lower bounds would be competitive with current literature constraints that tend to exclude part of the parameter space in non-CDM models (see references in Section 1). Yet, the independent and basic nature of the cosmic SFR density observable may provide constraints less affected by systematics and model-dependent interpretations.
Figure 8.
Forecasts of marginalized posteriors on the WDM mass (left panel), DM mass (middle panel), and SIDM kinetic temperature at decoupling (right panel) based on prospective data at from JWST (solid lines; see text for details). For reference, the dashed lines illustrate the current constraints from Figure 4, Figure 5 and Figure 6. The marginalized distributions are in arbitrary units (normalized to 1 at their maximum value).
Finally, a note in Table 3 states that fitting to the forecasted JWST data will require a quite low galaxy formation threshold in CDM (and even more extreme values in the other scenarios); nonetheless, the upper bounds at are still consistent with the atomic cooling limit, so the forecasted JWST data should not present an insurmountable astrophysical challenge for CDM.
4. Summary
In this work, we have derived astroparticle constraints for different dark matter scenarios alternative to standard cold dark matter (CDM), namely warm dark matter (WDM), fuzzy dark matter (DM), and self-interacting dark matter (SIDM), from recent determination of the cosmic star formation rate (SFR) density at high redshifts . We have relied on the UV luminosity functions measured from blank field surveys by the Hubble Space Telescope up to and UV magnitudes . We have extrapolated these to fainter, yet unexplored magnitudes and performed abundance matching with the halo mass functions in a given DM scenario, thus, obtaining a redshift-dependent relationship between the UV magnitude and the halo mass.
Then, we have computed the cosmic SFR density by integrating the extrapolated UV luminosity function down to a faint magnitude limit , which is determined by the abundance matching relationship by the minimum threshold halo mass for galaxy formation, and by the astroparticle quantity X specific to each DM scenario (e.g., WDM particle mass).
Finally, we have performed Bayesian inference on the two parameters and X via a standard MCMC technique by comparing the cosmic SFR density of our approach with current observational estimates at , thus, deriving definite astroparticle constraints: a WDM particle mass keV, a DM particle mass eV, and a SIDM temperature at kinetic decoupling keV at () confidence level.
In addition, from the same analysis, we have estimated that for CDM, the minimum halo mass for galaxy formation is well constrained to , which is pleasingly close to the photo-suppression mass expected at high redshifts due to the intense UV background. On the other hand, for non-CDM scenarios, we have estimated a smaller , which is a value closer to the atomic cooling limit, although yet poorly constrained due to the degeneracy with the astroparticle property.
In a future perspective, we have forecasted how such constraints will be strengthened if the early data on the UV luminosity function at from the James Webb Space Telescope (JWST) will be confirmed and extended to ultra-faint magnitudes; these would imply upper limits on the WDM mass keV, on the DM mass of eV, and on the SIDM kinetic temperature keV, which are competitive yet independent with respect to current literature constraints from a variety of other probes.
Our analysis highlights the relevance of upcoming ultra-faint galaxy surveys in the (pre)reionization era via JWST (see [105,106,107]) as a direct probe both of the astrophysics of galaxy formation at small scales, and of the microscopic nature of the elusive dark matter particles.
Author Contributions
All authors have equally contributed to design, to perform the analysis and to the writing of this paper. All authors have read and agreed to the published version of the manuscript.
Funding
We thank the three anonymous referees for their useful comments and suggestions. A.L. acknowledges funding from the EU H2020-MSCA-ITN-2019 project 860744 BiD4BESt: Big Data applications for black hole Evolution STudies and from the PRIN MIUR 2017 prot. 20173ML3WW, Opening the ALMA window on the cosmic evolution of gas, stars, and supermassive black holes.
Institutional Review Board Statement
Not applicable.
Informed Consent Statement
Not applicable.
Acknowledgments
We thank L. Boco, C. Baccigalupi, and P. Salucci for stimulating discussions.
Conflicts of Interest
The authors declare no conflict of interest.
Note
| 1 | In fact, one can easily adopt a smooth bending of the luminosity function and set instead the upper limit of integration in Equation (2) just to . For example, [79] empirically suggest to multiply Equation (1) by a factor for . We have checked that in the computation of the cosmic SFR, this produces practically indistinguishable results with respect to our simple treatment. |
References
- Meurer, G.R.; Heckman, T.M.; Calzetti, D. Shedding Light on Dark Matter at Colliders. Int. J. Mod. Phys. 2013, 28, 1330052. [Google Scholar]
- Kahlhoefer, F. Review of LHC dark matter searches. Int. J. Mod. Phys. 2017, 32, 1730006. [Google Scholar] [CrossRef]
- Argyropoulos, S.; Brandt, O.; Haisch, U. Collider Searches for Dark Matter through the Higgs Lens. Symmetry 2021, 13, 2406. [Google Scholar] [CrossRef]
- Aprile, E. et al. [XENON Collaboration] Dark Matter Search Results from a One Ton-Year Exposure of xenon1t. Phys. Rev. Lett. 2018, 121, 111302. [Google Scholar] [CrossRef] [PubMed]
- Bernabei, R.; Belli, P.; Caracciolo, V.; Cerulli, R.; Merlo, V.; Cappella, F.; D’Angelo, A.; Incicchitti, A.; di Marco, A.; Dai, C.J.; et al. DAMA/LIBRA-phase2 results and implications on several dark matter scenarios. Int. J. Mod. Phys. 2020, 35, 2044023. [Google Scholar] [CrossRef]
- Ackermann, M. et al. [The Fermi LAT Collaboration] Limits on dark matter annihilation signals from the Fermi LAT 4-year measurements of the isotropic gamma-ray background. J. Cosmol. Astropart. Phys. 2015, 2015, 8. [Google Scholar] [CrossRef]
- Ackermann, M. et al. [The Fermi LAT Collaboration] The Fermi Galactic Center GeV Excess and Implications for Dark Matter. Astrophys. J. 2017, 840, 43. [Google Scholar] [CrossRef]
- Albert, A. et al. [The Fermi-LAT and DES Collaborations] Searching for Dark Matter Annihilation in Recently Discovered Milky Way Satellites with Fermi-LAT. Astrophys. J. 2017, 834, 110. [Google Scholar] [CrossRef]
- Zornoza, J. Review on Indirect Dark Matter Searches with Neutrino Telescopes. Universe 2021, 7, 415. [Google Scholar] [CrossRef]
- Bertone, G.; Hooper, D. History of dark matter. Rev. Mod. Phys. 2018, 90, 045002. [Google Scholar] [CrossRef]
- Frenk, C.S.; White, S.D.M. Dark matter and cosmic structure. Ann. Phys. 2012, 524, 507–534. [Google Scholar] [CrossRef]
- Lapi, A.; Danese, L. A Stochastic Theory of the Hierarchical Clustering. I. Halo Mass Function. Astrophys. J. 2020, 903, 117. [Google Scholar] [CrossRef]
- Aghanim, M. et al. [Planck Collaboration] Planck 2018 results. VI. Cosmological parameters. Astron. Astrophys. 2020, 641, A6. [Google Scholar] [CrossRef]
- Navarro, J.F.; Frenk, C.S.; White, S.D.M. A Universal Density Profile from Hierarchical Clustering. Astrophys. J. 1997, 490, 493. [Google Scholar] [CrossRef]
- de Blok, W.J.G.; Walter, F.; Brinks, E.; Trachternach, C.; Oh, S.-H.; Kennicutt, R.C., Jr. High-Resolution Rotation Curves and Galaxy Mass Models from THINGS. Astron. J. 2008, 136, 2648. [Google Scholar] [CrossRef]
- Boylan-Kolchin, M.; Bullock, J.S.; Kaplinghat, M. The Milky Way’s bright satellites as an apparent failure of LambdaCDM. Mon. Not. R. Astron. Soc. 2012, 422, 1203–1218. [Google Scholar] [CrossRef]
- Bullock, J.S.; Boylan-Kolchin, M. Small-Scale Challenges to the ΛCDM Paradigm. Annu. Rev. Astron. Astrophys. 2017, 55, 343–387. [Google Scholar] [CrossRef]
- Gentile, G.; Famaey, B.; Zhao, H.; Salucci, P. Universality of galactic surface densities within one dark halo scale-length. Nature 2009, 461, 627–628. [Google Scholar] [CrossRef]
- McGaugh, S.S.; Lelli, F.; Schombert, J.M. Radial Acceleration Relation in Rotationally Supported Galaxies. Phys. Rev. Lett. 2016, 117, 201101. [Google Scholar] [CrossRef]
- El-Zant, A.; Shlosman, I.; Hoffman, Y. Dark Halos: The flattening of the density cusp by dynamical friction. Astrophys. J. 2001, 560, 636. [Google Scholar] [CrossRef]
- Tonini, C.; Lapi, A.; Salucci, P. Angular Momentum Transfer in Dark Matter Halos: Erasing the Cusp. Astrophys. J. 2006, 649, 591. [Google Scholar] [CrossRef]
- Pontzen, A.; Governato, F. Cold dark matter heats up. Nature 2014, 506, 171–178. [Google Scholar] [CrossRef] [PubMed]
- Peirani, S.; Dubois, Y.; Volonteri, M.; Devriendt, J.; Bundy, K.; Silk, J.; Pichon, C.; Kaviraj, S.; Gavazzi, R.; Habouzit, M. Density profile of dark matter haloes and galaxies in the HORIZON-AGN simulation: The impact of AGN feedback. Mon. Not. R. Astron. Soc. 2017, 472, 2153–2169. [Google Scholar] [CrossRef]
- Freundlich, J.; Jiang, F.; Dekel, A.; Cornuault, N.; Ginzburg, O.; Koskas, R.; Lapiner, S.; Dutton, A.; Maccio, A.V. A model for core formation in dark matter haloes and ultra-diffuse galaxies by outflow episodes. Mon. Not. R. Astron. Soc. 2020, 491, 4523–4542. [Google Scholar] [CrossRef]
- Bertone, G.; Hooper, D.; Silk, J. Particle dark matter: Evidence, candidates and constraints. Phys. Rev. 2004, 405, 279–390. [Google Scholar] [CrossRef]
- Feng, J.L. Dark Matter Candidates from Particle Physics and Methods of Detection. Annu. Rev. Astron. Astrophys. 2010, 48, 495–545. [Google Scholar] [CrossRef]
- Salucci, P.; Esposito, G.; Lambiase, G.; Battista, E.; Benetti, M.; Bini, D.; Boco, L.; Sharma, G.; Bozza, V.; Buoninfante, L.; et al. Einstein, Planck and Vera Rubin: Relevant encounters between the Cosmological and the Quantum Worlds. Front. Phys. 2021, 8, 603190. [Google Scholar] [CrossRef]
- Kusenko, A. Sterile neutrinos: The dark side of the light fermions. Phys. Rev. 2009, 481, 1–28. [Google Scholar] [CrossRef]
- Adhikari, R.; Agostini, M.; Ky, N.A.; Araki, T.; Archidiacono, M.; Bahr, M.; Baur, J.; Behrens, J.; Bezrukov, F.; Bhupal Dev, P.S.; et al. A White Paper on keV sterile neutrino Dark Matter. J. Cosmol. Astropart. Phys. 2017, 1, 25. [Google Scholar] [CrossRef]
- Bode, P.; Ostriker, J.P.; Turok, N. Halo Formation in Warm Dark Matter Models. Astrophys. J. 2001, 556, 93. [Google Scholar] [CrossRef]
- Lovell, M.R.; Frenk, C.S.; Eke, V.R.; Jenkins, A.; Gao, L.; Theuns, T. The properties of warm dark matter haloes. Mon. Not. R. Astron. Soc. 2014, 439, 300–317. [Google Scholar] [CrossRef]
- Hu, W.; Barkana, R.; Gruzinov, A. Fuzzy Cold Dark Matter: The Wave Properties of Ultralight Particles. Phys. Rev. Lett. 2000, 85, 1158. [Google Scholar] [CrossRef] [PubMed]
- Hui, L.; Ostriker, J.P.; Tremaine, S.; Witten, E. Ultralight scalars as cosmological dark matter. Phys. Rev. D 2017, 95, 043541. [Google Scholar] [CrossRef]
- Vogelsberger, M.; Zavala, J.; Cyr-Racine, F.-Y.; Pfrommer, C.; Bringmann, T.; Sigurdson, K. ETHOS—An effective theory of structure formation: Dark matter physics as a possible explanation of the small-scale CDM problems. Mon. Not. R. Astron. Soc. 2016, 460, 1399–1416. [Google Scholar] [CrossRef]
- Tulin, S.; Yu, H.-B. Dark Matter Self-interactions and Small Scale Structure. Phys. Rep. 2018, 730, 1–57. [Google Scholar] [CrossRef]
- Schneider, A.; Smith, R.E.; Maccio, A.; Moore, B. Non-linear evolution of cosmological structures in warm dark matter models. Mon. Not. R. Astron. Soc. 2012, 424, 684–698. [Google Scholar] [CrossRef]
- Dayal, P.; Mesinger, A.; Pacucci, F. Early Galaxy Formation in Warm Dark Matter Cosmologies. Astrophys. J. 2015, 806, 67. [Google Scholar] [CrossRef]
- Schive, H.-Y.; Chiueh, T.; Broadhurst, T.; Huang, K.-W. Contrasting Galaxy Formation from Quantum Wave Dark Matter, ψDM, with ΛCDM, using Planck and Hubble Data. Astrophys. J. 2016, 818, 89. [Google Scholar] [CrossRef]
- Huo, R.; Kaplinghat, M.; Pan, Z.; Yu, H.-B. Signatures of self-interacting dark matter in the matter power spectrum and the CMB. Phys. Lett. B 2018, 783, 76–81. [Google Scholar] [CrossRef]
- Menci, N.; Grazian, A.; Lamastra, A.; Calura, F.; Castellano, M.; Santini, P. Galaxy Formation in Sterile Neutrino Dark Matter Models. Astrophys. J. 2018, 854, 1. [Google Scholar] [CrossRef]
- Lovell, M.R. Toward a General Parameterization of the Warm Dark Matter Halo Mass Function. Astrophys. J. 2020, 847, 147. [Google Scholar] [CrossRef]
- Romanello, M.; Menci, N.; Castellano, M. The Epoch of Reionization in Warm Dark Matter Scenarios. Universe 2021, 7, 365. [Google Scholar] [CrossRef]
- Kulkarni, M.; Ostriker, J.P. What is the halo mass function in a fuzzy dark matter cosmology? Mon. Not. R. Astron. Soc. 2022, 510, 1425. [Google Scholar] [CrossRef]
- Viel, M.; Becker, G.; Bolton, J.S.; Haehnelt, M.G. Warm dark matter as a solution to the small scale crisis: New constraints from high redshift Lyman-alpha forest data. Phys. Rev. 2013, 88, 043502. [Google Scholar] [CrossRef]
- Irsic, V. New constraints on the free-streaming of warm dark matter from intermediate and small scale Lyman-α forest data. Phys. Rev. 2017, 96, 023522. [Google Scholar]
- Irsic, V. First Constraints on Fuzzy Dark Matter from Lyman-α Forest Data and Hydrodynamical Simulations. Phys. Rev. Lett. 2017, 119, 031302. [Google Scholar] [CrossRef]
- Villasenor, B.; Robertson, B.; Madau, P.; Schneider, E. New Constraints on Warm Dark Matter from the Lyman-α Forest Power Spectrum. arXiv 2022, arXiv:arXiv:2209.14220. [Google Scholar]
- Pacucci, F.; Mesinger, A.; Haiman, Z. Focusing on Warm Dark Matter with Lensed High-redshift Galaxies. Mon. Not. R. Astron. Soc. 2013, 435, L53. [Google Scholar] [CrossRef]
- Menci, N.; Grazian, A.; Castellano, M.; Sanchez, N.G. A Stringent Limit on the Warm Dark Matter Particle Masses from the Abundance of z = 6 Galaxies in the Hubble Frontier Fields. Astrophys. J. 2016, 825, L1. [Google Scholar] [CrossRef]
- Shirasaki, M.; Ishiyama, T.; Ando, S. Virial Halo Mass Function in the Planck Cosmology. Astrophys. J. 2021, 922, 89. [Google Scholar] [CrossRef]
- Sabti, N.; Munoz, J.B.; Blas, D. New Roads to the Small-scale Universe: Measurements of the Clustering of Matter with the High-redshift UV Galaxy Luminosity Function. Astrophys. J. 2022, 928, L20. [Google Scholar] [CrossRef]
- De Souza, R.S.; Mesinger, A.; Ferrara, A.; Haiman, Z.; Perna, R.; Yoshida, N. Constraints on Warm Dark Matter models from high-redshift long gamma-ray bursts. Mon. Not. R. Astron. Soc. 2012, 432, 3218–3227. [Google Scholar] [CrossRef]
- Lapi, A.; Mancuso, C.; Celotti, A.; Danese, L. Galaxy Evolution at High Redshift: Obscured Star Formation, GRB Rates, Cosmic Reionization, and Missing Satellites. Astrophys. J. 2017, 835, 37. [Google Scholar] [CrossRef]
- Barkana, R.; Haiman, Z.; Ostriker, J.P. Constraints on Warm Dark Matter from Cosmological Reionization. Astrophys. J. 2001, 558, 482. [Google Scholar] [CrossRef]
- Lapi, A.; Danese, L. Cold or warm? Constraining dark matter with primeval galaxies and cosmic reionization after Planck. J. Cosmol. Astropart. Phys. 2015, 2015, 3. [Google Scholar] [CrossRef]
- Dayal, P.; Choudhury, T.R.; Bromm, V.; Pacucci, F. Reionization and Galaxy Formation in Warm Dark Matter Cosmologies. Astrophys. J. 2017, 836, 16. [Google Scholar] [CrossRef]
- Carucci, I.P.; Corasaniti, P. Cosmic Reionization History and Dark Matter Scenarios. Phys. Rev. D 2019, 99, 023518. [Google Scholar] [CrossRef]
- Lapi, A.; Ronconi, T.; Boco, L.; Shankar, F.; Krachmalnicoff, N.; Baccigalupi, C.; Danese, L. Astroparticle Constraints from Cosmic Reionization and Primordial Galaxy Formation. Universe 2022, 8, 476. [Google Scholar] [CrossRef]
- Vegetti, S.; Despali, G.; Lovell, M.R.; Enzi, W. Constraining sterile neutrino cosmologies with strong gravitational lensing observations at redshift z∼0.2. Mon. Not. R. Astron. Soc. 2018, 481, 3661. [Google Scholar] [CrossRef]
- Ritondale, E.; Vegetti, S.; Despali, G.; Auger, M.W.; Koopmans, L.V.E.; McKean, J.P. Low-mass halo perturbations in strong gravitational lenses at redshift z∼0.5 are consistent with CDM. Mon. Not. R. Astron. Soc. 2018, 485, 2179. [Google Scholar] [CrossRef]
- Carucci, I.P.; Villaescusa-Navarro, F.; Viel, M.; Lapi, A. Warm dark matter signatures on the 21cm power spectrum: Intensity mapping forecasts for SKA. J. Cosmol. Astropart. Phys. 2015, 2015, 047. [Google Scholar] [CrossRef]
- Boyarsky, A.; Drewes, M.; Lasserre, T.; Mertens, S.; Ruchayskiy, O. Sterile neutrino Dark Matter. Prog. Part. Nucl. Phys. 2019, 104, 1–45. [Google Scholar] [CrossRef]
- Chatterjee, A.; Dayal, P.; Choudhury, T.R.; Hutter, A. Ruling out 3 keV warm dark matter using 21 cm EDGES data. Mon. Not. R. Astron. Soc. 2019, 487, 3560–3567. [Google Scholar] [CrossRef]
- Rudakovskyi, A.; Savchenko, D.; Tsizh, M. Can EDGES observation favour any dark matter model? Mon. Not. R. Astron. Soc. 2020, 497, 3393–3399. [Google Scholar] [CrossRef]
- Bringmann, T.; Kahlhoefer, F.; Schmidt-Hoberg, K.; Walia, P. Strong Constraints on Self-Interacting Dark Matter with Light Mediators. Phys. Rev. Lett. 2017, 118, 141802. [Google Scholar] [CrossRef] [PubMed]
- Grand, R.J.J.; White, S.D.M. Dark matter annihilation and the Galactic Centre Excess. Mon. Not. R. Astron. Soc. 2022, 511, L55. [Google Scholar] [CrossRef]
- Weisz, D.R.; Johnson, B.D.; Conroy, C. The Very Faint End of the UV Luminosity Function over Cosmic Time: Constraints from the Local Group Fossil Record. Astrophys. J. 2014, 794, L3. [Google Scholar] [CrossRef][Green Version]
- Weisz, D.R.; Boylan-Kolchin, M. Local Group ultra-faint dwarf galaxies in the reionization era. Mon. Not. R. Astron. Soc. 2017, 469, L83–L88. [Google Scholar] [CrossRef]
- Calabrese, E.; Spergel, D. Ultra-light dark matter in ultra-faint dwarf galaxies. Mon. Not. R. Astron. Soc. 2016, 460, 4397–4402. [Google Scholar] [CrossRef]
- Burkert, A. Fuzzy Dark Matter and Dark Matter Halo Cores. Astrophys. J. 2020, 904, 161. [Google Scholar] [CrossRef]
- Kennedy, R.; Frenk, C.; Cole, S.; Benson, A. Constraining the warm dark matter particle mass with Milky Way satellites. Mon. Not. R. Astron. Soc. 2014, 442, 2487–2495. [Google Scholar] [CrossRef]
- Horiuchi, S.; Humphrey, P.J.; Onorbe, J.; Abazajian, K.N.; Kaplinghat, M.; Garrison-Kimmel, S. Sterile neutrino dark matter bounds from galaxies of the Local Group. Phys. Rev. D 2014, 89, 025017. [Google Scholar] [CrossRef]
- Lovell, M.R.; Bose, S.; Boyarsky, A.; Cole, S.; Frenk, C.S.; Gonzalez-Perez, V.; Kennedy, R.; Ruchayskiy, O.; Smith, A. Satellite galaxies in semi-analytic models of galaxy formation with sterile neutrino dark matter. Mon. Not. R. Astron. Soc. 2016, 461, 60. [Google Scholar] [CrossRef]
- Nadler, E.O.; Birrer, S.; Gilman, D.; Wechsler, R.H.; Du, X.; Benson, A.; Nierenberg, A.M.; Treu, T. Dark Matter Constraints from a Unified Analysis of Strong Gravitational Lenses and Milky Way Satellite Galaxies. Astrophys. J. 2021, 917, 7. [Google Scholar] [CrossRef]
- Newton, O.; Leo, M.; Cautun, M.; Jenkins, A.; Frenk, C.S.; Lovell, M.R.; Helly, J.C.; Benson, A.J.; Cole, S. Constraints on the properties of warm dark matter using the satellite galaxies of the Milky Way. J. Cosmol. Astropart. Phys. 2021, 8, 62. [Google Scholar] [CrossRef]
- Enzi, W.; Murgia, R.; Newton, O.; Vegetti, S.; Frenk, C.; Viel, M.; Cautun, M.; Fassnacht, C.D.; Auger, M.; Despali, G.; et al. Joint constraints on thermal relic dark matter from strong gravitational lensing, the Ly α forest, and Milky Way satellites. Mon. Not. R. Astron. Soc. 2021, 506, 5848. [Google Scholar] [CrossRef]
- Oesch, P.A.; Bouwens, R.J.; Illingworth, G.D.; Labbé, I.; Stefanon, M. The Dearth of z∼10 Galaxies in All HST Legacy Fields—The Rapid Evolution of the Galaxy Population in the First 500 Myr. Astrophys. J. 2018, 855, 105. [Google Scholar] [CrossRef]
- Bouwens, R.J.; Oesch, P.A.; Stefanon, M.; Illingworth, G.; Labbé, I.; Reddy, N.; Atek, H.; Montes, M.; Naidu, R.; Nanayakkara, T.; et al. New Determinations of the UV Luminosity Functions from z∼9 to 2 Show a Remarkable Consistency with Halo Growth and a Constant Star Formation Efficiency. Astron. J. 2021, 162, 47. [Google Scholar] [CrossRef]
- Bouwens, R.J.; Illingworth, G.; Ellis, R.S.; Oesch, P.A.; Stefanon, M. z∼2-9 galaxies magnified by the Hubble Frontier Field Clusters II: Luminosity functions and constraints on a faint end turnover. arXiv 2022, arXiv:2205.11526. [Google Scholar]
- Harikane, Y.; Ouchi, M.; Oguri, M.; Ono, Y.; Nakajima, K.; Isobe, Y.; Umeda, H.; Mawatari, K.; Zhang, Y. A Comprehensive Study on Galaxies at z∼9–17 Found in the Early JWST Data: UV Luminosity Functions and Cosmic Star-Formation History at the Pre-Reionization Epocht. arXiv 2022, arXiv:2208.01612. [Google Scholar]
- Chabrier, G. Galactic Stellar and Substellar Initial Mass Function. Publ. Astron. Soc. Pacific 2003, 115, 763. [Google Scholar] [CrossRef]
- Meurer, G.R.; Heckman, T.M.; Calzetti, D. Dust Absorption and the Ultraviolet Luminosity Density at z∼3 as Calibrated by Local Starburst Galaxies. Astrophys. J. 1999, 521, 64. [Google Scholar] [CrossRef]
- Bouwens, R.J.; Illingworth, G.D.; Oesch, P.A. UV-continuum slopes of >4000 z∼4-8 galaxies from the HUDF/XDF, HUDF09, ERS, CANDELS-South, and CANDELS-North fields. Astrophys. J. 2014, 793, 115. [Google Scholar] [CrossRef]
- Kennicutt, R.C.; Evans, N.J. Star Formation in the Milky Way and Nearby Galaxies. Annu. Rev. Astron. Astrophys. 2012, 50, 531–608. [Google Scholar] [CrossRef]
- Madau, P.; Dickinson, M. Cosmic Star-Formation History. Annu. Rev. Astron. Astrophys. 2014, 52, 415. [Google Scholar] [CrossRef]
- Cai, Z.; Lapi, A.; Bressan, A.; De Zotti, G.; Negrello, M.; Danese, L. A Physical Model for the Evolving Ultraviolet Luminosity Function of High Redshift Galaxies and their Contribution to the Cosmic Reionization. Astrophys. J. 2014, 785, 65. [Google Scholar] [CrossRef]
- Robertson, B.E.; Ellis, R.S.; Furlanetto, S.R.; Dunlop, J.S. Cosmic reionization and early star-forming galaxies: A joint analysis of new constraints from Planck and Hubble Space Telescope. Astrophys. J. 2015, 802, L19. [Google Scholar] [CrossRef]
- Finkelstein, S.L.; D’Aloisio, A.; Paardekooper, J.-P.; Ryan, R., Jr.; Behroozi, P.; Finlator, K.; Livermore, R.; Upton Sanderbeck, P.R.; Dalla Vecchia, C.; Khochfar, S. Conditions for Reionizing the Universe with a Low Galaxy Ionizing Photon Escape Fraction. Astrophys. J. 2019, 879, 36. [Google Scholar] [CrossRef]
- Efstathiou, G. Suppressing the formation of dwarf galaxies via photoionization. Mon. Not. R. Astron. Soc. 1992, 256, 43P–47P. [Google Scholar] [CrossRef]
- Sobacchi, E.; Mesinger, A. How does radiative feedback from an ultraviolet background impact reionization? Mon. Not. R. Astron. Soc. 2013, 432, 3340. [Google Scholar] [CrossRef]
- Diemer, B. COLOSSUS: A Python Toolkit for Cosmology, Large-scale Structure, and Dark Matter Halos. Astrophys. J. Suppl. Ser. 2018, 239, 35. [Google Scholar] [CrossRef]
- Tinker, J.; Kravtsov, A.V.; Klypin, A.; Abazajian, K.; Warren, M.; Yepes, G.; Gottlober, S.; Holz, D.E. Toward a Halo Mass Function for Precision Cosmology: The Limits of Universality. Astrophys. J. 2008, 688, 709. [Google Scholar] [CrossRef]
- Schneider, A.; Smith, R.E.; Reed, D. Halo mass function and the free streaming scale. Mon. Not. R. Astron. Soc. 2013, 433, 1573–1587. [Google Scholar] [CrossRef]
- May, S.; Springel, V. He halo mass function and filaments in full cosmological simulations with fuzzy dark matter. arXiv 2022, arXiv:arXiv:220914886. [Google Scholar]
- Aversa, R.; Lapi, A.; De Zotti, G.; Danese, L. Black Hole and Galaxy Coevolution from Continuity Equation and Abundance Matching. Astrophys. J. 2015, 810, 74. [Google Scholar] [CrossRef]
- Moster, B.P.; Naab, T.; White, S.D.M. EMERGE—An empirical model for the formation of galaxies since z∼10. Mon. Not. R. Astron. Soc. 2018, 477, 1822. [Google Scholar] [CrossRef]
- Cristofari, P.; Ostriker, J.P. Abundance matching for low-mass galaxies in the CDM and FDM models. Mon. Not. R. Astron. Soc. 2019, 482, 4364–4371. [Google Scholar] [CrossRef]
- Behroozi, P.; Wechsler, R.H.; Hearin, A.P.; Conroy, C. UNIVERSEMACHINE: The correlation between galaxy growth and dark matter halo assembly from z = 0–10. Mon. Not. R. Astron. Soc. 2020, 488, 3143–3194. [Google Scholar] [CrossRef]
- Foreman-Mackey, D.; Hogg, D.W.; Lang, D.; Goodman, J. emcee: The MCMC Hammer. Publ. Astron. Soc. Pac. 2013, 125, 306. [Google Scholar] [CrossRef]
- Kistler, M.D.; Yuksel, H.; Beacom, J.F.; Hopkins, A.M.; Wyithe, J.S.B. The Star Formation Rate in the Reionization Era as Indicated by Gamma-Ray Bursts. Astrophys. J. 2009, 705, L104. [Google Scholar] [CrossRef]
- Gruppioni, C.; Bethermin, M.; Loiacono, F.; Le Fevre, O.; Capak, P.; Cassata, P.; Faisst, A.L.; Schaerer, D.; Silverman, J.; Yan, L.; et al. The ALPINE-ALMA [CII] survey. The nature, luminosity function, and star formation history of dusty galaxies up to z≈6. Astron. Astrophys. 2020, 643, A8. [Google Scholar] [CrossRef]
- Schwarz, G. Estimating the Dimension of a Model. Ann. Stat. 1978, 6, 461. [Google Scholar] [CrossRef]
- Liddle, A.R. How many cosmological parameters? Mon. Not. R. Astron. Soc. 2004, 351, L49. [Google Scholar] [CrossRef]
- Spiegelhalter, D.J.; Best, N.G.; Carlin, B.P.; Van Der Linde, A. Bayesian measures of model complexity and fit. J. R. Statist. Soc. B 2002, 64, 583. [Google Scholar] [CrossRef]
- Park, J.; Gillet, N.; Mesinger, A.; Greig, B. Properties of reionization-era galaxies from JWST luminosity functions and 21-cm interferometry. Mon. Not. R. Astron. Soc. 2020, 491, 3891. [Google Scholar] [CrossRef]
- Labbe, I.; Bezanson, R.; Atek, H.; Brammer, G.; Coe, D.; Dayal, P.; Feldmann, R.; Forster Schreiber, N.M.; Franx, M.; Geha, M.C.; et al. UNCOVER: Ultra-deep NIRCam and NIRSpec Observations Before the Epoch of Reionization. JWST Propos. Cycle 2021, 1, 2561. [Google Scholar]
- Robertson, B.E. Galaxy Formation and Reionization: Key Unknowns and Expected Breakthroughs by the James Webb Space Telescope. arXiv 2021, arXiv:2110.13160. [Google Scholar] [CrossRef]
Publisher’s Note: MDPI stays neutral with regard to jurisdictional claims in published maps and institutional affiliations. |
© 2022 by the authors. Licensee MDPI, Basel, Switzerland. This article is an open access article distributed under the terms and conditions of the Creative Commons Attribution (CC BY) license (https://creativecommons.org/licenses/by/4.0/).







